Investigation of ON-State Breakdown Mechanism in AlGaN/GaN HEMTs with AlGaN Back Barrier
Abstract
:1. Introduction
2. Device Fabrication
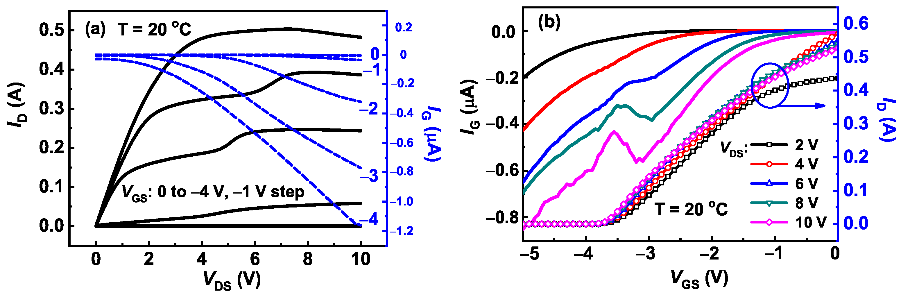
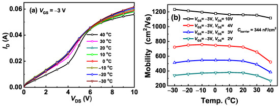
3. ON-State Breakdown and Impact Ionization
4. Conclusions
Author Contributions
Funding
Data Availability Statement
Conflicts of Interest
References
- Mishra, U.K.; Shen, L.; Kazior, T.E.; Wu, Y.F. GaN-Based RF Power Devices and Amplifiers. Proc. IEEE 2008, 96, 287. [Google Scholar] [CrossRef]
- Liu, Y.; Chai, C.; Shi, C.; Fan, Q.; Liu, Y. Optimization design on breakdown voltage of AlGaN/GaN high-electron mobility transistor. J. Semicond. 2016, 37, 124002. [Google Scholar] [CrossRef]
- Jian, F.; Kun, Y.; Zhaoji, L.; Bo, Z. On-State Breakdown Model for High Voltage RESURF LDMOS. J. Semicond. 2005, 26, 436. [Google Scholar]
- Ikeda, N.; Niiyama, Y.; Kambayashi, H.; Sato, Y.; Nomura, T.; Kato, S.; Yoshida, S. GaN Power Transistors on Si Substrates for Switching Applications. Proc. IEEE 2010, 98, 1151. [Google Scholar] [CrossRef]
- Nakao, T.; Ohno, Y.; Kishimoto, S.; Maezawa, K.; Mizutani, T. Study on off-state breakdown in AlGaN/GaN HEMTs. Phys. Stat. Sol. 2003, 0, 2335. [Google Scholar] [CrossRef]
- Wang, M.; Chen, K.J. Off-State Breakdown Characterization in AlGaN/GaN HEMT Using Drain Injection Technique. IEEE Trans. Electron Devices 2010, 57, 1492. [Google Scholar] [CrossRef]
- Würfl, J.; Hilt, O.; Bahat-Treidel, E.; Zhytnytska, R.; Klein, K.; Kotara, P.; Brunner, F.; Knauer, A.; Krüger, O.; Weyers, M.; et al. Technological Approaches Towards High Voltage, Fast Switching GaN Power Transistors. ECS Trans. 2013, 52, 979–989. [Google Scholar] [CrossRef]
- Meneghesso, G.; Meneghini, M.; Zanoni, E. Breakdown mechanisms in AlGaN/GaN HEMTs: An overview. Jpn. J. Appl. Phys. 2014, 53, 100211. [Google Scholar] [CrossRef]
- Meneghesso, G.; Verzellesi, G.; Danesin, F.; Rampazzo, F.; Zanon, F.; Tazzoli, A.; Meneghini, M.; Zanoni, E. Reliability of GaN High-Electron-Mobility Transistors: State of the Art and Perspectives. IEEE Trans. Device Mater. Reliab. 2008, 8, 311. [Google Scholar] [CrossRef]
- Zhang, N.; Mehrotra, V.; Chandrasekaran, S.; Moran, B.; Shen, L.; Mishra, U.; Etzkorn, E.; Clarke, D. Large area GaN HEMT power devices for power electronic applications: Switching and temperature characteristics. In Proceedings of the IEEE 34th Annual Conference on Power Electronics Specialist, Acapulco, Mexico, 15–19 June 2003. [Google Scholar]
- Arulkumaran, S.; Egawa, T.; Matsui, S.; Ishikawa, H. Enhancement of breakdown voltage by AlN buffer layer thickness in AlGaN/GaN high-electron-mobility transistors on 4 in diameter silicon. Appl. Phys. Lett. 2005, 86, 123503. [Google Scholar] [CrossRef]
