Analysis of the Soft-Switching Tuning Effect on the Figures of Merit Involved in the Design of a Class-E Amplifier with Finite DC-Feed Inductance
Abstract
:1. Introduction
2. Proposed PA Design Methodology
2.1. Design of the Ideal Amplifier
2.2. Evaluation of the Amplifier with Non-Ideal Components
2.3. Design for Soft-Switching Operation via a Tuning Process
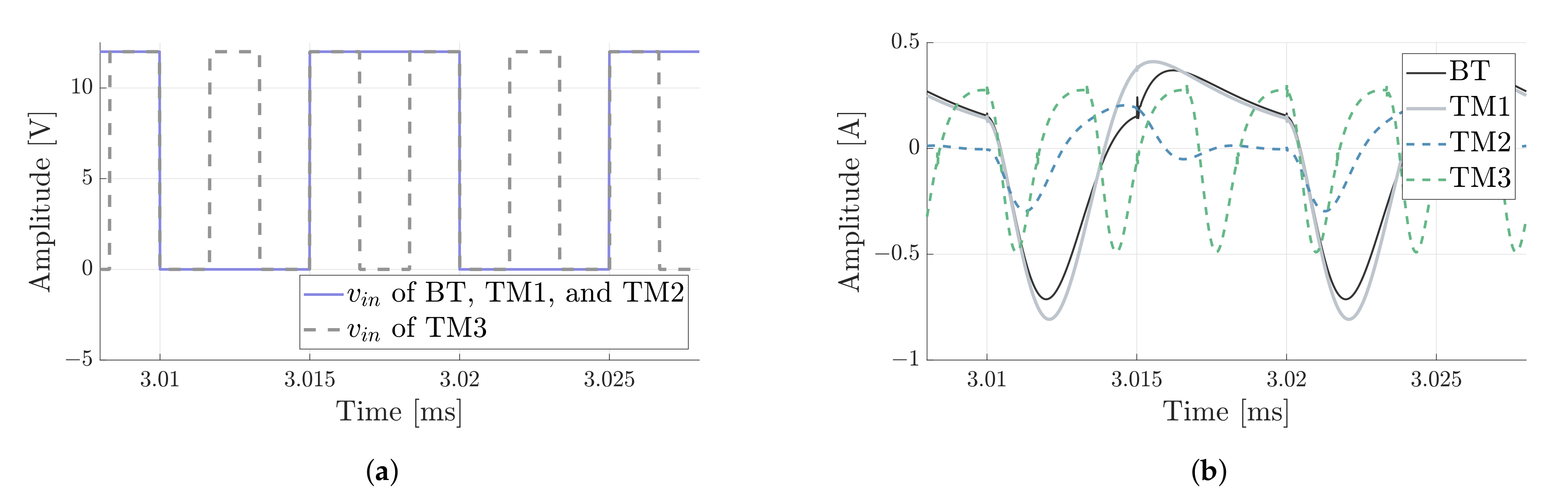
2.3.1. Tuning Method 1 (TM1): Adjustment of and
2.3.2. Tuning Method 2 (TM2): Adjustment of and
2.3.3. Tuning Method 3 (TM3): Adjustment of and
3. Case Studies and Results
4. Analysis of Results
5. Conclusions
6. Future Work
Author Contributions
Funding
Data Availability Statement
Acknowledgments
Conflicts of Interest
Abbreviations
| PA | Power Amplifier |
| RF | Radio-Frequency |
| ZVS | Zero Voltage Switching |
| ZVDS | Zero Voltage Derivative Switching |
| FDI | Finite DC-Feed Inductance |
| MAPTE | Mean Absolute Percentage Tuning Effect |
References
- Abbas, S.M.; Hannan, M.A.; Salina, A.S. Efficient Class-E design for inductive powering wireless biotelemetry applications. In Proceedings of the 2012 International Conference on Biomedical Engineering (ICoBE), Penang, Malaysia, 27–28 February 2012; pp. 445–449. [Google Scholar] [CrossRef]
- Peña-Eguiluz, R.; Pérez-Martínez, J.A.; López-Callejas, R.; Mercado-Cabrera, A.; Solís-Pacheco, J.; Aguilar-Uscanga, B.; Muñoz-Castro, A.E.; Valencia-Alvarado, R.; Barocio-Delgado, S.R.; Rodríguez-Méndez, B.G.; et al. Analysis and Application of a Parallel E-Class Amplifier as RF Plasma Source. IEEE Trans. Plasma Sci. 2010, 38, 2840–2847. [Google Scholar] [CrossRef]
- Liu, S.; Liu, M.; Han, S.; Zhu, X.; Ma, C. Tunable Class E2 DC–DC Converter With High Efficiency and Stable Output Power for 6.78-MHz Wireless Power Transfer. IEEE Trans. Power Electron. 2018, 33, 6877–6886. [Google Scholar] [CrossRef]
- Gurov, K.O. Study of a Class E Power Amplifier Tuning Effect on Output Power and Efficiency of an Inductive Wireless Power Transfer System. In Proceedings of the 2021 IEEE Conference of Russian Young Researchers in Electrical and Electronic Engineering (ElConRus), Moscow, Russia, 26–29 January 2021; pp. 2803–2807. [Google Scholar]
- Qaragoez, Y.M.; Ali, I.; Kim, S.J.; Lee, K. A 5.8GHz 9.5 dBm Class-E Power Amplifier for DSRC Applications. In Proceedings of the 2019 International SoC Design Conference (ISOCC), Jeju, Korea, 6–9 October 2019; pp. 202–203. [Google Scholar]
- Eroglu, A.; Sivakumar, S. Phase controlled Class E amplifiers for pulsing applications. In Proceedings of the 2009 IEEE MTT-S International Microwave Symposium Digest, Boston, MA, USA, 7–12 June 2009; pp. 765–768. [Google Scholar] [CrossRef]
- Gorain, C.; Sadhu, P.K.; Raman, R. Analysis of High-Frequency Class E Resonant Inverter and its Application in an Induction Heater. In Proceedings of the 2018 2nd International Conference on Power, Energy and Environment: Towards Smart Technology (ICEPE), Shillong, India, 1–2 June 2018; pp. 1–6. [Google Scholar]
- Mangkalajan, S.; Ekkaravarodome, C.; Jirasereeamornkul, K.; Thounthong, P.; Higuchi, K.; Kazimierczuk, M.K. A Single-Stage LED Driver Based on ZCDS Class-E Current-Driven Rectifier as a PFC for Street-Lighting Applications. IEEE Trans. Power Electron. 2018, 33, 8710–8727. [Google Scholar] [CrossRef]
- Kessler, D.J.; Kazimierczuk, M.K. Power losses and efficiency of class-E power amplifier at any duty ratio. IEEE Trans. Circuits Syst. I Reg. Papers 2004, 51, 1675–1689. [Google Scholar] [CrossRef]
- Sokal, N.O.; Sokal, A.D. Class E-A new class of high-efficiency tuned single-ended switching power amplifiers. IEEE J. Solid State Circuits 1975, 10, 168–176. [Google Scholar] [CrossRef]
- Raab, F. Idealized operation of the class E tuned power amplifier. IEEE Trans. Circuits Syst. 1977, 24, 725–735. [Google Scholar] [CrossRef] [Green Version]
- Casallas, I.; Páez, C.; Perilla, G.; Fajardo, A. Design methodology of Class-E power amplifier using feed inductance tuning for high-efficiency operation in wireless power transfer applications. In Proceedings of the ANDESCON 2020 Conference, Quito, Ecuador, 13–16 October 2020; pp. 869–874. [Google Scholar]
- Zulinski, R.; Steadman, J. Class E Power Amplifiers and Frequency Multipliers with finite DC-Feed Inductance. IEEE Trans. Circuits Syst. 1987, 34, 1074–1087. [Google Scholar] [CrossRef]
- Li, C.; Yam, Y. Maximum frequency and optimum performance of class E power amplifiers. IEE Proc. Circuits Devices Syst. 1994, 141, 174–184. [Google Scholar] [CrossRef]
- Choi, D.K.; Long, S.I. Finite DC feed inductor in class E power amplifiers-a simplified approach. In Proceedings of the IEEE International Microwave Symposium Digest, Seattle, WA, USA, 2–7 June 2002; Volume 3, pp. 1643–1646. [Google Scholar]
- Sekiya, H.; Sasase, I.; Mori, S. Computation of design values for Class E amplifiers without using waveform equations. IEEE Trans. Circuits Syst. I Fundam. Theory 2002, 49, 966–978. [Google Scholar] [CrossRef]
