Performance of Fuzzy Inference System for Adaptive Resource Allocation in C-V2X Networks
Abstract
1. Introduction
2. C-V2X Mode 4
2.1. Physical Layer
2.2. Sensing-Based Semi-Persistent Scheduling
- has received an SCI from another vehicle during the last 1000 subframes, which indicates that it will use this resource in either the Allocation Frame or any of its subsequent Reallocation Counter packets. This information was obtained within the previous 1000 subframes.
- indicates whether or not the value of the Reference Signal Received Power (RSRP) of a resource is greater than a predetermined threshold.
3. Proposed FIS
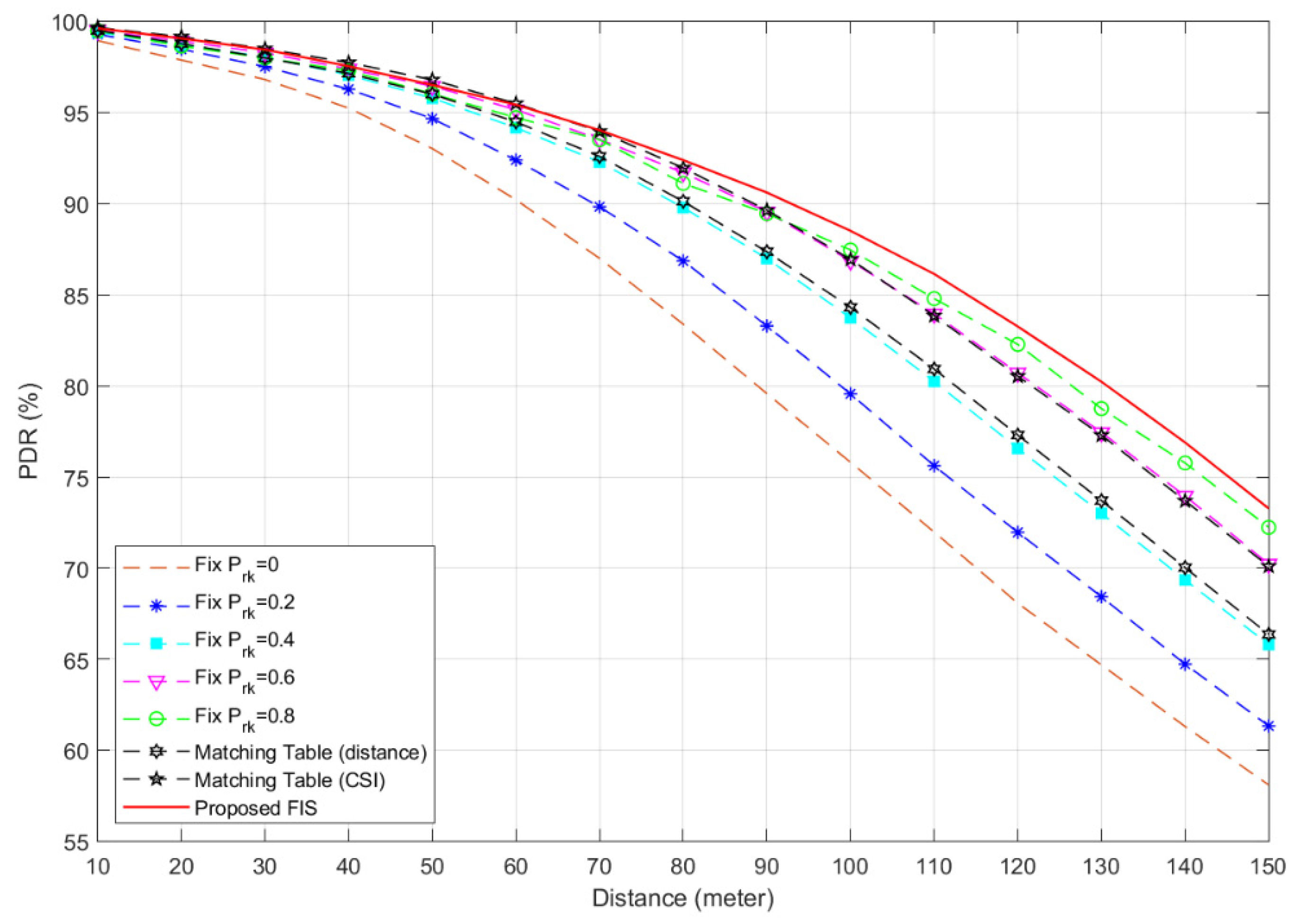
3.1. Matching Table Approach