- Cho, E.; Brunner, F.; Zhytnytska, R.; Kotara, P.; Würfl, J.; Weyers, M. Enhancement of channel conductivity in AlGaN/GaN heterostructure field effect transistors by AlGaN:Si back barrier. Appl. Phys. Lett. 2011, 99, 103505. [Google Scholar] [CrossRef]
- Lee, H.S.; Piedra, D. 3000 V 4.3 mΩ cm2 InAlN/GaN MOSHEMTs with AlGaN Back Barrier. IEEE Electron Device Lett. 2012, 33, 982. [Google Scholar] [CrossRef]
- Hahn, H.; Funck, C.; Geipel, S.; Kalisch, H.; Vescan, A. A The III-Nitride Double Heterostructure Revisited: Benefits for Threshold Voltage Engineering of MIS Devices. IEEE Trans. Electron Devices 2016, 63, 606. [Google Scholar] [CrossRef]
- Tan, W.S.; Houston, P.A.; Parbrook, P.J.; Wood, D.A.; Hill, G.; Whitehouse, C.R. Gate leakage effects and breakdown voltage in metalorganic vapor phase epitaxy AlGaN/GaN heterostructure field-effect transistors. Appl. Phys. Lett. 2002, 80, 3207. [Google Scholar] [CrossRef]
- Dyakonova, N.; Dickens, A.; Shur, M.S.; Gaska, R.; Yang, J.W. Temperature dependence of impact ionization in AlGaN–GaN heterostructure field effect transistors. Appl. Phys. Lett. 1998, 72, 2562. [Google Scholar] [CrossRef]
- Meneghini, M.; Zanandrea, A.; Rampazzo, F.; Stocco, A.; Bertin, M.; Cibin, G.; Pogany, D.; Zanoni, E.; Meneghesso, G. Electrical and Electroluminescence Characteristics of AlGaN/GaN High Electron Mobility Transistors Operated in Sustainable Breakdown Conditions. J. Appl. Phys. 2013, 52, 08JN17. [Google Scholar] [CrossRef]
- Somerville, M.H.; Blanchard, R.; del Alamo, J.A.; Duh, K.G.; Chao, P.C. On-state breakdown in power HEMT’s: Measurements and modeling. IEEE Electron Device Lett. 1998, 19, 405. [Google Scholar] [CrossRef]
- Kuliev, A.; Lee, C.; Lu, W.; Piner, E.; Bahl, S.R.; Adesida, I. A study of on-state and off-state breakdown voltages in GaN MESFETs. In Proceedings of the 2000 IEEE/Cornell Conference on High Performance Devices, Ithaca, NY, USA, 7–9 August 2000; Volume 110. [Google Scholar]
- Meneghesso, G.; Zanon, F.; Uren, M.J.; Zanoni, E. Anomalous Kink effect in GaN high electron mobility transistors. IEEE Electron Device Lett. 2009, 30, 100. [Google Scholar] [CrossRef]
- Brar, B.; Boutros, K.; DeWarnes, R.E.; Tilak, V.; Shealy, R.; Eastman, L. Impact ionization in high performance AlGaN/GaN HEMTs. In Proceedings of the IEEE Lester Eastman Conference High Perform Devices, Newark, DE, USA, 8 August 2002; Volume 487. [Google Scholar]
- Hui, K.; Hu, C.H.E.N.M.I.N.G.; George, P.; Ko, P.K. Impact Ionization in GaAs MESFET’s. IEEE Electron Device Lett. 1990, 11, 113. [Google Scholar] [CrossRef]
- Ismail, N.; Malbert, N.; Labat, N.; Touboul, A.; Lambert, B.; Muraro, J.L. Comparaison des lieux de claquage BV on-state des différentes technologies ȧ substrat GaAs. In Proceedings of the 16th International Conference on Microelectronics, Tunis, Tunisia, 6–8 December 2004. [Google Scholar]
