Asymmetric Bipartite Consensus of Multi-Agent Systems under Periodic Detection Event-Triggered Mechanism
Abstract
:1. Introduction
2. Preliminaries and Problem Formulation
2.1. Preliminaries
- (1)
- There exists a diagonal matrix, so that entries ofare all nonnegative, wherefor;
- (2)
- Laplacian matrixis positive semi-definite;
- (3)
- For a vectorthat satisfies, the following formula holds
- (4)
2.2. Problem Formulation
3. The Analysis of Asymmetric Bipartite Consensus
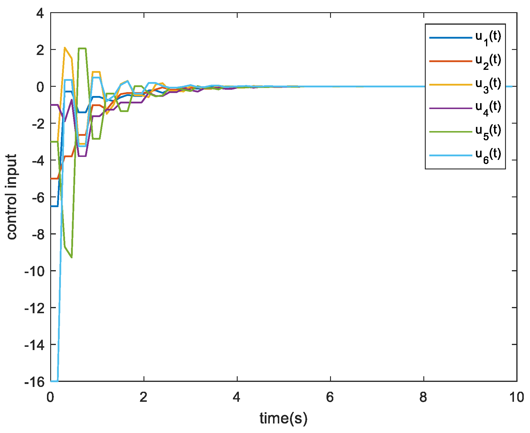
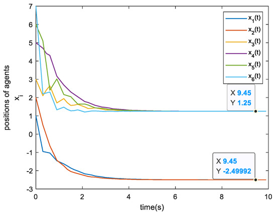
4. Simulation Results
5. Conclusions
Author Contributions
Funding
Data Availability Statement
Conflicts of Interest
References
- Ren, W.; Beard, R.W.; Atkins, E.M. Information consensus in multivehicle cooperative control. IEEE Contr. Syst. Mag. 2007, 27, 71–82. [Google Scholar]
- Song, C.; Liu, L.; Feng, G.; Xu, S. Coverage control for heterogeneous mobile sensor networks on a circle. Automatica 2014, 2, 243–248. [Google Scholar] [CrossRef]
- Yu, D.; Xia, Y.; Li, L.; Zhai, D.H. Event-triggered distributed state estimation over wireless sensor networks. Automatica 2020, 118, 109039. [Google Scholar] [CrossRef]
- Akram, M.; Sarwar, M.; Dudek, W.A. Graphs for the Analysis of Bipolar Fuzzy Information; Springer: Berlin, Germany, 2021. [Google Scholar]
- Akram, M.; Sarwar, M.; Dudek, W.A. Hybrid Soft Computing Models Applied to Graph Theory; Springer: Berlin, Germany, 2020. [Google Scholar]
- Akram, M. m-Polar Fuzzy Graphs; Springer: Berlin, Germany, 2019. [Google Scholar]
- Altafini, C. Consensus problems on networks with antagonistic interactions. IEEE Trans. Autom. Control 2013, 58, 935–946. [Google Scholar] [CrossRef]
- Wu, J.; Deng, Q.; Han, T.; Yan, H.C. Distributed bipartite tracking consensus of nonlinear multi-agent systems with quantized communication. IEEE Trans. Autom. Control 2020, 395, 78–85. [Google Scholar] [CrossRef]
- Qin, J.H.; Fu, W.M.; Zheng, W.X.; Gao, H. On the bipartite consensus for generic linear multiagent systems with input saturation. IEEE Trans. Autom. Control 2017, 47, 1948–1958. [Google Scholar] [CrossRef]
- Ji, L.H.; Yu, X.H.; Li, C.J. Group Consensus for Heterogeneous Multiagent Systems in the Competition Networks with Input Time Delays. IEEE Trans. Syst. Man Cybern. Syst. 2020, 50, 4655–4663. [Google Scholar] [CrossRef]
- Wu, J.; Deng, Q.; Han, T.; Yan, H.C. Bipartite output regulation for singular heterogeneous multi-agent systems on signed graph. Asian J. Control 2021, 23, 1–9. [Google Scholar] [CrossRef]
- Guo, X.; Liang, J.L.; Lu, J.Q. Asymmetric bipartite consensus over directed networks with antagonistic interactions. IET Control Theory Appl. 2018, 12, 2295–2301. [Google Scholar] [CrossRef]
- Guo, X.; Liang, J.L.; Lu, J.Q. Finite-time asymmetric bipartite consensus for signed networks of dynamic agents. IET Control Theory Appl. 2019, 17, 1041–1049. [Google Scholar] [CrossRef]
- Guo, X.; Liang, J.L.; Liang, S.; Lu, J.Q. Pinning control for asymmetric bipartite consensus of antagonistic multi-agent networks with delays. In Proceedings of the Tenth International Conference on Information Science and Technology, Bath, London, and Plymouth, UK, 9–15 September 2020; pp. 7–12. [Google Scholar]
- Liang, J.Q.; Bu, X.H.; Cui, L.Z.; Hou, Z.S. Finite time asymmetric bipartite consensus for multi-agent systems based on iterative learning control. Int. J. Robust Nonlinear Control 2021, 31, 5708–5724. [Google Scholar] [CrossRef]
- Xie, G.M.; Liu, Y.H.; Wang, L.; Jia, Y.M. Consensus in networked multi-agent systems via sampled control: Fixed topology case. In Proceedings of the 2009 American Control Conference, St. Louis, MO, USA, 10–12 June 2009; pp. 3902–3907. [Google Scholar]
- Xie, G.M.; Liu, Y.H.; Wang, L.; Jia, Y.M. Consensus in networked multi-agent systems via sampled control: Switching topology case. In Proceedings of the 2009 American Control Conference, St. Louis, MO, USA, 10–12 June 2009; pp. 4525–4530. [Google Scholar]
