Next Article in Journal
TSCH Multiple Slotframe Scheduling for Ensuring Timeliness in TS-SWIPT-Enabled IoT Networks
Previous Article in Journal
Influence of Growth Polarity Switching on the Optical and Electrical Properties of GaN/AlGaN Nanowire LEDs
 
 
Font Type:
Arial Georgia Verdana
Font Size:
Aa Aa Aa
Line Spacing:
Column Width:
Background:
Article

The Characteristics of 6-Inch GaN on Si RF HEMT with High Isolation Composited Buffer Layer Design

1
Department of Electronics Engineering, Chang Gung University, Taoyuan 333, Taiwan
2
National Chung-Shan Institute of Science and Technology, Materials and Electro-Optics Research Division, Taoyuan 333, Taiwan
*
Author to whom correspondence should be addressed.
Electronics 2021, 10(1), 46; https://doi.org/10.3390/electronics10010046
Submission received: 19 November 2020 / Revised: 20 December 2020 / Accepted: 24 December 2020 / Published: 30 December 2020
(This article belongs to the Section Microelectronics)

Abstract

In this study, a 50-nm Al0.05Ga0.95N back barrier (BB) layer was used in an AlGaN/GaN high-electron-mobility transistor between the two-dimensional electron gas channel and Fe-doped/C-doped buffer layers. This BB layer can reduce the channel layer. The BB layer is affected by doped carriers in the buffer layer and the conduction energy band between the channel and the buffer layers. The Ion/Ioff ratio of the BB device was 4.66 × 105, and the ratio for the device without BB was 1.91 × 103. Lower leakage currents were obtained in the BB device because of the higher conduction energy band. The 0.25-μm gate length device with the BB exhibited a high current gain cutoff frequency of 24.4 GHz, and power gain cutoff frequency of 73 GHz.

1. Introduction

AlGaN/GaN high-electron-mobility transistors (HEMTs) have potential applications in next-generation high-power and microwave devices. GaN exhibits high electron mobility, breakdown voltage, electron saturation speed, and thermal conductivity, because of the wide band gap. Therefore, GaN is widely used in high-frequency and high-power devices. Currently, sapphire and Si are popularly used as substrate materials for GaN. However, the large lattice mismatch between GaN buffer and Si (~17%) [1] substrate, or the nitrogen vacancy and oxygen impurity, may result in defects and a large number of dislocations in the buffer layer, forming an n-type buffer layer [2].
Several studies have presented doped iron (Fe) [3,4,5] or carbon (C) [2,6,7,8] in the buffer layer to suppress buffer defects. If the doping position is too close to the channel layer, or the doping concentration is too strong, it may affect the reliability and electrical properties of the device. Therefore, the doped buffer devices with impurities can result in current collapse (CC), resulting in the buffer traps inducing threshold voltage (VTH) shifts [9].
When a high drain voltage was applied, some electrons from the two-dimensional electron gas (2DEG) were captured by dislocations or traps in the buffer layer, which caused reliability problems. Therefore, in this study, a back barrier (BB) layer was used to reduce the leakage from electron tunneling into the buffer layer and, effectively, confine electrons to the 2DEG.

