Abstract
Mechanics, along with electronics, is a basic field for the development of high technologies. However, learning mechanics is not an easy task. To meet and adapt to the requirements of students in the digital age, teachers must provide them significant ways to incorporate the latest technologies and applications for their studies. In this study, we explored the application of augmented reality (AR) to improve the learning of the science of Mechanisms. An AR application was implemented and developed for Android-based devices, followed by a qualitative experiment conducted with a sample of 116 students. The study was based on the technology acceptance model and the students’ attitudes towards learning in AR environments were assessed using the structural equation modeling. The results showed that the didactic potential of this application is promising, which is highlighted by the positive attitude about using the application, as well as by the high values obtained for intention to use.
1. Introduction
In the field of engineering, the learning process involves completing the theoretical notions with practical works, to fix the knowledge acquired in the courses. In specialized laboratories and seminars, students can benefit from the application of theoretical knowledge, but often they face a lack of understanding or a poor understanding of the theoretical concepts that have been taught in the course. Studies show that traditional learning methods should be re-evaluated so that future engineers can learn various skills and competencies that are indispensable to ever-changing daily life.
Technology has an important role to play in this activity. Various types of technologies are beginning to be used more frequently to facilitate the learning process. Science, by its nature, is difficult to learn and not very attractive. Millar [1] discusses some of the reasons why this happens. Further, the role of teachers has changed over time. They are not only instructors, but also facilitators who provide opinions, scaffolding or feedback [2]. Therefore, many researchers believe that changing teaching techniques would be an effective way to improve understanding and learning of scientific concepts and phenomena, as well as to increase students’ interest and motivation.
One of the techniques based on interaction and visualization that increase motivation in education is augmented reality (AR), a technology that allows real-time visualization of computer-generated objects (graphics, images, videos, 3D objects sound) superimposed in the real world of the user. An AR system can be defined as a new type of human–machine interface that allow “augmented interactions” [3]. Among the benefits that AR has on students, researchers have identified: increased content understanding, long-term memory retention, improved physical task performance, improved collaboration, and increased student motivation [4]. Moreover, AR is a promising opportunity to facilitate the processes of educational inclusion, providing more ways of representation, action, and involvement of students in the learning process [5].
Current studies show that some physical objects tend to be substituted by virtual ones [6]. In addition, according to Gumaelius and Kolmos [7], the future engineering education would need to update the curriculum to consider three current development trends: student-centered learning, contextual and practice experiences, and digital tools. AR would provide a good alternative for those development trends mentioned above. Thus, by introducing this technology in different interactive forms in laboratories, the perception of certain phenomena can be improved.
AR is currently widely used in various fields of engineering education: science, technology, engineering, and mathematics (STEM) [8], geometry [9], finite element simulation [10], and electronics [11]. Due to recent hardware and software innovations, AR has the potential to be a mass market technology [6] and it can already be used on smartphones, devices that have become essential and ubiquitous among students [12]. They can be used as new learning tools, paving the way for the development of new methods of teaching and presenting teaching materials. AR applications developed for mobile devices can be used to motivate students to learn concepts related to mechanics, physics, electricity, and so on.
To meet and adapt to the requirements of students in the digital age, teachers must provide them significant ways to incorporate the latest technologies and applications for their studies [13]. The students should feel motivated and immersed in the learning process [14], thereby allowing them to play a more active role [15]. There are many works that address these new technologies and teaching methods for higher education, in line with current trends: as an educational tool for teaching drone programming [16], as simulation software for designing and testing different types of controllers [17], as a didactical robot environment for robot programming and control [18], or as a new learning program designed for active learning of electronics [19]. Thus, engineering programs should incorporate content that makes the transition from scientific knowledge to modern technologies [20], so that graduates can adapt and learn the skills needed to cope in the industry after becoming employees.
AR could positively affect mechanical engineering (ME) education by improving students’ learning and providing them enriched experiences [21], especially to understand two-dimensional (2D) objects in space [22], to elaborate dynamic spatial representations, and to improve the way of interaction with machines [23]. Students can see the real world through the screen of a mobile device, but the reality is enriched with multimedia content, representing in this way something new and attractive [24].
Along with electronics, ME is still the basis for the development of high technologies [25], but the classic method of teaching courses in various disciplines is a rather difficult task that requires students’ imagination and the use of expensive mechanical installations [26]. The rapid development of society and technology involves the alignment of higher engineering education with the changes taking place in the information environment and the creation of innovative teaching materials [27]. Some studies have shown that the incorporation of new technologies in the learning process increases the results of engineering students and even the motivation to learn [28,29] as the learning environment offers more interactions, increasing the sensations of real-world users [30]. AR technologies can help visualize the principle of operation of a mechanism, by making 3D models of real objects and integrating them on mobile devices [31]. Thus, the student will focus on the specific content of a certain subject, making it easier to avoid situations in which he/she loses his/her interest due to the routine that intervenes in classical teaching [32].
Another advantage of AR technology is that it has an impact on improving students’ spatial skills [33,34]. The ability to understand the shape of a 3D object and to learn the ‘stereognostic sense’ is facilitated by AR-based support systems [35]. In addition, directing attention to an image contributes to learning by involving the higher cortical areas of the brain [36].
The aim of this study is two-fold. The first objective is to determine how AR technology is used in higher education courses and laboratories in specialized disciplines in the field of Mechanical Engineering (ME). For this, articles on this issue were extracted and reviewed. The results of the implementation of AR in mechanical engineering education have not been reviewed so far. Therefore, we explored these results and developed an application for the Mechanisms discipline to fulfill a second objective—that of obtaining students’ attitudes towards the use of AR and to obtain their feedback.
Considering these things, the present paper aims to create an AR application that will support students in a discipline that is not missing from the curriculum of the faculties of ME. The application is implemented and tested on students’ mobile devices, to help them better understand its components and how it moves, as well as to better correlate the abstract knowledge of the course with animated 3D models, which are superimposed on images in the laboratory guidebook. The evaluation of the application was done by the students through questionnaires distributed through the eLearning platform.
2. Related Work
The use of AR in various fields of education has spread more and more in recent years. It has been integrated as a pedagogical method to teach biology [37,38], physiotherapy [39], mathematics [40], and physics [41]. However, the technology has been used more frequently in engineering disciplines, such as civil engineering [42], electrical engineering [11], or various subfields of mechanical engineering [43,44,45]. Since we are interested in this last field, we conducted a systematic research to identify the works that focus on the use of AR in disciplines related to mechanical engineering.
For this purpose, we used the already well-known PRISMA (Preferred Reporting Items for Systematic Reviews and Meta-Analyses) model [46] to select the relevant studies. The search process was performed separately by three reviewers in five databases (Scopus, Web of Science, ScienceDirect, ERIC, and IEEE Explore) using the following keywords: “augmented reality” AND (“mechanical engineering” OR “mechanics”) AND (“higher education” OR “student”) AND (“teaching” OR “learning”). The initial search conducted on 13 June 2020 revealed 826 studies. The next step was to select from these articles only those that meet the criteria presented in Table 1.
Table 1.
Inclusion and exclusion criteria.
The papers that were considered eligible for analysis were those aimed to present the results of the implementation of AR in mechanical engineering education for undergraduate or graduate students. Only works written in English and published in peer-reviewed journals, published after the beginning of 2010, were considered. The papers found were thoroughly checked in several stages: firstly by title, secondly by abstract, and finally, if after the two stages it was not possible to decide whether the article met the selection criteria, the whole text was checked. This process was done by the three reviewers in parallel, and in the end, the results were compared. The most experienced reviewer decided if there were any doubts about the inclusion or exclusion of a paper. The process of article selection is presented in Figure 1.
Figure 1.
Flow chart for article selection.
