Machine-Learning-Based Multi-Corner Timing Prediction for Faster Timing Closure
Abstract
:1. Introduction
- It is shown for the first time that different dominant corner combinations have different prediction accuracies, and that the divergence is particularly huge.
- We put forward an efficient dominant corner selection strategy using a non-linear model which can be used to quickly and generally select the combination of dominant corners that meets the requirements of STA acceleration and prediction accuracy.
- We propose an application flow for multi-corner timing prediction based on our proposed dominant corner selection strategy. A method of incremental re-training which can handle outliers or include new data in a timely manner is integrated into the flow to improve the efficiency of the training process.
- We apply our method to industrial design and prove that the machine learning-based method can achieve a faster timing closure.
2. Related Work
3. Preliminary
3.1. Definition of Corner
3.2. Exploration of Dominant Corner Space
3.3. Data Construction
3.4. Machine Learning Models
4. Timing Prediction Method and Experiment Preparation
4.1. Machine-Learning-Based Multi-Corner Timing Prediction Method
4.1.1. Iterative Increase Strategy for Dominant Corner Selection
| Algorithm 1 Dominant corner selection algorithm |
| Input: The initial corner, seed; The set of all corners, ; Timing results at all corners in |
| matrix form, T; The maximum number of dominant corners, max; A machine learning |
| model, model; |
| Output:PAF, score; |
| 1: Creating empty dominant corner set and non-dominant corner set ; |
| 2: Initializing and : |
| , ; |
| 3: Partitioning training data Ttrain and predicting data Tpredict: |
| ; |
| 4: for do |
| 5: , ; |
| 6: , ; |
| 7: Training the machine learning model: |
| ; |
| 8: Using the trained model to predict : |
| ; |
| 9: Evaluation prediction accuracy acc, and updating score: |
| Accuracy , ; |
| 10: Selecting the corner corresponding to the lowest accuracy as temp, and then updating: |
| , ; |
| 11: end for |
| 12: return |
4.1.2. An Application Flow of Multi-Corner Timing Prediction
4.2. Experiment Configuration
4.2.1. Information of Designs
4.2.2. Prediction Performance Metrics
5. Experiments and Results
5.1. Experiment 1: Performance Evaluation of Different Models
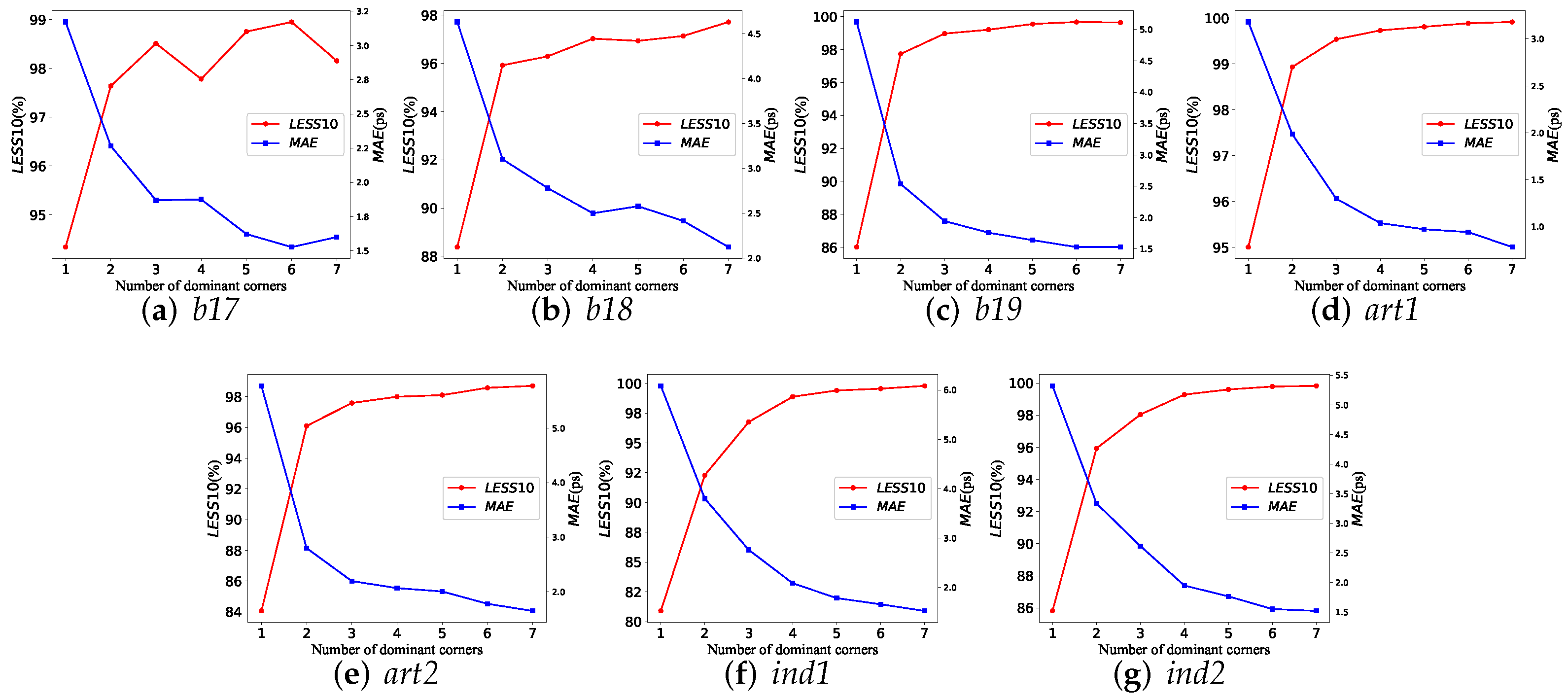
5.2. Experiment 2: Performance Evaluation of Corner Selection Strategy
5.3. Experiment 3: Further Comparison and Analysis of Prediction Performance
5.4. Experiment 4: Performance Evaluation of Small-Scale Training Data
