Simulation Study of Low Turn-Off Loss and Snapback-Free SA-IGBT with Injection-Enhanced p-Floating Layer
Abstract
:1. Introduction
2. Device Structure and Mechanism
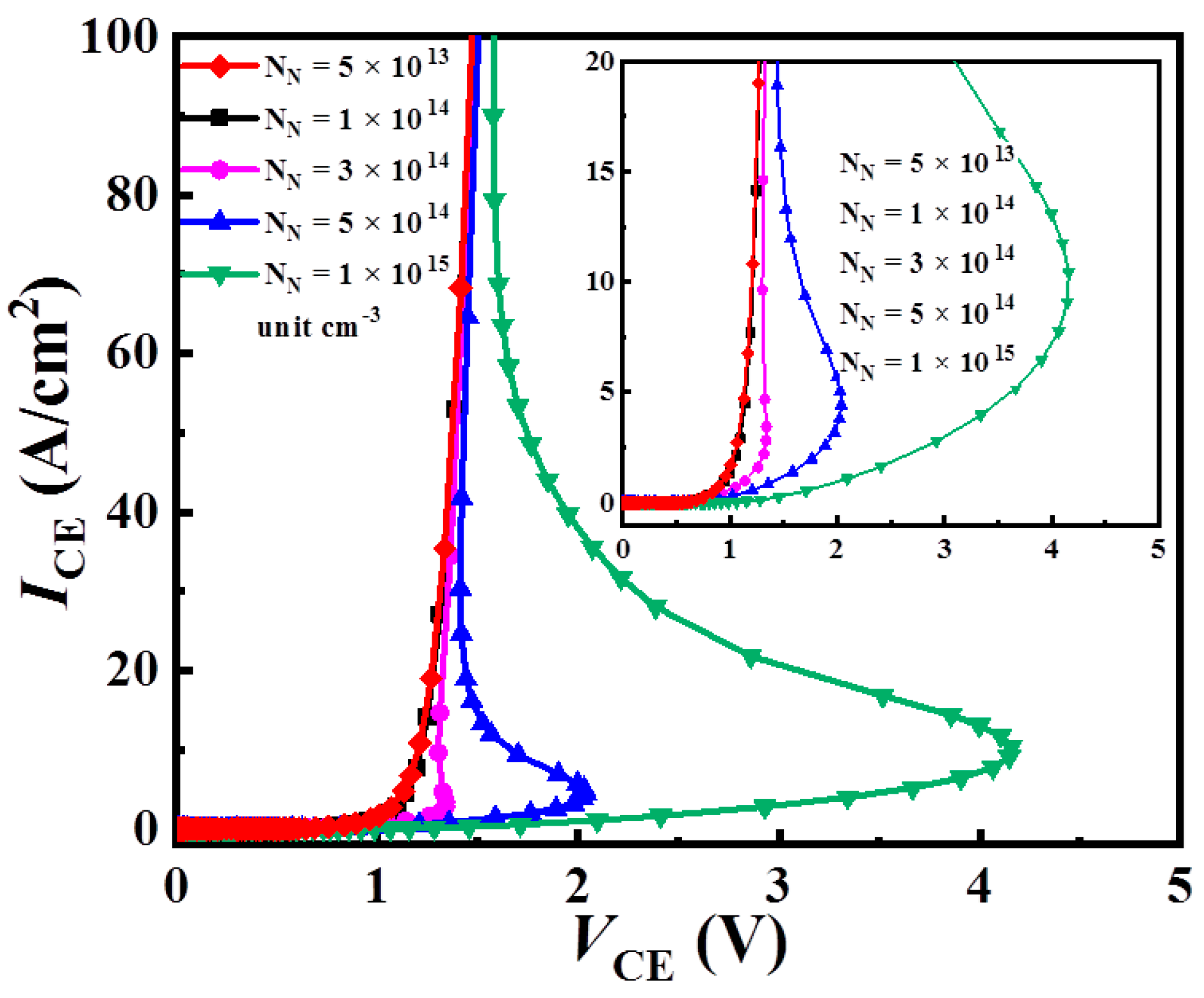
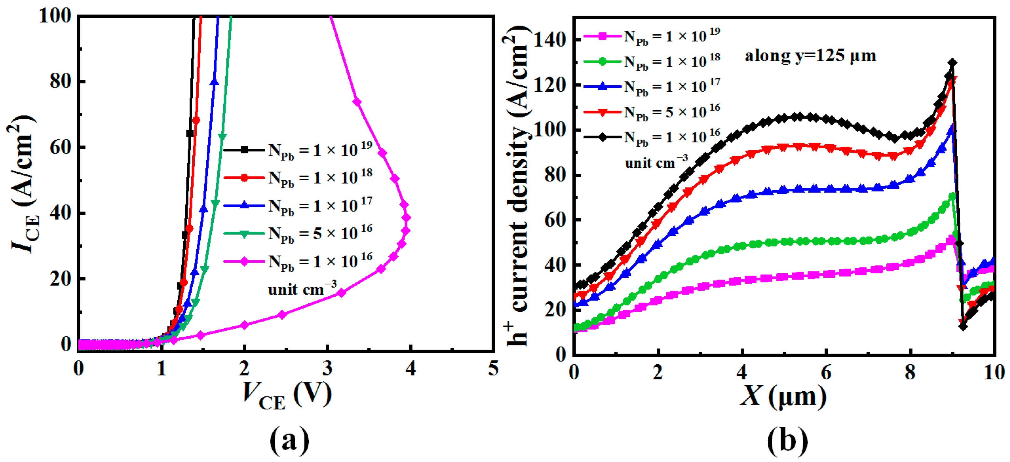
3. Results and Discussion
4. Conclusions
Author Contributions
Funding
Data Availability Statement
Conflicts of Interest
References
- Rahimo, M.; Kopta, A.; Schlapbach, U.; Vobecky, J.; Schnell, R.; Klaka, S. The Bi-mode Insulated Gate Transistor (BIGT) a potential technology for higher power applications. In Proceedings of the 2009 21st International Symposium on Power Semiconductor Devices & IC’s, Barcelona, Spain, 14–18 June 2009; pp. 283–286. [Google Scholar] [CrossRef]
- Rahimo, M.; Schlapbach, U.; Kopta, A.; Vobecky, J.; Schneider, D.; Baschnagel, A. A High Current 3300V Module Employing Reverse Conducting IGBTs Setting a New Benchmark in Output Power Capability. In Proceedings of the 2008 20th International Symposium on Power Semiconductor Devices and IC’s, Orlando, FL, USA, 18–22 May 2008; pp. 68–71. [Google Scholar] [CrossRef]
- Shan, Y.; Tseng, K.J.; Simanjorang, R.; Tu, P. Experimental Comparison of High-Speed Gate Driver Design for 1.2-kV/120-A Si IGBT and SiC MOSFET Modules. IET Power Electron. 2017, 10, 979–986. [Google Scholar]
- Zhu, L.; Chen, X. An Investigation of a Novel Snapback-Free Reverse-Conducting IGBT and with Dual Gates. IEEE Trans. Electron Devices 2012, 59, 3048–3053. [Google Scholar] [CrossRef]
- Wei, J.; Luo, X.; Huang, L.; Zhang, B. Simulation Study of a Novel Snapback-Free and Low Turn-Off Loss Reverse-Conducting IGBT with Controllable Trench Gate. IEEE Electron Device Lett. 2018, 39, 252–255. [Google Scholar] [CrossRef]
- Luther-King, N.; Sweet, M.; Spulber, O.; Vershinin, K.; De Souza, M.; Narayanan, E.S. Striped anode engineering: A concept for fast switching power devices. Solid-State Electron. 2002, 46, 903–909. [Google Scholar] [CrossRef]
- Sun, L.; Duan, B.; Wang, Y.; Yang, Y. Analysis of the Fast-Switching LIGBT with Double Gates and Integrated Schottky Barrier Diode. IEEE Trans. Electron Devices 2019, 66, 2675–2680. [Google Scholar] [CrossRef]