From the irrelevant studies, 23 were conference papers, eight were review papers, and 22 dealt with the application of AR in electrical engineering education or physics. Other studies had no results related to AR implementation in education or some contained AR applications for pre-university education. Finally, a total of nine papers were considered eligible for analysis. The list of these works and their characteristics are presented in Table 2. Of these studies, one was conducted in Singapore, two in Taiwan, two in Spain, one in the Republic of North Macedonia, two in Malaysia, and one in the USA.
Table 2.
Main characteristics of reviewed studies.
Huang et al. [44] conducted a user study with 20 participants to validate an AR system designed to learn finite element analysis (FEA) on structures. The participants were divided into a beginner group and an expert group. The user study consisted of performing some tasks described in the training session. A quality evaluation was performed at the end showing that the developed system is more intuitive and easier to use and learn than conventional FEA software, thus reducing cognitive loads for students. Another observation was that AR encouraged participants to actively exchange ideas and discuss issues, which shows that AR interfaces promote a collaborative learning environment.
Lui et al. [47] performed an experiment with 13 participants to investigate how AR supports novice designers. They developed a solution based on AR to assist students in generating ideas that will help them to formulate more effective design strategies through 3D object observation. The experiment involved 12 mechanical movements and results suggested that 84% of participants improved their knowledge of kinematic mechanisms, alleviating the lack of design experience.
Lui et al. [45] completed the previous study, aiming to bring about a better understanding of how AR technology can enhance the product innovation capabilities of students. The study compared the experimental results for two groups: one group used AR-based aids and the other group used physical-based aids to analyze the movements of a set of 12 mechanisms. The comparative effects of the two types of aids on the acquisition of knowledge and in supporting the ideation (the process generating of new ideas) were achieved by using several types of results. Experimental results, in addition to students’ feedback, suggested that AR technology has the potential to support the understanding of the learned mechanism and help the generation of new product design ideas.
Martín-Gutiérrez et al. [48] evaluated the effect of AR technology on the development of spatial abilities of students using an augmented book developed with a self-developed library. The experiment was conducted during five consecutive days and students’ spatial abilities were measured with two types of tests: a mental rotation test and a differential aptitude test. The values obtained for the pre- and post-test indicated a significant and positive impact on students’ spatial abilities.
Martín-Gutiérrez and Fernandez [28] also studied the benefits of an AR book on learning. The augmented book was designed to help mechanical engineering students to learn about the design and standardization of mechanical elements. The study was conducted by comparing the results obtained by two groups: an experimental group that used AR-based material (25 students) and a control group that used traditional class notes (22 students). The results indicated significant differences in academic performance between the two groups, which were also reflected in passing the final exam (80% of students from the first group passed the exam, while only 50% of students who used traditional notes passed the exam). In addition, considerable differences were reported in terms of the motivation of students in the two groups, with the experimental group showing a higher level of motivation.
Rizov and Rizova [15] published a study involving 321 students to assess the impact of AR in higher education. The research involved the use of two assessment methods: a qualitative, empirical method, which consisted of a skills test for orthogonal solid body projections in AutoCAD, and a quantitative method, that used questionnaires to interview students about the use of AR as a teaching tool. The results showed a positive impact: 84% of students passed the test and the vast majority stated that lectures using AR are interesting (96%), contributing to a better understanding of the material (100%), which can lead, in their opinion, to a higher graduation rate (68%).
Sidhu [30] performed a questionnaire study that included 37 first-year mechanical engineering students. User interviews and questionnaires were used to measure the usefulness of visual cues for students’ comprehension of a multi-body mechanism. The results revealed that the developed system has the potential to enhance the learning process and the students showed a high degree of acceptance of new technologies in their learning. They found the system extremely useful, interesting, and helpful in learning engineering concepts more easily.
Sidhu [49] conducted an analysis with 40 students to compare two user interface approaches: single marker-based and multiple function interaction. A four-bar linkage was selected for analysis in terms of user interface and usability using the two interaction techniques. A cross-sectional study design and a Wilcoxon signed-rank test were used to analyze the difference. The results showed that the multiple function interaction technique is more effective than the single marker-based interface, and it was preferred by students because they focused better on the content while interacting with the four-bar mechanism problem.
Turkan et al. [43] presented an AR application designed to help students to teach structural analysis concepts. The pilot study involved 41 students divided into two groups: an experimental group (22 students), which used the AR application to view and manipulate various variables related to a deflection problem, and a control group, in which the participants assisted in solving the problem in a classical way. In addition, the experimental group completed a survey in which they expressed their opinion about learning structural analysis with the help of AR technology. The results showed that the visualization and interactive features of AR can contribute in a significant way to students’ learning.
The research on the implementation of AR in high-level education in the field of ME has highlighted the fact that the didactic potential of this technology is promising. Although this study is limited in that it explores the role of AR in higher education and focuses solely on ME, it can be seen from the extracted articles that improvements have been found in terms of increasing students’ innovation capability, spatial ability, interest, understanding, learning performance, and motivation. In addition, there are also other benefits found in the literature related to students’ learning outcomes (achievement, attitude), pedagogical contributions (enjoyment, engagement), and interaction [50]. At the same time, AR provides portability and accessibility to learning material. In line with these studies, our work aims to establish students’ feedback on a simple AR application that could foster their understanding in the study of mechanisms.
3. AR Application to Learn Mechanisms
3.1. Structural Analysis
Theory of machines and mechanisms is a course that can be found in all undergraduate training programs within the faculties of ME. In our faculty, the Department of Automotive and Transport Engineering, the course is called simply Mechanism and aims to develop students’ understanding of the fundamentals of kinematics and dynamics of mechanisms. A mechanism is defined as a system connected by elements that ensure the transmission and transformation of mechanical movements [51]. It consists of links and joints (pairs) that connect the links and impose movement constraints on them.
Structural analysis is an essential component in the study of mechanisms. It deals with determining the fundamental relationships between the degrees of freedom and the number of links and joints used in the construction of the mechanism. During the analysis, the number and type of kinematic links and joints and the number of driving links are determined; then the structural diagrams are realized, which decompose the mechanism into kinematic groups. To make a structural diagram, the student needs to have a 3D representation of the mechanism in mind. This will help him/her to intuit its movement and understand how that movement is transmitted through the links.
In the practical applications within the laboratory courses of Mechanism, some 2D images of various mechanisms are given, for which students must identify the links and pairs, build the structural diagram, and calculate the mobility of the mechanism.
The kinematic diagram is a simplified drawing that illustrates the links and their connections, considering the general functional characteristics of a mechanism and not the physical dimensions of the links. In Figure 2b the structural diagram of the mechanism in Figure 2a is realized. The structural diagram shows the essential links needed for structural analysis; the kinematic links are numbered, while the joints are marked with letters. Fixed links are usually denoted by 0.
Figure 2.
(a) Example of mechanism. (b) The corresponding structural diagram.
The mobility (degree of freedom or DOF) of a mechanical system is defined as the number of independent parameters that unequivocally define its position in space at any given time [52]. For planar mechanisms, the following formula is used to calculate mobility (Kutzbach equation):
where N is the number of links; J1 is the number of kinematic pairs with one degree of freedom; J2 is the number of kinematic pairs with two degrees of freedom.
DOF = 3(N − 1) − 2J1 − J2
To calculate the mobility, the first thing is to identify the links and joints, as well as their type, and the degree of mobility for each of them (Table 3).
Table 3.
Joint identification for the mechanism in Figure 2a.
So, N = 6, J1 = 7, J2 = 0.