- Milosevic, D.; van der Tang, J.; van Roermund, A. Explicit design equations for class-E power amplifiers with small DC-feed inductance. In Proceedings of the 2005 European Conference on Circuit Theory and Design, Cork, Ireland, 2 September 2005; Volume 3, pp. III/101–III/104. [Google Scholar]
- Acar, M.; Annema, A.; Nauta, B. Generalized Design Equations for Class-E Power Amplifiers with Finite DC Feed Inductance. In Proceedings of the 36th European Microwave Conference, Manchester, UK, 10–15 September 2006; pp. 1308–1311. [Google Scholar] [CrossRef] [Green Version]
- Acar, M.; Annema, A.J.; Nauta, B. Analytical Design Equations for Class-E Power Amplifiers. IEEE Trans. Circuits Syst. I Reg. Papers 2007, 54, 2706–2717. [Google Scholar] [CrossRef] [Green Version]
- Du, X.; Nan, J.; Chen, W.; Shao, Z. ’New’ solutions of Class-E power amplifier with finite dc feed inductor at any duty ratio. IET Circuits Devices Syst. 2014, 8, 311–321. [Google Scholar] [CrossRef]
- Fajardo, A.; de Sousa, F.R. Integrated CMOS class-E power amplifier for self-sustaining wireless power transfer system. In Proceedings of the 2016 29th Symposium on Integrated Circuits and Systems Design (SBCCI), Belo Horizonte, Brazil, 29 August–3 September 2016; pp. 1–6. [Google Scholar] [CrossRef] [Green Version]
- Fajardo, A.; de Sousa, F.R. Simple expression for estimating the switch peak voltage on the class-E amplifier with finite DC-feed inductance. In Proceedings of the 2016 IEEE 7th Latin American Symposium on Circuits & Systems (LASCAS), Florianopolis, Brazil, 28 Feburary–2 March 2016; pp. 183–186. [Google Scholar] [CrossRef] [Green Version]
- Casallas, I.; Paez-Rueda, C.I.; Perilla, G.; Pérez, M.; Fajardo, A. Design Methodology of the Class-E Power Amplifier with Finite Feed Inductance—A Tutorial Approach. Appl. Sci. 2020, 10, 8765. [Google Scholar] [CrossRef]
- Casallas, I.; Paez-Rueda, C.I.; Perilla, G.; Pérez, M.; Fajardo, A. Design of the Class-E Power Amplifier with Finite DC Feed Inductance under Maximum-Rating Constraints. Appl. Sci. 2021, 11, 3727. [Google Scholar] [CrossRef]
- Gaudo, P.M.; Bernal, C.; Mediano, A. Output power capability of class-E amplifiers with nonlinear shunt capacitance. In Proceedings of the 2004 IEEE MTT-S International Microwave Symposium Digest (IEEE Cat. No.04CH37535), Fort Worth, TX, USA, 6–11 June 2004; Volume 2, pp. 891–894. [Google Scholar]
- Sokal, N.O. Class-E RF power amplifiers. QEX Commun. Quart 2001, 204, 9–20. [Google Scholar]
- Cantrell, W.H. Tuning analysis for the high-Q class-E power amplifier. IEEE Trans. Microw. Theory Tech. 2000, 48, 2397–2402. [Google Scholar] [CrossRef]
- Selyutina, E.V.; Mindubaev, E.A. Capacitive Tuning of Adaptive Inductive Wireless Power Transfer System With a Class-E Power Amplifier. In Proceedings of the 2020 IEEE Conference of Russian Young Researchers in Electrical and Electronic Engineering (EIConRus), Moscow, Russia, 27–30 January 2020; pp. 2540–2544. [Google Scholar]
- Selyutina, E.V.; Mindubaev, E.A. Effects Of Class E Power Amplifier Parameters On Output Power Of Inductive Wireless Power Transfer System With Capacitive Tuning. In Proceedings of the 2021 IEEE Conference of Russian Young Researchers in Electrical and Electronic Engineering (ElConRus), Moscow, Russia, 26–29 January 2021; pp. 2874–2878. [Google Scholar]
- Grebennikov, A.; Sokal, N.O.; Franco, M.J. Switchmode RF and Microwave Power Amplifiers; Academic Press: Cambridge, MA, USA, 2012; pp. 260–276. [Google Scholar]
- Sokal, N.; Mediano, A. Redefining the optimum RF Class-E switch-voltage waveform, to correct a long-used incorrect waveform. In Proceedings of the 2013 IEEE MTT-S International Microwave Symposium Digest (MTT), Seattle, WA, USA, 2–7 June 2013; pp. 1–3. [Google Scholar] [CrossRef]
- Sabour, S.; Nazarpour, D.; Golshannavaz, S.; Choupan, R.; Yazdaninejadi, A.; Hassanifar, M. A new quasi-resonant switched capacitor multilevel inverter with the self-voltage balancing capability. Int. Trans. Electr. Energy Syst. 2020, 30, e12478. [Google Scholar] [CrossRef]
- Van Wageningen, D.; Staring, T. The Qi wireless power standard. In Proceedings of the 14th International Power Electronics and Motion Control Conference EPE-PEMC 2010, Ohrid, Macedonia, 6–8 September 2010; pp. S15–S25. [Google Scholar]
- Introduction to the Power Class 0 Specification, Version 1.2.3; Wireless Power Consortium, Inc.: Piscataway, NJ, USA, 2017.
- Wireless Charging Coil Assembly, AWCCA-50N50. ABRACON. Available online: https://abracon.com/Magnetics/wireless/AWCCA-50N50.pdf (accessed on 12 May 2021).
- Fiore, R. ESR Losses in Ceramic Capacitors; American Technical Ceramics: Huntington Station, NY, USA, 1999; Available online: https://atceramics.com/userFiles/uploads/pdfs/esrlosses_appnote.pdf (accessed on 12 May 2021).
