Evaluation of VTH and RON Drifts during Switch-Mode Operation in Packaged SiC MOSFETs
Abstract
1. Introduction
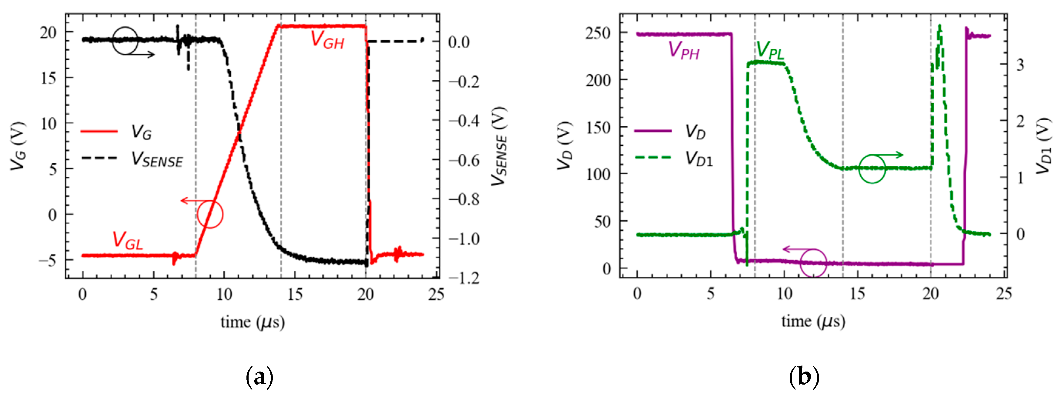
2. Measurement Setup
3. Results
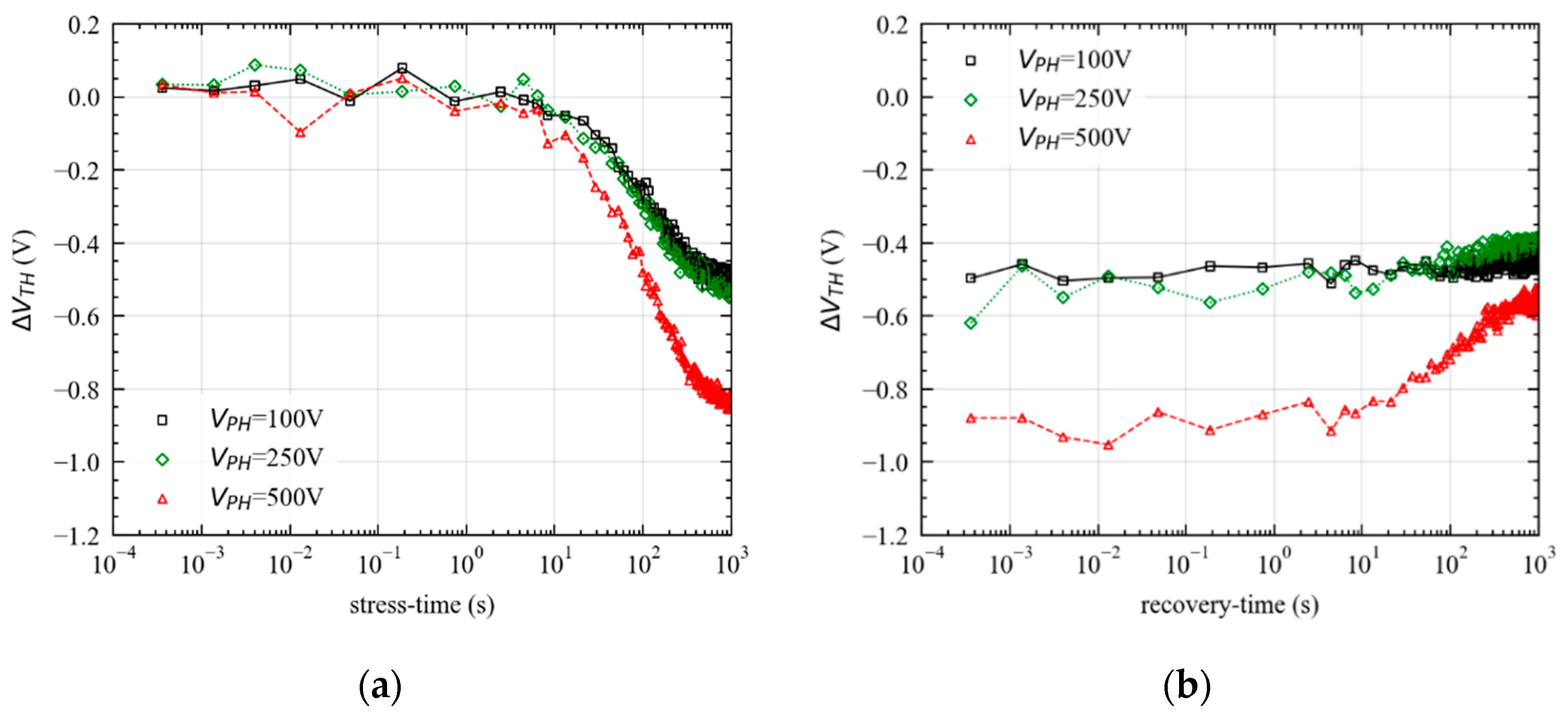
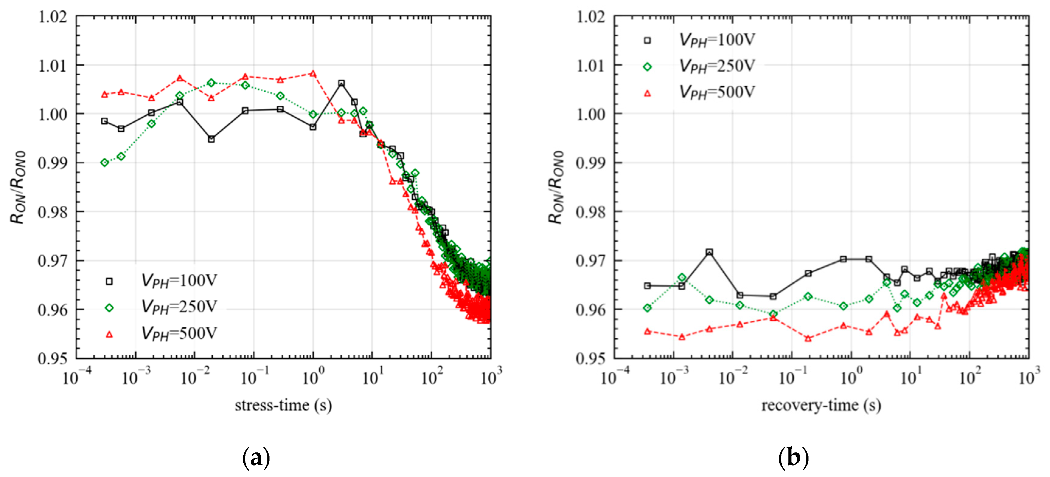
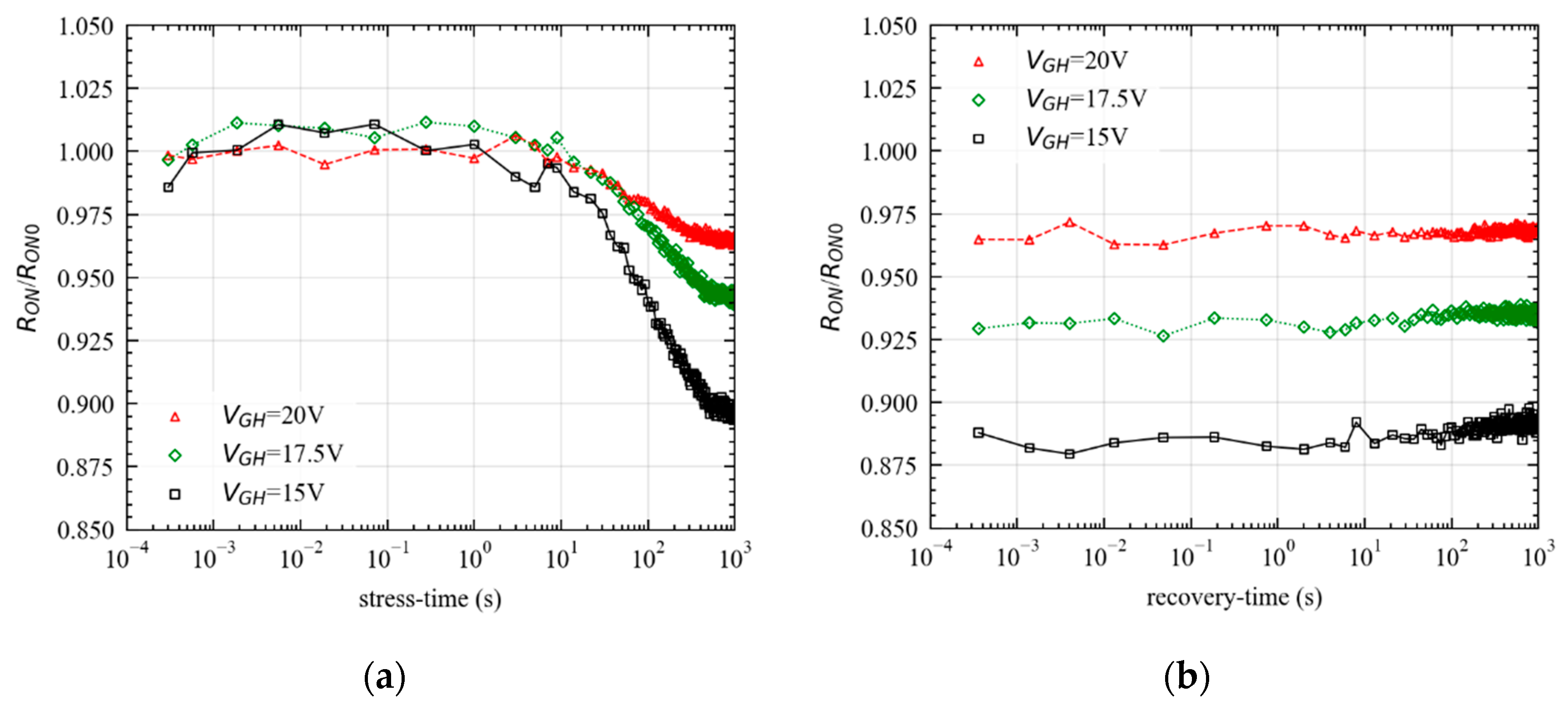
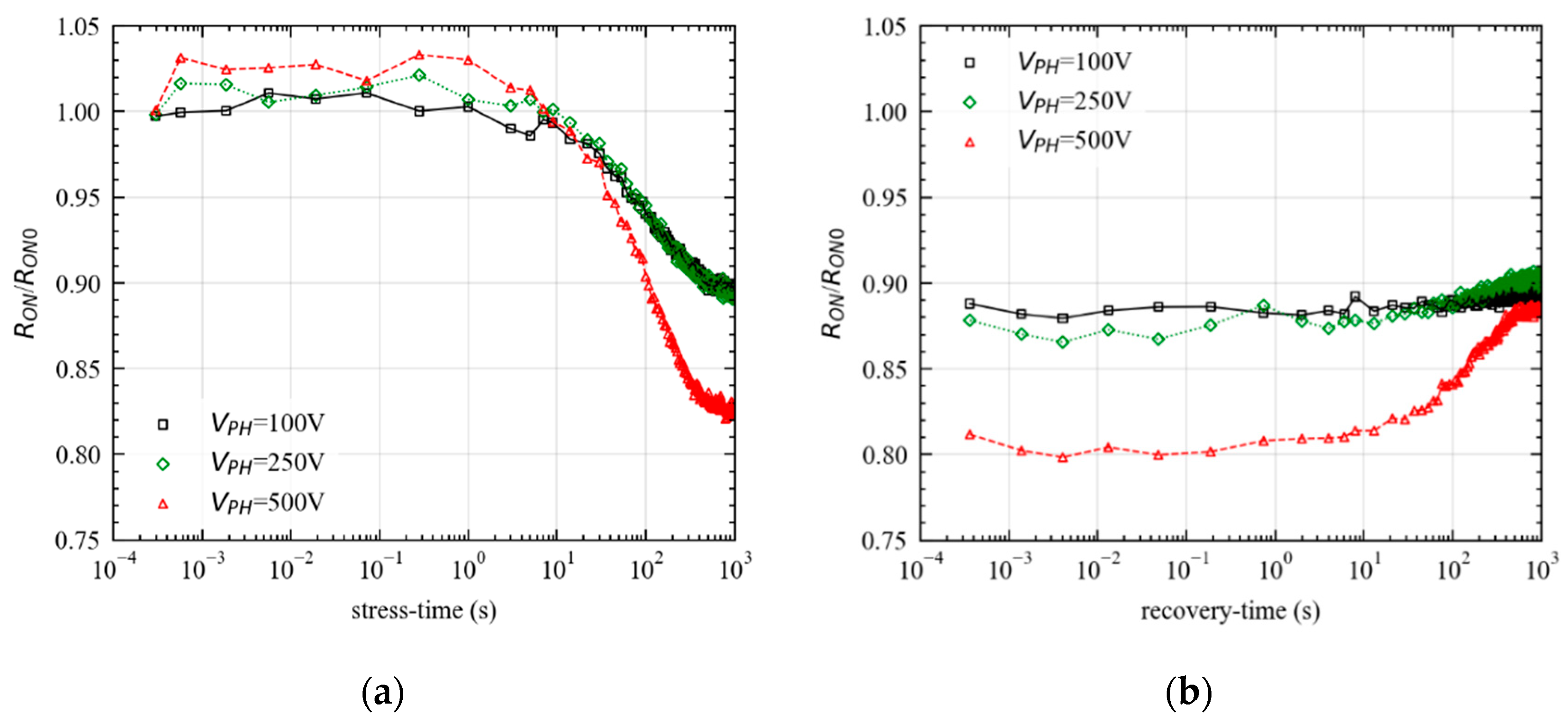
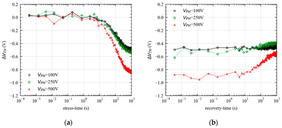
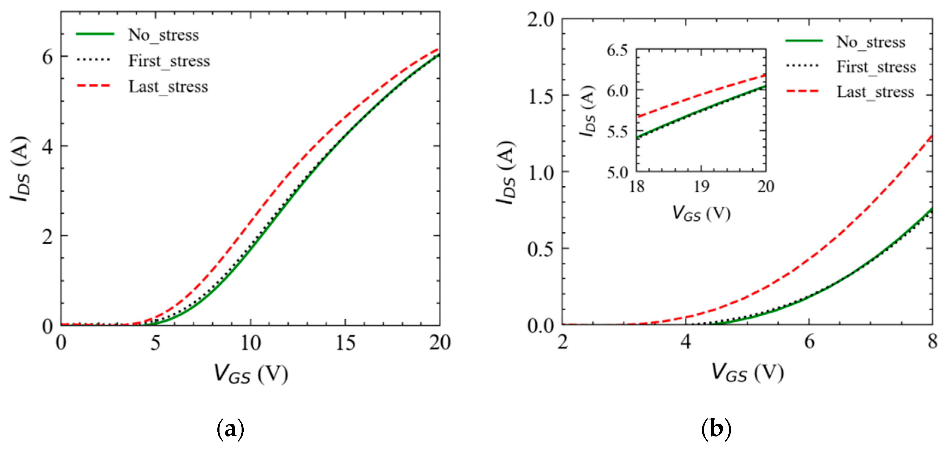
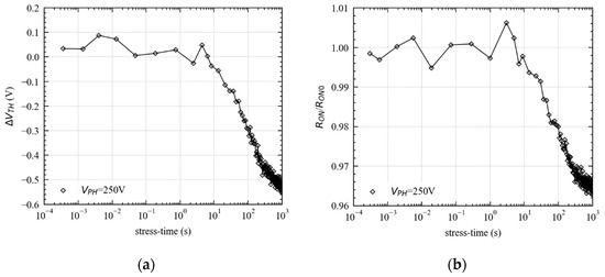
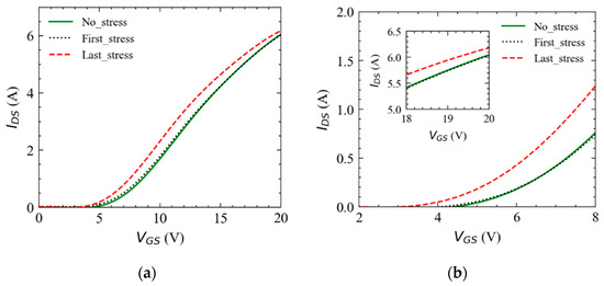
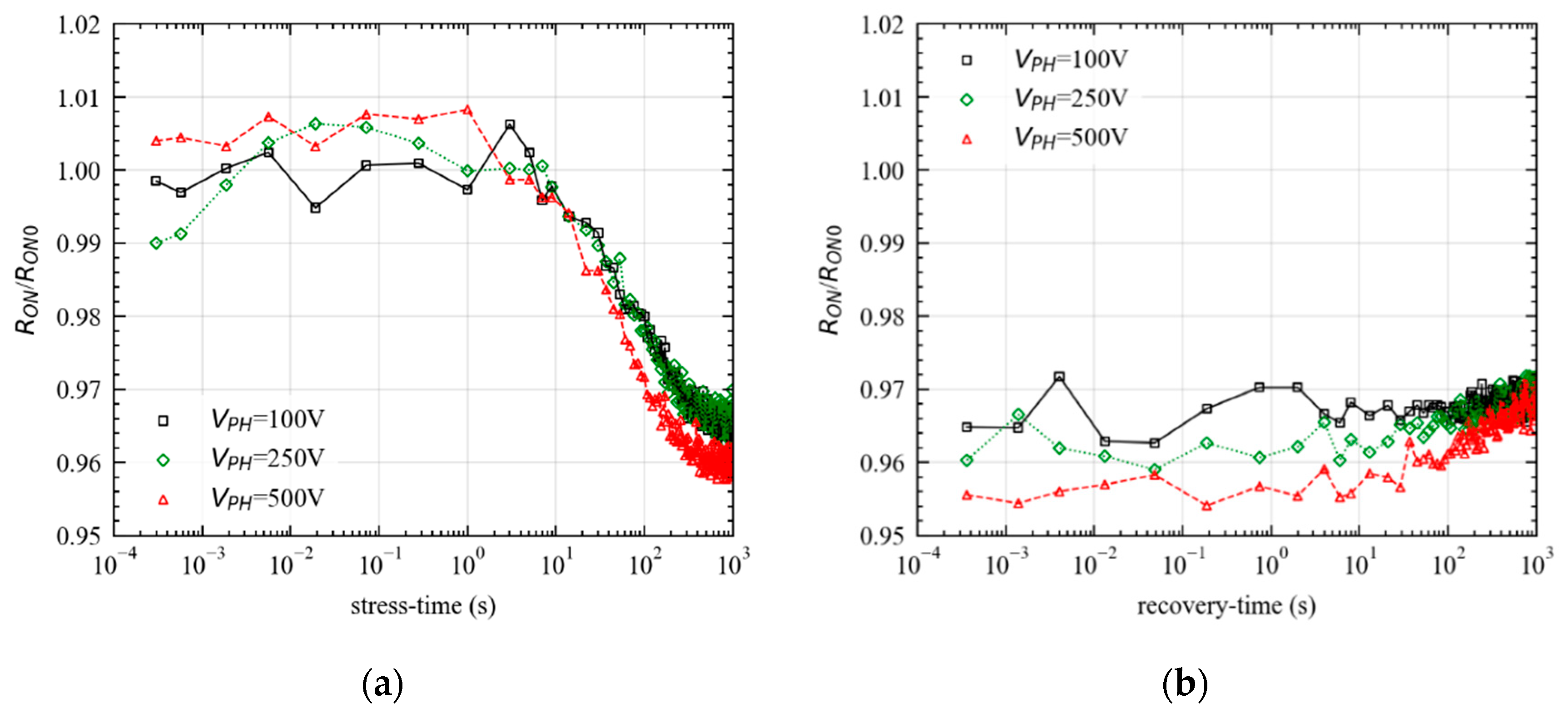
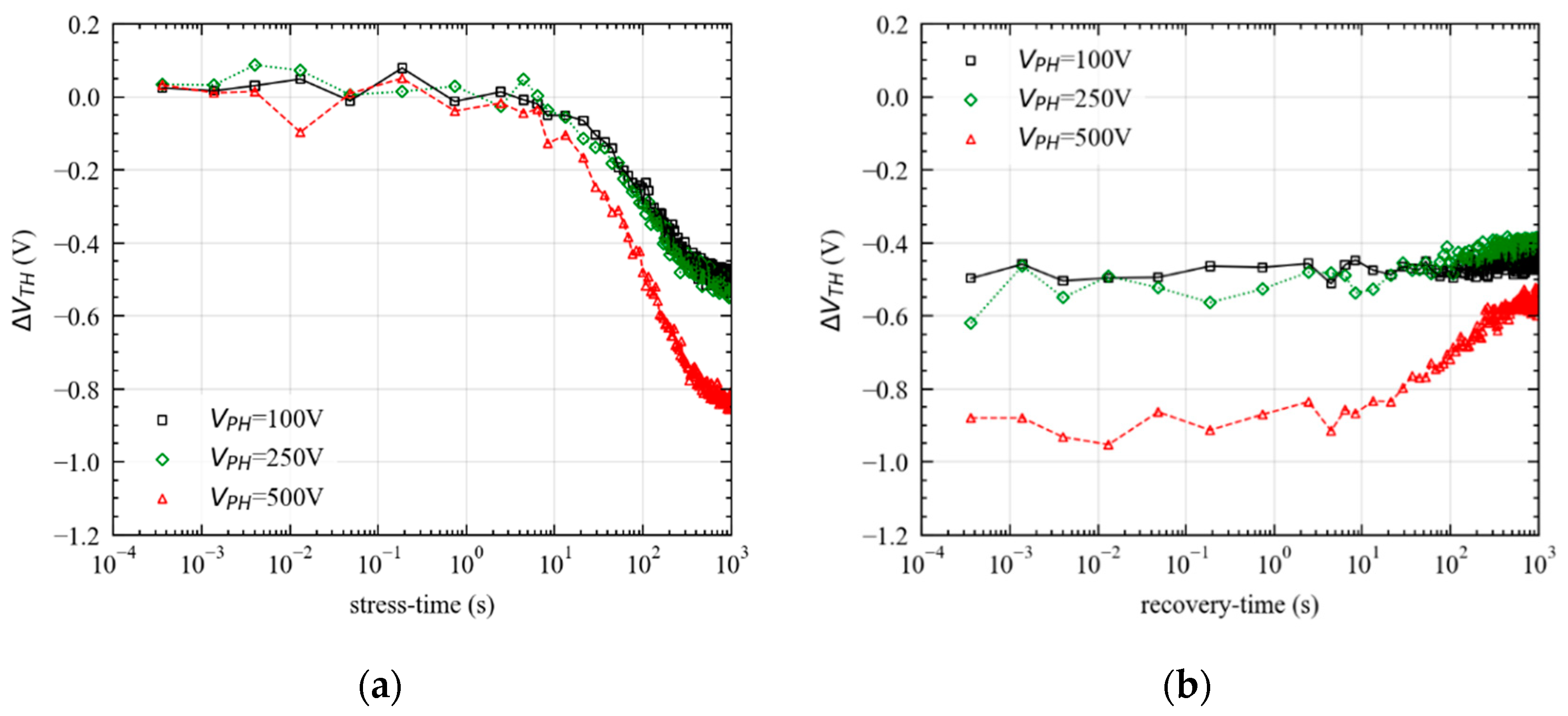
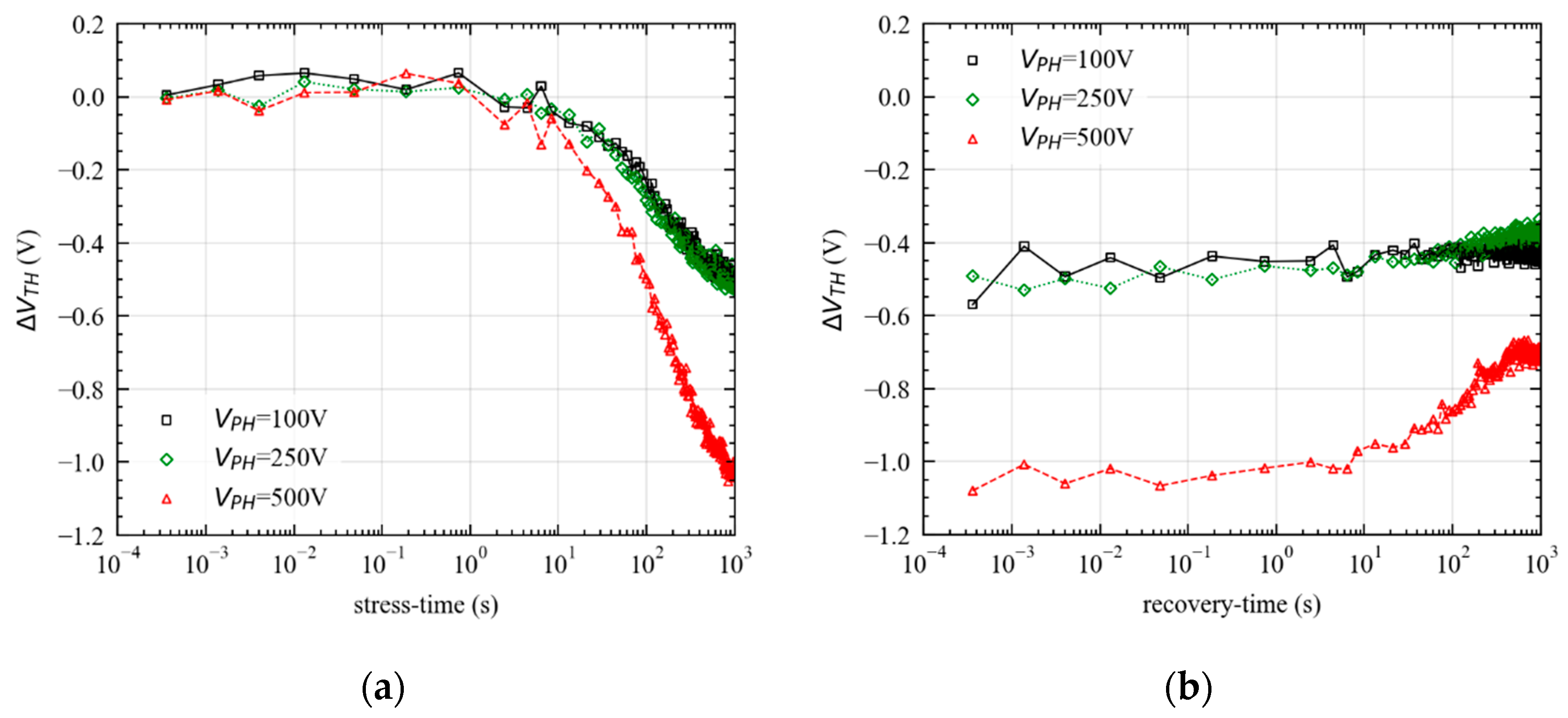
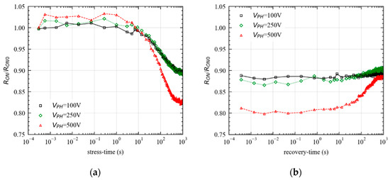
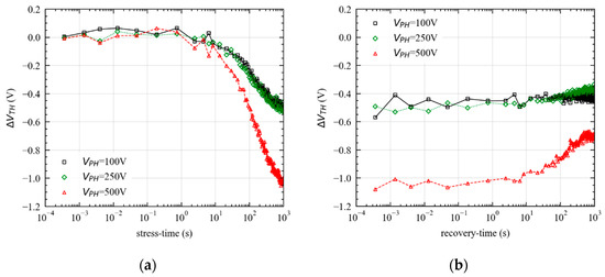
3.1. VTH and RON Drifts
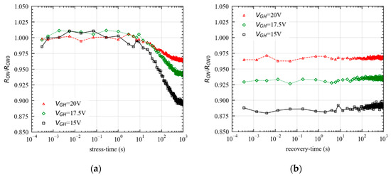
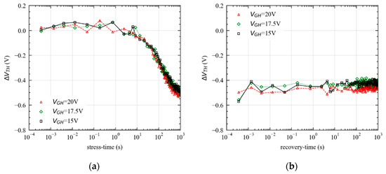
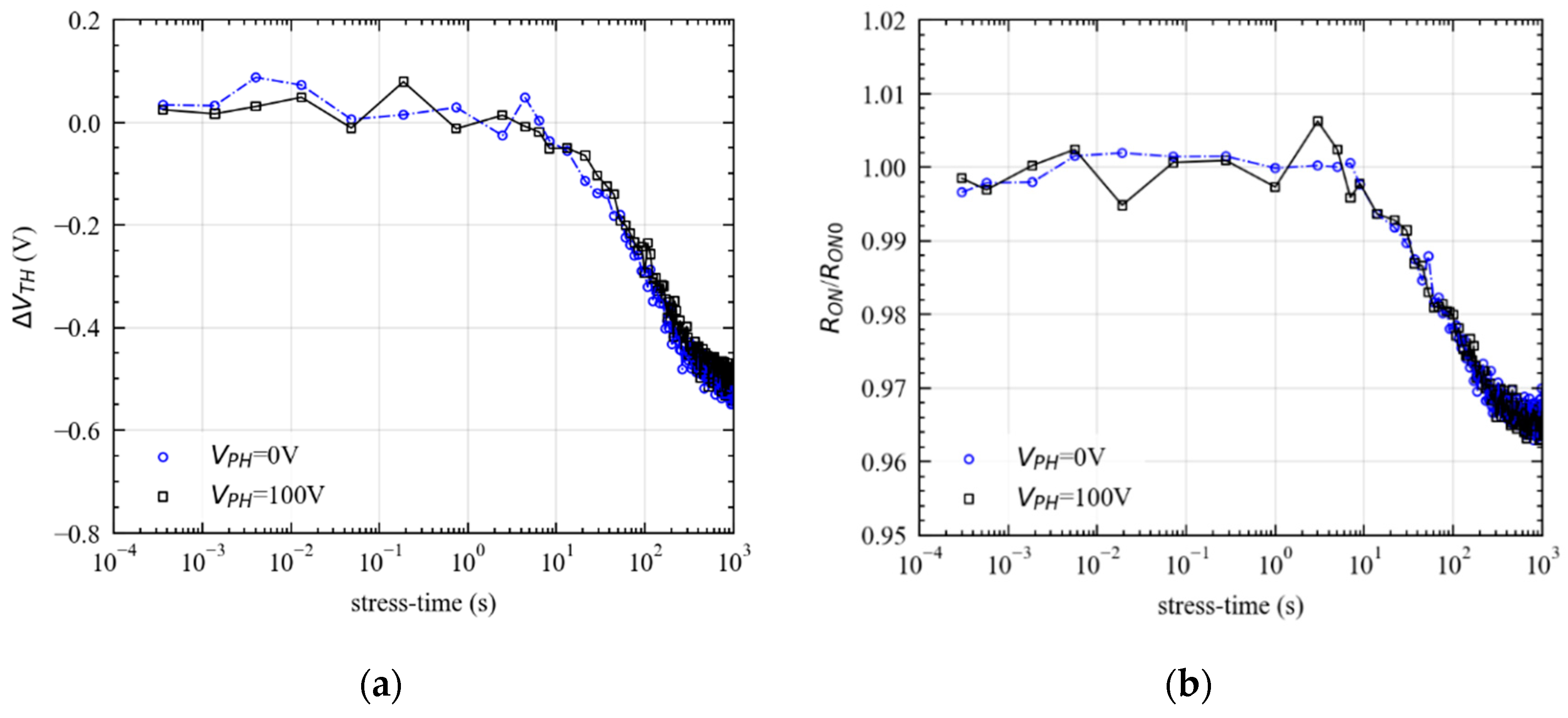
3.2. Effects of Measurement Conditions on the Parameter Drifts
4. Conclusions and Recommendations
Author Contributions
Funding
Data Availability Statement
Acknowledgments
Conflicts of Interest
References