For the mechanism in Figure 2a, the mobility calculation is performed with the above formula:
DOF = 3(N − 1) − 2J1 − J2 = 3 (6 − 1) − 2·7 − 0 = 1
The course of Mechanisms has two main parts—analysis and synthesis of mechanisms, and it covers the structural, kinematical, and dynamical study of linkages, gears, and cams. Mobility computation is an important step in the kinematic analysis of a mechanism because it provides the number of independent parameters. Often, not having the necessary experience, students make mistakes in identifying the links and joints, resulting in a wrong value for mobility. To provide students with a clearer representation of the mechanism, so that they have a better visual understanding and can correctly identify the elements of the studied mechanism, the application “AR Mecs” (Augmented Reality for Mechanisms study) was developed.
In the course syllabus, a main objective of Mechanism discipline is “the transmission of basic knowledge and formation of basic skills in identifying, representing, analyzing and synthesizing fundamental mechanisms.” Therefore, a mechanical engineering qualification provides students with the ability to understand the structure of fundamental mechanisms; “AR Mecs” was designed to serve this purpose. However, is not yet included in the learning program; it is just a tool used in laboratories to facilitate learning.
The mobile application “AR Mecs” was developed for viewing virtual 3D models of mechanisms through AR. The use of the tool will be done inside classrooms to promote understanding and motivation of students for the Mechanisms discipline of university studies. The application is used on the mobile device to see the components and to analyze the movement of some mechanisms presented in the laboratory guidebook.
3.2. AR Mecs
To develop the “AR Mecs” application, various software programs were used, which obtained an open and easy-to-use access tool. Its development process can be divided into four main phases:
- 3D modeling of mechanisms;
- creating animations;
- creating image targets that can be subsequently detected and tracked; and
- joining image targets and 3D models.
3.2.1. 3D Modeling of Mechanisms
Three mechanisms were chosen to be initially included in the “AR Mecs” mobile application. For each of these three mechanisms, the 3D model was created using the 3D CAD design software and SolidWorks 2016 developed by Dassault Systèmes.
The links of the mechanisms were created separately, and then assembled in SolidWorks and tested to match the desired behavior. Each mechanism contains a driving link (e.g., crank, Figure 2a) and driven links. The dimensions of the links were chosen to satisfy a certain condition initially imposed: for example, for the crank-slider mechanisms (Figure 3a,b) it was desired that the crank achieve a 360 degree stroke; for the tilting mechanism (Figure 3c), the condition was that the tilting element rotate 90 degrees from the vertical position to the horizontal position.
Figure 3.
The three models used in the application—2D representation and 3D model: (a) crank slider mechanism 1; (b) crank-slider mechanism 2; (c) tilting mechanism.
3.2.2. Animations Creation
Animations to highlight the movement of each mechanism were made in SolidWorks. There were two types of animations:
- 3D animated model;
- video image with the animated model.
The tool provided in SolidWorks for motion analysis was used to create the animated 3D model. A rotary motor was added and a complete rotation of the crank was performed; then the resulting 3D animation was exported in .fbx format using the SimLab FBX Exporter plugin from SimLab Soft. This was necessary so that the file could then be imported into Unity, a cross-platform game engine developed by Unity Technologies used to create the application.
For the video file to be inserted, a screen capture software was used, and the mechanism was recorded during a complete rotation of crank, then the continuous playback option was selected.
3.2.3. Image Targets Creation
AR is based on the fact that the mobile device recognizes real-world objects and renders computer graphics recorded in the 3D space, giving the illusion that virtual objects are in the same physical space as real ones. The types of targets that AR software can recognize have evolved from simple markers, images, or even 3D objects. In this work, the Vuforia SDK was used to recognize and track image targets from the laboratory guidebook. Vuforia is an AR application development platform, enabling the use of applications on a variety of hardware devices.
The image targets are created on the Vuforia developer’s website, using the Vuforia Target Manager tool. Images are recorded manually, and they must contain distinct shapes or contours to be recognized by the tracking algorithms used in the software (Figure 4). Once the targets are added, the target database is created, and it can be downloaded in specific formats for use with multiple platforms. In our case, we downloaded a Unity package, which can be used further to create the application.
Figure 4.
The feature point detected in Vuforia Target Manager for the image of the crank-slider mechanism.
3.2.4. Joining Image Targets and 3D Models
The integration of virtual content (3D models and video images) and image targets, which act as triggers for displaying the virtual content in the application, was done in Unity. To create the application, the following steps were followed: creating the scene; adding a Vuforia GameObject AR Camera; importing and activating the target database in Unity; importing 3D models; displaying 3D models above the target images; customizing the models (position, size, brightness, etc.); setting the platform configuration; and building the application to be installed on the mobile device.
The result obtained from Unity was an .apk file that was transferred to the memory of a smartphone or tablet, installed, and run like a common application. The application was developed only for Android devices in the first phase and will be extended to devices that use other operating systems. The .apk file was uploaded to the university’s eLearning platform, where students were able to download and install it on personal mobile devices. We intend to add the application to the Google Play Store to allow for easier download.
Students can use the resulting application to track the movement of the mechanisms by pointing the mobile device to the image presented in the laboratory guidebook from the Mechanisms discipline. The development process is presented in Figure 5.
Figure 5.
Block diagram of “AR Mecs” software implementation.
3.3. Technology Acceptance Model
Students’ attitudes towards learning in AR environments were assessed using the technology acceptance model (TAM) [53]. This model is widely used in studies to test the user’s acceptance of new technologies in various fields, such as cultural heritage [54], medical imaging [55], library application [56], and retailing [57]. There are more studies that use the TAM to evaluate the adoption of AR-based devices and applications, such as smart glasses [58], mobile AR in tourism field [59], and maintenance training instruction [60]. TAM is also used in higher education to study the acceptance of innovative methods and tools among students [61,62].
According to the TAM, the acceptance of a system is represented by the intention to use (ItU) of that system, which is determined by the user’s attitude towards using the system (AtU). The attitude or predisposition towards the use of a system is determined by two variables: users’ perceptions of utility (perceived usefulness, PU) and the perceived ease of use (PEoU). PEoU has a causal effect on PU [63]. PU is defined in the context of learning as the user’s belief that a system would produce positive benefits for learning [64], and PEoU refers to the degree to which the user believes that using the system would be effortless [62]. Furthermore, PU and PEoU can be influenced by various external variables, such as system design features, user characteristics, experience in using technologies, and so on [65].
Another construct that favors people’s intention to use a system is the perceived enjoyment (PE) [66], defined as the extent to which the activity of using the system is perceived to be enjoyable on its own. Some researchers have shown that PE and PEoU are stronger determinants of ItU than PU [67].
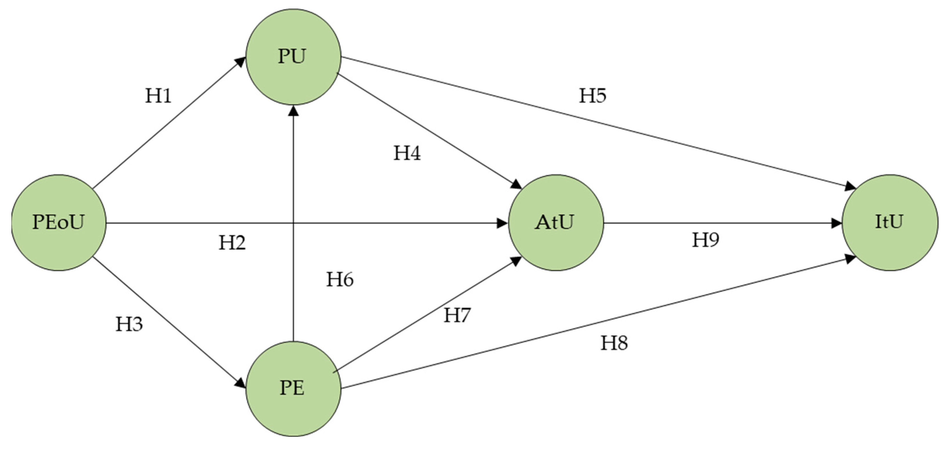
To understand the role of the individual factors that influence the acceptance of the AR application within the Mechanisms laboratory, we developed a theoretical model based on TAM (Figure 6). Within the model, we proposed the following hypotheses:
Figure 6.