3.2. Fuzzy Inference System Approach
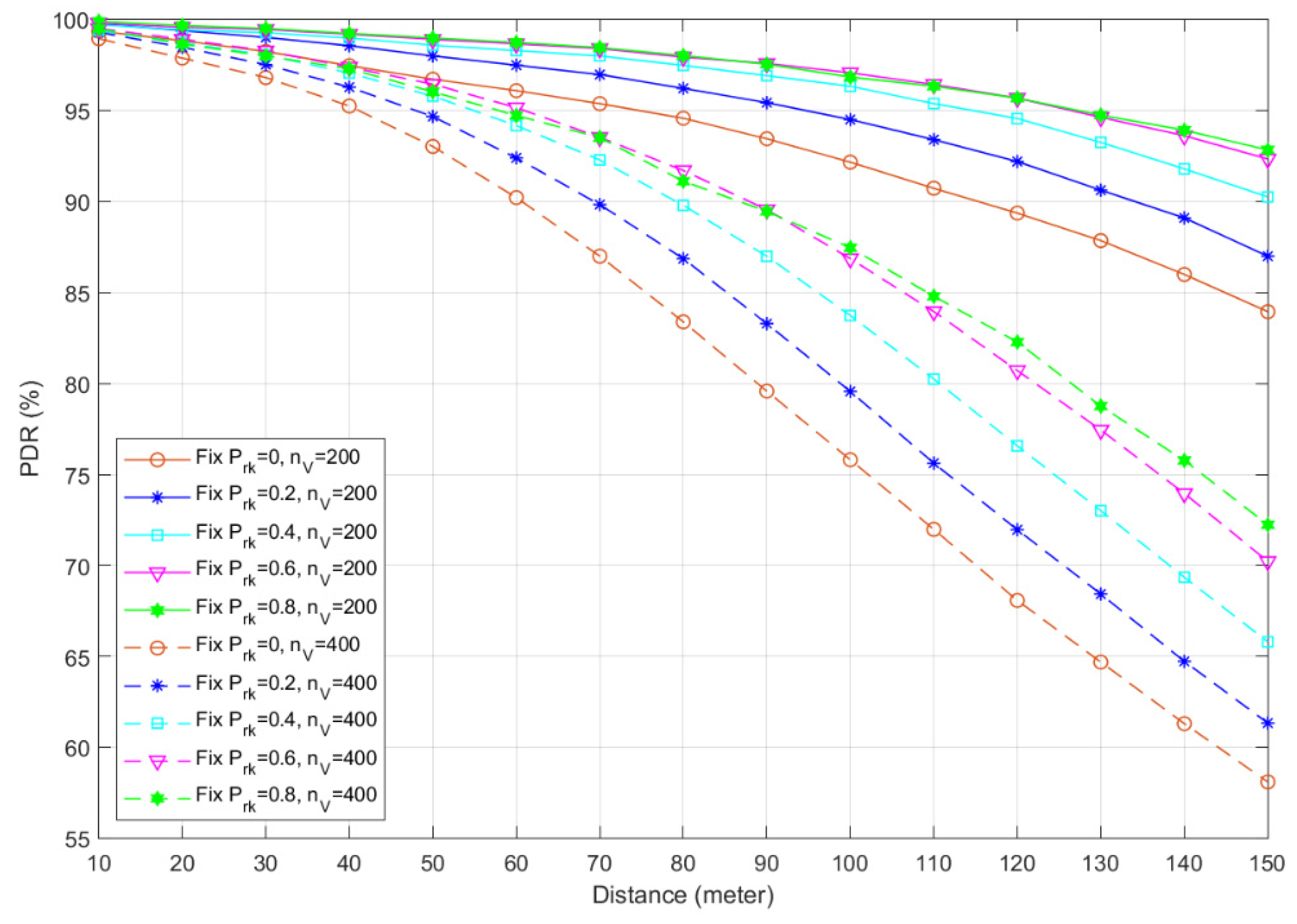
4. Simulation Results
5. Conclusions
Author Contributions
Funding
Data Availability Statement
Conflicts of Interest
References
- Zugno, T.; Drago, M.; Giordani, M.; Polese, M.; Zorzi, M. Toward Standardization of Millimeter-Wave Vehicle-to-Vehicle Networks: Open Challenges and Performance Evaluation. IEEE Commun. Mag. 2020, 58, 79–85. [Google Scholar] [CrossRef]
- TS 22.185; Technical Specification Group Services and System Aspects Service Requirements for V2X Services. Release 16. 3GPP, 2020. Available online: https://portal.3gpp.org/desktopmodules/Specifications/SpecificationDetails.aspx?specificationId=2989 (accessed on 1 October 2022).