- Simpson, M.R. Analysis of negative differential resistance in the I-V characteristics of shorted-anode LIGBT’s. IEEE Trans. Electron Devices 1991, 38, 1633–1640. [Google Scholar] [CrossRef]
- Zhang, L.; Zhu, J.; Sun, W.; Du, Y.; Yu, H.; Huang, K.; Shi, L. A high current density SOI-LIGBT with Segmented Trenches in the Anode region for suppressing negative differential resistance regime. In Proceedings of the 2015 IEEE 27th International Symposium on Power Semiconductor Devices & IC’s (ISPSD), Hong Kong, 10–14 May 2015; pp. 49–52. [Google Scholar] [CrossRef]
- Huang, L.; Luo, X.; Wei, J.; Zhou, K.; Deng, G.; Sun, T.; Ouyang, D.; Fan, D.; Zhang, B. A Snapback-Free Fast-Switching SOI LIGBT with Polysilicon Regulative Resistance and Trench Cathode. IEEE Trans. Electron Devices 2017, 64, 3961–3966. [Google Scholar] [CrossRef]
- Zhang, L.; Zhu, J.; Sun, W.; Chen, M.; Zhao, M.; Huang, X.; Chen, J.; Qian, Y.; Shi, L. Novel Snapback-Free Reverse-Conducting SOI-LIGBT with Dual Embedded Diodes. IEEE Trans. Electron Devices 2017, 64, 1187–1192. [Google Scholar] [CrossRef]
- Chen, W.; Huang, Y.; He, L.; Han, Z.; Huang, Y. A snapback-free TOL-RC-LIGBT with vertical P-collector and N-buffer design. Chin. Phys. B 2018, 27, 088501. [Google Scholar] [CrossRef]
- Duan, B.; Sun, L.; Yang, Y. Analysis of the Novel Snapback-Free LIGBT with Fast-Switching and Improved Latch-Up Immunity by TCAD Simulation. IEEE Electron Device Lett. 2019, 40, 63–66. [Google Scholar] [CrossRef]
- Wu, J.; Kong, M.; Yi, B.; Chen, X.B. An Ultralow Turn-Off Loss SOI-LIGBT with a High-Voltage p-i-n Diode Integrated on Field Oxide. IEEE Trans. Electron Devices 2019, 66, 1831–1836. [Google Scholar] [CrossRef]
- Antoniou, M.; Udrea, F.; Bauer, F.; Nistor, I. A new way to alleviate the RC IGBT snapback phenomenon: The Super Junction solution. In Proceedings of the 2010 22nd International Symposium on Power Semiconductor Devices & IC’s (ISPSD), Hiroshima, Japan, 6–10 June 2010; pp. 153–156. [Google Scholar]
- Antoniou, M.; Lophitis, N.; Udrea, F.; Bauer, F.; Vemulapati, U.R.; Badstuebner, U. On the Investigation of the “Anode Side” SuperJunction IGBT Design Concept. IEEE Electron Device Lett. 2017, 38, 1063–1066. [Google Scholar] [CrossRef] [Green Version]