The research model. PEoU: perceived ease of use; PU: perceived usefulness; AtU: attitude toward using; ItU: intention to use; PE: perceived enjoyment.
Hypothesis 1 (H1).
Perceived ease of use (PEoU) will positively affect perceived usefulness (PU).
Hypothesis 2 (H2).
Perceived ease of use (PEoU) will positively affect attitude toward using (AtU).
Hypothesis 3 (H3).
Perceived ease of use (PEoU) will positively affect perceived enjoyment (PE).
Hypothesis 4 (H4).
Perceived usefulness (PU) will positively affect attitude toward using (AtU).
Hypothesis 5 (H5).
Perceived usefulness (PU) will positively affect intention to use (ItU).
Hypothesis 6 (H6).
Perceived enjoyment (PE) will positively affect usefulness (PU).
Hypothesis 7 (H7).
Perceived enjoyment (PE) will positively affect attitude toward using (AtU).
Hypothesis 8 (H8).
Perceived enjoyment (PE) will positively affect intention to use (ItU).
Hypothesis 9 (H9).
Attitude toward using (ATU) will positively affect intention to use (ItU).
4. User Study
To evaluate the TAM shown in Figure 6 for “AR Mecs” application, a laboratory experiment was performed with students in the second semester of the academic year 2019–2020 (April–June 2020). An online questionnaire was developed to test the hypotheses presented above.
4.1. Participants
The research was conducted with students enrolled in the course “Mechanisms” in the second year of the study programs indicated in Table 4. The course was taught at the Faculty of Mechanical Engineering and Faculty of Electrical Engineering and Computer Science from Transilvania University of Brasov. The total number of participants was 116 students (mean age = 20.47, SD = 0.72), of which only 3.45% were women (n = 4) and 96.55% were men (n = 112). In these undergraduate programs, there is a tendency for a much larger number of men to enroll than women; thus, the proportion of men and women is justified.
Table 4.
Participants by subjects and degrees.
From a socio-cognitive point of view, the participants belong to different classes. Roughly 67.24% of participants come from urban areas and most of them (79.31%) graduated from a technical high school. While the vast majority were first-time students, three participants had previously graduated from another faculty or were enrolled in another faculty. One of them was a master’s student at another faculty.
4.2. Methodology
4.2.1. Procedure of Laboratory Experiment
The experiment was performed as follows:
- the students received a 2D image with the representation of the mechanism under study in the laboratory class; they were asked to identify the link and calculate the mobility;
- then, they were able to use the “AR Mecs” application to study the movement of the mechanism;
- students first received a presentation on the application and instructions for downloading and installing it; “AR Mecs” application in .apk format was distributed to students to install on their mobile devices;
- the students tested the application for 10 min, according to the following scenario:
- they ran the application and directed the mobile device to the specified image from a printed edition of the laboratory guidebook; the application allows viewing two types of content, which are available via the buttons on the bottom left (Figure 7);
Figure 7. “AR Mecs” application functions: crank-slider mechanism 1: (a) video, (b) 3D model; crank-slider mechanism 2: (c) video, (d) 3D model; tilting mechanism: (e) video, (f) 3D model. - each participant used the application in the two modes alternately to follow the movement of the mechanism and understand how it works;
- after using the application, they were asked to check if they correctly identified the links in the 2D image and if they had to change the initial values related to the number of links and joints after using the application;
- after testing the application, students were asked to complete a questionnaire regarding its evaluation, which was sent on the university’s eLearning platform.
- the experiment was performed three times, using the three models of mechanisms presented above. Thus, there were three separate cases, one for each mechanism. Some pictures during the experiment are presented in Figure 7a–f).
4.2.2. Questionnaire Design
The questionnaire used for the evaluation of “AR Mecs” was composed of three sections:
- an introductory part, in which the purpose of the questionnaire was described, details related to age and gender, and two questions regarding Augmented Reality technology:
- Have you ever heard of “Augmented Reality” (AR)?
- Have you used any systems or applications that use this technology before?
- the 15 items of the TAM, through which information was collected about the 6 variables: PU (7 items), PEoU (5 items), PE (5 items), AtU (3 items), ItU (3 items). They were measured on a 7-point Likert scale (with “1” = “strongly disagree” to “7” = “strongly agree”);
- the final part included a question related to the 3D content of the application: Which of the two functions provided is most useful (3D model display or video image display)? and asked the participants to write some suggestions for features they think would be useful in improving the “AR Mecs” application.
The questionnaire was developed bilingually: in Romanian for students who followed a bachelor’s program in Romanian and in English for those who followed the program in English.
The set of questions were based on the corresponding literature. Their statements were inspired by Rese et al. [57] and Cabero-Almenara and colleagues [65], and adapted for the proposed application.
5. Results
5.1. Data Processing and Analysis
The answers from the questionnaires were centralized using Microsoft Excel. For statistical analysis we used SPSS and SmartPLS. To test the proposed model, we performed a regression analysis using the partial least square (PLS) approach of structural equation modeling (SEM).
Regarding the first two questions addressed to the participants, the proportion of yes or no answers is presented in Figure 8.
Figure 8.
Poll results for the first two items of the questionnaire.
Regarding the scores of the TAM, Table 5 presents the 23 statements of the questionnaire and the mean and the standard deviations of the values obtained for each item. The mean values are in the following ranges: 6.20 and 6.54 (Case 1); 6.04 and 6.35 (Case 2); 6.13 and 6.45 (Case 3). The standard deviation varies between 0.88 and 0.97 (Case 1), 0.61 and 0.79 (Case 2), and 0.64 and 0.82 (Case 3). The total average value obtained was 6.15 and SD = 1.05 (Case 1), 6.05 and SD = 0.87 (Case 2), and 6.06 and SD = 0.85 (Case 3). The values far exceed the average of the scale (3.5), showing a high degree of acceptance of the technology used in the laboratory.
Table 5.
The questionnaire statements and the mean values and standard deviations of the answers for each case.
From Table 5 the highest values were obtained for “intention to use” in all three cases (6.36, 6.24, and 6.32, respectively), and then “attitude towards using the application” (6.20, 6.06, and 6.11, respectively). Interestingly, the students perceived the application as useful (6.06 and 6.04 in Cases 2 and 3, respectively), but also enjoyed its use (6.14 in Case 1 for both PU and PE).
The values obtained for each item were converted for the 0–100 scale, and the results for the average values on each construct are presented in Figure 9a–c.
Figure 9.
(a) Boxplot showing the results for the statements, grouped for the five constructs (Case 1); (b) Boxplot showing the results for the statements, grouped for the five constructs (Case 2); (c) Boxplot showing the results for the statements, grouped for the five constructs (Case 3).
In the following, the model is analyzed only for Case 1, because the other two cases were similar in terms of the answers received from the questionnaires.
5.1.1. Measurement Model
Several preliminary tests were performed before factor analysis. Kaiser–Meyer–Olkin (KMO) test and Bartlett’s test of sphericity were used to check the appropriateness of the dataset to factor analysis. KMO should have a value greater than 0.7 according to Hair et al. [68]. For our data, the KMO value was 0.854, with a highly significant level for Bartlett’s test of sphericity (p < 0.001). Communalities estimates show how much the extracted factors explain the variance of an individual item and can range from 0 to 1 [69]. The extraction communalities for our factors vary between 0.614 and 0.796.