2. Experiment Details

In this study, the AlGaN/GaN HEMT was grown on 6-inch Si substrates through metal organic chemical vapor deposition (MOCVD) with/without (device A/B) the Fe-doped/C-doped GaN buffer layer. TMGa, TMAl, and NH3 were used as the sources of Ga, Al, and N, respectively. Firstly, a 50-nm initial GaN nucleation layer was grown at 550 °C, and followed by the growth of the periodically carbon-doped 200-nm GaN buffer layer. A Fe-doped GaN layer was targeted to have a Fe concentration of 8 × 1017 atoms/cm3 at 980 °C. Then, 1-μm intrinsically-doped GaN was grown at 1000 °C. The 50-nm Al0.05Ga0.95N, 300-nm GaN channel, 0.5-nm AlN, 20-nm Al0.24Ga0.86N, and 2-nm GaN cap were all grown under the same pressure conditions and temperature of 100 mbar and 1040 °C, respectively. To avoid the diffusion of Fe ions to the channel layer, a 50-nm Al0.05Ga0.95N BB was deposited between buffer layer and channel layer. A 0.5-nm-thick AlN spacer layer was grown between the GaN channel layer and the 20-nm-thick Al0.24Ga0.86N barrier layer. Finally, a 2-nm GaN cap was deposited through MOCVD. The schematic of a heterostructure is presented in Figure 1a,b, which shows the 6-inch GaN on the Si HEMT wafer.
The device was fabricated through mesa isolation by using an inductively coupled plasma system with BCl3, Cl2, and a combination in the first step. Then, a Ti/Al/Ni/Au (25/130/25/80 nm) metal film was deposited through electron beam evaporation (E-gun) for the ohmic contacts (LDS = 4 µm). The device was annealed at 875 °C for 35 s in an N2 atmosphere by using a rapid thermal annealing system. The T-shaped gate (LG = 0.25 µm) was defined using electron beam lithography, and the electrode was formed using Ni/Au (50 nm/300 nm). A metal film Ti/Au (25/80 nm) was deposited as the pad for interconnection. Finally, the device was passivated with Si3N4 through plasma-enhanced chemical vapor deposition (PECVD).
To study the effect of AlGaN BB on the performance of the device, we simulated the conduction band energy diagram by using the 1-dimensional Poisson distribution, as depicted in Figure 1c. From the energy band diagram, the peak formed by the BB can effectively suppress the penetration of electrons into the buffer layer. Er is deep level recombination centers and Et is trap energy level centers [10,11].
In order to understand the diffusion and incorporation of Fe into the layer structure of device A, secondary ion mass spectrometer (SIMS) profiles of Fe, C, Al, Ga, and N in the device A are shown in Figure 2. Additionally, the slower turn-off of the Fe in the buffer layer between AlGaN back barrier and Fe-doped region may be due to memory effects of Fe diffusion associated with high growth temperatures. However, if the excess of Fe atoms diffuses into the GaN channel layer, it will work as defects, and degrade the performance of the device. Therefore, this study aims to reduce the Fe atoms diffusion by using an AlGaN back barrier.
In Figure 2, the Fe atoms were limited to the AlGaN back barrier, because the lattice constant of AlGaN is lower than that of GaN. Because the lattice constant of AlGaN is lower than that of GaN, the distances between atoms were decreased. Therefore, the carrier is difficult to tunnel, or the tunneling speed decreases, resulting in a higher carrier concentration in the AlGaN BB region with a smaller lattice constant. Therefore, this structure can reduce the diffusion of Fe or C atoms into the channel layer, thereby improving the reliability of the device.

