An Efficient Adaptive and Steep-Convergent Sidelobes Simultaneous Reduction Algorithm for Massive Linear Arrays
Abstract
:1. Introduction
1.1. Background and Motivation
1.2. Paper Contribution
1.3. Paper Organization
2. Structure of Linear Symmetrical Antenna Array and Conventional SSR Learning Characteristics
3. The Proposed Adaptive SSR Algorithm
4. Results and Discussions
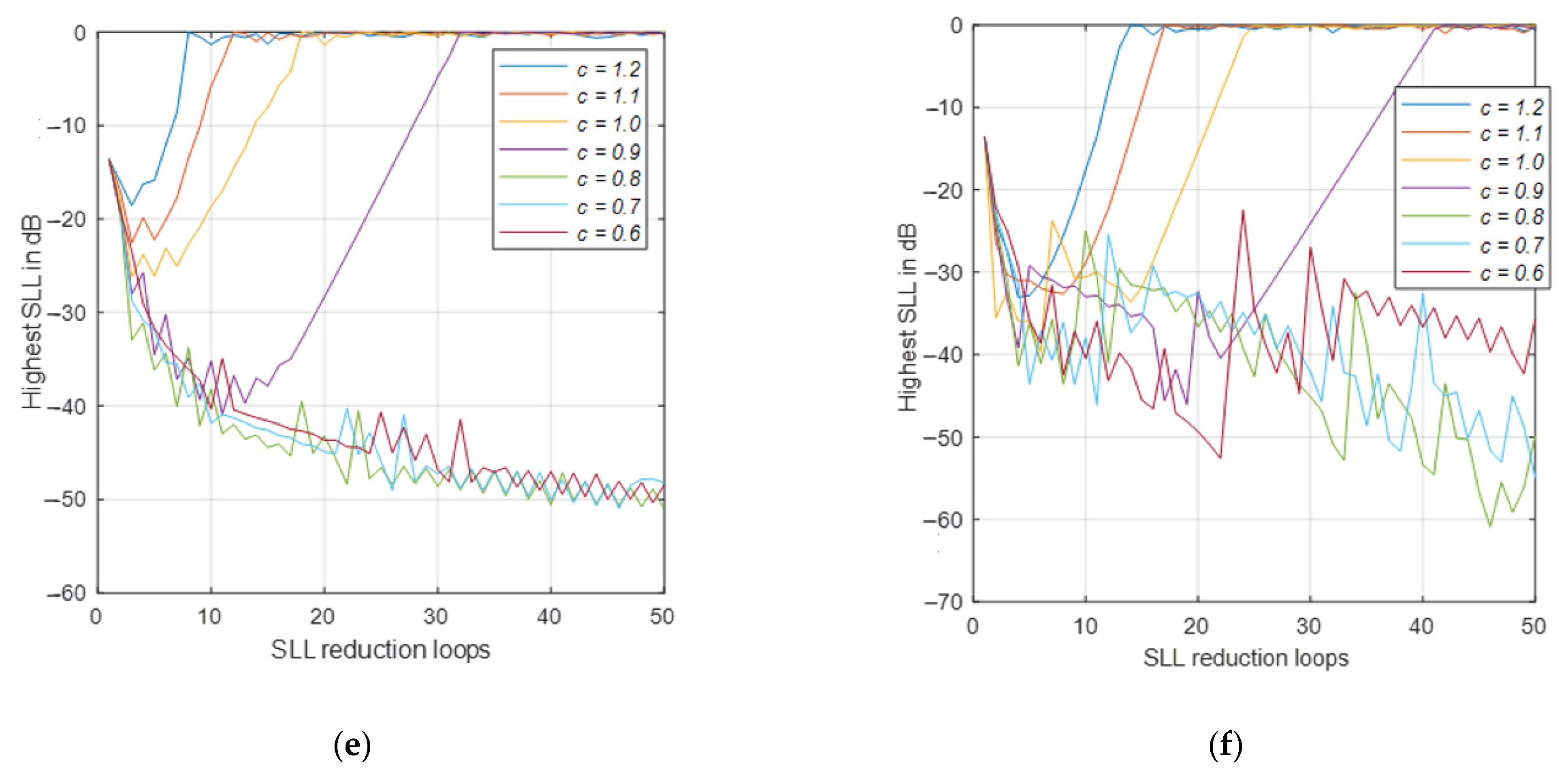
4.1. SLL Reduction with Damping Factor Adaptation
4.2. Performance of Adaptive SSR at Different Initial and Threshold Damping Factors
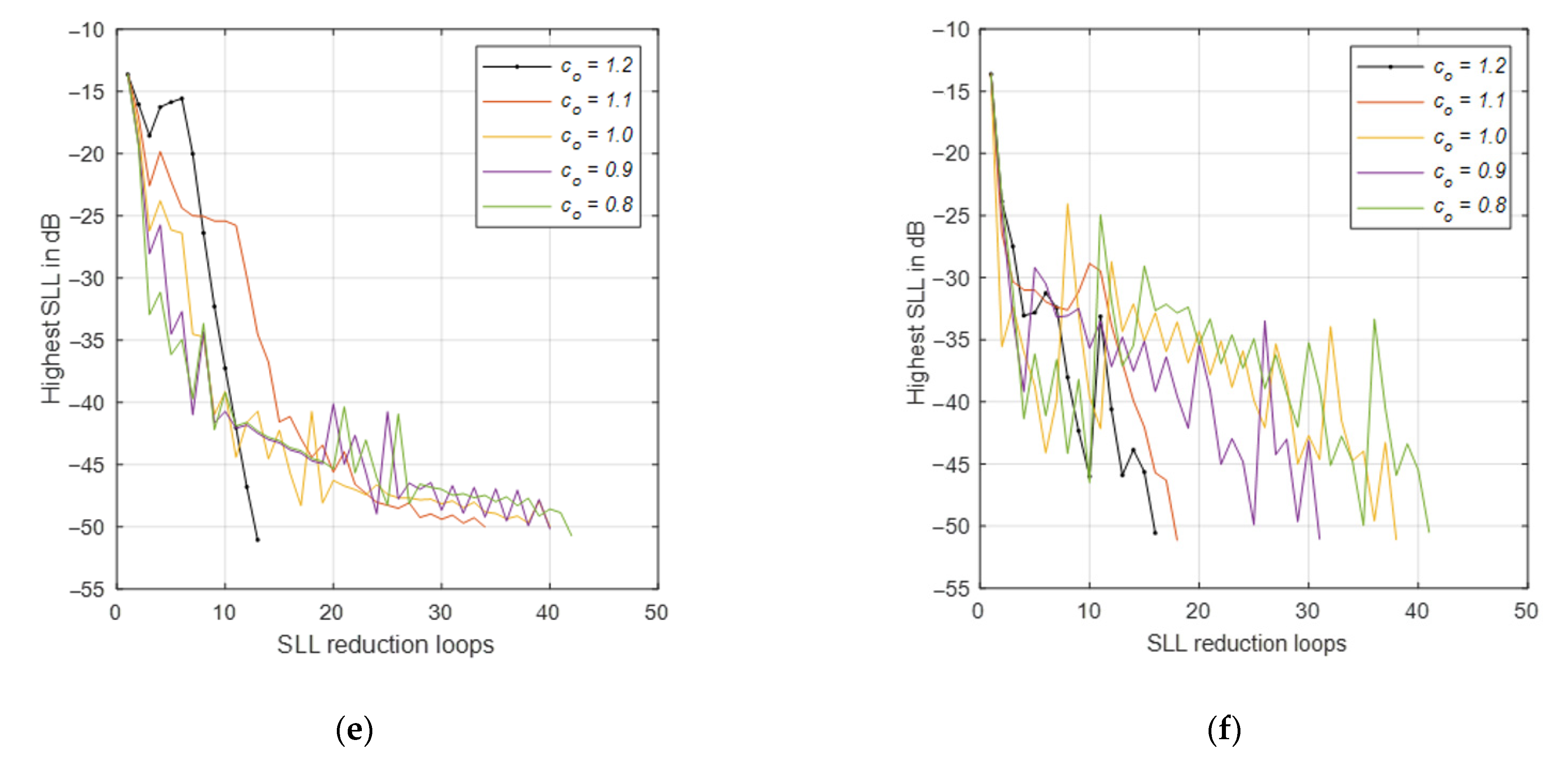
4.3. Comparison between the Proposed Adaptive and Conventional SSR Algorithms
4.4. Impact of the Adaptive SSR Algorithm Weights on Practical Linear Antenna Arrays
5. Conclusions
Author Contributions
Funding
Acknowledgments
Conflicts of Interest
References
- Pałczyński, K.; Śmigiel, S.; Gackowska, M.; Ledziński, D.; Bujnowski, S.; Lutowski, Z. IoT Application of Transfer Learning in Hybrid Artificial Intelligence Systems for Acute Lymphoblastic Leukemia Classification. Sensors 2021, 21, 8025. [Google Scholar] [CrossRef]
- Cray, B.A.; Kirsteins, I. A Comparison of Optimal SONAR Array Amplitude Shading Coefficients. Acoustics 2019, 1, 808–815. [Google Scholar] [CrossRef] [Green Version]
- Said, O.; Albagory, Y.; Nofal, M.; Al Raddady, F. IoT-RTP and IoT-RTCP: Adaptive protocols for multimedia transmission over internet of things environments. IEEE Access 2017, 5, 16757–16773. [Google Scholar] [CrossRef]
- Hasan, M.Z.; Al-Rizzo, H. Beamforming Optimization in Internet of Things Applications Using Robust Swarm Algorithm in Conjunction with Connectable and Collaborative Sensors. Sensors 2020, 20, 2048. [Google Scholar] [CrossRef] [Green Version]
- Sabban, A. Active Compact Wearable Body Area Networks for Wireless Communication, Medical and IoT Applications. Appl. Syst. Innov. 2018, 1, 46. [Google Scholar] [CrossRef] [Green Version]