- Cadence Design Systems, I. Reference Guide PSpice, 2nd online ed.; Cadence Design Systems, Inc.: Portland, OR, USA, 2000; pp. 172–196. [Google Scholar]
- Power, J.; Lane, W. An enhanced SPICE MOSFET model suitable for analog applications. IEEE Trans. Comput. Aided Des. Integr. Circuits Syst. 1992, 11, 1418–1425. [Google Scholar] [CrossRef]
- Stueckler, F.; Bueyuektas, K.; Noebauer, G. Introduction to Infineon’s Simulation Models Power MOSFETs. Infineon Technologies Austria AG. Available online: https://www.infineon.com/dgdl/Infineon-ApplicationNote_PowerMOSFET_SimulationModels-AN-v01_00-EN.pdf?fileId=5546d46250cc1fdf0151588db5ef1b18 (accessed on 12 May 2021).
- IPI029N06N, Simulation Model. Infineon Technologies AG. Available online: https://www.infineon.com/cms/en/product/power/mosfet/12v-300v-n-channel-power-mosfet/ipi029n06n/#!simulation (accessed on 12 May 2021).


















| Parameter | ||||
|---|---|---|---|---|
| Value | 0.7332 | 0.6841 | 1.363 | −0.0001716 |
| Case Study * | Frequency [kHz] | [V] | [W] |
|---|---|---|---|
| 1 | 100 | 5.00 | 5.00 |
| 2 | 100 | 5.00 | 15.0 |
| 3 | 100 | 12.0 | 5.00 |
| 4 | 100 | 12.0 | 15.0 |
| 5 | 200 | 5.00 | 5.00 |
| 6 | 200 | 5.00 | 15.0 |
| 7 | 200 | 12.0 | 5.00 |
| 8 | 200 | 12.0 | 15.0 |
| Case Study | ||||||||
|---|---|---|---|---|---|---|---|---|
| Value [µH] | ESR [mΩ] | Value [nF] | ESR [mΩ] | Value [nF] | ESR [mΩ] | [Ω] | ||
| 1 | 8.00 | 63.0 | 159.7 | 50.0 | 105.5 | 75.0 | 6.80 | 2.218 |
| 2 | 2.70 | 21.0 | 479.2 | 17.0 | 105.5 | 75.0 | 2.30 | 6.556 |
| 3 | 45.8 | 360 | 27.70 | 287 | 105.5 | 75.0 | 39.3 | 0.3837 |
| 4 | 15.3 | 120 | 83.20 | 96.0 | 105.5 | 75.0 | 13.1 | 1.151 |
| 5 | 4.00 | 31.0 | 79.90 | 100 | 26.40 | 301 | 6.80 | 4.435 |
| 6 | 1.30 | 10.0 | 239.6 | 33.0 | 26.40 | 301 | 2.30 | 13.11 |
| 7 | 22.9 | 180 | 13.90 | 572 | 26.40 | 301 | 39.3 | 0.7674 |
| 8 | 7.60 | 60.0 | 41.60 | 191 | 26.40 | 301 | 13.1 | 2.302 |
| Case Study | Sweep Number | Component | Initial Value | Final Value | Increment Steps | Selected Value | [mA] | [mV] | [V/µs] |
|---|---|---|---|---|---|---|---|---|---|
| 1 | 1 | [nF] | 159.7 | 184.7 | 5.0 | 184.7 | −95.20 | 1722 | −0.515 |
| 2 | [µH] | 6.500 | 8.000 | 0.30 | 7.100 | 146.9 | 74.80 | 0.795 | |
| 3 | [nF] | 179.7 | 199.7 | 5.0 | 194.7 | −45.82 | 550.6 | −0.235 | |
| 4 | [µH] | 5.600 | 7.100 | 0.30 | 6.800 | 58.51 | −79.81 | 0.300 | |
| 5 | [nF] | 194.7 | 199.7 | 1.0 | 199.7 | −38.97 | 168.9 | −0.195 | |
| 6 | [µH] | 6.600 | 6.800 | 0.040 | 6.720 | −9.754 | −8.062 ** | −0.0488 | |
| 2 | 1 | [µH] | 2.600 | 2.700 | 0.020 | 2.640 | 270.2 | −291.1 | 0.564 |
| 2 | [nF] | 479.2 | 499.2 | 4.0 | 491.2 | 39.41 | −55.05 | 0.0802 | |
| 3 | [nF] | 491.2 | 495.2 | 0.50 | 493.7 | −6.986 | −4.389 | −0.0141 | |
| 3 * | 1 | [µH] | 30.80 | 45.80 | 5.0 | 35.80 | 155.5 | 9206 | 5.61 |
| 2 | [nF] | 17.70 | 47.70 | 5.0 | 37.70 | −47.00 | 6862 | −1.25 | |
| 3 | [µH] | 15.80 | 35.80 | 5.0 | 30.80 | 82.71 | 4134 | 2.19 | |
| 4 | [nF] | 27.70 | 37.70 | 2.0 | 37.70 | 82.71 | 4134 | 2.19 | |
| 5 | [nF] | 37.70 | 87.70 | 10 | 57.70 | −441.7 | 10,085 | −7.66 | |
| 6 | [µH] | 10.80 | 30.80 | 5.0 | 25.80 | −354.6 | 4719 | −6.15 | |
| 7 | [nF] | 27.70 | 57.70 | 5.0 | 52.70 | −203.1 | 2774 | −3.85 | |
| 8 | [µH] | 15.80 | 25.80 | 2.0 | 23.80 | −95.35 | 467.6 | −1.81 | |
| 9 | [nF] | 42.70 | 52.70 | 2.0 | 48.70 | 53.04 | −355.7 | 1.09 | |
| 10 | [µH] | 23.80 | 24.80 | 0.20 | 24.00 | 39.88 | −171.5 | 0.819 | |
| 11 | [nF] | 48.70 | 52.70 | 1.0 | 49.70 | 2.905 | −7.497 | 0.0584 | |
| 4 | 1 | [nF] | 83.20 | 133.2 | 10 | 103.2 | −112.1 | 6758 | −1.09 |
| 2 | [µH] | 5.300 | 15.30 | 2.0 | 11.30 | 753.7 | 959.9 | 7.30 | |
| 3 | [nF] | 103.2 | 153.2 | 10 | 123.2 | −121.7 | 1051 | −0.988 | |
| 4 | [µH] | 10.30 | 11.30 | 0.20 | 10.90 | 16.46 | −142.2 | 0.134 | |
| 5 | [µH] | 10.90 | 11.00 | 0.020 | 10.96 | −5.786 | 38.91 | −0.0470 | |
| 6 | [nF] | 122.2 | 123.2 | 0.20 | 123.0 | 3.881 | 5.310 | 0.0316 | |
| 5 | 1 | [µH] | 3.800 | 4.000 | 0.040 | 3.840 | 124.5 | −351.9 | 1.56 |
| 2 | [nF] | 79.90 | 84.90 | 1.0 | 82.90 | 13.47 | −29.27 | 0.162 | |