To complete the examination of the measurement model, it is essential to verify the validity and reliability of the collected data. For this purpose, two analysis softwares (SPSS v26 and SmartPLS v.3.3.2) were used. The reliability was evaluated by measuring the composite reliability (CR) values and factor loadings. Table 6 reveals that the CR of each factor is above 0.884, higher than the threshold value of 0.7 [70,71], which defines good reliability among latent variables. The recommended values for rho_A reliability coefficients are at least 0.7 [72]. As provided in Table 6, the rho_A value of all the items is above 0.8. In addition, for good convergent validity, factor loading must be greater than 0.5 [73] and all the items are above 0.7.
Table 6.
Construct reliability and validity. AVE: average variance extracted.
The internal consistency of the data was measured by calculating Cronbach’s coefficient α for each construct. Cronbach’s coefficient is considered satisfactory for a value greater than 0.7 [74]. As seen from Table 6, the Cronbach coefficients of the variables vary between 0.801 and 0.915, indicating good reliability and a good internal consistency of the questionnaire. Another measure of convergent validity is the average variance extracted (AVE), with a recommended value greater than 0.5 [75]. In this research, all the AVE values are greater than 0.5, ranging from 0.611 to 0.815.
In Table 7, discriminant validity was checked by comparing the square root of AVE to the correlation between constructs. Adequate discriminant validity is obtained if the diagonal values (in bold in Table 7) are greater than the correlation [59]. This criterion was met.
Table 7.
Discriminant validity matrix (Fornell–Larcker criterion).
5.1.2. Structural Model and Hypothesis Testing
Once the analysis that established the reliability and validity of the items was completed, a structural model was analyzed. As mentioned above, we used the PLS-SEM [76] method to validate the proposed model and estimate the relationship among constructs. A bootstrapping procedure with 5000 subsamples was performed in SmartPLS and the results are presented in Table 8 and Figure 10. p-Values represent the level of significance within a hypothesis test. For two-tailed tests, a significance level of 10% (p < 0.1) requires a t-value > 1.65, a significance level of 5% (p < 0.05) requires a t-value > 1.96, and a significance level of 1% (p < 0.001) requires a t-value > 2.58 [77].
Table 8.
Structural model results.
Figure 10.
Structural equation model.
Figure 10 illustrates the β coefficients (path coefficients) and R2 values (coefficient of determination) of the latent variables. Path coefficients give the relation between constructs, and R2 helps to determine the percentage of the variance in the dependent variable explained by the independent variables [55]. The estimation of the TAM by PLS shows that all the relationships between constructs were confirmed, except for PEoU -> PU and PEoU -> AtU (H1 and H2). Thus, seven of the nine proposed hypotheses were supported: PEoU was found to have a positive effect on PE (H3: β = 0.683, p < 0.001); PU had a significant influence on AtU and ItU (H4: β = 0.289, p < 0.005; H5: β = 0.291, p < 0.005); PE had a positive influence on PU, AtU, and ItU (H6: β = 0.550, p < 0.001; H7: β = 0.582, p < 0.001; H8: β = 0.279, p < 0.05); and AtU had significant effect on ItU (H9: β = 0.316, p < 0.01). However, PEoU had a nonsignificant effect on PU and AtU (H1: β = 0.201, p < 0.1; H2: β = −0.040, p = nonsignificant), so the first two hypotheses are not supported.
The result shows that 61.1% of the variance of the latent variable AtU was explained by the latent variables PU, PEoU, and PE; 49.4% of the variance of the latent variable PU was explained by the latent variables PEoU and PE; 46.6% of the variance of the latent variable PE was explained by the latent variable PEoU; and 63% of the variance of the latent variable ItU was explained by the latent variables AtU, PE, and PU. The direct, indirect, and total effect of all the variables were also calculated (Table 9).
Table 9.
Causal relationship: direct, indirect, and total effect of variables.
5.2. Final Part of the Questionnaire
In the final part of the questionnaire, the students were asked about the virtual content of the AR application. For the question—“Which of the two functions provided is most useful?”—most students (79.31%) replied that the 3D model was more appropriate (Figure 11). AR technology brings several benefits compared to watching a traditional video that shows the movement of the mechanism. In accordance with Yip et al. [78], the following advantages can be mentioned: the virtual object is superimposed right above the real image, giving the impression that it is animated and shows a complete and clear movement; in this way, a considerable convenience is offered to students in the learning process and they can easily correlate the information received; interactivity is also a major advantage, as students can interact with virtual content.
Figure 11.
Students’ preference related to virtual content of the application.
The participants were also asked to answer about their learning experience with “AR Mecs”. More specifically, they were urged to write some suggestions about the application and how it could be improved. A relatively small percentage (17.2%) of respondents reported only positive opinions related to the AR application. For instance, some of the participants wrote that it is “good”, “helpful”, “easy to use” or “amazing”, and they were “pleasantly surprised”. Another considerable part of the respondents (30.2%) stated that they had no suggestions, meaning that they were satisfied with the application in its current form and did not want additional improvements.
On the other hand, most of the students (52.6%) made various recommendations, including in their comments certain problems they found during the use of AR technology or indicating certain features that they considered useful to be implemented. The most common issues were that the camera did not focus properly and the image quality and stability of virtual content requires improved. As improvements, the following features have been proposed: adding more mechanisms and an interactive menu; inclusion of user tutorials, detailed instructions, and a home page with history; the possibility of interaction with the 3D object (zoom, rotate) and the ability to view it from different perspectives. In addition, student suggestions commented on the inability to install the application on iOS devices or PC and they considered room for improvement in terms of ease of use and interaction facilities.
6. Discussion
This paper aims to study the potential of using AR technology as a learning tool in higher education institutions specializing in Mechanical Engineering. Thus, the first objective was to identify similar works through a systematic search in five databases. The works that met the selection criteria were then analyzed. We found that AR not only facilitates students’ learning but also stimulates students’ ability to innovate [45], spatial skills [48], interest, motivation [28], and academic performance [43], facilitating the understanding of the scientific course [15], reducing the cognitive load of students [79], and encouraging their attention [49].
The second objective of the study was to evaluate the application of AR technology to improve learning in a discipline specific to the field of mechanical engineering. Thus, an AR application was implemented for Android-based devices and was tested by students. The application rendered animated virtual mechanisms over the view of pictures from a laboratory guidebook through the screen of the smartphone or tablet. A total of 116 questionnaires were collected from students and used in the analysis based on the technology acceptance model. The proposed research model was investigated using partial least squares methodology (PLS). The relationships among five constructs were examined: perceived usefulness (PU), perceived ease of use (PEoU), perceived enjoyment (PE), attitude toward using (AtU), and intention to use (ItU). More specifically, the aim was to observe to what extent the intention to use AR technology is affected by the other variables.
The results confirmed that PU and PE play an important role for students to accept the proposed system. This finding is consistent with other works [64,65]. At the same time, PE was a more significant factor for AtU than PU. On the other hand, PEoU did not seem to have much importance on PU and AtU, but it had a positive impact on PE. Interestingly, the obtained results do not seem to be entirely in support of preliminary research studies in this regard, although there are works in the literature in which small values for path significance between PEou and PU and PEoU and AtU were reported [54,62]. The hypotheses that assert that PE and PU have a significant influence on ItU are supported, in line with previous studies [80,81].
The proposed work has some theoretical and practical implications. Firstly, it summarizes the works that are based on the use of AR technology in the learning program of the faculties with a mechanical engineering profile. The findings were briefly presented to contribute to current scientific knowledge in this regard. In addition, the theoretical implications of the evaluation study are to reinforce what is known about the use of AR systems and to test the application of the TAM on a relatively large number of participants. The practical implications will be quantified after the application is officially used as part of the learning process and we will be able to make a comparison between the results obtained by the students before and after using this support from the laboratory classes. Further, from the experience gained in the user study, we found that students were more receptive, more involved, and better understood the concepts presented.