- Albagory, Y. Modelling, Investigation, and Feasibility of Stratospheric Broadband mm-Wave 5G and beyond Networks for Aviation. Electronics 2020, 9, 1872. [Google Scholar] [CrossRef]
- Ruiz-de-Azua, J.A.; Garzaniti, N.; Golkar, A.; Calveras, A.; Camps, A. Towards Federated Satellite Systems and Internet of Satellites: The Federation Deployment Control Protocol. Remote Sens. 2021, 13, 982. [Google Scholar] [CrossRef]
- Qamar, F.; Siddiqui, M.U.A.; Hindia, M.N.; Hassan, R.; Nguyen, Q.N. Issues, Challenges, and Research Trends in Spectrum Management: A Comprehensive Overview and New Vision for Designing 6G Networks. Electronics 2020, 9, 1416. [Google Scholar] [CrossRef]
- Artiga, X.; Perruisseau-Carrier, J.; Pérez-Neira, A.I. Antenna array configurations for massive MIMO outdoor base stations. In Proceedings of the 2014 IEEE 8th Sensor Array and Multichannel Signal Processing Workshop (SAM), A Coruna, Spain, 22–25 June 2014; pp. 281–284. [Google Scholar] [CrossRef]
- Amani, N.; Bencivenni, C.; Glazunov, A.A.; Ivashina, M.V.; Maaskant, R. MIMO channel capacity gains in mm-wave LOS systems with irregular sparse array antennas. In Proceedings of the 2017 IEEE-APS Topical Conference on Antennas and Propagation in Wireless Communications (APWC), Verona, Italy, 1–15 September 2017; pp. 264–265. [Google Scholar] [CrossRef] [Green Version]
- Prabhu, K.M.M. Window Functions and Their Applications in Signal Processing; Taylor & Francis: London, UK, 2014. [Google Scholar]
- Issa, K.; Fathallah, H.; Ashraf, M.A.; Vettikalladi, H.; Alshebeili, S. Broadband High-Gain Antenna for Millimetre-Wave 60-GHz Band. Electronics 2019, 8, 1246. [Google Scholar] [CrossRef] [Green Version]
- Li, J.; Ma, Z.; Mao, L.; Wang, Z.; Wang, Y.; Cai, H.; Chen, X. Broadband Generalized Sidelobe Canceler Beamforming Applied to Ultrasonic Imaging. Appl. Sci. 2020, 10, 1207. [Google Scholar] [CrossRef] [Green Version]
- Albagory, Y. An Efficient WBAN Aggregator Switched-Beam Technique for Isolated and Quarantined Patients. AEU—Int. J. Electron. Commun. 2020, 123, 153322. [Google Scholar] [CrossRef] [PubMed]
