Simulation of Active Echo Cancellation Effects Using the ARCS Concept
Abstract
1. Introduction
2. Methods
2.1. Active Echo Cancellation Theory Based on ARCS Concept
2.2. Active Echo Cancellation Evaluation Simulation Procedure
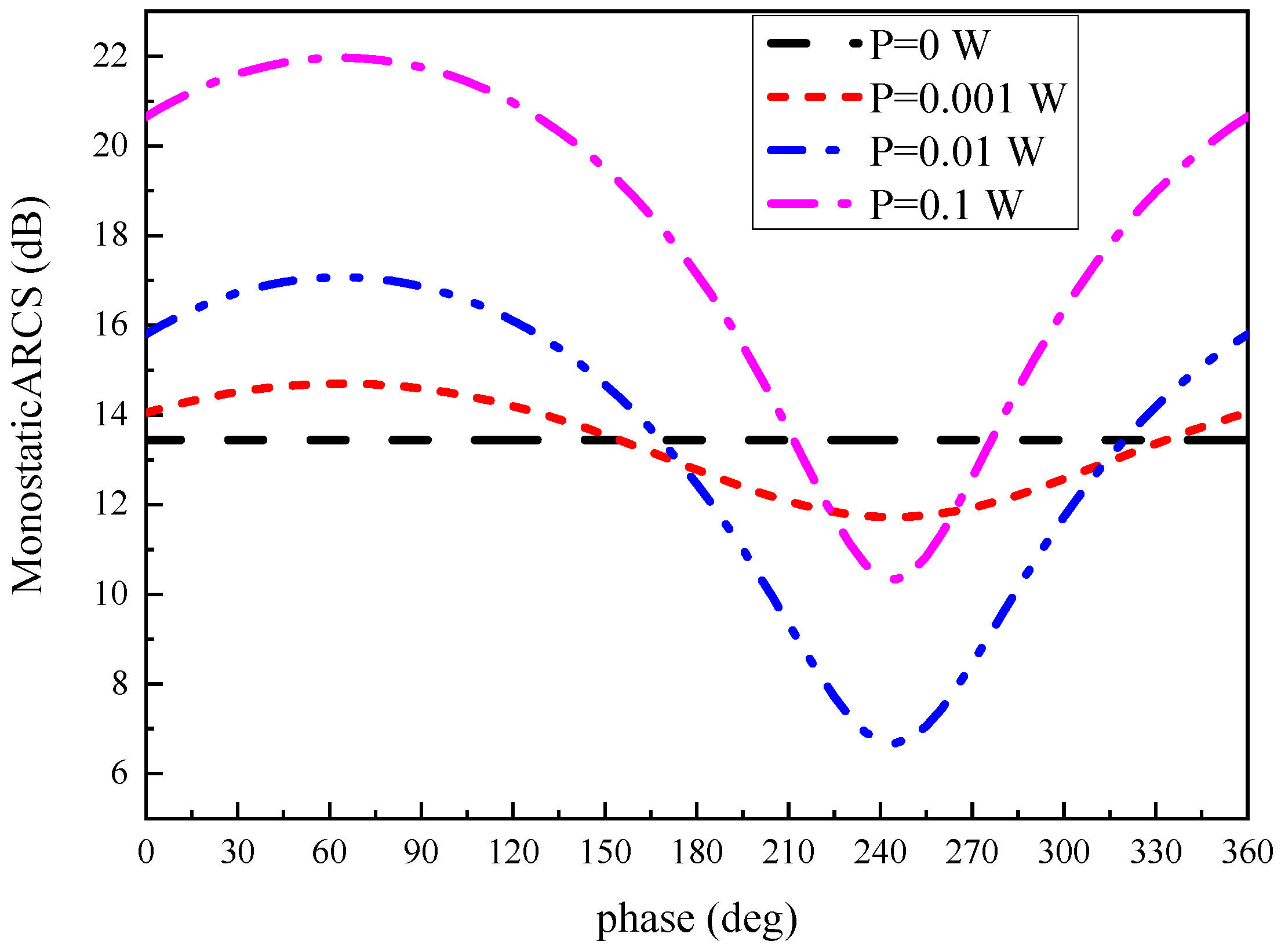
3. Simulations
4. Conclusions
Author Contributions
Funding
Institutional Review Board Statement
Informed Consent Statement
Data Availability Statement
Conflicts of Interest
References
- Deng, X.; Liao, C.; Zhang, D.; Feng, J.; Shang, Y.; Zhou, H. A Novel PE/FDTD Hybrid Model for Predicting Echo Signals of Radar Targets in Large-Scale Complex Environments. IEEE Access 2020, 8, 28450–28461. [Google Scholar] [CrossRef]
- Ahmed, S.; Ping, L.E. Application of singular value decomposition on FDTD simulation result—A novel approach for model analysis of complex electromagnetic problems. IEEE Microw. Wirel. Compon. Lett. 2004, 14, 519–521. [Google Scholar] [CrossRef]
- Vasanelli, C.; Boegelsack, F.; Waldschmidt, C. Reducing the Radar Cross Section of Microstrip Arrays Using AMC Structures for the Vehicle Integration of Automotive Radars. IEEE Trans. Antennas Propag. 2018, 66, 1456–1464. [Google Scholar] [CrossRef]
- Lui, H.-S.; Aldhubaib, F.; Shuley, N.V.Z.; Hui, H.T. Subsurface Target Recognition Based on Transient Electromagnetic Scattering. IEEE Trans. Antennas Propag. 2009, 57, 3398–3401. [Google Scholar]
- Wang, H.; Chen, Z.; Zheng, S. Preliminary Research of Low-RCS Moving Target Detection Based on Ka-Band Video SAR. IEEE Geosci. Remote Sens. Lett. 2017, 14, 811–815. [Google Scholar] [CrossRef]
- Liu, K.; Xiao, H.; Fan, H.; Fu, Q. Analysis of Quantum Radar Cross Section and Its Influence on Target Detection Performance. IEEE Photon. Technol. Lett. 2014, 26, 1146–1149. [Google Scholar]
- Li, X.F.; Xie, Y.J.; Wang, P.; Yang, T.M. High-frequency method for scattering from electrically large conductive targets in half-space. IEEE Antennas Wirel. Propag. Lett. 2007, 6, 259–262. [Google Scholar] [CrossRef]
- Niu, L.; Xie, Y.; Wu, P.; Zhang, C. ARCS: Active Radar Cross Section for Multi-Radiator Problems in Complex EM Environments. Sensors 2020, 20, 3371. [Google Scholar] [CrossRef] [PubMed]
- Niu, L.; Xie, Y.; Gao, J.; Wu, P. Multi-radiators on active scattering characteristics for metal sphere model. AIP Adv. 2020, 10, 125018. [Google Scholar] [CrossRef]
- Panwar, R.; Puthucheri, S.; Singh, D.; Agarwala, V. Design of Ferrite-Graphene-Based Thin Broadband Radar Wave Absorber for Stealth Application. IEEE Trans. Magn. 2015, 51, 1–4. [Google Scholar] [CrossRef]
- Bai, B.; Li, X.; Xu, J.; Liu, Y. Reflections of Electromagnetic Waves Obliquely Incident on a Multilayer Stealth Structure With Plasma and Radar Absorbing Material. IEEE Trans. Plasma Sci. 2015, 43, 2588–2597. [Google Scholar]
- Zhao, Y.; Liu, J.; Song, Z.; Xi, X. Microstructure Design Method for Multineedle Whisker Radar Absorbing Material. IEEE Antennas Wirel. Propag. Lett. 2016, 15, 1163–1166. [Google Scholar] [CrossRef]