Given that the AR market continues to grow substantially [82] and has the potential to become mass technology [6], the need to update learning programs in higher education is obvious. Currently, research and practical implementation of AR systems are occurring at an increasingly higher rate. Many companies have already adopted the use of such systems, like AR smart glasses [58], and their continued development and improvement will lead to their integration into our daily lives. In these conditions, the topic of the implementation of AR systems within classes is relevant, and the findings confirm that this revolutionary technology has a positive impact for our society.
7. Conclusions and Future Work
The study aims to broaden the understanding of the use of AR in universities and strengthen the belief that this technology is beginning to arouse real interest in students and has the potential to open new avenues through the curricula of universities through new pedagogical approaches. The factors that influence interest in using the technology were analyzed and the feedback received from the students was positive, showing that they want the AR application to be used in the future, both in the discipline for which the experiment was performed, and in the study of other disciplines.
However, the study has limitations. Firstly, the selection of a limited number of articles according to the selection criteria for the review did not allow the detection and analysis of all papers dealing with the role of AR in Mechanical Engineering education. Secondly, the application is limited to mechanical engineering students and the data were collected from the students chosen only from one university. Furthermore, all participants were Romanians and only about 4% were women. Thus, the results cannot be generalized to other countries, and the gender differences could have a different effect on the analyzed variables. In addition, the research sample was relatively small. Thirdly, the study is exclusively a qualitative one, based on the students’ opinions, and the efficiency of using the application or other parameters was not considered. In the same way, only the students’ attitudes were investigated, not their cognitive and emotional traits. Lastly, the students’ comments suggested that further improvements of the application are expected.
Future research will help us identify other factors that need to be considered in the structural model. We will consider a study with larger sample size, balanced in terms of participants’ gender, and conducted over a longer period. We will try to improve the application following students’ preferences and technological evolution. Thus, we will try to develop a friendlier interface, which is easier to use, with improvements in terms of interaction with the virtual object, camera focus, and accuracy of registration. The use of wearable devices, such as smart glasses (e.g., Microsoft Hololens), will be considered to test the reception of AR through various devices.
Author Contributions
Conceptualization, R.G.B. and C.A.; methodology, R.G.B.; software, R.G.B. and R.-L.C.; validation, R.G.B., R.-L.C., and C.A.; formal analysis, R.G.B. and R.-L.C.; investigation, C.A.; data curation, R.-L.C.; writing—original draft preparation, R.G.B.; writing—review and editing, C.A. and R.-L.C.; visualization, R.-L.C.; supervision, C.A. All authors have read and agreed to the published version of the manuscript.
Funding
This work was supported by a grant of the Romanian Ministry of Education and Research, CCCDI—UEFISCDI, project number PN-III-P2-2.1-PED-2019-4366 (431PED), within PNCDI III.
Conflicts of Interest
The authors declare no conflict of interest.
References
- Millar, R. Why is science hard to learn? J. Comput. Assist. Learn. 1991, 7, 66–74. [Google Scholar] [CrossRef]
- Hsu, T.-C. Learning english with augmented reality: Do learning styles matter? Comput. Educ. 2017, 106, 137–149. [Google Scholar] [CrossRef]
- Soltani, P.; Morice, A.H.P. Augmented reality tools for sports education and training. Comput. Educ. 2020, 155, 103923. [Google Scholar] [CrossRef]
- Radu, I. Augmented reality in education: A meta-review and cross-media analysis. Pers. Ubiquitous Comput. 2014, 18, 1533–1543. [Google Scholar] [CrossRef]
- Quintero, J.; Baldiris, S.; Rubira, R.; Cerón, J.; Velez, G. Augmented reality in educational inclusion. A systematic review on the last decade. Front. Psychol. 2019, 10, 1835. [Google Scholar] [CrossRef]
- Rauschnabel, P.A. Augmented reality is eating the real-world! The substitution of physical products by holograms. Int. J. Inf. Manag. 2021, 57, 102279. [Google Scholar] [CrossRef]
- Gumaelius, L.B.; Kolmos, A. The future of engineering education: Where are we heading? In Proceedings of the SEFI Annual Conference, Budapest, Hungary, 16–19 September 2019; pp. 1663–1672. [Google Scholar]
- Gómez-Tone, H.C.; Martin-Gutierrez, J.; Valencia Anci, L.; Mora Luis, C.E. International comparative pilot study of spatial skill development in engineering students through autonomous augmented reality-based training. Symmetry 2020, 12, 1401. [Google Scholar] [CrossRef]
- Gargrish, S.; Mantri, A.; Kaur, D.P. Augmented reality-based learning environment to enhance teaching-learning experience in geometry education. Procedia Comput. Sci. 2020, 172, 1039–1046. [Google Scholar] [CrossRef]
- Logg, A.; Lundholm, C.; Nordaas, M. Finite element simulation of physical systems in augmented reality. Adv. Eng. Softw. 2020, 149, 102902. [Google Scholar] [CrossRef]
- Phade, G.; Goverdhane, K.; Vaidya, O.S.; Gandhe, S. A novel ICT tool for interactive learning for electronics engineering based on augmented reality. Int. J. Sci. Technol. Res. 2019, 8, 1886–1893. [Google Scholar]
- Ataş, A.H.; Çelik, B. Smartphone use of university students: Patterns, purposes, and situations. Malays. Online J. Educ. Technol. 2019, 7, 59–70. [Google Scholar] [CrossRef]
- Aliev, Y.; Kozov, V.; Ivanova, G.; Ivanov, A. 3D augmented reality software solution for mechanical engineering education. In CompSysTech’17: 18th International Conference on Computer Systems and Technologies, Ruse, Bulgaria, 23–24 June 2017; Association for Computing Machinery: New York, NY, USA, 2017; pp. 318–325. [Google Scholar]
- Arango-López, J.; Cerón Valdivieso, C.C.; Collazos, C.A.; Gutiérrez Vela, F.L.; Moreira, F. CREANDO: Tool for creating pervasive games to increase the learning motivation in higher education students. Telemat. Inform. 2019, 38, 62–73. [Google Scholar] [CrossRef]
- Rizov, T.; Rizova, E. Augmented reality as a teaching tool in higher education. Int. J. Cogn. Res. Sci. Eng. Educ. 2015, 3, 7–16. [Google Scholar]
- Cañas, J.M.; Martín-Martín, D.; Arias, P.; Vege, J.; Roldán-Álvarez, D.; García-Pérez, L.; Fernández-Conde, J. Open-source drone programming course for distance engineering education. Electronics 2020, 9, 2163. [Google Scholar] [CrossRef]
- Flores, M.; Payá, L.; Valiente, D.; Gallego, J.; Reinoso, O. Deployment of a software to simulate control systems in the state-space. Electronics 2019, 8, 1205. [Google Scholar] [CrossRef]
