A Novel Antenna for UHF RFID Near-Field Applications
Abstract
:1. Introduction
2. Antenna Design
2.1. The Theory of Antenna Design
2.2. The Measurement of Near-Field RFID Reader Antennas
2.2.1. The Reading Rate of Tags
2.2.2. The Reading/Writing Uniform Area
3. Results
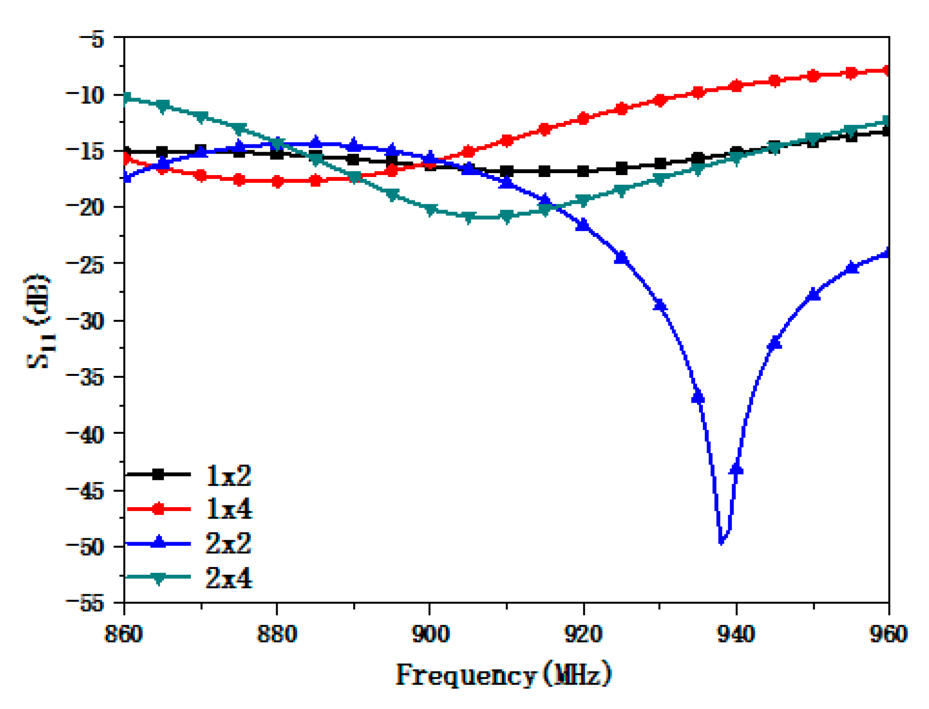
3.1. Reflection Coefficient
3.2. Far-Field Gain and Reading Efficiency
3.3. Electric Field Distribution
3.4. Parametric Analysis
3.4.1. Number of Spiral Loops
3.4.2. Loop Spacing
3.4.3. Antenna Unit
3.4.4. Array
4. Discussion
4.1. The Electric Field Distribution along X-Axis (Ex) and Y-Axis (Ey)
4.2. Reading Area
5. Conclusions
Author Contributions
Funding
Conflicts of Interest
References
- Dobkin, M.; Weigand, S.M.; Iyer, N. Segmented magnetic antennas for near- field UHF RFID. Microw. J. 2007, 50, 96–102. [Google Scholar]
- Qing, X.; Chen, Z.; Goh, C. UHF near-field RFID reader antenna with capacitive couplers. Electron. Lett. 2010, 46, 1591. [Google Scholar] [CrossRef]
- Ong, Y.S.; Qing, X.; Goh, C.K.; Chen, Z.N. A Segmented loop antenna for UHF near-field RFID. In Proceedings of the 2010 IEEE Antennas and Propagation Society International Symposium, Toronto, ON, Canada, 11–17 July 2010. [Google Scholar]
- Chen, Z.N.; Goh, C.K.; Qing, X. Loop antenna for UHF near-field RFID reader. In Proceedings of the Fourth European Conference on Antennas and Propagation, Barcelona, Spain, 1–4 April 2010. [Google Scholar]
- Qing, X.; Goh, C.K.; Chen, Z.N. A Broadband UHF Near-Field RFID Antenna. IEEE Trans. Antennas Propag. 2010, 58, 3829–3838. [Google Scholar] [CrossRef]
- Shi, J.; Qing, X.; Chen, Z.N.; Goh, C.K. Electrically Large Dual-Loop Antenna for UHF Near-Field RFID Reader. IEEE Trans. Antennas Propag. 2013, 61, 1019–1025. [Google Scholar] [CrossRef]
- Shi, J.; Qing, X.; Chen, Z.N. Electrically Large Zero-Phase-Shift Line Grid-Array UHF Near-Field RFID Reader Antenna. IEEE Trans. Antennas Propag. 2014, 62, 2201–2208. [Google Scholar] [CrossRef]
- Zeng, Y.; Chen, Z.N.; Qing, X.; Jin, J.M. Design of a Near-field Nonperiodic Zero Phase Shift-Line Loop Antenna with a Full Dispersion Characterization. IEEE Trans. Antennas Propag. 2017, 65, 2666–2670. [Google Scholar] [CrossRef]
- Zeng, Y.; Chen, Z.N.; Qing, X.; Jin, J.-M. A Directional, Closely Spaced Zero-Phase-Shift-Line Loop Array for UHF Near-Field RFID Reader Antennas. IEEE Trans. Antennas Propag. 2018, 66, 5639–5642. [Google Scholar] [CrossRef]
- Zeng, Y.; Chen, Z.N.; Qing, X.; Jin, J.-M. An Artificial Magnetic Conductor Backed Electrically Large Zero-Phase-Shift Line Grid-Loop Near-Field Antenna. IEEE Trans. Antennas Propag. 2017, 65, 1599–1606. [Google Scholar] [CrossRef]