- Wang, Y.; Yang, W.; Chen, J.; Kuang, H.; Liu, W.; Li, C. Azimuth Sidelobes Suppression Using Multi-Azimuth Angle Synthetic Aperture Radar Images. Sensors 2019, 19, 2764. [Google Scholar] [CrossRef] [PubMed] [Green Version]
- Nofal, M.; Aljahdali, S.; Albagory, Y. Simplified Sidelobe Reduction Technique for Concentric Ring Arrays. Wirel. Pers. Commun. 2013, 71, 2981–2991. [Google Scholar] [CrossRef]
- Lau, B.K.; Leung, Y.H. A Dolph-Chebyshev approach to the synthesis of array patterns for uniform circular arrays. In Proceedings of the 2000 IEEE International Symposium on Circuits and Systems, Geneva, Switzerland, 28–31 May 2000; Volume 1, pp. 124–127. [Google Scholar]
- Albagory, Y. An Efficient Conformal Stacked Antenna Array Design and 3D-Beamforming for UAV and Space Vehicle Communications. Sensors 2021, 21, 1362. [Google Scholar] [CrossRef]
- Singh, U.; Salgotra, R. Synthesis of linear antenna array using flower pollination algorithm. Neural Comput. Appl. 2018, 29, 435–445. [Google Scholar] [CrossRef]
- Chakravarthy, V.; Rao, P.M. Circular array antenna optimization with scanned and unscanned beams using novel particle swarm optimization. Indian J. Appl. Res. 2015, 5, 790–793. [Google Scholar]
- Mehrabian, A.R.; Lucas, C. A novel numerical optimization algorithm inspired from weed colonization. Ecol. Inform. 2006, 1, 355–366. [Google Scholar] [CrossRef]
- Sharaqa, A.; Dib, N. Circular antenna array synthesis using firefly algorithm. Int. J. RF Microw. Comput.-Aided Eng. 2014, 24, 139–146. [Google Scholar] [CrossRef]
- Sun, G.; Liu, Y.; Chen, Z.; Zhang, Y.; Wang, A.; Liang, S. Thinning of concentric circular antenna arrays using improved discrete cuckoo search algorithm. In Proceedings of the 2017 IEEE Wireless Communications and Networking Conference (WCNC), San Francisco, CA, USA, 19–22 March 2017; pp. 1–6. [Google Scholar]