- Jokić, D.; Lubura, S.; Ristović, M.; Stankovski, S.; Rajs, V.; Šiljak, H. What’s in the box: Design of an open didactic robot environment. Electronics 2020, 9, 2090. [Google Scholar] [CrossRef]
- Valiente, D.; Payá, L.; de Ávila, S.F.; Ferrer, J.C.; Reinoso, O. Analysing students’ achievement in the learning of electronics supported by ICT resources. Electronics 2019, 8, 264. [Google Scholar] [CrossRef]
- Lamo, P.; de Castro, Á.; Brañas, C.; Azcondo, F.J. Emulator of a boost converter for educational purposes. Electronics 2020, 9, 1883. [Google Scholar] [CrossRef]
- Arulanand, N.; Babu, A.R.; Rajesh, P.K. Enriched learning experience using augmented reality framework in engineering education. Procedia Comput. Sci. 2020, 172, 937–942. [Google Scholar] [CrossRef]
- Figueiredo, M.J.G.; Cardoso, P.J.S.; Goncalves, C.D.F.; Rodrigues, J.M.F. Augmented reality and holograms for the visualization of mechanical engineering parts. In Proceedings of the 2014 18th International Conference on Information Visualisation, Paris, France, 16–18 July 2014. [Google Scholar]
- Scaravetti, D.; Doroszewski, D. Augmented reality experiment in higher education, for complex system appropriation in mechanical design. Procedia CIRP 2019, 84, 197–202. [Google Scholar] [CrossRef]
- Bendicho, P.F.; Mora, C.E.; Añorbe-Díaz, B.; Rivero-Rodríguez, P. Effect on academic procrastination after introducing augmented reality. EURASIA J. Math. Sci. Technol. Educ. 2017, 13, 319–330. [Google Scholar]
- Striuk, A.; Rassovytska, M.; Shokaliuk, S. Using Blippar augmented reality browser in the practical training of mechanical engineers. arXiv 2017, arXiv:1807.00279. [Google Scholar]
- Girbacia, F.; Butnariu, S. An innovative approach to teaching mechanism using augmented reality technologies. In Proceedings of the 8th International Scientific Conference eLearning and Software for Education, Bucharest, Romania, 26–27 April 2012; pp. 140–143. [Google Scholar]
- Ivanov, V.; Pavlenko, I.; Trojanowska, J.; Zuban, Y.; Samokhvalov, D.; Bun, P. Using the augmented reality for training engineering students. In Proceedings of the 4th International Conference of the Virtual and Augmented Reality in Education, Budapest, Hungary, 17–21 September 2018; pp. 57–64. [Google Scholar]
- Martín-Gutiérrez, J.; Fernandez, M.D.M. Applying augmented reality in engineering education to improve academic performance & student motivation. Int. J. Eng. Educ. 2014, 30, 625–635. [Google Scholar]
- Martín-Gutiérrez, J.; Fabiani, P.; Benesova, W.; Meneses, M.D.; Mora, C.E. Augmented reality to promote collaborative and autonomous learning in higher education. Comput. Hum. Behav. 2015, 51, 752–761. [Google Scholar] [CrossRef]
- Sidhu, M.S. The effects of using learning-aided cues in an augmented reality environment for a multi-body mechanism. Int. J. Comput. Appl. Technol. 2015, 52, 220–227. [Google Scholar] [CrossRef]
- Dede; Abdullah, A.G.; Mulyanti, B.; Rohendi, D. Virtual gasoline engine based on augment reality for mechanical engineering education. In Proceedings of the 3rd Annual Applied Science and Engineering Conference (AASEC 2018), Bandung, Indonesia, 18 April 2018. [Google Scholar]
- Martin-Gutierrez, J. Proposal of methodology for learning of standard mechanical elements using augmented reality. In Proceedings of the 2011 Frontiers in Education Conference, Rapid City, SD, USA, 11–15 October 2011. [Google Scholar]
- Serdar, T.; Aziz, E.S.S.; Esche, S.K.; Chassapis, C. Integration of augmented reality into the CAD process. In Proceedings of the 2013 ASEE Annual Conference and Exposition, Atlanta, GA, USA, 23–26 June 2013. [Google Scholar]
- Martín-Gutiérrez, J.; Contero, M.; Alcañiz, M. Augmented reality to training spatial skills. Procedia Comput. Sci. 2015, 77, 33–39. [Google Scholar] [CrossRef]
- Horii, H.; Miyajima, Y. Augmented reality-based support system for teaching hand-drawn mechanical drawing. Procedia Soc. Behav. Sci. 2013, 103, 174–180. [Google Scholar] [CrossRef]
- Ayasoufi, A.; Williams, R.; Makki, G. Using augmented reality to eliminate common misconceptions for students in core mechanical engineering courses. In Proceedings of the ASEE Annual Conference and Exposition, Tampa, FL, USA, 15 June 2019. [Google Scholar]
- Fuchsova, M.; Korenova, L. Visualisation in basic science and engineering education of future primary school teachers in human biology education using augmented reality. Eur. J. Contemp. Educ. 2019, 8, 92–102. [Google Scholar]
- Weng, C.; Otanga, S.; Christianto, S.M.; Chu, R.J.-C. Enhancing students’ biology learning by using augmented reality as a learning supplement. J. Educ. Comput. Res. 2020, 58, 747–770. [Google Scholar] [CrossRef]
- Kelly, D.; Hoang, T.N.; Reinoso, M.; Joukhadar, Z.; Clements, T.; Vetere, F. Augmented reality learning environment for physiotherapy education. Phys. Ther. Rev. 2018, 23, 21–28. [Google Scholar] [CrossRef]
- Buchori, A.; Prasetyowati, D.; Wijayanto. Design of the magic book math media based on augmented reality. Test Eng. Manag. 2020, 82, 1480–1489. [Google Scholar]
- Akçayır, M.; Akçayır, G.; Pektaş, H.M.; Ocak, M.A. Augmented reality in science laboratories: The effects of augmented reality on university students’ laboratory skills and attitudes toward science laboratories. Comput. Hum. Behav. 2016, 57, 334–342. [Google Scholar] [CrossRef]
- Shirazi, A.; Behzadan, A.H. Content delivery using augmented reality to enhance students’ performance in a building design and assembly project. Adv. Eng. Educ. 2015, 4, 3. [Google Scholar]
- Turkan, Y.; Radkowski, R.; Karabulut-Ilgu, A.; Behzadan, A.H.; Chen, A. Mobile augmented reality for teaching structural analysis. Adv. Eng. Inform. 2017, 34, 90–100. [Google Scholar] [CrossRef]
- Huang, J.; Ong, S.K.; Nee, A.Y.C. An approach for augmented learning of finite element analysis. Comput. Appl. Eng. Educ. 2019, 27, 921–933. [Google Scholar] [CrossRef]
- Liu, Y.C.; Lu, S.J.; Kao, C.Y.; Chung, L.; Tan, K.H. Comparison of AR and physical experiential learning environment in supporting product innovation. Int. J. Eng. Bus. Manag. 2019, 11. [Google Scholar] [CrossRef]
- Moher, D.; Liberati, A.; Tetzlaff, J.; Altman, D.G.; The, P.G. Preferred reporting items for systematic reviews and meta-analyses: The PRISMA statement. PLoS Med. 2009, 6, e1000097. [Google Scholar] [CrossRef]
- Liu, Y.C.; Kao, C.Y.; Chakrabarti, A.; Chen, C.H. Innovation-supporting tools for novice designers: Converting existing artifacts and transforming new concepts. Adv. Mech. Eng. 2016, 8. [Google Scholar] [CrossRef]
- Martín-Gutiérrez, J.; Luís Saorín, J.; Contero, M.; Alcañiz, M.; Pérez-López, D.C.; Ortega, M. Design and validation of an augmented book for spatial abilities development in engineering students. Comput. Graph. 2010, 34, 77–91. [Google Scholar] [CrossRef]
- Sidhu, M.S. Evaluation study outcome of augmented reality technology for solving engineering problems in UNITEN: Augmented reality technology for solving engineering problems in UNITEN. Int. J. Inf. Commun. Technol. Educ. 2019, 15, 69–84. [Google Scholar] [CrossRef]