| 3 | [nF] | 82.90 | 83.90 | 0.20 | 83.10 | 7.204 | −6.784 | 0.0867 | |
| 6 | 1 | [µH] | 1.300 | 1.800 | 0.10 | 1.500 | -782.1 | 949.4 | −3.26 |
| 2 | [nF] | 209.6 | 239.6 | 6.0 | 209.6 | 177.7 | −494.0 | 0.848 | |
| 3 | [µH] | 1.500 | 1.600 | 0.020 | 1.540 | 44.95 | −102.7 | 0.214 | |
| 4 | [µH] | 1.540 | 1.560 | 0.0050 | 1.550 | 14.71 | −7.804 | 0.0702 | |
| 7 | 1 | [nF] | 13.90 | 23.90 | 2.0 | 19.90 | −221.2 | 12,564 | −11.1 |
| 2 | [µH] | 12.90 | 22.90 | 2.0 | 12.90 | 141.0 | −17.61 | 7.08 | |
| 3 | [nF] | 19.90 | 29.90 | 2.0 | 21.90 | 37.57 | −538.0 | 1.72 | |
| 4 | [µH] | 12.90 | 14.90 | 0.40 | 14.50 | −85.95 | 1240 | −3.92 | |
| 5 | [nF] | 19.90 | 21.90 | 0.40 | 21.10 | −27.51 | 602.0 | −1.30 | |
| 6 | [µH] | 13.50 | 14.50 | 0.20 | 14.30 | −11.49 | 216.1 | −0.544 | |
| 7 | [µH] | 14.10 | 14.30 | 0.040 | 14.22 | −5.142 | 63.66 | −0.244 | |
| 8 | [nF] | 21.00 | 21.10 | 0.010 | 21.01 | 1.454 | 2.104 | 0.0692 | |
| 8 | 1 | [nF] | 41.60 | 51.60 | 2.0 | 47.60 | −225.4 | 4136 | −4.74 |
| 2 | [µH] | 6.600 | 7.600 | 0.20 | 6.600 | 97.32 | −548.5 | 2.04 | |
| 3 | [nF] | 47.60 | 49.60 | 0.50 | 49.10 | −30.38 | 61.68 | −0.619 | |
| 4 | [µH] | 6.600 | 6.700 | 0.20 | 6.640 | −47.31 | 265.8 | −0.964 | |
| 5 | [nF] | 47.10 | 49.10 | 0.40 | 48.70 | −14.08 | 84.83 | −0.289 | |
| 6 | [µH] | 6.600 | 6.640 | 0.010 | 6.630 | −9.978 | 35.50 | −0.205 | |
| 7 | [nF] | 48.60 | 48.70 | 0.020 | 48.62 | −3.196 | −2.516 | −0.0657 |
| Case Study | Sweep Number | Component | Initial Value | Final Value | Increment Steps | Selected Value | [mA] | [mV] | [V/µs] |
|---|---|---|---|---|---|---|---|---|---|
| 1 | 1 | [nF] | 105.5 | 125.5 | 5.0 | 110.5 | 438.8 | −126.9 | 2.75 |
| 2 | [nF] | 159.7 | 179.7 | 5.0 | 179.7 | 32.47 | 545.1 | 0.181 | |
| 3 | [nF] | 110.5 | 130.5 | 5.0 | 115.5 | 65.63 | −352.9 | 0.365 | |
| 4 | [nF] | 179.7 | 189.7 | 2.0 | 181.7 | 26.55 | −250.8 | 0.146 | |
| 5 | [nF] | 113.0 | 115.5 | 0.30 | 114.2 | 20.21 | −22.80 | 0.111 | |
| 6 | [nF] | 181.7 | 182.7 | 0.20 | 182.1 | 12.13 | −1.981 ** | 0.0666 | |
| 2 | 1 | [nF] | 105.5 | 110.5 | 1.0 | 106.5 | 237.2 | −531.2 | 0.495 |
| 2 | [nF] | 479.2 | 499.2 | 5.0 | 489.2 | 40.69 | −332.1 | 0.0832 | |
| 3 | [nF] | 105.5 | 106.5 | 0.20 | 105.9 | −13.76 | 17.21 | −0.0281 | |
| 4 | [nF] | 479.2 | 489.2 | 2.0 | 487.2 | 23.02 | -23.52 | 0.0472 | |
| 5 | [nF] | 487.2 | 489.2 | 0.40 | 488.4 | 1.423 | 1.001 | 0.00291 | |
| 3 * | 1 | [nF] | 105.5 | 155.5 | 10 | 155.5 | 67.16 | 9168 | 2.42 |
| 2 | [nF] | 155.5 | 255.5 | 20 | 255.5 | 98.58 | 7620 | 3.56 | |
| 3 | [nF] | 7.700 | 27.70 | 5.0 | 27.70 | 98.58 | 7620 | 3.56 | |
| 4 | [nF] | 27.70 | 47.70 | 5.0 | 32.70 | −13.34 | 7005 | −0.408 | |
| 5 | [nF] | 255.5 | 305.5 | 10 | 305.5 | −9.156 | 6542 | −0.280 | |
| 6 | [nF] | 305.5 | 405.5 | 20 | 405.5 | −4.277 | 5955 | −0.131 | |
| 7 | [nF] | 12.70 | 32.70 | 5.0 | 27.70 | 115.9 | 6670 | 4.18 | |
| 8 | [nF] | 205.5 | 1005.5 | 100 | 1005.5 | 132.6 | 5666 | 4.79 | |
| 9 | [nF] | 7.700 | 47.70 | 10 | 37.70 | −134.4 | 6137 | −3.57 | |
| 10 | [nF] | 1000 | 10,000 | 2000 | 9000 | −135.0 | 5532 | −3.58 | |
| 11 | [nF] | 17.70 | 37.70 | 5.0 | 32.70 | 7.946 | 4231 | 0.243 | |
| 12 | [nF] | 9000 | 20,000 | 2000 | 19,000 | 8.201 | 4188 | 0.251 | |
| 13 | [nF] | 2.700 | 62.70 | 10 | 32.70 | 8.201 | 4188 | 0.251 | |
| 14 | [nF] | 5.000 | 105.0 | 20 | 5.000 | −546.7 | 11,391 | −16.7 | |
| 15 | [nF] | 2.700 | 32.70 | 6.0 | 20.70 | 0.07338 | −680.2 | 0.00354 | |
| 16 | [nF] | 5.000 | 20.00 | 3.0 | 8.000 | −0.2824 | −672.1 | −0.0136 | |
| 17 | [nF] | 8.000 | 11.00 | 0.50 | 9.500 | −250.9 | −222.0 | −12.1 | |
| 18 | [nF] | 9.500 | 10.00 | 0.10 | 9.700 | −259.1 | 74.46 | −12.5 | |
| 19 | [nF] | 9.600 | 9.700 | 0.010 | 9.650 | −259.9 | 4.019 | −12.6 | |
| 4 | 1 | [nF] | 105.5 | 155.5 | 10 | 155.5 | 666.7 | 1279 | 8.01 |
| 2 | [nF] | 83.20 | 133.2 | 10 | 103.2 | 39.75 | −564.4 | 0.385 | |
| 3 | [nF] | 145.5 | 155.5 | 2.0 | 145.5 | −23.59 | 110.2 | -0.229 | |
| 4 | [nF] | 101.2 | 103.2 | 0.40 | 102.4 | 11.59 | −47.92 | 0.113 | |
| 5 | [nF] | 102.4 | 102.8 | 0.10 | 102.6 | 2.537 | −6.104 | 0.0247 | |
| 5 | 1 | [nF] | 26.40 | 27.40 | 0.20 | 26.60 | 59.78 | −76.21 | 0.748 |