- Kimoto, T.; Cooper, J.A. Fundamentals of Silicon Carbide Technology: Growth, Characterization, Devices and Applications; Wiley: Singapore, 2014. [Google Scholar]
- Ouaida, R.; Berthou, M.; Leon, J.; Perpina, X.; Oge, S.; Brosselard, P.; Joubert, C. Gate oxide degradation of SiC MOSFET in switching conditions. IEEE Electron. Device Lett. 2014, 35, 1284–1286. [Google Scholar] [CrossRef]
- Wei, J.; Liu, S.; Lou, R.; Tang, L.; Ye, R.; Zhang, L.; Zhang, X.; Sun, W.; Bai, S. Investigation on the Degradation Mechanism for SiC Power MOSFETs under Repetitive Switching Stress. IEEE J. Emerg. Sel. Top. Power Electron. 2019, 1. [Google Scholar] [CrossRef]
- Yang, S.; Lu, T.; Liu, S.; Wang, H.; Liu, C.; Chen, K.J. Impact of Vth shift on Ron in E/D-mode GaN-on-Si power transistors: Role of dynamic stress and gate overdrive. In Proceedings of the 2016 28th International Symposium on Power Semiconductor Devices and ICs (ISPSD), Prague, Czech Republic, 12–16 June 1016; pp. 263–266. [Google Scholar]