5.5. Experiment 5: Performance Evaluation of Incremental Re-Training
5.6. Experiment 6: Faster Timing Closure in Industrial Application
6. Conclusions
Author Contributions
Funding
Institutional Review Board Statement
Informed Consent Statement
Data Availability Statement
Conflicts of Interest
References
- Chadha, R.; Bhasker, J. Static Timing Analysis for Nanometer Designs: A Practical Approach; Springer: Berlin/Heidelberg, Germany, 2009. [Google Scholar]
- Kahng, A.B.; Mallappa, U.; Saul, L.; Tong, S. “Unobserved Corner” Prediction: Reducing Timing Analysis Effort for Faster Design Convergence in Advanced-Node Design. In Proceedings of the 2019 Design, Automation & Test in Europe Conference & Exhibition (DATE), Florence, Italy, 25–29 March 2019; pp. 168–173. [Google Scholar]
- e Silva, L.G.; Silveira, L.M.; Phillips, J.R. Efficient computation of the worst-delay corner. In Proceedings of the 2007 Design, Automation & Test in Europe Conference & Exhibition, Nice, France, 16–20 April 2007; pp. 1–6. [Google Scholar]
- Onaissi, S.; Najm, F.N. A linear-time approach for static timing analysis covering all process corners. IEEE Trans.-Comput.-Aided Des. Integr. Circuits Syst. 2008, 27, 1291–1304. [Google Scholar] [CrossRef] [Green Version]
- Orshansky, M.; Bandyopadhyay, A. Fast statistical timing analysis handling arbitrary delay correlations. In Proceedings of the ACM, San Diego, CA, USA, 7–11 June 2004; pp. 337–342. [Google Scholar]
- Khandelwal, V.; Srivastava, A. A general framework for accurate statistical timing analysis considering correlations. In Proceedings of the Design Automation Conference, San Diego, CA, USA, 13–17 June 2005; pp. 89–94. [Google Scholar]
- Nian, J.J.; Tsai, S.H.; Huang, C.Y. A unified Multi-Corner Multi-Mode static timing analysis engine. In Proceedings of the 2010 15th Asia and South Pacific Design Automation Conference (ASP-DAC), Taipei, Taiwan, 18–21 January 2010; pp. 669–674. [Google Scholar] [CrossRef]
- Onaissi, S.; Taraporevala, F.; Liu, J.; Najm, F. A fast approach for static timing analysis covering all PVT corners. In Proceedings of the 2011 48th ACM/EDAC/IEEE Design Automation Conference (DAC), San Diego, CA, USA, 5–10 June 2011; pp. 777–782. [Google Scholar]
- Bian, S.; Hiromoto, M.; Shintani, M.; Sato, T. LSTA: Learning-based static timing analysis for high-dimensional correlated on-chip variations. In Proceedings of the 2017 54th ACM/EDAC/IEEE Design Automation Conference (DAC), Austin, TX, USA, 18–22 June 2017; pp. 1–6. [Google Scholar]