3. Results and Discussion

We measured IDSVGS, IDSVDS, and IGSVGS characteristics of the two devices by using Agilent 4142B. Figure 3a depicts the transfer characteristics (IDSVGS) at VDS = 10 V with a VGS sweep from −6 to 2 V. The saturation current of devices A and B were 1018 and 998.2 mA/mm at VGS = 2 V and VDS = 10 V, respectively. The peak extrinsic transconductance values of the two devices were 318 mS/mm and 259 mS/mm. As depicted in Figure 3a, because of the high conduction energy band of the AlGaN back barrier layer, the BB can reduce the electron distribution in the 2DEG channel of device A, causing the gate to pinch off more easily. The transfer characteristics of device A showed a higher pinch-off performance than device B. Therefore, to turn off the device, a higher negative threshold voltage was required to be applied to device B (VTH = −3.8 V) than to device A (VTH = −2.4 V).
To investigate the effect of the BB layer on the off-state of the device, the saturation current data in Figure 3a were converted into the log-scale. Figure 3b displays the leakage current curve of gate (IGSVGS) and off-state leakage current curve of the drain (log-scale IDSVGS). The gate off-state leakage current of devices A and B at VGS = −6 V was 2.7 × 10−3 and 6.7 × 10−1, as depicted in Figure 4. The drain off-state leakage current was 6.2 × 10−3 (with BB) and 5.9 × 10−1 (without BB) at VGS = −6 V.
These results show that the addition of a BB layer can effectively reduce the gate leakage current. The BB layer also verifies the data in the simulation diagram of Figure 1c and the data in Figure 3b. Therefore, satisfactory pinch-off characteristics of device A, along with a moderate Ion/Ioff ratio of 4.66 × 105, can be calculated from the subthreshold swing (SS) of 0.119 V/dec. For the IDS–VDS and IGS–VGS of device B, an order of magnitude difference is found, which indicates that there is a phenomenon that the components are not tightly closed when the components without BB are in the off-state, showing that BB can have better characteristics and solve the problem that the component is not tightly closed in the off-state.
Figure 3c depicts the IDS–VDS characteristics of devices A and B measured at VDS ranging from 0 V to 10 V with a VGS sweep from −6 V to 2 V and a step of 1 V. The on-resistances (Ron) extracted from the devices’ drains to source current in the linear region in Figure 3c is Ron_with BB = 3.29 ohm-mm and Ron_w/o BB = 2.96 ohm-mm. To understand the uniformity of the 6-inch GaN on the Si HEMT, the histograms of the saturated current (IDS_max) are depicted in Figure 3d.
For further analysis of the high-frequency characteristics of the device, the S-parameter was measured using an Agilent network analyzer. Figure 4 displays the measurement conditions of the device with the BB for current gain (fT) and power gain (fmax) at VGS = −1.2 V and VDS = 10 V. The maximum fT and fmax of the device were 24.4 and 73 GHz, respectively. The current gain (fT) and power gain (fmax) at VGS = −3 V and VDS = 10 V were measured in the device without the BB. The maximum fT and fmax of the device were 23.1 and 61 GHz, respectively. This measurement result indicated that the use of an Al0.05Ga0.95N BB improved the pinch-off characteristics of the device, thereby improving the high-frequency characteristics.