| 2 | [nF] | 79.90 | 80.90 | 0.20 | 80.90 | 24.56 | 34.97 | 0.304 | |
| 3 | [nF] | 26.60 | 27.60 | 0.20 | 26.80 | 38.76 | −272.5 | 0.479 | |
| 4 | [nF] | 80.90 | 83.90 | 0.60 | 81.50 | 17.67 | −205.4 | 0.217 | |
| 5 | [nF] | 26.30 | 26.80 | 0.10 | 26.70 | 11.50 | −51.23 | 0.141 | |
| 6 | [nF] | 81.50 | 82.50 | 0.20 | 81.90 | −3.041 | −3.611 | −0.0371 | |
| 6 | 1 | [nF] | 24.40 | 26.40 | 0.40 | 25.60 | −802.3 | 1436 | −3.35 |
| 2 | [nF] | 199.6 | 239.6 | 10 | 219.6 | −167.4 | 408.4 | −0.762 | |
| 3 | [nF] | 25.60 | 26.10 | 0.10 | 25.80 | 71.93 | −109.5 | 0.328 | |
| 4 | [nF] | 219.6 | 224.6 | 1.0 | 220.6 | 34.41 | −63.19 | 0.156 | |
| 5 | [nF] | 25.30 | 25.80 | 0.10 | 25.80 | 34.58 | −63.42 | 0.157 | |
| 6 | [nF] | 25.75 | 25.80 | 0.010 | 25.78 | 10.06 | −6.314 | 0.0456 | |
| 7 | 1 | [nF] | 26.40 | 56.40 | 6.0 | 56.40 | 99.47 | −15.81 | 7.16 |
| 2 | [nF] | 13.90 | 18.90 | 1.0 | 15.90 | −24.45 | 1069 | −1.54 | |
| 3 | [nF] | 56.40 | 106.4 | 10 | 66.40 | −27.28 | 175.2 | −1.72 | |
| 4 | [nF] | 14.90 | 15.90 | 0.20 | 15.50 | −2.17 | −174.4 | −0.140 | |
| 5 | [nF] | 61.40 | 66.40 | 1.0 | 64.40 | −2.559 | −14.40 | −0.165 | |
| 6 | [nF] | 63.90 | 64.40 | 0.10 | 64.20 | −1.334 | 3.690 | −0.0861 | |
| 8 | 1 | [nF] | 26.40 | 28.40 | 0.40 | 27.60 | 290.2 | −217.0 | 6.98 |
| 2 | [nF] | 41.60 | 46.60 | 1.0 | 44.60 | 46.91 | 547.7 | 1.05 | |
| 3 | [nF] | 27.60 | 28.60 | 0.20 | 28.00 | 58.94 | −144.6 | 1.32 | |
| 4 | [nF] | 44.60 | 46.60 | 0.40 | 45.00 | 25.90 | 43.93 | 0.575 | |
| 5 | [nF] | 28.00 | 28.50 | 0.10 | 28.10 | 28.80 | −132.1 | 0.640 | |
| 6 | [nF] | 45.00 | 46.00 | 0.20 | 45.40 | −2.779 | 51.46 | −0.0612 | |
| 7 | [nF] | 28.10 | 28.20 | 0.020 | 28.14 | −2.586 | −11.54 | −0.0569 | |
| 8 | [nF] | 45.40 | 45.50 | 0.020 | 45.42 | −2.967 | −1.511 | −0.0653 |
| Case Study | Sweep Number | Component | Initial Value | Final Value | Increment Steps | Selected Value | [mA] | [mV] | [V/µs] |
|---|---|---|---|---|---|---|---|---|---|
| 1 | 1 | [nF] | 159.7 | 184.7 | 5.0 | 179.7 | −15.68 | 1474 | −0.0873 |
| 2 | [µs] | 9.000 | 10.00 | 0.20 | 9.600 | −162.8 | 696.6 | −0.906 | |
| 3 | [nF] | 160.7 | 184.7 | 4.0 | 168.7 | 35.62 | 67.55 | 0.211 | |
| 4 | [µs] | 9.500 | 9.600 | 0.020 | 9.560 | 16.51 | −28.56 | 0.098 ** | |
| 5 | [nF] | 168.7 | 169.7 | 0.20 | 169.3 | 4.694 | 5.663 | 0.0277 | |
| 2 | 1 | [nF] | 479.2 | 499.2 | 5.0 | 483.2 | 56.96 | 126.0 | 0.118 |
| 2 | [µs] | 9.950 | 10.00 | 0.010 | 9.970 | 74.31 | −168.0 | 0.154 | |
| 3 | [nF] | 483.2 | 493.2 | 2.0 | 487.2 | −0.07901 | −85.42 | −0.000162 | |
| 4 | [µs] | 9.970 | 9.980 | 0.0020 | 9.978 | −3.841 | −6.140 | −0.00788 | |
| 3 * | 1 | [nF] | 18.70 | 36.70 | 3.0 | 30.70 | −20.15 | 10,597 | −0.656 |
| 2 | [µs] | 8.000 | 10.00 | 0.40 | 8.400 | −151.4 | 12,636 | −4.93 | |
| 3 | [nF] | 20.70 | 30.70 | 2.0 | 24.70 | −13.05 | 10,658 | −0.528 | |
| 4 | [µs] | 7.400 | 8.400 | 0.20 | 7.400 | −120.9 | 11,843 | −4.90 | |
| 5 | [nF] | 14.70 | 24.70 | 2.0 | 20.70 | −8.304 | 10,164 | −0.401 | |
| 6 | [µs] | 6.400 | 7.400 | 0.20 | 6.400 | −145.2 | 11,806 | −7.02 | |
| 7 | [nF] | 10.70 | 20.70 | 2.0 | 14.70 | 64.95 | 8843 | 4.42 | |
| 8 | [µs] | 5.400 | 6.400 | 0.20 | 5.600 | −70.66 | 8835 | −4.81 | |
| 9 | [nF] | 4.700 | 14.70 | 2.0 | 6.700 | 179.7 | 19,664 | 26.8 | |
| 10 | [µs] | 3.600 | 5.600 | 0.40 | 0.4000 | −10.19 | 2902 | −1.52 | |
| 11 | [nF] | 1.700 | 6.700 | 1.0 | 3.700 | 151.1 | 6968 | 40.8 | |
| 12 | [µs] | 3.000 | 4.000 | 0.20 | 3.400 | 22.78 | −305.4 | 6.16 | |
| 13 | [nF] | 3.700 | 4.200 | 0.10 | 4.200 | 2.630 | 151.3 | 0.626 | |
| 14 | [µs] | 3.300 | 3.400 | 0.020 | 3.340 | −8.324 | 345.7 | −1.98 | |
| 15 | [nF] | 4.000 | 4.200 | 0.040 | 4.000 | −1.712 | −59.64 | −0.428 | |
| 16 | [µs] | 3.300 | 3.340 | 0.010 | 3.330 | −1.103 | −17.28 | −0.276 | |
| 17 | [nF] | 4.000 | 4.100 | 0.020 | 4.020 | −0.9589 | 24.56 | −0.239 | |
| 18 | [µs] | 3.330 | 3.340 | 0.0020 | 3.336 | 0.01198 | 5.686 | 0.00298 | |
| 4 * | 1 | [nF] | 83.20 | 133.2 | 10 | 103.2 | −112.4 | 6758 | −1.09 |
| 2 | [µs] | 7.500 | 10.00 | 0.50 | 9.000 | −629.9 | 7077 | −6.10 | |
| 3 | [nF] | 73.20 | 103.2 | 10 | 83.20 | 120.7 | 2189 | 1.45 | |