- Guevara, E.; Herrera-Pérez, V.; Rocha, C.; Guerrero, K. Threshold voltage degradation for n-channel 4H-SiC power MOSFETs’. JLPEA 2020, 10, 3. [Google Scholar] [CrossRef]
- Hua, M.; Wei, J.; Bao, Q.; Zhang, Z.; Zheng, Z.; Chen, K.J. Dependence of VTH stability on gate-bias under reverse-bias stress in E-mode GaN MIS-FET. IEEE Electron Device Lett. 2018, 39, 413–416. [Google Scholar] [CrossRef]
- Gurfinkel, M.; Suehle, J.; Bernstein, J.; Shapira, Y.; Lelis, A.; Habersat, D.B.; Goldsman, N. Ultra-fast measurements of VTH instability in SiC MOSFETs due to positive and negative constant bias stress. In Proceedings of the 2006 IEEE International Integrated Reliability Workshop Final Report, South Lake Tahoe, CA, USA, 16–19 October 2006; pp. 49–53. [Google Scholar]
- Lelis, A.J.; Green, R.; Habersat, D.B.; Goldsman, N. Effect of threshold-voltage instability on SiC DMOSFET reliability. In Proceedings of the 2008 IEEE International Integrated Reliability Workshop Final Report, South lake Tahoe, CA, USA, 12–16 October 2008; pp. 72–76. [Google Scholar]