- Findlay, E.M.; Udrea, F.; Antoniou, M. Investigation of the Dual Implant Reverse-Conducting SuperJunction Insulated-Gate Bipolar Transistor. IEEE Electron Device Lett. 2019, 40, 862–865. [Google Scholar] [CrossRef]
- Green, D.W.; Vershinin, K.V.; Sweet, M.; Narayanan, E.M.S. Anode Engineering for the Insulated Gate Bipolar Transistor—A Comparative Review. IEEE Trans. Power Electron. 2007, 22, 1857–1866. [Google Scholar] [CrossRef]
- Zhang, L.; Zhu, J.; Ma, J.; Cao, S.; Li, A.; Li, S.; Ye, R.; Sun, W.; Zhao, J.; Shi, L. Turn-Off Transient of Superjunction SOI Lateral IGBTs: Mechanism and Optimization Strategy. IEEE Trans. Electron Devices 2019, 66, 1409–1415. [Google Scholar] [CrossRef]
- Findlay, E.M.; Udrea, F. Reverse-Conducting Insulated Gate Bipolar Transistor: A Review of Current Technologies. IEEE Trans. Electron Devices 2019, 66, 219–231. [Google Scholar] [CrossRef]
- Jiang, H.; Zhang, B.; Chen, W.; Li, Z.; Liu, C.; Rao, Z.; Dong, B. A Snapback Suppressed Reverse-Conducting IGBT with a Floating p-Region in Trench Collector. IEEE Electron Device Lett. 2012, 33, 417–419. [Google Scholar] [CrossRef]
- Zhu, L.; Chen, X. A novel double trench reverse conducting IGBT with robust freewheeling switch. J. Semicond. 2014, 35, 084004. [Google Scholar] [CrossRef]
- Chen, X.; Cheng, J.; Teng, G.; Guo, H. Novel trench gate field stop IGBT with trench shorted anode. J. Semicond. 2016, 37, 54008. [Google Scholar] [CrossRef]
- Bhojani, R.; Lutz, J.; Baburske, R.; Schulze, H.-J.; Niedemostheide, F.-J. A novel Injection Enhanced Floating Emitter (IEFE) IGBT structure improving the ruggedness against short-circuit and thermal destruction. In Proceedings of the 2017 29th International Symposium on Power Semiconductor Devices and IC’s (ISPSD), Sapporo, Japan, 28 May–1 June 2017; pp. 113–116. [Google Scholar] [CrossRef]
- Long, H.; Sweet, M.R.; Luther-King, N.; Narayanan, E. Current Distribution Analysis of IGBT Cells. In Proceedings of the 2009 International Conference on Solid State Devices and Materials, Sendai, Japan, 7–9 October 2009. [Google Scholar]