| 4 | [µs] | 7.000 | 9.000 | 0.50 | 8.500 | −257.4 | 1800 | −3.09 | |
| 5 | [nF] | 63.20 | 83.20 | 5.0 | 78.20 | −20.17 | 396.8 | −0.258 | |
| 6 | [µs] | 7.500 | 9.000 | 0.30 | 8.400 | −104.0 | 341.5 | −1.33 | |
| 7 | [nF] | 75.20 | 78.20 | 0.50 | 75.70 | 21.47 | −339.2 | 0.284 | |
| 8 | [µs] | 8.400 | 8.60 | 0.040 | 8.440 | 55.60 | −297.8 | 0.734 | |
| 9 | [nF] | 75.70 | 77.70 | 0.50 | 76.70 | 2.721 | −45.05 | 0.0355 | |
| 10 | [nF] | 76.70 | 76.90 | 0.040 | 76.86 | −3.805 | −0.3965 | −0.0495 | |
| 5 | 1 | [nF] | 79.90 | 82.90 | 0.50 | 81.90 | −24.83 | 455.9 | −0.303 |
| 2 | [µs] | 4.900 | 5.000 | 0.020 | 4.980 | −28.01 | 223.8 | −0.342 | |
| 3 | [nF] | 79.90 | 81.90 | 0.40 | 81.10 | −1.083 | 131.4 | −0.0133 | |
| 4 | [µs] | 4.960 | 4.980 | 0.0040 | 4.968 | −5.930 | −13.34 | −0.0731 | |
| 5 | [µs] | 4.968 | 4.972 | 0.0010 | 4.969 | −3.785 | 0.1491 | −0.0467 | |
| 6 | 1 | [nF] | 239.6 | 259.6 | 5.0 | 244.6 | 383.9 | −604.5 | 1.57 |
| 2 | [µs] | 5.000 | 5.100 | 0.020 | 5.080 | −786.9 | 1236 | −3.22 | |
| 3 | [nF] | 214.6 | 244.6 | 6.0 | 220.6 | 65.00 | 26.66 | 0.295 | |
| 4 | [µs] | 5.060 | 5.080 | 0.0020 | 5.070 | 0.06500 | −140.8 | 0.000295 | |
| 5 | [nF] | 220.6 | 225.6 | 1.0 | 223.6 | −13.26 | −1.022 | −0.0593 | |
| 7 * | 1 | [nF] | 13.90 | 15.90 | 0.50 | 15.40 | −16.18 | 8394 | −1.05 |
| 2 | [µs] | 4.000 | 5.000 | 0.20 | 5.000 | −16.18 | 8394 | −1.05 | |
| 3 | [µs] | 5.000 | 6.000 | 0.20 | 5.000 | −16.18 | 8394 | −1.05 | |
| 4 | [nF] | 3.900 | 13.90 | 2.0 | 7.900 | 268.1 | 21,634 | 33.9 | |
| 5 | [µs] | 4.000 | 5.000 | 0.20 | 4.000 | 174.6 | 2896 | 22.1 | |
| 6 | [µs] | 3.400 | 4.000 | 0.20 | 3.400 | −65.74 | 1319 | −8.32 | |
| 7 | [nF] | 6.900 | 7.900 | 0.20 | 7.100 | −5.317 | −192.8 | −0.749 | |
| 8 | [µs] | 3.400 | 3.450 | 0.010 | 3.450 | 11.45 | −258.0 | 1.61 | |
| 9 | [nF] | 7.100 | 7.310 | 0.050 | 7.260 | −5.156 | −40.65 | −0.710 | |
| 10 | [nF] | 7.260 | 7.310 | 0.010 | 7.280 | 0.2670 | 7.048 | 0.0367 | |
| 8 | 1 | [nF] | 41.60 | 51.60 | 2.0 | 43.60 | 73.49 | 2253 | 1.69 |
| 2 | [µs] | 4.000 | 5.000 | 0.20 | 4.800 | −104.6 | 231.3 | −2.40 | |
| 3 | [nF] | 43.00 | 43.60 | 0.10 | 43.50 | −96.34 | 178.4 | −2.21 | |
| 4 | [µs] | 4.600 | 4.800 | 0.040 | 4.780 | −121.9 | −20.20 | −2.80 | |
| 5 | [nF] | 43.50 | 43.70 | 0.050 | 43.55 | −124.1 | 1.804 | −2.85 | |
| 6 | [µs] | 4.780 | 4.880 | 0.020 | 4.820 | −78.99 | 406.6 | −1.81 | |
| 7 | [nF] | 42.55 | 43.55 | 0.20 | 42.75 | −13.84 | 5.197 | −0.324 | |
| 8 | [nF] | 42.55 | 42.75 | 0.040 | 42.63 | 1.167 | −60.62 | 0.0274 | |
| 9 | [µs] | 4.820 | 4.830 | 0.0050 | 4.825 | 1.203 | 2.651 | 0.0282 |
| Case Study | Tuning Method | [uH] | [nF] | [nF] | [µs] |
|---|---|---|---|---|---|
| 1 | TM1 | 6.720 | 199.7 | 105.5 | 10.00 |
| TM2 | 8.000 | 182.1 | 114.2 | 10.00 | |
| TM3 | 8.000 | 169.3 | 105.5 | 9.560 | |
| 2 | TM1 | 2.640 | 493.7 | 105.5 | 10.00 |
| TM2 | 2.700 | 488.4 | 105.9 | 10.00 | |
| TM3 | 2.700 | 487.2 | 105.5 | 9.978 | |
| 3 | TM1 | 24.00 | 49.70 | 105.5 | 10.00 |
| TM2 | Tuning does not converge | ||||
| TM3 | 45.80 | 4.020 | 105.5 | 3.336 | |
| 4 | TM1 | 10.96 | 123.0 | 105.5 | 10.00 |
| TM2 | 15.30 | 102.6 | 145.5 | 10.00 | |
| TM3 | 15.30 | 76.86 | 105.5 | 8.440 | |
| 5 | TM1 | 3.840 | 83.10 | 26.40 | 5.000 |
| TM2 | 4.000 | 81.90 | 26.70 | 5.000 | |
| TM3 | 4.000 | 81.10 | 26.40 | 4.969 | |
| 6 | TM1 | 1.550 | 209.6 | 26.40 | 5.000 |
| TM2 | 1.300 | 220.6 | 25.78 | 5.000 | |
| TM3 | 1.300 | 223.6 | 26.40 | 5.070 | |
| 7 | TM1 | 14.22 | 21.01 | 26.40 | 5.000 |
| TM2 | 22.90 | 15.50 | 64.20 | 5.000 | |
| TM3 | 22.90 | 7.280 | 26.40 | 3.450 | |
| 8 | TM1 | 6.630 | 48.62 | 26.40 | 5.000 |
| TM2 | 7.600 | 45.42 | 28.14 | 5.000 | |
| TM3 | 7.600 | 42.63 | 26.40 | 4.825 | |
| Case Study | Simulation | Iter. * | [mV] | [V/µs] | THD [%] | [mW/W] | PAE [%] | [%] | [W] | [W] |
|---|---|---|---|---|---|---|---|---|---|---|
| 1 | Ideal | 0 | 434.1 | 3.01 | 17.28 | 0.9347 | 99.93 | 99.93 | 5.448 | 5.444 |
| BT ** | 0 | 694.3 | 2.27 | 16.97 | 65.42 | 93.38 | 93.62 | 5.266 | 4.930 | |
| TM1 | 6 | −8.062 | −0.0488 | 16.05 | 68.41 | 92.41 | 92.64 | 5.200 | 4.817 | |