- Ghosh, A.; Hao, J.; Cook, M.; Kendrick, C.; Suliman, S.A.; Hall, G.D. Studies of bias temperature instabilities in 4H-SiC DMOSFETs. In Proceedings of the 2020 IEEE International Reliability Physics Symposium (IRPS), Dallas, TX, USA, 28 April 2020; pp. 1–4. [Google Scholar]
- Schrock, J.A.; Pushpakaran, B.N.; Bilbao, A.V.; Ray, W.B.; Hirsch, E.A.; Kelley, M.D.; Holt, S.L.; Bayne, S.B. Failure analysis of 1200-V/150-A SiC MOSFET under repetitive pulsed overcurrent conditions. IEEE Trans. Power Electron. 2016, 31, 1816–1821. [Google Scholar] [CrossRef]
- Calderon-Lopez, G.; Forsyth, A. High power density DC-DC converter with SiC MOSFETs for electric vehicles. In Proceedings of the 7th IET International Conference on Power Electronics, Machines and Drives (PEMD 2014); Institution of Engineering and Technology, Manchester, UK, 8–10 April 2014; p. 1. [Google Scholar]
- Habersat, D.B.; Lelis, A.J.; Green, R. Measurement considerations for evaluating BTI effects in SiC MOSFETs. Microelectron. Reliab. 2018, 81, 121–126. [Google Scholar] [CrossRef]