- Dimarogonas, D.V.; Johansson, K.H. Event-triggered cooperative control. Proc. Eur. Control Conf. 2009, 4, 3015–3020. [Google Scholar]
- Fan, Y.; Feng, G.; Wang, Y.; Song, C. Distributed event-triggered control of multiagent systems with combinational measurements. Automatica 2013, 4, 671–675. [Google Scholar] [CrossRef]
- Seyboth, G.S.; Dimarogonas, D.V.; Johansson, K.H. Event-based broadcasting for multi-agent average consensus. Automatica 2013, 49, 245–252. [Google Scholar] [CrossRef]
- Wei, Z.; Jiang, Z.; Feng, G. Event-based broadcasting for multi-agent average consensus. Automatica 2013, 50, 552–558. [Google Scholar]
- Nowzari, C.; Cortes, J. Distributed event-triggered coordination for average consensus on weight-balanced digraphs. Automatica 2012, 68, 237–244. [Google Scholar] [CrossRef] [Green Version]
- Nowzari, C.; Cortes, J. Zeno-free, distributed event-triggered communication and control for multi-agent average consensus. In Proceedings of the American Control Conference 2014, Portland, OR, USA, 4–6 June 2014; pp. 2148–2153. [Google Scholar]
- Yu, H.; Chen, X.; Chen, T.W.; Hao, F. Event-triggered bipartite consensus for multiagent systems: A Zeno-free analysis. IEEE Trans. Autom. Control 2020, 65, 4866–4873. [Google Scholar] [CrossRef]
- Zhao, G.L.; Wei, H.X.; Fu, X.W. Distributed dynamic event-triggered control approach to multi-agent systems via adaptive consensus protocols. Asian J. Control 2021, 24, 1486–1496. [Google Scholar] [CrossRef]
- Meng, X.Y.; Chen, T.W. Event based agreement protocols for multi-agent networks. Automatica 2013, 49, 2125–2132. [Google Scholar] [CrossRef]
- Fan, Y.; Yang, Y.; Zhang, Y. Sampling-based event-triggered consensus for multiagent systems. Neurocomputing 2016, 191, 141–147. [Google Scholar] [CrossRef]
- Qi, Y.N.; Mu, R.; Zhang, X.F. Periodic event-triggered bipartite consensus for multi-agent systems with partial information transmission. Asian J. Control 2021, 23, 1–9. [Google Scholar] [CrossRef]
- Heemels, W.; Donkers, M.; Teel, A. Periodic event-triggered control for linear systems. IEEE Trans. Autom. Control 2013, 54, 847–861. [Google Scholar] [CrossRef]
- Dong, Y.; Tian, E.G.; Han, Q.L. A delay system method for designing event-triggered controllers of networked control systems. IEEE Trans. Autom. Control 2013, 58, 475–481. [Google Scholar]
- Wang, W.X.; Ye, H.T.; Luo, W.G.; Wen, J.Y. Asymmetric bipartite consensus of multi-agent system under event-triggered mechanism. J. Guangxi Univ. Sci. Technol. 2021, 32, 28–34. [Google Scholar]









| agent | agent 1 | agent 2 | agent 3 | agent 4 | agent 5 | agent 6 |
|---|---|---|---|---|---|---|
| No. Event of (9) | 56 | 37 | 38 | 53 | 32 | 39 |
| No. Event of (19) | 24 | 24 | 24 | 30 | 23 | 30 |
Publisher’s Note: MDPI stays neutral with regard to jurisdictional claims in published maps and institutional affiliations. |
© 2022 by the authors. Licensee MDPI, Basel, Switzerland. This article is an open access article distributed under the terms and conditions of the Creative Commons Attribution (CC BY) license (https://creativecommons.org/licenses/by/4.0/).
Share and Cite
Wang, W.; Ye, H.; Luo, W.; Huang, D. Asymmetric Bipartite Consensus of Multi-Agent Systems under Periodic Detection Event-Triggered Mechanism. Electronics 2022, 11, 2036. https://doi.org/10.3390/electronics11132036
Wang W, Ye H, Luo W, Huang D. Asymmetric Bipartite Consensus of Multi-Agent Systems under Periodic Detection Event-Triggered Mechanism. Electronics. 2022; 11(13):2036. https://doi.org/10.3390/electronics11132036
Chicago/Turabian StyleWang, Wenxin, Hongtao Ye, Wenguang Luo, and Dan Huang. 2022. "Asymmetric Bipartite Consensus of Multi-Agent Systems under Periodic Detection Event-Triggered Mechanism" Electronics 11, no. 13: 2036. https://doi.org/10.3390/electronics11132036
APA StyleWang, W., Ye, H., Luo, W., & Huang, D. (2022). Asymmetric Bipartite Consensus of Multi-Agent Systems under Periodic Detection Event-Triggered Mechanism. Electronics, 11(13), 2036. https://doi.org/10.3390/electronics11132036