| TM2 | 6 | −1.981 | 0.0666 | 15.95 | 69.91 | 93.26 | 93.50 | 5.022 | 4.696 | |
| TM3 | 5 | 5.663 | 0.0277 | 15.29 | 70.37 | 93.56 | 93.82 | 4.936 | 4.631 | |
| 2 | Ideal | 0 | 101.4 | 0.641 | 5.569 | 9.211 | 99.87 | 99.86 | 15.00 | 14.98 |
| BT | 0 | 46.65 | 0.273 | 5.857 | 85.48 | 89.50 | 89.59 | 14.23 | 12.75 | |
| TM1 | 3 | −4.389 | −0.0141 | 5.813 | 84.47 | 89.38 | 89.47 | 14.20 | 12.70 | |
| TM2 | 5 | 1.001 | 0.00291 | 5.808 | 84.91 | 89.48 | 89.57 | 14.17 | 12.69 | |
| TM3 | 4 | −6.140 | −0.00788 | 5.794 | 84.88 | 89.25 | 89.34 | 14.20 | 12.69 | |
| 3 | Ideal | 0 | 11.35 | 2.31 | 46.60 | 0.03928 | 96.66 | 96.66 | 5.351 | 5.172 |
| BT | 0 | 10.84 | 1.03 | 43.26 | 6.320 | 91.27 | 92.67 | 5.256 | 4.871 | |
| TM1 | 11 | −7.497 | 0.0584 | 51.75 | 33.46 | 89.59 | 90.60 | 6.925 | 6.274 | |
| TM2 | Tuning does not converge | |||||||||
| TM3 | 20 | 5.686 | 0.00298 | 35.57 | 24.18 | 90.92 | 98.17 | 2.897 | 2.844 | |
| 4 | Ideal | 0 | 5.180 | 11.0 | 31.15 | 0.1288 | 99.32 | 99.32 | 17.15 | 17.03 |
| BT | 0 | 5.261 | 8.54 | 30.00 | 17.81 | 93.70 | 94.14 | 16.61 | 15.64 | |
| TM1 | 6 | 5.310 | 0.0316 | 28.24 | 52.38 | 92.11 | 92.52 | 16.88 | 15.62 | |
| TM2 | 5 | −6.104 | 0.0247 | 27.71 | 52.63 | 93.92 | 94.38 | 15.06 | 14.21 | |
| TM3 | 10 | −0.3965 | -0.0495 | 24.52 | 53.23 | 94.51 | 95.10 | 14.04 | 13.35 | |
| 5 | Ideal | 0 | −29.68 | 2.91 | 8.495 | 18.96 | 99.95 | 99.95 | 5.215 | 5.213 |
| BT | 0 | 230.8 | 0.543 | 8.390 | 71.78 | 90.85 | 91.34 | 4.901 | 4.477 | |
| TM1 | 3 | −6.784 | 0.0867 | 8.431 | 70.31 | 90.64 | 91.12 | 4.941 | 4.503 | |
| TM2 | 6 | −3.611 | −0.0371 | 8.391 | 70.65 | 90.76 | 91.25 | 4.906 | 4.477 | |
| TM3 | 5 | 0.1491 | −0.0467 | 8.338 | 70.73 | 90.64 | 91.14 | 4.906 | 4.471 | |
| 6 | Ideal | 0 | −557.3 | 1.36 | 2.894 | 1.924 | 99.81 | 99.81 | 15.39 | 15.36 |
| BT | 0 | −604.2 | −0.679 | 3.335 | 70.00 | 81.68 | 81.86 | 13.70 | 11.21 | |
| TM1 | 4 | −7.804 | 0.0702 | 3.147 | 78.99 | 82.80 | 82.99 | 12.94 | 10.74 | |
| TM2 | 6 | −6.314 | 0.0456 | 3.247 | 74.96 | 82.33 | 82.52 | 12.51 | 10.32 | |
| TM3 | 5 | −1.022 | -0.0593 | 3.323 | 74.15 | 82.13 | 82.32 | 12.29 | 10.11 | |
| 7 | Ideal | 0 | 8.947 | 19.1 | 39.63 | 0.08600 | 98.03 | 98.03 | 5.689 | 5.577 |
| BT | 0 | 7.762 | 5.02 | 33.42 | 12.63 | 91.31 | 94.07 | 5.256 | 4.944 | |
| TM1 | 8 | 2.104 | 0.0692 | 38.18 | 36.13 | 90.29 | 92.56 | 6.189 | 5.728 | |
| TM2 | 6 | 3.690 | −0.0861 | 37.90 | 33.84 | 92.15 | 94.93 | 5.030 | 4.775 | |
| TM3 | 10 | 7.048 | 0.0367 | 30.92 | 32.72 | 91.77 | 96.49 | 4.296 | 4.146 | |
| 8 | Ideal | 0 | 503.0 | 14.8 | 16.89 | 1.915 | 99.96 | 99.97 | 16.46 | 16.45 |
| BT | 0 | 1.470 | 5.81 | 15.83 | 59.95 | 92.86 | 93.77 | 15.50 | 14.54 | |
| TM1 | 7 | −2.516 | −0.0657 | 15.58 | 57.10 | 92.11 | 93.01 | 15.62 | 14.53 | |
| TM2 | 8 | −1.511 | −0.0653 | 15.46 | 57.63 | 92.60 | 93.51 | 15.19 | 14.21 | |
| TM3 | 9 | 2.651 | 0.0282 | 14.96 | 57.90 | 92.59 | 93.55 | 15.07 | 14.10 | |
| Case Study | Tuning Method | [%] | Sign | [%] | Sign | [%] | Sign | [%] | Sign | [%] | Sign |
|---|---|---|---|---|---|---|---|---|---|---|---|
| 1 | TM1 | 4.572 | 1 | 5.420 | 1 | −2.282 | −1 | −1.044 | −1 | −1.046 | −1 |
| TM2 | 6.872 | 1 | 6.004 | 1 | −4.747 | −1 | −0.1207 | −1 | −0.1306 | −1 | |
| TM3 | 7.564 | 1 | 9.910 | 1 | −6.069 | −1 | 0.2147 | 1 | 0.1885 | 1 | |
| 2 | TM1 | −1.185 | −1 | 0.7478 | 1 | −0.3374 | −1 | −0.1351 | −1 | −0.1363 | −1 |
| TM2 | −0.669 | −1 | 0.8366 | 1 | −0.4158 | −1 | −0.02679 | −1 | −0.02681 | −1 | |
| TM3 | −0.704 | −1 | 1.079 | 1 | −0.4551 | −1 | −0.2813 | −1 | −0.2816 | −1 | |
| 3 | TM1 | 429.4 | 1 | −19.63 | −1 | 28.82 | 1 | −2.238 | −1 | −1.842 | −1 |
| TM2 | 282.7 | 1 | 17.77 | 1 | −41.60 | −1 | 5.936 | 1 | −0.3769 | −1 | |
| 4 | TM1 | 194.1 | 1 | 5.877 | 1 | −0.1407 | −1 | −1.712 | −1 | −1.698 | −1 |
| TM2 | 195.5 | 1 | 7.647 | 1 | −9.106 | −1 | 0.2603 | 1 | 0.2305 | 1 | |
| TM3 | 198.9 | 1 | 18.28 | 1 | −14.61 | −1 | 1.028 | 1 | 0.8687 | 1 | |
| 5 | TM1 | −2.035 | −1 | −0.4863 | −1 | 0.5853 | 1 | −0.2398 | −1 | −0.2356 | −1 |
| TM2 | −1.562 | −1 | −0.01192 | −1 | 0.002234 | 1 | −0.1029 | −1 | −0.1024 | −1 | |