- Berens, J.; Weger, M.; Pobegen, G.; Aichinger, T.; Rescher, G.; Schleich, C.; Grasser, T. Similarities and differences of BTI in SiC and Si power MOSFETs. In Proceedings of the 2020 IEEE International Reliability Physics Symposium (IRPS), Dallas, TX, USA, 28 April 2020; pp. 1–7. [Google Scholar]
- Lelis, A.J.; Habersat, D.; Green, R.; Ogunniyi, A.; Gurfinkel, M.; Suehle, J.; Goldsman, N. Time dependence of bias-stress-induced SiC MOSFET threshold-voltage instability measurements. IEEE Trans. Electron Devices 2008, 55, 1835–1840. [Google Scholar] [CrossRef]
- Sheng, H.; Chen, Z.; Wang, F.; Millner, A.R. Investigation of 1.2 kV SiC MOSFET for high frequency high power applications. In Proceedings of the 2010 Twenty-Fifth Annual IEEE Applied Power Electronics Conference and Exposition (APEC), Palm Springs, CA, USA, 21–25 February 2010; pp. 1572–1577. [Google Scholar]
- Mori, Y.; Hisamoto, D.; Tega, N.; Matsumura, M.; Yoshimoto, H.; Shima, A.; Shimamoto, Y. Effects of interface properties in SiC MOSFETs on reliability. In Proceedings of the 2015 IEEE 22nd International Symposium on the Physical and Failure Analysis of Integrated Circuits, Hsinchu, Taiwan, 29 June–2 July 2015; pp. 68–71. [Google Scholar]