When the device is operated in the cutoff region, the bias applied by the gate and drain causes defects in the device, resulting in the capture of electrons. This phenomenon prevents the device from achieving the expected operating current when turned on, thereby generating the CC effect. In 2014, Chen’s team used a short-pulse measurement method to explore the CC phenomenon [12]. The pulse I–V was measured using an AMCAD AM241 pulsed system.
As depicted in Figure 5, the dynamic Ron ratio measurement conditions of devices A and B were a pulse width of 2 μs and period of 200 μs. In the measurement process, we set a static bias VGSQ (quiescent voltage) of the gate and a static bias VDSQ of the drain. First, (VGSQ = 0 V, VDSQ = 0 V) was measured to obtain a steady state current (static) without bias. Then, the static bias voltage of the drain terminal was increased from 0 to 30 V, step was set as 10 V, and the quiescent gate bias was −6 V. The electric field at the drain terminal renders electrons susceptible to defects existing on the surface of the device and below the drain terminal [13].
Therefore, the dynamic Ron ratio of the devices with, and without, the AlGaN BB was calculated. The dynamic Ron ratio improved from 1.86 to 1.52 times at VDSQ = 30 V, as indicated in Figure 5. Because BB can effectively reduce the phenomenon of electrons being trapped during fast switching of the device, the AlGaN BB can effectively reduce electrons trapped by buffer layer defects.
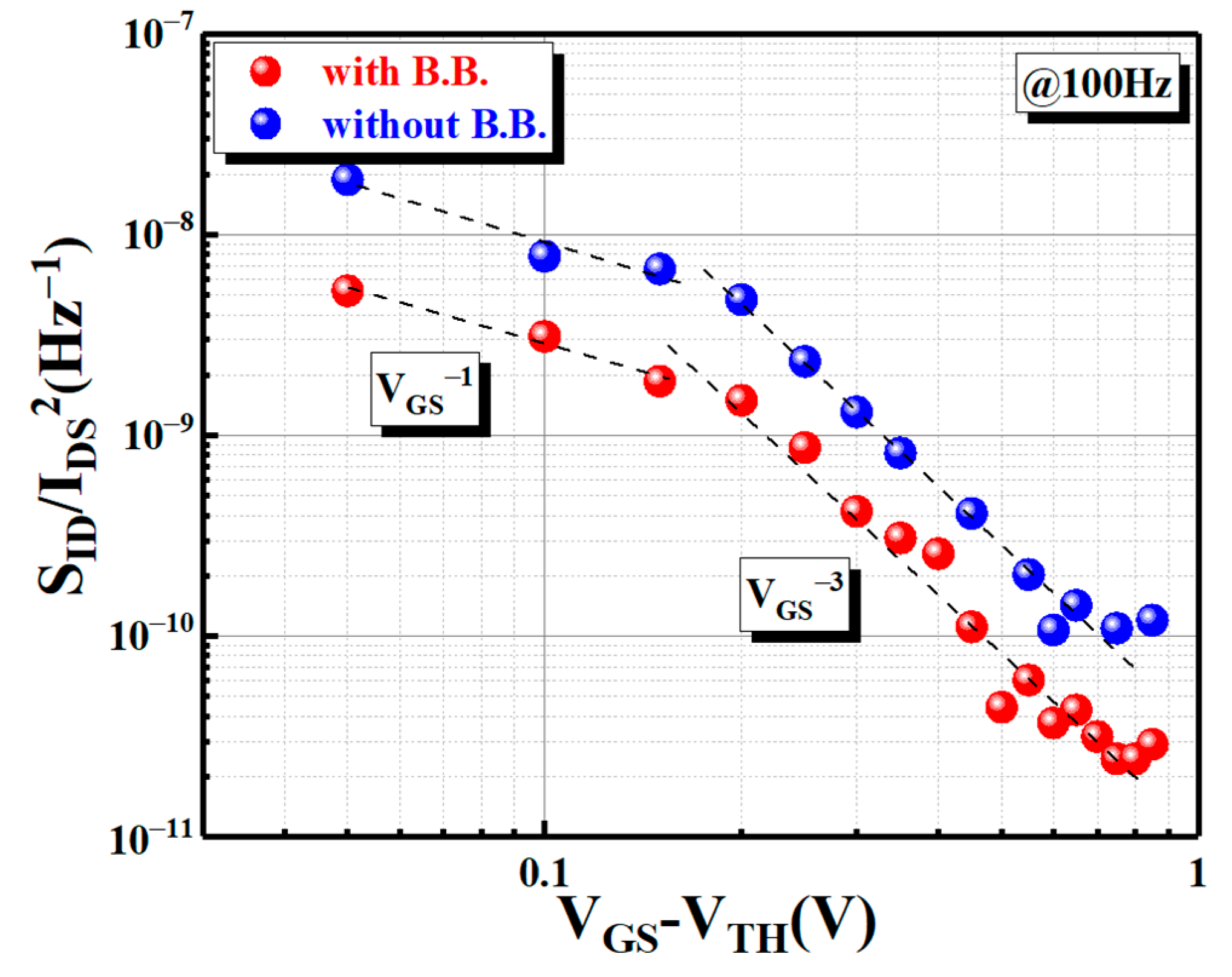
In order to analyze the charger trapping and detrapping phenomena in GaN HEMTs with, and without, an AlGaN back barrier layer, the low-frequency noise (LFN) spectra were measured. The LFN spectra measurement condition of frequency was from 10 to 1 kHz, and the drain current power spectral density (SID) was measured at low drain bias (VDS = 0.05 V). To locate the noise in the channel layer, the normalized current spectral density SI/I2 at 100 Hz and gate-to-source voltage of two devices at VGSVTH [14] from 0V to 1V was plotted (Figure 6).
When SI/I2 is proportional to VG–1, noise will be generated in the heterostructure interface area. In the transition region, SI/I2 is close to VG–3, the main source of noise is from channel and buffer traps, and the drain–source resistance is mainly determined by the resistance RU of the non-gate channel region, which is consistent with previous studies [15,16]. The results in Figure 6 show that the device with AlGaN BB has lower noise, because BB effectively blocks noise from being affected by buffer layer defects. It results in the SI/I2 being reduced at the VGS−1 and VGS−3 regions.
To analyze the reliability of the two devices, the two-terminal horizontal breakdown characteristics were measured by Agilent B1505 in Figure 7. The measurement ohmic contact pattern distance was 40 μm mesa isolation region. The breakdown voltage of with and without AlGaN BB device was 540 and 710 V, respectively. The AlGaN BB device shows that the higher breakdown voltage due to this structure can improve the conduction band energy between channel layer and buffer layer to reduce the leakage current at high VDS voltage.