- Skouras, T.A.; Gkonis, P.K.; Ilias, C.N.; Trakadas, P.T.; Tsampasis, E.G.; Zahariadis, T.V. Electrical Vehicles: Current State of the Art, Future Challenges, and Perspectives. Clean Technol. 2020, 2, 1–16. [Google Scholar] [CrossRef]
- Gonzalez-Martin, M.; Sepulcre, M.; Molina-Masegosa, R.; Gozalvez, J. Analytical Models of the Performance of C-V2X Mode 4 Vehicular Communications. IEEE Trans. Veh. Technol. 2019, 68, 1155–1166. [Google Scholar] [CrossRef]
- Zhang, F.; Shan, L.; Zhao, X. Mathematical Representation for Reliability of Sensing-Based Semi-Persistent Scheduling in LTE-V2X. IEEE Trans. Veh. Technol. 2022, 71, 10115–10119. [Google Scholar] [CrossRef]
- Bazzi, A.; Cecchini, G.; Zanella, A.; Masini, B.M. Study of the Impact of PHY and MAC Parameters in 3GPP C-V2V Mode 4. IEEE Access 2018, 6, 71685–71698. [Google Scholar] [CrossRef]
- Bazzi, A.; Campolo, C.; Molinaro, A.; Berthet, A.O.; Masini, B.M.; Zanella, A. On Wireless Blind Spots in the C-V2X Sidelink. IEEE Trans. Veh. Technol. 2020, 69, 9239–9243. [Google Scholar] [CrossRef]
- Nkenyereye, L.; Nkenyereye, L.; Islam, S.M.R.; Kerrache, C.A.; Abdullah-Al-Wadud, M.; Alamri, A. Software Defined Network-Based Multi-Access Edge Framework for Vehicular Networks. IEEE Access 2020, 8, 4220–4234. [Google Scholar] [CrossRef]
- Choi, J.Y.; Jo, H.S.; Mun, C.; Yook, J.G. Deep Reinforcement Learning-Based Distributed Congestion Control in Cellular V2X Networks. IEEE Wirel. Commun. Lett. 2021, 10, 2582–2586. [Google Scholar] [CrossRef]
- Shan, L.; Wang, M.M.; Zhang, F.; Chen, S.; Zhang, J. Resource allocation for cellular device-to-device-aided vehicle-to-everything networks with partial channel state information. Trans. Emerg. Telecommun. Technol. 2022, 33, e4501. [Google Scholar] [CrossRef]
- Sabeeh, S.; Wesołowski, K.; Sroka, P. C-V2X Centralized Resource Allocation with Spectrum Re-Partitioning in Highway Scenario. Electronics 2022, 11, 279. [Google Scholar] [CrossRef]
- Sehla, K.; Nguyen, T.M.T.; Pujolle, G.; Velloso, P.B. Resource Allocation Modes in C-V2X: From LTE-V2X to 5G-V2X. IEEE Internet Things J. 2022, 9, 8291–8314. [Google Scholar] [CrossRef]
- Yoon, Y.; Kim, H. Resolving persistent packet collisions through broadcast feedback in cellular V2X communication. Future Internet 2021, 13, 211. [Google Scholar] [CrossRef]
- Yoon, Y.; Kim, H. An Evasive Scheduling Enhancement Against Packet Dropping Attacks in C-V2X Communication. IEEE Commun. Lett. 2021, 25, 392–396. [Google Scholar] [CrossRef]
- Skondras, E.; Michalas, A.; Vergados, D.J.; Michailidis, E.T.; Miridakis, N.I.; Vergados, D.D. Network slicing on 5G vehicular cloud computing systems. Electronics 2021, 10, 1474. [Google Scholar] [CrossRef]