- Kahng, A.B.; Luo, M.; Nath, S. SI for free: Machine learning of interconnect coupling delay and transition effects. In Proceedings of the 2015 ACM/IEEE International Workshop on System Level Interconnect Prediction (SLIP), San Francisco, CA, USA, 6 June 2015; pp. 1–8. [Google Scholar]
- Han, S.S.; Kahng, A.B.; Nath, S.; Vydyanathan, A.S. A deep learning methodology to proliferate golden signoff timing. In Proceedings of the 2014 Design, Automation & Test in Europe Conference & Exhibition (DATE), Dresden, Germany, 24–28 March 2014; pp. 1–6. [Google Scholar]
- Kahng, A.B.; Kang, S.; Lee, H.; Nath, S.; Wadhwani, J. Learning-based approximation of interconnect delay and slew in signoff timing tools. In Proceedings of the 2013 ACM/IEEE International Workshop on System Level Interconnect Prediction (SLIP), Austin, TX, USA, 2 June 2013; pp. 1–8. [Google Scholar]
- Chan, W.T.J.; Chung, K.Y.; Kahng, A.B.; Macdonald, N.D.; Nath, S. Learning-based prediction of embedded memory timing failures during initial floorplan design. In Proceedings of the Asia & South Pacific Design Automation Conference, Macau, China, 25–28 January 2016; pp. 178–185. [Google Scholar]
- Guo, Z.; Huang, T.W.; Lin, Y. Gpu-accelerated static timing analysis. In Proceedings of the 39th International Conference on Computer-Aided Design, San Diego, CA, USA, 2–5 November 2020; pp. 1–9. [Google Scholar]
- Deng, W.; Okada, K.; Matsuzawa, A. A feedback class-C VCO with robust startup condition over PVT variations and enhanced oscillation swing. In Proceedings of the ESSCIRC (ESSCIRC), Helsinki, Finland, 12–16 September 2011; pp. 499–502. [Google Scholar]
- Chang, K.j.; Chang, L.f.; Mathews, R.G.; Walker, M.G. Method and System for Extraction of Parasitic Interconnect Impedance Including Inductance. US Patent 6,643,831, 2003. [Google Scholar]
- Marquaridt, D.W. Generalized inverses, ridge regression, biased linear estimation, and nonlinear estimation. Technometrics 1970, 12, 591–612. [Google Scholar] [CrossRef]
- Gardner, M.W.; Dorling, S. Artificial neural networks (the multilayer perceptron)—A review of applications in the atmospheric sciences. Atmos. Environ. 1998, 32, 2627–2636. [Google Scholar] [CrossRef]
- Breiman, L. Random forests. Mach. Learn. 2001, 45, 5–32. [Google Scholar] [CrossRef] [Green Version]
- Zhang, S.Z.; Zhao, Z.Y.; Feng, C.C.; Wang, L. A Machine Learning Framework with Feature Selection for Floorplan Acceleration in IC Physical Design. J. Comput. Sci. Technol. 2020, 35, 468–474. [Google Scholar] [CrossRef]