- Hao, S.; Liu, Y.; Xu, F.; Yuan, J.; Liu, W. Research on the shape stealth design of infantry Fighting vehicle. In Proceedings of the 2021 6th International Conference on Intelligent Computing and Signal Processing (ICSP), Xi’an, China, 9–11 April 2021; pp. 1393–1396. [Google Scholar]
- Wu, H.; Wang, F.; Zhou, J.; Dai, C. Joint analysis of system delay window and target echo error for active cancellation of LFM signal. In Proceedings of the 2016 CIE International Conference on Radar (RADAR), Guangzhou, China, 10–13 October 2016; pp. 1–5. [Google Scholar]
- Ho, M.; Cioffi, J.M.; Bingham, J.A.C. Discrete multitone echo cancelation. IEEE Trans. Commun. 1996, 44, 817–825. [Google Scholar] [CrossRef]
- Guo, X.; Sun, H.; Yeo, T.S. Interference Cancellation for High-Frequency Surface Wave Radar. IEEE Trans. Geosci. Remote Sens. 2008, 46, 1879–1891. [Google Scholar]
- Iizuka, K.; Freundorfer, A.P.; Iwasaki, T. A method of surface clutter cancellation for an underground CW radar. IEEE Trans. Electromagn. Compat. 1989, 31, 330–332. [Google Scholar] [CrossRef]
- Wu, Q.; Liu, J.; Wang, J.; Zhao, F.; Xiao, S. Improved Active Echo Cancellation Against Synthetic Aperture Radar Based on Nonperiodic Interrupted Sampling Modulation. IEEE Sensors J. 2018, 18, 4453–4461. [Google Scholar] [CrossRef]
- Semenikhin, A.I.; Chernokolpakov, A.I. Active Cancellation of the RCS of a Large Aircraft Using of Stealth 4-Port Magnetic Antenna with Heterogenic Ferrite Core. In Proceedings of the 2019 IEEE Conference of Russian Young Researchers in Electrical and Electronic Engineering (EIConRus), Saint Petersburg and Moscow, Russia, 28–31 January 2019; pp. 882–884. [Google Scholar]
- Gao, J.; Xie, Y.; Yu, H.; Di, H.; Wu, P. Characteristics of half-space electromagnetic scattering with multiple radiators. AIP Adv. 2021, 11, 045020. [Google Scholar] [CrossRef]









Publisher’s Note: MDPI stays neutral with regard to jurisdictional claims in published maps and institutional affiliations. |
© 2022 by the authors. Licensee MDPI, Basel, Switzerland. This article is an open access article distributed under the terms and conditions of the Creative Commons Attribution (CC BY) license (https://creativecommons.org/licenses/by/4.0/).
Share and Cite
Ding, J.; Xie, Y.; Zhang, J.; Gao, J.; Wu, P. Simulation of Active Echo Cancellation Effects Using the ARCS Concept. Electronics 2022, 11, 3891. https://doi.org/10.3390/electronics11233891
Ding J, Xie Y, Zhang J, Gao J, Wu P. Simulation of Active Echo Cancellation Effects Using the ARCS Concept. Electronics. 2022; 11(23):3891. https://doi.org/10.3390/electronics11233891
Chicago/Turabian StyleDing, Jianxin, Yongjun Xie, Jian Zhang, Jie Gao, and Peiyu Wu. 2022. "Simulation of Active Echo Cancellation Effects Using the ARCS Concept" Electronics 11, no. 23: 3891. https://doi.org/10.3390/electronics11233891
APA StyleDing, J., Xie, Y., Zhang, J., Gao, J., & Wu, P. (2022). Simulation of Active Echo Cancellation Effects Using the ARCS Concept. Electronics, 11(23), 3891. https://doi.org/10.3390/electronics11233891