- Alghamdi, S.A. Novel path similarity aware clustering and safety message dissemination via mobile gateway selection in cellular 5G-based V2X and D2D communication for urban environment. Ad Hoc Netw. 2020, 103, 102150. [Google Scholar] [CrossRef]
- Kang, B.; Yang, J.; Paek, J.; Bahk, S. ATOMIC: Adaptive Transmission Power and Message Interval Control for C-V2X Mode 4. IEEE Access 2021, 9, 12309–12321. [Google Scholar] [CrossRef]
- Wu, T.; Yin, X.; Lee, J. A Novel Power Spectrum-Based Sequential Tracker for Time-Variant Radio Propagation Channel. IEEE Access 2020, 8, 151267–151278. [Google Scholar] [CrossRef]
- Bartoletti, S.; Masini, B.M.; Martinez, V.; Sarris, I.; Bazzi, A. Impact of the Generation Interval on the Performance of Sidelink C-V2X Autonomous Mode. IEEE Access 2021, 9, 35121–35135. [Google Scholar] [CrossRef]
- Bayu, T.I.; Huang, Y.F.; Chen, J.K. Performance of C-V2X Communications for High Density Traffic Highway Scenarios. In Proceedings of the 2021 International Conference on Technologies and Applications of Artificial Intelligence, Taichung, Taiwan, 18 November 2021; pp. 228–233. [Google Scholar]
- Fan, C.; Li, B.; Wu, Y.; Zhang, J.; Yang, Z.; Zhao, C. Fuzzy Matching Learning for Dynamic Resource Allocation in Cellular V2X Network. IEEE Trans. Veh. Technol. 2021, 70, 3479–3492. [Google Scholar] [CrossRef]
- Alghamdi, S.A. Emperor based resource allocation for D2D communication and QoF based routing over cellular V2X in urban environment (ERA-D2Q). Wirel. Netw. 2020, 26, 3419–3437. [Google Scholar] [CrossRef]
- Zhang, M.; Dou, Y.; Chong, P.H.J.; Chan, H.C.B.; Seet, B.C. Fuzzy Logic-Based Resource Allocation Algorithm for V2X Communications in 5G Cellular Networks. IEEE J. Sel. Areas Commun. 2021, 39, 2501–2513. [Google Scholar] [CrossRef]
- Bazzi, A.; Cecchini, G.; Menarini, M.; Masini, B.M.; Zanella, A. Survey and perspectives of vehicular Wi-Fi versus sidelink cellular-V2X in the 5G era. Future Internet 2019, 11, 122. [Google Scholar] [CrossRef]
- Yin, J.; Hwang, S.H. Adaptive sensing-based semipersistent scheduling with channel-state-information-aided reselection probability for LTE-V2V. ICT Express 2022, 8, 296–301. [Google Scholar] [CrossRef]
- Huang, Y.F.; Bayu, T.I.; Liu, S.H.; Huang, H.Y.; Huang, W. Applications of Fuzzy Inference System on V2V Routing in Vehicular Networks. In Intelligent Information and Database Systems; Lecture Notes in Computer; Springer: Cham, Switzerland, 2020; pp. 255–265. [Google Scholar]
- TS 36.101; Technical Specification Group Radio Access Network Evolved Universal Terrestrial Radio Access (E-UTRA) User Equipment (UE) Radio Transmission and Reception. Release 14. 3GPP, 2017. Available online: https://portal.3gpp.org/desktopmodules/Specifications/SpecificationDetails.aspx?specificationId=2411 (accessed on 1 October 2022).