- Chen, W.-Z.; Li, Z.-H.; Zhang, B.; Ren, M.; Zhang, J.-P.; Liu, Y.; Li, Z.-J. A snapback suppressed reverse-conducting IGBT with uniform temperature distribution. Chin. Phys. B 2014, 23, 018505. [Google Scholar] [CrossRef]
- Yamamoto, T.; Miyake, M.; Kato, H.; Feldmann, U.; Mattausch, H.J.; Miura-Mattausch, M. Compact modeling of injection-enhanced insulated-gate bipolar transistor for accurate circuit switching prediction. Jpn. J. Appl. Phys. 2014, 53, 04EP13. [Google Scholar] [CrossRef]
- Vemulapati, U.; Kaminski, N.; Silber, D.; Storasta, L.; Rahimo, M. Reverse conducting–IGBTs initial snapback phenomenon and its analytical modelling. IET Circuits Devices Syst. 2014, 8, 168–175. [Google Scholar] [CrossRef]
- Jiang, M.; Shen, Z.J. Simulation Study of an Injection Enhanced Insulated-Gate Bipolar Transistor with p-Base Schottky Contact. IEEE Trans. Electron Devices 2016, 63, 1991–1995. [Google Scholar] [CrossRef]
- Deng, G.Q.; Luo, X.R.; Wei, J.; Zhou, K.; Huang, L.; Sun, T.; Liu, Q.; Zhang, B. A Snapback-Free Reverse Conducting Insulated-Gate Bipolar Transistor with Discontinuous Field-Stop Layer. IEEE Trans. Electron Devices 2018, 65, 1856–1861. [Google Scholar] [CrossRef]
- Zhang, X.-D.; Wang, Y.; Wu, X.; Bao, M.-T.; Yu, C.-H.; Cao, F. An Improved VCE–EOFF Tradeoff and Snapback-Free RC-IGBT with P⁺ Pillars. IEEE Trans. Electron Devices 2020, 67, 2859–2864. [Google Scholar] [CrossRef]
- Deng, G.; Luo, X.; Zhou, K.; He, Q.; Ruan, X.; Liu, Q.; Sun, T.; Zhang, B. A snapback-free RC-IGBT with Alternating N/P buffers. In Proceedings of the 2017 29th International Symposium on Power Semiconductor Devices and IC’s (ISPSD), Sapporo, Japan, 28 May–1 June 2017; pp. 127–130. [Google Scholar] [CrossRef]
- Chen, W.; Zhang, B.; Li, Z.; Ren, M.; Li, Z. A short-contacted double anodes IGBT. In Proceedings of the 2012 IEEE 11th International Conference on Solid-State and Integrated Circuit Technology, Xi’an, China, 29 October–1 November 2012; pp. 1–3. [Google Scholar]
- Jiang, H.; Zhang, B.; Chen, W.; Qiao, M.; Li, Z.; Liu, C.; Rao, Z.; Dong, B. Low turnoff loss reverse-conducting IGBT with double n-p-n electron extraction paths. Electron. Lett. 2012, 48, 457–458. [Google Scholar] [CrossRef]