- Chini, A.; Iucolano, F. Evolution of on-resistance (RON) and threshold voltage (VTH) in GaN HEMTs during switch-mode operation. Mater. Sci. Semicond. Process. 2018, 78, 127–131. [Google Scholar] [CrossRef]
- Kwietniewski, N.; Piotrowski, T.; Gutt, T.; Piotrowska, A.; Gołaszewska, K.; Rzodkiewicz, W.; Sochacki, M.; Szmidt, J. Oxidation process of SiC by RTP technique. Mater. Sci. Forum 2009, 615–617, 529–532. [Google Scholar] [CrossRef]
- Lelis, A.J.; Green, R.; Habersat, D.B.; El, M. Basic mechanisms of threshold-voltage instability and implications for reliability testing of SiC MOSFETs. IEEE Trans. Electron. Devices 2015, 62, 316–323. [Google Scholar] [CrossRef]
- Lelis, A.J.; Green, R.; Habersat, D.B. SiC MOSFET threshold-stability issues. Mater. Sci. Semicond. Process. 2018, 78, 32–37. [Google Scholar] [CrossRef]
- Meneghini, M.; Vanmeerbeek, P.; Silvestri, R.; Dalcanale, S.; Banerjee, A.; Bisi, D.; Zanoni, G.; Meneghesso, G.; Moens, P. Temperature-dependent dynamic RON in GaN-bMIS-HEMTs: Role of surface traps and buffer leakage. IEEE Trans. Electron. Devices 2015, 62, 782–787. [Google Scholar] [CrossRef]