- TS 36.213; Technical Specification Group Radio Access Network Evolved Universal Terrestrial Radio Access (E-UTRA) Physical Layer Procedures. Release 14. 3GPP, 2017. Available online: https://portal.3gpp.org/desktopmodules/Specifications/SpecificationDetails.aspx?specificationId=2427 (accessed on 1 October 2022).
- TS 36.321; Technical Specification Group Radio Access Network Evolved Universal Terrestrial Radio Access (E-UTRA) Medium Access Control (MAC) Protocol Specification. Release 14. 3GPP, 2017. Available online: https://portal.3gpp.org/desktopmodules/Specifications/SpecificationDetails.aspx?specificationId=2437 (accessed on 1 October 2022).
- Huang, Y.F. Performance of Adaptive Multistage Fuzzy-Based Partial Parallel Interference Canceller for Multi-Carrier CDMA Systems. IEICE Trans. Commun. 2005, E88-B, 134–140. [Google Scholar] [CrossRef]
- Cecchini, G.; Bazzi, A.; Masini, B.M.; Zanella, A. LTEV2Vsim: An LTE-V2V simulator for the investigation of resource allocation for cooperative awareness. In Proceedings of the 2017 5th IEEE International Conference on Models and Technologies for Intelligent Transportation Systems (MT-ITS), Naples, Italy, 26–28 June 2017; pp. 80–85. [Google Scholar]










| Distance | Channel State Information | Resource Keep Probability |
|---|---|---|
| Sh | VW | VL |
| Sh | W | L |
| Sh | Av | Md |
| Sh | St | H |
| Sh | VSt | H |
| MSh | VW | L |
| MSh | W | Md |
| MSh | Av | H |
| MSh | St | H |
| MSh | Vst | Md |
| MF | VW | L |
| MF | W | L |
| MF | Av | Md |
| MF | St | Md |
| MF | VSt | Md |
| F | VW | Md |
| F | W | Md |
| F | Av | H |
| F | St | VH |
| F | VSt | VH |
| Parameter | Value |
|---|---|
| Simulation time | 60 s |
| Vehicle position update time | 0.1 s |
| Vehicle speed | 80 km/h |
| Vehicle speed standard deviation | 40 km/h |
| Road length | 2000 m |
| Number of lanes | 3 per directions |
| Total number of vehicles () | 200, 400 |
| Bandwidth | 10 MHz |
| Transmission power | 23 dBm |
| Beacon size | 190 Bytes |
| Modulation coding scheme (MCS) | 7 |
| Sensing interval | 0.1 s |
| Probability resource keep () | 0, 0.2, 0.4, 0.6, 0.8 |
| SINR threshold | 8.47 dB |
Publisher’s Note: MDPI stays neutral with regard to jurisdictional claims in published maps and institutional affiliations. |
© 2022 by the authors. Licensee MDPI, Basel, Switzerland. This article is an open access article distributed under the terms and conditions of the Creative Commons Attribution (CC BY) license (https://creativecommons.org/licenses/by/4.0/).
Share and Cite
Bayu, T.I.; Huang, Y.-F.; Chen, J.-K. Performance of Fuzzy Inference System for Adaptive Resource Allocation in C-V2X Networks. Electronics 2022, 11, 4063. https://doi.org/10.3390/electronics11234063
Bayu TI, Huang Y-F, Chen J-K. Performance of Fuzzy Inference System for Adaptive Resource Allocation in C-V2X Networks. Electronics. 2022; 11(23):4063. https://doi.org/10.3390/electronics11234063
Chicago/Turabian StyleBayu, Teguh Indra, Yung-Fa Huang, and Jeang-Kuo Chen. 2022. "Performance of Fuzzy Inference System for Adaptive Resource Allocation in C-V2X Networks" Electronics 11, no. 23: 4063. https://doi.org/10.3390/electronics11234063
APA StyleBayu, T. I., Huang, Y.-F., & Chen, J.-K. (2022). Performance of Fuzzy Inference System for Adaptive Resource Allocation in C-V2X Networks. Electronics, 11(23), 4063. https://doi.org/10.3390/electronics11234063

