Estimation of Total Nitrogen Content in Rubber Plantation Soil Based on Hyperspectral and Fractional Order Derivative
Abstract
:1. Introduction
2. Materials and Methods
2.1. Study Area, Soil Sampling and Preparation
2.2. Laboratory Spectral Measurements and Preprocessing
2.3. Data Division
2.4. Fractional Order Derivative (FOD)
2.5. Spectral Variable Selection Techniques
2.6. Partial Least Squares Regression (PLSR)
2.7. Model Evaluation
3. Results
3.1. Soil Spectral Reflectance
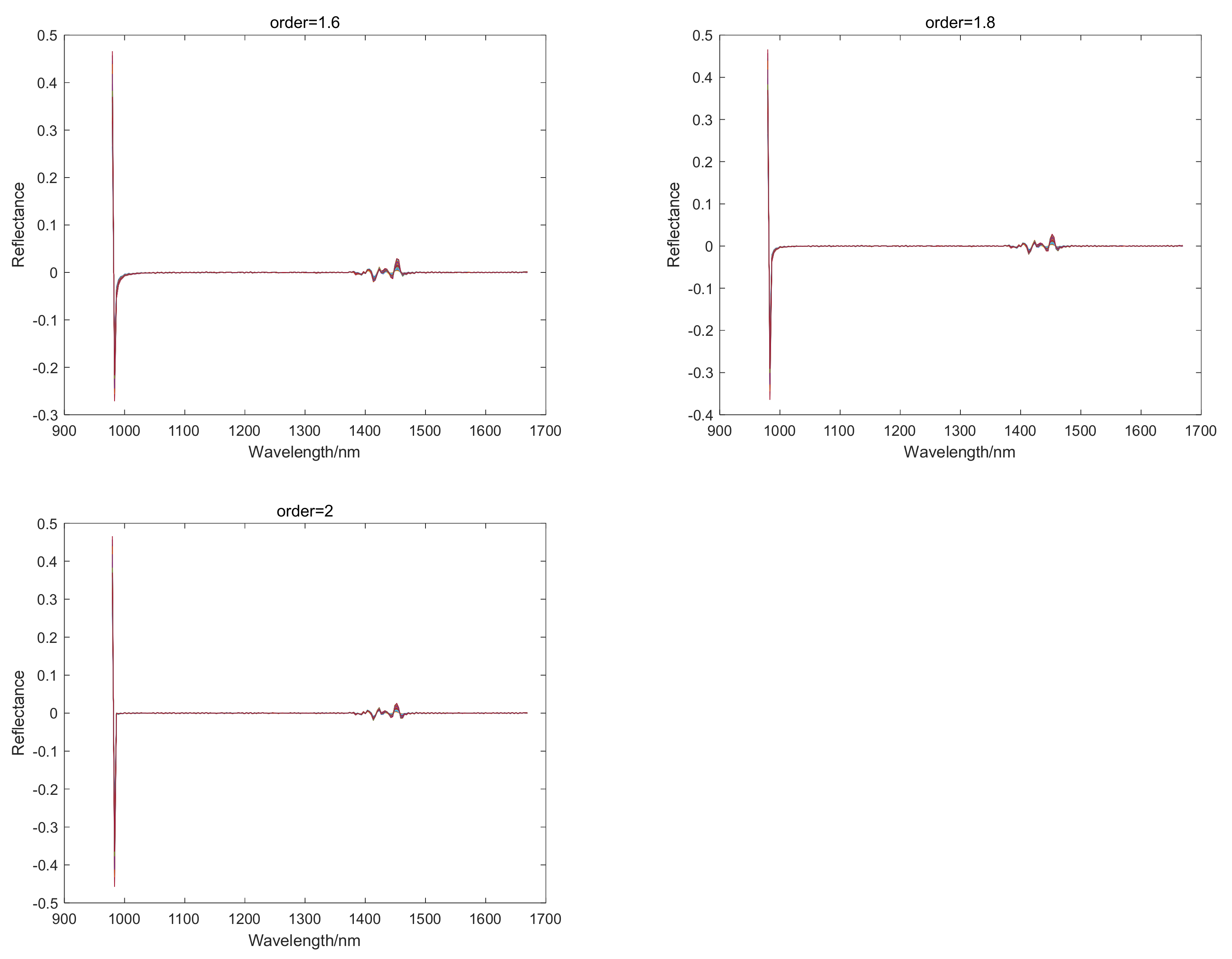
3.2. FOD Spectral Analysis
3.3. Feature Variable Selection and Building Estimation Models
4. Discussion
5. Conclusions
Author Contributions
Funding
Data Availability Statement
Conflicts of Interest
References
- Chen, K.; Li, C.; Tang, R. Estimation of the nitrogen concentration of rubber tree using fractional calculus augmented NIR spectra. Ind. Crop. Prod. 2017, 108, 831–839. [Google Scholar] [CrossRef]
- Tang, R.; Luo, X.; Li, C.; Zhong, S. A study on nitrogen concentration detection model of rubber leaf based on spatial-spectral information with NIR hyperspectral data. Infrared Phys. Technol. 2022, 122, 104094. [Google Scholar] [CrossRef]
- Li, X.; Liu, Z.M.; Ding, H.; Xu, M.; Li, C. Study on estimation models for total nitrogen content of rubber tree leaves based on hyper-spectral data. Southwest China J. Agric. Sci. 2015, 28, 569–574. [Google Scholar]
- Wu, Z.; Xie, G.; Yang, C.; Zhou, Z.; Chen, B. Soil nutrient characteristics of rubber plantations at different age stages in western area of Hainan island. Nat. Sci. J. Hainan Univ. 2011, 29, 42–48. [Google Scholar]
- Nie, P.; Dong, T.; He, Y.; Qu, F. Detection of Soil Nitrogen Using Near Infrared Sensors Based on Soil Pretreatment and Algorithms. Sensors 2017, 17, 1102. [Google Scholar] [CrossRef] [PubMed]
- Zhang, Y.; Li, M.; Zheng, L.; Qin, Q.; Lee, W.S. Spectral features extraction for estimation of soil total nitrogen content based on modified ant colony optimization algorithm. Geoderma 2019, 333, 23–34. [Google Scholar] [CrossRef]
- Qin, J.; Chao, K.; Kim, M.S.; Lu, R.; Burks, T.F. Hyperspectral and multispectral imaging for evaluating food safety and quality. J. Food Eng. 2013, 118, 157–171. [Google Scholar] [CrossRef]
- Gomez, C.; Rossel, R.A.V.; McBratney, A.B. Soil organic carbon prediction by hyperspectral remote sensing and field vis-NIR spectroscopy: An Australian case study. Geoderma 2008, 146, 403–411. [Google Scholar] [CrossRef]