- Benesty, J.; Chen, J.; Huang, Y.; Cohen, I. Pearson correlation coefficient. In Noise Reduction in Speech Processing; Springer: Berlin/Heidelberg, Germany, 2009; pp. 1–4. [Google Scholar]
- Pedregosa, F.; Varoquaux, G.; Gramfort, A.; Michel, V.; Thirion, B.; Grisel, O.; Blondel, M.; Prettenhofer, P.; Weiss, R.; Dubourg, V.; et al. Scikit-learn: Machine learning in Python. J. Mach. Learn. Res. 2011, 12, 2825–2830. [Google Scholar]
- Huang, T.W.; Wong, M.D. OpenTimer: A high-performance timing analysis tool. In Proceedings of the 2015 IEEE/ACM International Conference on Computer-Aided Design (ICCAD), Austin, TX, USA, 2–6 November 2015; pp. 895–902. [Google Scholar]
- Davidson, S. Characteristics of the ITC’99 benchmark circuits. In Proceedings of the IEEE International Test Synthesis Workshop (ITSW), Atlantic City, NJ, USA, 28–30 September 1999. [Google Scholar]
- Ranjan, G.; Verma, A.K.; Radhika, S. K-nearest neighbors and grid search cv based real time fault monitoring system for industries. In Proceedings of the 2019 IEEE 5th International Conference for Convergence in Technology (I2CT), Bombay, India, 29–31 March 2019; pp. 1–5. [Google Scholar]
- Jung, Y.; Hu, J. AK-fold averaging cross-validation procedure. J. Nonparametr. Stat. 2015, 27, 167–179. [Google Scholar] [CrossRef] [PubMed] [Green Version]
- Huang, T.W.; Guo, G.; Lin, C.X.; Wong, M.D. OpenTimer v2: A new parallel incremental timing analysis engine. IEEE Trans.-Comput.-Aided Des. Integr. Circuits Syst. 2020, 40, 776–789. [Google Scholar] [CrossRef]










| Corner ID | 1 | 2 | 3 | 4 | 5 | 6 | 7 |
|---|---|---|---|---|---|---|---|
| Process | ff | ff | ff | ff | ff | ff | ff |
| Voltage (V) | 0.88 | 0.88 | 0.88 | 0.88 | 0.88 | 0.88 | 0.88 |
| Temperature (°C) | 0 | 0 | 0 | 0 | 125 | 125 | 125 |
| Library-Corner | bc | bc | bc | bc | ml | ml | ml |
| RC-Corner | cbest | cworst | rcbest | rcworst | cbest | cworst | rcbest |
| Corner ID | 8 | 9 | 10 | 11 | 12 | 13 | 14 |
| Process | ff | tt | tt | ss | ss | ss | ss |
| Voltage (V) | 0.88 | 0.8 | 0.8 | 0.72 | 0.72 | 0.72 | 0.72 |
| Temperature (°C) | 125 | 85 | 85 | 0 | 0 | 125 | 125 |
| Library-Corner | ml | tc | tc | wcz | wcz | wc | wc |
| RC-Corner | rcworst | cworst | rcworst | cworst | rcworst | cworst | rcworst |
| Number | Dominant Corner Combination | Acceleration | Accuracy |
|---|---|---|---|
| 1 | () | 14.0× | 79.3% |
| 2 | (,) | 7.0× | 85.7% |
| 3 | (,,) | 4.7× | 90.2% |
| 4 | (,,,) | 3.5× | 96.7% |
| 5 | (,,,,) | 2.8× | 97.9% |
| Design | #Instances | #Paths | Slack Range (ps) |
|---|---|---|---|
| b17 | 2.12 K | 1.5 K | |
| b18 | 4.93 K | 3.6 K | |
| b19 | 9.87 K | 8.1 K | |