- Li, H.; Liu, Y.; Sun, G.; Wang, A.; Liang, S. Beam pattern synthesis based on improved biogeography-based optimization for reducing sidelobe level. Comput. Electr. Eng. 2017, 60, 161–174. [Google Scholar] [CrossRef]
- Van Luyen, T.; Giang, T.V.B. Interference suppression of ULA antennas by phase only control using bat algorithm. IEEE Antennas Wirel. Propag. Lett. 2017, 16, 3038–3042. [Google Scholar] [CrossRef]
- Mirjalili, S.; Lewis, A. The whale optimization algorithm. Adv. Eng. Softw. 2016, 95, 51–67. [Google Scholar] [CrossRef]
- Almagboul, M.A.; Shu, F.; Qian, Y.; Zhou, X.; Wang, J.; Hu, J. Atom search optimization algorithm based hybrid antenna array receive beamforming to control sidelobe level and steering the null. AEU—Int. J. Electron. Commun. 2019, 111, 152854. [Google Scholar] [CrossRef]
- Liang, S.; Fang, Z.; Sun, G.; Liu, Y.; Qu, G.; Zhang, Y. Sidelobe Reductions of Antenna Arrays via an Improved Chicken Swarm Optimization Approach. IEEE Access 2020, 8, 37664–37683. [Google Scholar] [CrossRef]
- Sun, G.; Liu, Y.; Li, H.; Liang, S.; Wang, A.; Li, B. An Antenna Array Sidelobe Level Reduction Approach through Invasive Weed Optimization. Int. J. Antennas Propag. 2018, 2018, 4867851. [Google Scholar] [CrossRef] [Green Version]
- Balanis, C.A. Antenna Theory: Analysis and Design, 4th ed.; Wiley: Hoboken, NJ, USA, 2016; ISBN 978-1-118-64206-1. [Google Scholar]
- Meng, X.; Liu, Y.; Gao, X.; Zhang, H. A New Bio-inspired Algorithm: Chicken Swarm Optimization. In Advances in Swarm Intelligence; Tan, Y., Shi, Y., Coello, C.A.C., Eds.; ICSI 2014. Lecture Notes in Computer Science; Springer: Cham, Switzerland, 2014; Volume 8794. [Google Scholar] [CrossRef]
- Saxena, P.; Kothari, A. Optimal pattern synthesis of linear antenna array using grey wolf optimization algorithm. Int. J. Antennas Propag. 2016, 2016, 1205970. [Google Scholar] [CrossRef] [Green Version]
- Albagory, Y.; Alraddady, F. An Efficient Approach for Sidelobe Level Reduction Based on Recursive Sequential Damping. Symmetry 2021, 13, 480. [Google Scholar] [CrossRef]