- Ou, D.; Tan, K.; Lai, J.; Jia, X.; Wang, X.; Chen, Y.; Li, J. Semi-supervised DNN regression on airborne hyperspectral imagery for improved spatial soil properties prediction. Geoderma 2021, 385, 114875. [Google Scholar] [CrossRef]
- Shi, Y.; Zhao, J.; Song, X.; Qin, Z.; Wu, L.; Wang, H.; Tang, J. Hyperspectral band selection and modeling of soil organic matter content in a forest using the Ranger algorithm. PLoS ONE 2021, 16, e0253385. [Google Scholar] [CrossRef]
- Yang, C.; Feng, M.; Song, L.; Wang, C.; Yang, W.; Xie, Y.; Jing, B.; Xiao, L.; Zhang, M.; Song, X.; et al. Study on hyperspectral estimation model of soil organic carbon content in the wheat field under different water treatments. Sci. Rep. 2021, 11, 18582. [Google Scholar] [CrossRef] [PubMed]
- Lin, L.; Liu, X. Mixture-based weight learning improves the random forest method for hyperspectral estimation of soil total nitrogen. Comput. Electron. Agric. 2022, 192, 106634. [Google Scholar] [CrossRef]
- Tan, K.; Ma, W.; Chen, L.; Wang, H.; Du, Q.; Du, P.; Yan, B.; Liu, R.; Li, H. Estimating the distribution trend of soil heavy metals in mining area from HyMap airborne hyperspectral imagery based on ensemble learning. J. Hazard. Mater. 2021, 401, 123288. [Google Scholar] [CrossRef] [PubMed]
- Duckworth, J. Mathematical data preprocessing. Near-Infrared Spectrosc. Agric. 2004, 44, 113–132. [Google Scholar]
- Diwu, P.; Bian, X.; Wang, Z.; Liu, W. Study on the selection of spectral preprocessing methods. Spectrosc. Spectr. Anal. 2019, 39, 2800. [Google Scholar]
- Dotto, A.C.; Dalmolin, R.S.D.; ten Caten, A.; Grunwald, S. A systematic study on the application of scatter-corrective and spectral-derivative preprocessing for multivariate prediction of soil organic carbon by Vis-NIR spectra. Geoderma 2018, 314, 262–274. [Google Scholar] [CrossRef]
- Abulaiti, Y.; Sawut, M.; Maimaitiaili, B.; Chunyue, M. A possible fractional order derivative and optimized spectral indices for assessing total nitrogen content in cotton. Comput. Electron. Agric. 2020, 171, 105275. [Google Scholar] [CrossRef]
- Zhang, Z.; Ding, J.; Wang, J.; Ge, X. Prediction of soil organic matter in northwestern China using fractional-order derivative spectroscopy and modified normalized difference indices. CATENA 2020, 185, 104257. [Google Scholar] [CrossRef]
- Cui, S.; Zhou, K.; Ding, R.; Cheng, Y.; Jiang, G. Estimation of soil copper content based on fractional-order derivative spectroscopy and spectral characteristic band selection. Spectrochim. Acta Part A Mol. Biomol. Spectrosc. 2022, 275, 121190. [Google Scholar] [CrossRef]