| TM3 | −1.457 | −1 | 0.6162 | 1 | −0.1273 | −1 | −0.2222 | −1 | −0.2256 | −1 | |
| 6 | TM1 | 12.84 | 1 | 5.629 | 1 | −4.271 | −1 | 1.379 | 1 | 1.367 | 1 |
| TM2 | 7.087 | 1 | 2.633 | 1 | −7.954 | −1 | 0.8112 | 1 | 0.7896 | 1 | |
| TM3 | 5.930 | 1 | 0.3479 | 1 | −9.818 | −1 | 0.5705 | 1 | 0.5472 | 1 | |
| 7 | TM1 | 186.1 | 1 | −14.25 | −1 | 15.86 | 1 | −1.611 | −1 | −1.117 | −1 |
| TM2 | 168.0 | 1 | −13.40 | −1 | −3.418 | −1 | 0.9153 | 1 | 0.9122 | 1 | |
| TM3 | 159.1 | 1 | 7.466 | 1 | −16.15 | −1 | 2.574 | 1 | 0.5038 | 1 | |
| 8 | TM1 | −4.742 | −1 | 1.579 | 1 | −0.04128 | −1 | −0.8148 | −1 | −0.8066 | -1 |
| TM2 | −3.866 | −1 | 2.356 | 1 | −2.263 | −1 | −0.2719 | −1 | −0.2875 | −1 | |
| TM3 | −3.415 | −1 | 5.483 | 1 | −3.034 | −1 | −0.2389 | −1 | −0.2972 | −1 |
| Tuning Method | Average Iterations | Unsuccessful Tuning [%] | MAPTE | Std Dev. MAPTE | TE Factor | Std Dev. TE Factor |
|---|---|---|---|---|---|---|
| TM1 | 6.00 | 0.00 | 23.96 | 78.69 | −0.2500 | 0.9806 |
| TM2 | 6.00 | 12.5 | 12.84 | 43.21 | −0.08571 | 1.011 |
| TM3 | 8.50 | 0.00 | 20.67 | 59.53 | 0.1000 | 1.008 |
| Mean | 6.83 | 4.17 | 19.16 | 60.48 | −0.07857 | 1.000 |
| Case Study | PA Specifications | MAPTE | Std. Dev. MAPTE | TE Factor | Std. Dev. TE Factor | TE | |||
|---|---|---|---|---|---|---|---|---|---|
| Freq. [kHz] | VDD [V] | Pout [W] | Best FoM | Worst FoM | |||||
| 3 | 100 | 12 | 5.0 | 83.03 | 155.9 | 0.0000 | 1.054 | ||
| 4 | 100 | 12 | 15 | 43.33 | 81.30 | 0.3333 | 0.976 | ||
| 7 | 200 | 12 | 5.0 | 39.42 | 72.22 | 0.2000 | 1.014 | THD | |
| 6 | 200 | 5.0 | 15 | 4.132 | 5.677 | 0.6000 | 0.8281 | ||
| 1 | 100 | 5.0 | 5.0 | 3.746 | 4.729 | 0.0667 | 1.033 | THD | |
| 8 | 200 | 12 | 15 | 1.966 | 2.613 | −0.6000 | 0.8281 | THD | |
| 2 | 100 | 5.0 | 15 | 0.4878 | 0.6092 | −0.6000 | 0.8281 | THD | |
| 5 | 200 | 5.0 | 5.0 | 0.5341 | 0.7474 | −0.6000 | 0.8281 | ||
| FoM | MAPTE | Std Dev. MAPTE | TE Factor | Std Dev. TE Factor |
|---|---|---|---|---|
| 81.66 | 120.8 | 0.217 | 0.998 | |
| THD | 6.411 | 8.772 | 0.565 | 0.843 |
| PAE | 0.6095 | 0.8003 | −0.304 | 0.974 |
| 0.9890 | 1.630 | −0.217 | 0.998 | |
| 7.483 | 12.34 | −0.652 | 0.775 |
| Tuning Method | TE Factor THD | TE Factor | TE Factor PAE | TE Factor | TE Factor |
|---|---|---|---|---|---|
| TM1 | 0.25 | 0.25 | −0.75 | −0.75 | −0.25 |
| TM2 | 0.43 | 0.14 | −0.14 | −0.14 | −0.71 |
| TM3 | 1.0 | 0.25 | 0.00 | 0.25 | −1.0 |
| Mean | 0.56 | 0.21 | −0.30 | −0.21 | −0.65 |
Publisher’s Note: MDPI stays neutral with regard to jurisdictional claims in published maps and institutional affiliations. |
© 2021 by the authors. Licensee MDPI, Basel, Switzerland. This article is an open access article distributed under the terms and conditions of the Creative Commons Attribution (CC BY) license (https://creativecommons.org/licenses/by/4.0/).
Share and Cite
Casallas, I.; Urbina, R.; Paez-Rueda, C.-I.; Perilla, G.; Pérez, M.; Fajardo, A. Analysis of the Soft-Switching Tuning Effect on the Figures of Merit Involved in the Design of a Class-E Amplifier with Finite DC-Feed Inductance. Electronics 2021, 10, 1705. https://doi.org/10.3390/electronics10141705
Casallas I, Urbina R, Paez-Rueda C-I, Perilla G, Pérez M, Fajardo A. Analysis of the Soft-Switching Tuning Effect on the Figures of Merit Involved in the Design of a Class-E Amplifier with Finite DC-Feed Inductance. Electronics. 2021; 10(14):1705. https://doi.org/10.3390/electronics10141705
Chicago/Turabian StyleCasallas, Ingrid, Robert Urbina, Carlos-Ivan Paez-Rueda, Gabriel Perilla, Manuel Pérez, and Arturo Fajardo. 2021. "Analysis of the Soft-Switching Tuning Effect on the Figures of Merit Involved in the Design of a Class-E Amplifier with Finite DC-Feed Inductance" Electronics 10, no. 14: 1705. https://doi.org/10.3390/electronics10141705
APA StyleCasallas, I., Urbina, R., Paez-Rueda, C.-I., Perilla, G., Pérez, M., & Fajardo, A. (2021). Analysis of the Soft-Switching Tuning Effect on the Figures of Merit Involved in the Design of a Class-E Amplifier with Finite DC-Feed Inductance. Electronics, 10(14), 1705. https://doi.org/10.3390/electronics10141705