- Yao, Y.; Liang, Y.; Yu, J.; Chen, X. A Broadband Near-Field UHF RFID Reader Antenna with Low Far-Field Gain. IEEE Trans. Antennas Propag. 2017, 65, 4869–4874. [Google Scholar] [CrossRef]
- Liang, Y.; Yao, Y.; Yu, J.; Chen, X. Design of A Novel Meander Line Reader Antenna for UHF Near-field RFID. In Proceedings of the 2016 11th International Symposium on Antennas, Propagation and EM Theory (ISAPE), Guilin, China, 18–21 October 2016. [Google Scholar]
- Li, X.; Li, Q.; Zhu, H.; Li, Q.; Qi, Z.; Xiao, J. A Novel Near-Field UHF RFID Reader Array Antenna for Configurable Electrically Large Reading Area. IEEE Trans. Antennas Propag. 2019, 67, 6714–6722. [Google Scholar] [CrossRef]
- Caso, R.; Michel, A.; Buffi, A.; Nepa, P.; Isola, G. A modular antenna for UHF RFID near-field desktop reader. In Proceedings of the 2014 IEEE RFID Technology and Applications Conference (RFID-TA), Tampere, Finland, 8–9 September 2014. [Google Scholar]
- Michel, A.; Buffi, A.; Caso, R.; Nepa, P. A scalable modular antenna configuration to extend the detection volume of a near-field UHF-RFID desktop reader. In Proceedings of the 2015 IEEE International Symposium on Antennas and Propagation & USNC/URSI National Radio Science Meeting, Vancouver, BC, Canada, 19–24 July 2015. [Google Scholar]
- Li, H.; Chen, Y.; Xing, Z.; Yang, S. A Novel Printed Dual-Log- Periodic Array Antenna for UHF Near-Field RFID Applications. IEEE Trans. Antennas Propag. 2018, 66, 7418–7423. [Google Scholar] [CrossRef]
- Jeong, M.-G.; Lee, W.-S. A Smart Blood Bag Management System Using a Load-Integrated U-Shaped Near-Field RFID Antenna Array. IEEE Trans. Antennas Propag. 2019, 67, 1837–1843. [Google Scholar] [CrossRef]
- Huang, C.; Wang, C.; Zhu, J.; Tang, W. Electrically Large Segmented Dipole Array Antenna with Reflectors for UHF Near-Field RFID Applications. IEEE Trans. Antennas Propag. 2019, 67, 4280–4285. [Google Scholar] [CrossRef]
- Medeiros, C.R.; Costa, J.; Fernandes, C.A. RFID Smart Shelf with Confined Detection Volume at UHF. IEEE Antennas Wirel. Propag. Lett. 2008, 7, 773–776. [Google Scholar] [CrossRef]
- Andrenko, A.S.; Kai, M. Novel design of UHF RFID near- field antenna for smart shelf applications. In Proceedings of the 2013 Asia-Pacific Microwave Conference Proceedings (APMC), Seoul, Korea, 5–8 November 2013; pp. 242–244. [Google Scholar]
- Yao, Y.; Cui, C.; Yu, J.; Chen, X. A Meander Line UHF RFID Reader Antenna for Near-field Applications. IEEE Trans. Antennas Propag. 2017, 65, 82–91. [Google Scholar] [CrossRef]
- Andrenko, A.S. Simultaneous Quasi. RHCP and LHCP Radiation in the Near Field of Planar RFID Antennas. In Proceedings of the International Conference on Mathematical Methods in Electromagnetic Theory, Lviv, Ukraine, 18 August 2016. [Google Scholar]