- Lao, C.; Chen, J.; Zhang, Z.; Chen, Y.; Ma, Y.; Chen, H.; Gu, X.; Ning, J.; Jin, J.; Li, X. Predicting the contents of soil salt and major water-soluble ions with fractional-order derivative spectral indices and variable selection. Comput. Electron. Agric. 2021, 182, 106031. [Google Scholar] [CrossRef]
- Hong, Y.; Chen, Y.; Yu, L.; Liu, Y.; Liu, Y.; Zhang, Y.; Liu, Y.; Cheng, H. Combining Fractional Order Derivative and Spectral Variable Selection for Organic Matter Estimation of Homogeneous Soil Samples by VIS–NIR Spectroscopy. Remote Sens. 2018, 10, 479. [Google Scholar] [CrossRef] [Green Version]
- Yu, H.-D.; Qing, L.-W.; Yan, D.-T.; Xia, G.; Zhang, C.; Yun, Y.-H.; Zhang, W. Hyperspectral imaging in combination with data fusion for rapid evaluation of tilapia fillet freshness. Food Chem. 2021, 348, 129129. [Google Scholar] [CrossRef]
- Wang, J.; Wang, T.; Shi, T.; Wu, G.; Skidmore, A.K. A Wavelet-Based Area Parameter for Indirectly Estimating Copper Concentration in Carex Leaves from Canopy Reflectance. Remote Sens. 2015, 7, 15340–15360. [Google Scholar] [CrossRef] [Green Version]
- Scherer, R.; Kalla, S.L.; Tang, Y.; Huang, J. The Grünwald–Letnikov method for fractional differential equations. Comput. Math. Appl. 2011, 62, 902–917. [Google Scholar] [CrossRef] [Green Version]
- Abd Elaziz, M.; Yousri, D.; Al-qaness, M.A.A.; AbdelAty, A.M.; Radwan, A.G.; Ewees, A.A. A Grunwald–Letnikov based Manta ray foraging optimizer for global optimization and image segmentation. Eng. Appl. Artif. Intell. 2021, 98, 104105. [Google Scholar] [CrossRef]
- Varga, D. Full-Reference Image Quality Assessment Based on Grünwald–Letnikov Derivative, Image Gradients, and Visual Saliency. Electronics 2022, 11, 559. [Google Scholar] [CrossRef]
- Khan, I.H.; Liu, H.; Cheng, T.; Tian, Y.; Cao, Q.; Zhu, Y.; Yao, X. Detection of wheat powdery mildew based on hyperspectral reflectance through SPA and PLS-LDA. Int. J. Precis. Agric. Aviat. 2018, 1, 43–48. [Google Scholar]
- Chen, J.; Yu, H.; Jiang, D.; Zhang, Y.; Wang, K. A novel NIRS modelling method with OPLS-SPA and MIX-PLS for timber evaluation. J. For. Res. 2021, 33, 369–376. [Google Scholar] [CrossRef]
- Wold, S.; Sjöström, M.; Eriksson, L. PLS-regression: A basic tool of chemometrics. Chemom. Intell. Lab. Syst. 2001, 58, 109–130. [Google Scholar] [CrossRef]
- Xu, S.; Zhao, Y.; Wang, M.; Shi, X. Determination of rice root density from Vis–NIR spectroscopy by support vector machine regression and spectral variable selection techniques. CATENA 2017, 157, 12–23. [Google Scholar] [CrossRef]