- Kunihiro, K.; Kasahara, K.; Takahashi, Y.; Ohno, Y. Experimental evaluation of impact ionization coefficients in GaN. IEEE Electron Device Lett. 1998, 20, 608. [Google Scholar] [CrossRef]
- Gregg, H. Jessen, Fitch, R.C.; Gillespie, J.K.; Via, G.; Crespo, A.; Langley, D.; Denninghoff, D.J.; Trejo, M.; Heller, E.R. Short-Channel Effect Limitations on High-Frequency Operation of AlGaN/GaN HEMTs for T-Gate Devices. IEEE Trans. Electron Devices 2007, 54, 2589. [Google Scholar]
- Baliga, B.J. Gallium nitride devices for power electronic applications. Semicond. Sci. Technol. 2013, 28, 074011. [Google Scholar] [CrossRef]
- Pérez-Tomás, A.; Fontsere, A.; Placidi, M.; Baron, N.; Chenot, S.; Moreno, J.C.; Cordier, Y. Temperature impact and analytical modeling of the AlGaN/GaN-on-Si saturation drain current and transconductance. Semicond. Sci. Technol. 2012, 27, 125010. [Google Scholar] [CrossRef]
- Yildiz, A.; Lisesivdin, S.B.; Kasap, M.E.H.M.E.T.; Ozcelik, S.Ü.L.E.Y.M.A.N.; Ozbay, E.; Balkan, N. Investigation of low-temperature electrical conduction mechanisms in highly resistive GaN bulk layers extracted with Simple Parallel Conduction Extraction Method. J. Appl. Phys. 2010, 108, 013712. [Google Scholar] [CrossRef]
- Chattopadhyay, D.; Queisser, H.J. Electron scattering by ionized impurities in semiconductors. Rev. Mod. Phys. 1981, 53, 745. [Google Scholar] [CrossRef]





Publisher’s Note: MDPI stays neutral with regard to jurisdictional claims in published maps and institutional affiliations. |
© 2022 by the authors. Licensee MDPI, Basel, Switzerland. This article is an open access article distributed under the terms and conditions of the Creative Commons Attribution (CC BY) license (https://creativecommons.org/licenses/by/4.0/).
Share and Cite
Li, Y.; Huang, S.; Wang, X.; Jiang, Q.; Liu, X. Investigation of ON-State Breakdown Mechanism in AlGaN/GaN HEMTs with AlGaN Back Barrier. Electronics 2022, 11, 1331. https://doi.org/10.3390/electronics11091331
Li Y, Huang S, Wang X, Jiang Q, Liu X. Investigation of ON-State Breakdown Mechanism in AlGaN/GaN HEMTs with AlGaN Back Barrier. Electronics. 2022; 11(9):1331. https://doi.org/10.3390/electronics11091331
Chicago/Turabian StyleLi, Yuchen, Sen Huang, Xinhua Wang, Qimeng Jiang, and Xinyu Liu. 2022. "Investigation of ON-State Breakdown Mechanism in AlGaN/GaN HEMTs with AlGaN Back Barrier" Electronics 11, no. 9: 1331. https://doi.org/10.3390/electronics11091331
APA StyleLi, Y., Huang, S., Wang, X., Jiang, Q., & Liu, X. (2022). Investigation of ON-State Breakdown Mechanism in AlGaN/GaN HEMTs with AlGaN Back Barrier. Electronics, 11(9), 1331. https://doi.org/10.3390/electronics11091331