- Ortiz-Conde, A.; Sánchez, F.G.; Liou, J.; Cerdeira, A.; Estrada, M.; Yue, Y. A review of recent MOSFET threshold voltage extraction methods. Microelectron. Reliab. 2002, 42, 583–596. [Google Scholar] [CrossRef]
- Islam, M.S.; Akanda, R.K.; Anwar, S.; Shahriar, A. Analysis of resistances and transconductance of SiC MESFET considering fabrication parameters and mobility as a function of temperature. In Proceedings of the International Conference on Electrical & Computer Engineering (ICECE 2010), Dhaka, Bangladesh, 18–20 December 2010; pp. 5–8. [Google Scholar]













Publisher’s Note: MDPI stays neutral with regard to jurisdictional claims in published maps and institutional affiliations. |
© 2021 by the authors. Licensee MDPI, Basel, Switzerland. This article is an open access article distributed under the terms and conditions of the Creative Commons Attribution (CC BY) license (http://creativecommons.org/licenses/by/4.0/).
Share and Cite
Cioni, M.; Bertacchini, A.; Mucci, A.; Zagni, N.; Verzellesi, G.; Pavan, P.; Chini, A. Evaluation of VTH and RON Drifts during Switch-Mode Operation in Packaged SiC MOSFETs. Electronics 2021, 10, 441. https://doi.org/10.3390/electronics10040441
Cioni M, Bertacchini A, Mucci A, Zagni N, Verzellesi G, Pavan P, Chini A. Evaluation of VTH and RON Drifts during Switch-Mode Operation in Packaged SiC MOSFETs. Electronics. 2021; 10(4):441. https://doi.org/10.3390/electronics10040441
Chicago/Turabian StyleCioni, Marcello, Alessandro Bertacchini, Alessandro Mucci, Nicolò Zagni, Giovanni Verzellesi, Paolo Pavan, and Alessandro Chini. 2021. "Evaluation of VTH and RON Drifts during Switch-Mode Operation in Packaged SiC MOSFETs" Electronics 10, no. 4: 441. https://doi.org/10.3390/electronics10040441
APA StyleCioni, M., Bertacchini, A., Mucci, A., Zagni, N., Verzellesi, G., Pavan, P., & Chini, A. (2021). Evaluation of VTH and RON Drifts during Switch-Mode Operation in Packaged SiC MOSFETs. Electronics, 10(4), 441. https://doi.org/10.3390/electronics10040441