4. Conclusions

The AlGaN/GaN HEMT with a 50-nm Al0.05Ga0.95N BB increased the conduction band energy in the buffer layer. By using this structure, the pinch-off characteristics of the devices can be improved and the electrons trapped by buffer layer defects can be reduced. Finally, the high-frequency characteristics of the device were analyzed. The fmax and horizontal breakdown characteristics were improved from fmax = 61 GHz to 73 GHz and VBD = 540 V to 710 V. According to the results, the device with an Al0.05Ga0.95N B/B layer has high potential for use in high-power and high-frequency electronics applications.

Author Contributions

Data curation: C.-H.L.; formal analysis: H.-C.W.; funding acquisition: C.-T.C. and K.-J.C.; investigation: C.-R.H.; methodology: H.-L.K.; supervision: H.-C.C. All authors have read and agreed to the published version of the manuscript.

Funding

This research received no external funding.

Conflicts of Interest

The authors declare no conflict of interest.

References

  1. Zhao, D.; Zhao, D. Analysis of the growth of GaN epitaxy on silicon. J. Semicond. 2018, 39, 033006. [Google Scholar] [CrossRef]
  2. Lee, J.H. High Figure-of-Merit (V2BR/RON) AlGaN/GaN Power HEMT with Periodically C-Doped GaN Buffer and AlGaN Back Barrier. J. Electron. Devices Soc. 2018, 2018, 1179–1186. [Google Scholar] [CrossRef]
  3. Chiu, H.; Chen, S. AlGaN/GaN Schottky barrier diodes on silicon substrates with various Fe doping concentrations in the buffer layers. Microelectron. Reliab. 2018, 83, 238–241. [Google Scholar] [CrossRef]
  4. Jia, Y.; Xu, Y.; Lu, K.; Wen, Z.; Huang, A.D.; Guo, Y.X. Characterization of Buffer-Related Current Collapse by Buffer Potential Simulation in AlGaN/GaN HEMTs. IEEE Trans. Electron. Devices 2018, 65, 3169–3175. [Google Scholar] [CrossRef]
  5. Murugapandiyan, P.; Ravimaran, S.; William, J. 30 nm T-gate enhancement-mode InAlN/AlN/GaN HEMT on SiC substrates for future high power RF applications. J. Semicond. 2017, 38, 084001. [Google Scholar] [CrossRef]
  6. Joshi, V.; Tiwari, S.P.; Shrivastava, M. Part I: Physical Insight Into Carbon-Doping-Induced Delayed Avalanche Action in GaN Buffer in AlGaN/GaN HEMTs. IEEE Trans. Electron. Devices 2019, 66, 561–569. [Google Scholar] [CrossRef]
  7. Kumar, S.; Gupta, P.; Guiney, I.; Humphreys, C.J.; Raghavan, S.; Muralidharan, R.; Nath, D.N. Temperature and Bias Dependent Trap Capture Cross Section in AlGaN/GaN HEMT on 6-in Silicon With Carbon-Doped Buffer. IEEE Trans. Electron. Devices 2017, 64, 4868–4874. [Google Scholar] [CrossRef]
  8. Choi, F.S.; Griffiths, J.T.; Ren, C.; Lee, K.B.; Zaidi, Z.H.; Houston, P.A.; Guiney, I.; Humphreys, C.J.; Oliver, R.A.; Wallis, D.J. Vertical leakage mechanism in GaN on Si high electron mobility transistor buffer layers. J. Appl. Phys. 2018, 124, 055702. [Google Scholar] [CrossRef]
  9. Gong, J.M.; Wang, Q.; Yan, J.D.; Liu, F.Q.; Feng, C.; Wang, X.L.; Wang, Z.G. Comparison of GaN/AlGaN/AlN/GaN HEMTs Grown on Sapphire with Fe-Modulation-Doped and Unintentionally Doped GaN Buffer: Material Growth and Device Fabrication. Chin. Phys. Lett. 2016, 33, 117303. [Google Scholar] [CrossRef]
  10. Longobardi, G.; Udrea, F.; Sque, S.; Hurkx, G.A.M.; Croon, J.; Napoli, E.; Šonský, J. Impact of Donor Traps on the 2DEG and Electrical Behavior of AlGaN/GaN MISFETs. IEEE Electron. Device Lett. 2014, 35, 27–29. [Google Scholar] [CrossRef]