- Wang, M.-S.; Guo, Y.-X.; Wu, W. Planar Shared Antenna Structure for NFC and UHF-RFID Reader Applications. IEEE Trans. Antennas Propag. 2017, 65, 5583–5588. [Google Scholar] [CrossRef]
- Yao, Y.; Liang, Y.; Yu, J.; Chen, X. Design of a Multipolarized RFID Reader Antenna for UHF Near-Field Applications. IEEE Trans. Antennas Propag. 2017, 65, 3344–3351. [Google Scholar] [CrossRef]
- Yao, Y.; Ren, X.; Liang, Y.; Yu, J.; Chen, X. Multipolarized Reader Antenna with Periodic Units Based on Electric Field Coupling for UHF RFID Near-Field Applications. IEEE Trans. Antennas Propag. 2019, 67, 5265–5271. [Google Scholar] [CrossRef]
- Michel, A.; Caso, R.; Buffi, A.; Nepa, P.; Isola, G. An array of meander Travelling Wave Antennas for near-field UHF-RFID readers. In Proceedings of the Antennas & Propagation Society International Symposium, Orlando, FL, USA, 7–13 July 2013. [Google Scholar]
- Guo, J.; Lan, H.; Yin, Y. A Near-Field UHF RFID Reader Antenna without Dead Zones. In Proceedings of the International Conference on Microwave and Millimeter Wave Technology, Chengdu, China, 8–11 May 2018. [Google Scholar]






























| Parameter | L | d | W | h |
|---|---|---|---|---|
| Dimension (mm) | 126 | 7.5 | 2.52 | 1.6 |
| Ref. | Coupled Mode | Field Distribution along the X-/Y-Axis | Tag Test |
|---|---|---|---|
| [15] | Magnetic coupled | Non-uniform | Misread |
| [23] | Electric coupled | Non-uniform | Misread |
| [24] | Electric coupled | Non-uniform | Misread |
| [26] | Electric coupled | Non-uniform | Misread |
| [27] | Electric coupled | Non-uniform | Misread |
| Proposed | Electric coupled | Uniform | Accurate read |
Publisher’s Note: MDPI stays neutral with regard to jurisdictional claims in published maps and institutional affiliations. |
© 2021 by the authors. Licensee MDPI, Basel, Switzerland. This article is an open access article distributed under the terms and conditions of the Creative Commons Attribution (CC BY) license (https://creativecommons.org/licenses/by/4.0/).
Share and Cite
Yao, Y.; Ge, Q.; Yu, J.; Chen, X. A Novel Antenna for UHF RFID Near-Field Applications. Electronics 2021, 10, 1310. https://doi.org/10.3390/electronics10111310
Yao Y, Ge Q, Yu J, Chen X. A Novel Antenna for UHF RFID Near-Field Applications. Electronics. 2021; 10(11):1310. https://doi.org/10.3390/electronics10111310
Chicago/Turabian StyleYao, Yuan, Qiuyue Ge, Junsheng Yu, and Xiaodong Chen. 2021. "A Novel Antenna for UHF RFID Near-Field Applications" Electronics 10, no. 11: 1310. https://doi.org/10.3390/electronics10111310
APA StyleYao, Y., Ge, Q., Yu, J., & Chen, X. (2021). A Novel Antenna for UHF RFID Near-Field Applications. Electronics, 10(11), 1310. https://doi.org/10.3390/electronics10111310