- Shi, Z.; Wang, Q.; Peng, J.; Ji, W.; Liu, H.; Li, X.; Viscarra Rossel, R.A. Development of a national VNIR soil-spectral library for soil classification and prediction of organic matter concentrations. Sci. China Earth Sci. 2014, 57, 1671–1680. [Google Scholar] [CrossRef]
- Xie, S.; Li, Y.; Wang, X.; Liu, Z.; Ma, K.; Ding, L. Research on estimation models of the spectral characteristics of soil organic matter based on the soil particle size. Spectrochim. Acta Part A Mol. Biomol. Spectrosc. 2021, 260, 119963. [Google Scholar] [CrossRef] [PubMed]
- Sun, J.; Cong, S.; Mao, H.; Wu, X.; Zhang, X.; Wang, P. CARS-ABC-SVR model for predicting leaf moisture of leaf-used lettuce based on hyperspectral. Trans. Chin. Soc. Agric. Eng. 2017, 33, 178–184. [Google Scholar]
- Qiao, X.-X.; Wang, C.; Feng, M.-C.; Yang, W.-D.; Ding, G.-W.; Sun, H.; Liang, Z.-Y.; Shi, C.-C. Hyperspectral estimation of soil organic matter based on different spectral preprocessing techniques. Spectrosc. Lett. 2017, 50, 156–163. [Google Scholar] [CrossRef]
- Hong, Y.; Shen, R.; Cheng, H.; Chen, Y.; Zhang, Y.; Liu, Y.; Zhou, M.; Yu, L.; Liu, Y.; Liu, Y. Estimating lead and zinc concentrations in peri-urban agricultural soils through reflectance spectroscopy: Effects of fractional-order derivative and random forest. Sci. Total Environ. 2019, 651, 1969–1982. [Google Scholar] [CrossRef]
- Chen, L.; Lai, J.; Tan, K.; Wang, X.; Chen, Y.; Ding, J. Development of a soil heavy metal estimation method based on a spectral index: Combining fractional-order derivative pretreatment and the absorption mechanism. Sci. Total Environ. 2022, 813, 151882. [Google Scholar] [CrossRef] [PubMed]
- Xu, X.; Chen, S.; Ren, L.; Han, C.; Lv, D.; Zhang, Y.; Ai, F. Estimation of Heavy Metals in Agricultural Soils Using Vis-NIR Spectroscopy with Fractional-Order Derivative and Generalized Regression Neural Network. Remote Sens. 2021, 13, 2718. [Google Scholar] [CrossRef]







| Sample Set | n | Minimum | Mean | Median | Maximum | SD | CV |
|---|---|---|---|---|---|---|---|
| Total | 91 | 0.3064 | 0.5631 | 0.5487 | 0.8885 | 0.1558 | 28.4% |
| Calibration | 61 | 0.3064 | 0.5613 | 0.5487 | 0.8885 | 0.1564 | 27.87% |
| Validation | 30 | 0.3191 | 0.5666 | 0.5449 | 0.8852 | 0.1572 | 27.75% |
| Model | Number of Variables | Calibration | Validation | |||
|---|---|---|---|---|---|---|
| R2c | RMSEC | R2v | RMSEV | RPD | ||
| PLSR | 211 | 0.728 | 0.081 | 0.429 | 0.117 | 1.35 |