  11. Hierro, A.; Hansen, M.; Boeckl, J.J.; Zhao, L.; Speck, J.S.; Mishra, U.K.; DenBaars, S.P.; Ringel, S.A. Carrier Trapping and Recombination at Point Defects and Dislocations in MOCVD n-GaN. Phys. Stat. Sol. 2001, 228, 937–946. [Google Scholar] [CrossRef]
  12. Tang, Z.; Huang, S.; Tang, X.; Li, B.; Chen, K.J. Influence of AlN Passivation on Dynamic ON-Resistance and Electric Field Distribution in High-Voltage AlGaN/GaN-on-Si HEMTs. IEEE Trans. Electron. Devices 2014, 61, 2785–2792. [Google Scholar] [CrossRef]
  13. Joh, J.; del Alamo, J.A. A Current-Transient Methodology for Trap Analysis for GaN High Electron Mobility Transistors. IEEE Electron. Device Lett. 2011, 58, 132–140. [Google Scholar] [CrossRef]
  14. Jana, R.K. On the possibility of sub 60 mV/decade subthreshold switching in piezoelectric gate barrier transistors. Phys. Status Solidi 2013, 10, 1469–1472. [Google Scholar] [CrossRef]
  15. Chen, Y.Q.; Zhang, Y.C.; Liu, Y.; Liao, X.Y.; En, Y.F.; Fang, W.X.; Huang, Y. Effect of Hydrogen on Defects of AlGaN/GaN HEMTs Characterized by Low-Frequency Noise. IEEE Trans. Electron. Devices 2018, 65, 1321–1326. [Google Scholar] [CrossRef]
  16. Vertiatchikh, A.V.; Eastman, L.F. Effect of the surface and barrier defects on the AlGaN/GaN HEMT low-frequency noise performance. IEEE Electron. Device Lett. 2003, 24, 535–537. [Google Scholar] [CrossRef]
Figure 1. (a) Cross-sectional schematic of GaN on Si high-electron-mobility transistor (HEMT) and the (b) 6-inch GaN on the Si HEMT wafer. (c) The back barrier (BB) device conduction band energy simulation through 1-D Poisson distribution.
Figure 1. (a) Cross-sectional schematic of GaN on Si high-electron-mobility transistor (HEMT) and the (b) 6-inch GaN on the Si HEMT wafer. (c) The back barrier (BB) device conduction band energy simulation through 1-D Poisson distribution.
Electronics 10 00046 g001
Figure 2. Secondary ion mass spectrometer (SIMS) measurement of AlGaN HEMT with BB/Fe-doped/C-doped.
Figure 2. Secondary ion mass spectrometer (SIMS) measurement of AlGaN HEMT with BB/Fe-doped/C-doped.
Electronics 10 00046 g002
Figure 3. (a)Transfer characteristics (IDSVGS) at VDS = 10 V with a VGS sweep from −6 to 2 V of device A and device B. (b) Off-state leakage current curve of the drain (log-scale IDSVGS) and gate (IGSVGS). (c) Characteristics of the 0.25-μm gate quaternary AlGaN/GaN HEMT IDSVDS curve. (d) Histogram of saturated current measured in 45 devices.
Figure 3. (a)Transfer characteristics (IDSVGS) at VDS = 10 V with a VGS sweep from −6 to 2 V of device A and device B. (b) Off-state leakage current curve of the drain (log-scale IDSVGS) and gate (IGSVGS). (c) Characteristics of the 0.25-μm gate quaternary AlGaN/GaN HEMT IDSVDS curve. (d) Histogram of saturated current measured in 45 devices.
Electronics 10 00046 g003
Figure 4. Small-signal characteristics of 0.25-μm gate quaternary AlGaN/GaN HEMT.
Figure 4. Small-signal characteristics of 0.25-μm gate quaternary AlGaN/GaN HEMT.
Electronics 10 00046 g004
Figure 5. Dynamic Ron ratio of the two devices.
Figure 5. Dynamic Ron ratio of the two devices.
Electronics 10 00046 g005
Figure 6. The measured low-frequency noise of devices with, and without, BB.
Figure 6. The measured low-frequency noise of devices with, and without, BB.
Electronics 10 00046 g006
Figure 7. The horizontal breakdown characteristics of devices with, and without, BB.
Figure 7. The horizontal breakdown characteristics of devices with, and without, BB.
Electronics 10 00046 g007
Publisher’s Note: MDPI stays neutral with regard to jurisdictional claims in published maps and institutional affiliations.