| Parameters | IEPF-IGBT | SA-IGBT |
|---|---|---|
| Gate oxide thickness (nm), Tox | 50 | 50 |
| Gate trench depth (μm), DG | 6 | 6 |
| Drift region doping (cm−3), Nd | 5 × 1013 | 5 × 1013 |
| N-buffer doping (cm−3), NNb | 5 × 1016 | 5 × 1016 |
| N-buffer thickness (μm), TNb | 4 | 4 |
| N-neutral doping (cm−3), NN | 5 × 1013 | 5 × 1013 |
| P-collector thickness (μm), TPb | 2 | 2 |
| N-collector length (μm), LN | 1.25 | 45 |
| Half collector length (μm), L | 10 | 360 |
| Wafer thickness (μm), TS | 130 | 130 |
| P-base doping (cm−3), Nbase | 7 × 1017 | 7 × 1017 |
| P-floating doping (cm−3), NPb | 1 × 1018 | 1 × 1018 |
| P-floating thickness (μm), Tpf | 2 | |
| P-floating gap (μm), LG | 1~9 | |
| Carrier lifetime (μs), τ | 1 | 1 |
Publisher’s Note: MDPI stays neutral with regard to jurisdictional claims in published maps and institutional affiliations. |
© 2022 by the authors. Licensee MDPI, Basel, Switzerland. This article is an open access article distributed under the terms and conditions of the Creative Commons Attribution (CC BY) license (https://creativecommons.org/licenses/by/4.0/).
Share and Cite
Zhang, X.; Gong, M.; Pan, J.; Song, M.; Zhang, H.; Zhang, L. Simulation Study of Low Turn-Off Loss and Snapback-Free SA-IGBT with Injection-Enhanced p-Floating Layer. Electronics 2022, 11, 2351. https://doi.org/10.3390/electronics11152351
Zhang X, Gong M, Pan J, Song M, Zhang H, Zhang L. Simulation Study of Low Turn-Off Loss and Snapback-Free SA-IGBT with Injection-Enhanced p-Floating Layer. Electronics. 2022; 11(15):2351. https://doi.org/10.3390/electronics11152351
Chicago/Turabian StyleZhang, Xiaodong, Ming Gong, Junfeng Pan, Mingxin Song, Hang Zhang, and Linlin Zhang. 2022. "Simulation Study of Low Turn-Off Loss and Snapback-Free SA-IGBT with Injection-Enhanced p-Floating Layer" Electronics 11, no. 15: 2351. https://doi.org/10.3390/electronics11152351
APA StyleZhang, X., Gong, M., Pan, J., Song, M., Zhang, H., & Zhang, L. (2022). Simulation Study of Low Turn-Off Loss and Snapback-Free SA-IGBT with Injection-Enhanced p-Floating Layer. Electronics, 11(15), 2351. https://doi.org/10.3390/electronics11152351