| art1 | 1.02 M | 18.9 K | |
| art2 | 1.18 M | 26.9 K | |
| ind1 | 0.87 M | 50.2 K | |
| ind2 | 1.58 M | 53.7 K |
| Symbol | Formula | Meaning |
|---|---|---|
| - | Actual timing at ith path, jth corner | |
| - | Predicted timing at ith path, jth corner | |
| Absolute error between and | ||
| Percentage of less than 10 ps | ||
| Mean absolute error |
| Nums | Combs | LESS10 | MAE (ps) | ||||||
|---|---|---|---|---|---|---|---|---|---|
| Max | Min | I | D | Max | Min | I | D | ||
| 1 | 14 | 81.9% | 70.5% | 81.9% | 79.4% | 8.93 | 5.88 | 5.88 | 6.38 |
| 2 | 91 | 94.6% | 74.5% | 93.3% | 84.0% | 7.51 | 3.32 | 3.58 | 5.54 |
| 3 | 364 | 99.3% | 82.9% | 97.5% | 86.8% | 5.89 | 1.98 | 2.48 | 4.64 |
| 4 | 1001 | 99.9% | 83.1% | 99.6% | 88.6% | 5.56 | 1.49 | 1.61 | 3.95 |
| 5 | 2002 | 99.9% | 87.4% | 99.9% | 87.7% | 4.22 | 1.20 | 1.30 | 4.15 |
| 6 | 3003 | 99.9% | 86.1% | 99.9% | 96.9% | 4.49 | 1.10 | 1.21 | 2.43 |
| 7 | 3432 | 100.0% | 84.2% | 100.0% | 97.0% | 5.01 | 1.02 | 1.15 | 2.47 |
| Designs | Commercial | Machine Leraning-Based | Acc. | ||||||
|---|---|---|---|---|---|---|---|---|---|
| art1 | 0.59 × 14 | 4.5 | 15 | 191.4 | 0.59 × 2 | 4.5 | 15 | 85.2 | 2.24× |
| art2 | 0.88 × 14 | 6 | 20 | 366.4 | 0.88 × 2 | 6 | 20 | 155.2 | 2.36× |
Publisher’s Note: MDPI stays neutral with regard to jurisdictional claims in published maps and institutional affiliations. |
© 2022 by the authors. Licensee MDPI, Basel, Switzerland. This article is an open access article distributed under the terms and conditions of the Creative Commons Attribution (CC BY) license (https://creativecommons.org/licenses/by/4.0/).
Share and Cite
Zhao, Z.; Zhang, S.; Liu, G.; Feng, C.; Yang, T.; Han, A.; Wang, L. Machine-Learning-Based Multi-Corner Timing Prediction for Faster Timing Closure. Electronics 2022, 11, 1571. https://doi.org/10.3390/electronics11101571
Zhao Z, Zhang S, Liu G, Feng C, Yang T, Han A, Wang L. Machine-Learning-Based Multi-Corner Timing Prediction for Faster Timing Closure. Electronics. 2022; 11(10):1571. https://doi.org/10.3390/electronics11101571
Chicago/Turabian StyleZhao, Zhenyu, Shuzheng Zhang, Guoqiang Liu, Chaochao Feng, Tianhao Yang, Ao Han, and Lei Wang. 2022. "Machine-Learning-Based Multi-Corner Timing Prediction for Faster Timing Closure" Electronics 11, no. 10: 1571. https://doi.org/10.3390/electronics11101571
APA StyleZhao, Z., Zhang, S., Liu, G., Feng, C., Yang, T., Han, A., & Wang, L. (2022). Machine-Learning-Based Multi-Corner Timing Prediction for Faster Timing Closure. Electronics, 11(10), 1571. https://doi.org/10.3390/electronics11101571