| SPA-PLSR | 13 | 0.387 | 0.121 | 0.535 | 0.105 | 1.49 |
| Order | Number of Variables | Calibration | Validation | |||
|---|---|---|---|---|---|---|
| R2c | RMSEC | R2v | RMSEV | RPD | ||
| 0 | 13 | 0.387 | 0.121 | 0.535 | 0.105 | 1.49 |
| 0.2 | 27 | 0.648 | 0.092 | 0.462 | 0.113 | 1.39 |
| 0.4 | 29 | 0.664 | 0.090 | 0.584 | 0.100 | 1.58 |
| 0.6 | 30 | 0.731 | 0.081 | 0.633 | 0.094 | 1.68 |
| 0.8 | 15 | 0.505 | 0.109 | 0.513 | 0.108 | 1.46 |
| 1.0 | 14 | 0.354 | 0.125 | 0.568 | 0.102 | 1.55 |
| 1.2 | 7 | 0.346 | 0.126 | 0.473 | 0.112 | 1.40 |
| 1.4 | 17 | 0.567 | 0.102 | 0.575 | 0.101 | 1.56 |
| 1.6 | 15 | 0.548 | 0.104 | 0.631 | 0.094 | 1.67 |
| 1.8 | 23 | 0.612 | 0.097 | 0.649 | 0.092 | 1.72 |
| 2.0 | 16 | 0.457 | 0.114 | 0.513 | 0.108 | 1.46 |
| Model | Number of Variables | Calibration | Validation | |||
|---|---|---|---|---|---|---|
| R2c | RMSEC | R2v | RMSEV | RPD | ||
| MSC-SPA-PLSR | 17 | 0.491 | 0.111 | 0.500 | 0.109 | 1.44 |
| SNV-SPA-PLSR | 23 | 0.631 | 0.094 | 0.569 | 0.102 | 1.55 |
| 1.8-order-SPA-PLSR | 23 | 0.612 | 0.097 | 0.649 | 0.092 | 1.72 |
Publisher’s Note: MDPI stays neutral with regard to jurisdictional claims in published maps and institutional affiliations. |
© 2022 by the authors. Licensee MDPI, Basel, Switzerland. This article is an open access article distributed under the terms and conditions of the Creative Commons Attribution (CC BY) license (https://creativecommons.org/licenses/by/4.0/).
Share and Cite
Tang, R.; Li, X.; Li, C.; Jiang, K.; Hu, W.; Wu, J. Estimation of Total Nitrogen Content in Rubber Plantation Soil Based on Hyperspectral and Fractional Order Derivative. Electronics 2022, 11, 1956. https://doi.org/10.3390/electronics11131956
Tang R, Li X, Li C, Jiang K, Hu W, Wu J. Estimation of Total Nitrogen Content in Rubber Plantation Soil Based on Hyperspectral and Fractional Order Derivative. Electronics. 2022; 11(13):1956. https://doi.org/10.3390/electronics11131956
Chicago/Turabian StyleTang, Rongnian, Xiaowei Li, Chuang Li, Kaixuan Jiang, Wenfeng Hu, and Jingjin Wu. 2022. "Estimation of Total Nitrogen Content in Rubber Plantation Soil Based on Hyperspectral and Fractional Order Derivative" Electronics 11, no. 13: 1956. https://doi.org/10.3390/electronics11131956
APA StyleTang, R., Li, X., Li, C., Jiang, K., Hu, W., & Wu, J. (2022). Estimation of Total Nitrogen Content in Rubber Plantation Soil Based on Hyperspectral and Fractional Order Derivative. Electronics, 11(13), 1956. https://doi.org/10.3390/electronics11131956