- Akçayır, M.; Akçayır, G. Advantages and challenges associated with augmented reality for education: A systematic review of the literature. Educ. Res. Rev. 2017, 20, 1–11. [Google Scholar] [CrossRef]
- Kolovsky, M.Z.; Evgrafov, A.N.; Semenov, Y.A.; Slousch, A.V. Structure of machines and mechanisms. In Advanced Theory of Mechanisms and Machines; Springer: Berlin/Heidelberg, Germany, 2000; pp. 1–40. [Google Scholar]
- Simón Mata, A.; Bataller Torras, A.; Cabrera Carrillo, J.A.; Ezquerro Juanco, F.; Guerra Fernández, A.J.; Nadal Martínez, F.; Ortiz Fernández, A. Kinematic chains. In Fundamentals of Machine Theory and Mechanisms; Springer International Publishing: Cham, Switzerland, 2016; pp. 1–20. [Google Scholar]
- Davis, F.D. Perceived usefulness, perceived ease of use, and user acceptance of information technology. MIS Q. 1989, 13, 319–340. [Google Scholar] [CrossRef]
- Chung, N.; Han, H.; Joun, Y. Tourists’ intention to visit a destination: The role of augmented reality (AR) application for a heritage site. Comput. Hum. Behav. 2015, 50, 588–599. [Google Scholar] [CrossRef]
- Hancerliogullari Koksalmis, G. Drivers to adopting B-flow ultrasonography: Contextualizing the integrated technology acceptance model. BMC Med. Imaging 2019, 19, 56. [Google Scholar] [CrossRef]
- Rafique, H.; Almagrabi, A.O.; Shamim, A.; Anwar, F.; Bashir, A.K. Investigating the acceptance of mobile library applications with an extended technology acceptance model (TAM). Comput. Educ. 2020, 145, 103732. [Google Scholar] [CrossRef]
- Rese, A.; Baier, D.; Geyer-Schulz, A.; Schreiber, S. How augmented reality apps are accepted by consumers: A comparative analysis using scales and opinions. Technol. Forecast. Soc. Chang. 2017, 124, 306–319. [Google Scholar] [CrossRef]
- Rauschnabel, P.A.; He, J.; Ro, Y.K. Antecedents to the adoption of augmented reality smart glasses: A closer look at privacy risks. J. Bus. Res. 2018, 92, 374–384. [Google Scholar] [CrossRef]
- Do, H.-N.; Shih, W.; Ha, Q.-A. Effects of mobile augmented reality apps on impulse buying behavior: An investigation in the tourism field. Heliyon 2020, 6, e04667. [Google Scholar] [CrossRef]
- Aalbers, T.; Peeters, A. The clinical testing of the serious game digest-inn: A tool to increase diet adherence in overweight individuals. Games Health J. 2020, 9, 108–112. [Google Scholar] [CrossRef]
- Cheung, R.; Vogel, D. Predicting user acceptance of collaborative technologies: An extension of the technology acceptance model for e-learning. Comput. Educ. 2013, 63, 160–175. [Google Scholar] [CrossRef]
- Estriegana, R.; Medina-Merodio, J.-A.; Barchino, R. Student acceptance of virtual laboratory and practical work: An extension of the technology acceptance model. Comput. Educ. 2019, 135, 1–14. [Google Scholar] [CrossRef]
- Davis, F.D. User acceptance of information technology: System characteristics, user perceptions and behavioral impacts. Int. J. Man-Mach. Stud. 1993, 38, 475–487. [Google Scholar] [CrossRef]
- Wojciechowski, R.; Cellary, W. Evaluation of learners’ attitude toward learning in ARIES augmented reality environments. Comput. Educ. 2013, 68, 570–585. [Google Scholar] [CrossRef]
- Cabero-Almenara, J.; Fernández-Batanero, J.M.; Barroso-Osuna, J. Adoption of augmented reality technology by university students. Heliyon 2019, 5, e01597. [Google Scholar] [CrossRef] [PubMed]
- Davis, F.D.; Bagozzi, R.P.; Warshaw, P.R. Extrinsic and intrinsic motivation to use computers in the workplace. J. Appl. Soc. Psychol. 1992, 22, 1111–1132. [Google Scholar] [CrossRef]
- Van der Heijden, H. User acceptance of hedonic information systems. MIS Q. 2004, 28, 695–704. [Google Scholar] [CrossRef]
- Hair, J.F.; Black, W.C.; Babin, B.J.; Anderson, R.E.; Tatham, R.L. Multivariate Data Analysis; Pearson Education Limited: New York, NJ, USA, 2009. [Google Scholar]
- Field, A. Discovering Statistics Using IBM SPSS Statistics; SAGE Publications Ltd.: London, UK, 2017. [Google Scholar]
- Straub, D.; Boudreau, M.-c.; Gefen, D. Validation guidelines for IS positivist research. Commun. Assoc. Inf. Syst. 2004, 3. [Google Scholar] [CrossRef]
- Bollen, K.A. Structural Equations with Latent Variables; Wiley: New York, NY, USA, 1989. [Google Scholar]
- Dijkstra, T.K.; Henseler, J. Consistent and asymptotically normal PLS estimators for linear structural equations. Comput. Stat. Data Anal. 2015, 81, 10–23. [Google Scholar] [CrossRef]
- Stevens, J.P. Applied Multivariate Statistics for the Social Sciences; Routledge: Abingdon, UK, 2009. [Google Scholar]
- Fornell, C.; Larcker, D.F. Evaluating structural equation models with unobservable variables and measurement error. J. Mark. Res. 1981, 18, 39–50. [Google Scholar] [CrossRef]
- Lam, L.W. Impact of competitiveness on salespeople’s commitment and performance. J. Bus. Res. 2012, 65, 1328–1334. [Google Scholar] [CrossRef]
- Khan Gohar, F.; Sarstedt, M.; Shiau, W.-L.; Hair Joseph, F.; Ringle Christian, M.; Fritze Martin, P. Methodological research on partial least squares structural equation modeling (PLS-SEM): An analysis based on social network approaches. Internet Res. 2019, 29, 407–429. [Google Scholar] [CrossRef]
- Hair, J.F.; Hult, G.T.M.; Ringle, C.M.; Sarstedt, M. A Primer on Partial Least Squares Structural Equation Modeling (PLS-SEM); Sage: Thousand Oaks, CA, USA, 2017. [Google Scholar]
- Yip, J.; Wong, S.-H.; Yick, K.-L.; Chan, K.; Wong, K.-H. Improving quality of teaching and learning in classes by using augmented reality video. Comput. Educ. 2019, 128, 88–101. [Google Scholar] [CrossRef]
- İbili, E.; Billinghurst, M. Assessing the relationship between cognitive load and the usability of a mobile augmented reality tutorial system: A study of gender effects. Int. J. Assess. Tools Educ. 2019, 6, 378–395. [Google Scholar] [CrossRef]
- Teo, T.; Noyes, J. An assessment of the influence of perceived enjoyment and attitude on the intention to use technology among pre-service teachers: A structural equation modeling approach. Comput. Educ. 2011, 57, 1645–1653. [Google Scholar] [CrossRef]
- Wang, T.; Jia, S.; Dai, J.R.; Lu, M.L.; Xue, X.R.; Cai, S.; Chiang, F.K. A case study of evaluation of learners’acceptance of AR_H2O2 system. In Proceedings of the 25th International Conference on Computers in Education, Christchurch, New Zealand, 3–8 December 2017; pp. 558–565. [Google Scholar]
- Danielsson, O.; Holm, M.; Syberfeldt, A. Augmented reality smart glasses in industrial assembly: Current status and future challenges. J. Ind. Inf. Integr. 2020, 20, 100175. [Google Scholar] [CrossRef]
Publisher’s Note: MDPI stays neutral with regard to jurisdictional claims in published maps and institutional affiliations. |
© 2021 by the authors. Licensee MDPI, Basel, Switzerland. This article is an open access article distributed under the terms and conditions of the Creative Commons Attribution (CC BY) license (http://creativecommons.org/licenses/by/4.0/).