Share and Cite

MDPI and ACS Style

Huang, C.-R.; Liu, C.-H.; Wang, H.-C.; Kao, H.-L.; Chiu, H.-C.; Chen, C.-T.; Chang, K.-J. The Characteristics of 6-Inch GaN on Si RF HEMT with High Isolation Composited Buffer Layer Design. Electronics 2021, 10, 46. https://doi.org/10.3390/electronics10010046

AMA Style

Huang C-R, Liu C-H, Wang H-C, Kao H-L, Chiu H-C, Chen C-T, Chang K-J. The Characteristics of 6-Inch GaN on Si RF HEMT with High Isolation Composited Buffer Layer Design. Electronics. 2021; 10(1):46. https://doi.org/10.3390/electronics10010046

Chicago/Turabian Style

Huang, Chong-Rong, Chia-Hao Liu, Hsiang-Chun Wang, Hsuan-Ling Kao, Hsien-Chin Chiu, Chih-Tien Chen, and Kuo-Jen Chang. 2021. "The Characteristics of 6-Inch GaN on Si RF HEMT with High Isolation Composited Buffer Layer Design" Electronics 10, no. 1: 46. https://doi.org/10.3390/electronics10010046

APA Style

Huang, C.-R., Liu, C.-H., Wang, H.-C., Kao, H.-L., Chiu, H.-C., Chen, C.-T., & Chang, K.-J. (2021). The Characteristics of 6-Inch GaN on Si RF HEMT with High Isolation Composited Buffer Layer Design. Electronics, 10(1), 46. https://doi.org/10.3390/electronics10010046

Note that from the first issue of 2016, this journal uses article numbers instead of page numbers. See further details here.

Article Metrics

Back to TopTop