- Albagory, Y. An Efficient Fast and Convergence-Controlled Algorithm for Sidelobes Simultaneous Reduction (SSR) and Spatial Filtering. Electronics 2021, 10, 1071. [Google Scholar] [CrossRef]
- Buell, K.; Mosallaei, H.; Sarabandi, K. Metamaterial Insulator Enabled Superdirective Array. IEEE Trans. Antennas Propag. 2007, 55, 1074–1085. [Google Scholar] [CrossRef]
- Singh, H.; Sneha, H.L.; Jha, R.M. Mutual Coupling in Phased Arrays: A Review. Int. J. Antennas Propag. 2013, 2013, 348123. [Google Scholar] [CrossRef] [Green Version]
- Inami, K.; Sawaya, K.; Mushiake, Y. Mutual coupling between rectangular slot antennas on a conducting concave spherical surface. IEEE Trans. Antennas Propag. 1982, 30, 927–933. [Google Scholar] [CrossRef]















Publisher’s Note: MDPI stays neutral with regard to jurisdictional claims in published maps and institutional affiliations. |
© 2022 by the authors. Licensee MDPI, Basel, Switzerland. This article is an open access article distributed under the terms and conditions of the Creative Commons Attribution (CC BY) license (https://creativecommons.org/licenses/by/4.0/).
Share and Cite
Albagory, Y.; Alraddady, F. An Efficient Adaptive and Steep-Convergent Sidelobes Simultaneous Reduction Algorithm for Massive Linear Arrays. Electronics 2022, 11, 170. https://doi.org/10.3390/electronics11020170
Albagory Y, Alraddady F. An Efficient Adaptive and Steep-Convergent Sidelobes Simultaneous Reduction Algorithm for Massive Linear Arrays. Electronics. 2022; 11(2):170. https://doi.org/10.3390/electronics11020170
Chicago/Turabian StyleAlbagory, Yasser, and Fahad Alraddady. 2022. "An Efficient Adaptive and Steep-Convergent Sidelobes Simultaneous Reduction Algorithm for Massive Linear Arrays" Electronics 11, no. 2: 170. https://doi.org/10.3390/electronics11020170
APA StyleAlbagory, Y., & Alraddady, F. (2022). An Efficient Adaptive and Steep-Convergent Sidelobes Simultaneous Reduction Algorithm for Massive Linear Arrays. Electronics, 11(2), 170. https://doi.org/10.3390/electronics11020170

