Abstract
The purpose of this work was to evaluate four thermal spring waters from Ourense and a Sargassum muticum extract as cosmetic ingredients for the preparation of a suncream. The thermal spring waters were tested for their suitability as an aqueous phase main component, and the algal extract was added as an antioxidant instead of using synthetic preservatives in the cosmetic formula. The emulsion was tested for lipid oxidation during a period of 9 months and for consumer acceptance by performing a sensory test on controls and blanks. Further, color parameters were considered, and a pH determination was performed. The S. muticum extract protected from primary and secondary oxidation as efficiently as Fucus sp. or α-tocopherol extracts. In addition, the sensorial test revealed that consumers preferred suncreams prepared with the S. muticum extract and with thermal spring water from O Tinteiro and A Chavasqueira. The pH of the suncreams varied with the selection of the ingredients, and no oscillations in colorimetric values were visually observed. Our results indicate that the algal extract and the thermal spring waters from Ourense are potential cosmetic ingredients, since they showed effectiveness as antioxidant ingredients, and the suncreams were well accepted by consumers.
1. Introduction
The skin is exposed to external aggressive factors, particularly ultraviolet sun radiation and environmental pollutants, and other external and internal conditions that increase free radical production, which leads to a depletion of the skin’s antioxidant defenses. Oxidative stress, caused by an imbalance between the production and the decay of reactive species, is one of the mechanisms that accelerate cellular senescence and general aging [1]. Strategies to prevent photodamage caused by the cascade of reactions initiated by ultraviolet light (UV) include: scavenging/quenching free radicals, inhibiting the propagation of lipid peroxidative chain reactions, prevention of UV penetration into the skin by physical and chemical sunscreens, prevention/reduction of inflammation, inhibition of both the neutrophil elastase activity and the expression/activity of matrix metalloproteases [2].
The antioxidant defense system is essential for the body’s protection against reactive oxygen species (ROS) generated by the environment. It includes three groups of antioxidants: essential nutrients (vitamins), enzymes, and phytochemical substances. The ability of cosmetics to protect against the generation of free radicals or to reduce their effects has been proposed to classify cosmetic and pharmaceutical products [3]. A global protection provided by a mixture of different natural antioxidants (extracts) could be beneficial [4], since the association of substances with diverse antioxidant profiles would provide complementary effects. The incorporation of extracts as ingredients in cosmetic formulas would produce cosmetics with high effectiveness and long-lasting actions [5].
The use of photoprotective constituents present in herbal extracts has been proposed to prevent aging induced by UV light [6] and to produce healing, softening, rejuvenating, and UV-absorbing effects [7] when added to cosmetic formulas. The topical use of antioxidants can protect from oxidative skin damage [8], since this route shows fewer side effects and improves patient compliance when compared with other pathways.
The valorisation and utilisation of the invasive brown algae Sargassum muticum have been proposed, based on the extraction of the bioactives fucoidan and phlorotannins [9]. The protection provided by some complex S. muticum extracts against the oxidation of cosmetic products has been confirmed [10], and isolated active compounds showed photodamage attenuation and protection against intracellular ROS generation [11].
The search for abundant, cheap, and natural extracts from raw materials and the development of non-polluting efficient extraction techniques are needed. Alternative strategies would enhance the quality of cosmetic products, minimising the environmental impact and promoting the sustainability and the viability of the processes.
Mineral waters have their origins in natural springs, and they present bacteriological purity and therapeutic properties, whereas artificially prepared waters do not have the same biologic activities. Mineral waters may have both cleansing and therapeutic actions, they are safe in all skin conditions with almost no side effects, they present a very low risk to the patient’s general health and well-being, and they can be used as active ingredients in topical formulations [12,13].
The specific indications in cosmetology of different types of spring waters are based on their physicochemical characteristics [14]. Active principles of mineral waters could play a role in skin immune regulation, since they have been successfully used for moderate skin disorders and immunomediated affections (contact dermatitis, psoriasis, atopic dermatitis). They can also be used for daily skin care due to their detergent, anti-inflammatory, antipruriginous, keratoplastic, and antioxidant properties. Their hydrating, antioxidant, and anti-inflammatory properties are probably in relation to chemical, thermal, mechanical, and immunomodulatory effects [12,15]. The antiradical actions of some natural spring waters in the human body were asserted in several studies, and the efficacy of balneotherapy has been reported in relation to the balance between pro- and antioxidant processes. However, the favorable mode of action on the interaction between balneotherapy and the antioxidant system is not yet fully understood [16,17].
The broad uses of thermal waters in the northwestern part of Spain have been acknowledged since ancient times. The therapeutic value of the hot springs in Ourense has recently attracted increased attention to the chemical composition and the processes influencing the recharge of underground water from its origin [18].
The aim of the present study is to evaluate the sensorial properties and the oxidative stability of a suncream, formulated with four thermal spring waters and a brown algal extract, on controls and blanks, stored under domestic use conditions.
2. Results and Discussion
2.1. Chemical Characteristics of the Thermal Spring Water
The pH values and the content of dissolved anions (fluoride, chloride, nitrate, nitrite, sulfate and sulphide) and cations (potassium, calcium, sodium, magnesium and iron) in the thermal spring waters are summarised in Table 1. The range of the pH values is 7.4–8.52, which is slightly higher than that of other thermal waters, such as Avène, Vichy, and La Roche–Posay. The chloride content ranged from 12 to 20 mg L−1, slightly higher than Avène thermal water, but significantly lower than Vichy [12]. The sulfate content was higher in O Tinteiro (T) and A Chavasqueira (C) thermal waters, higher than that reported for Avène thermal water [8]. Water from T presented the highest values of S−2 (14 mg L−1), while As Burgas (B) and C showed values of 0.02 and 0.06 mg L−1, respectively. Thermal spring waters with a sulfide anion concentration higher than 0.02 mg L−1 are considered sulfurous, because this concentration is enough to confer the smell of sulfhydric gas to them. Sulfide anion enhances the redox reactions and has antioxidant and antiallergic properties [19].
Table 1.
pH values, anions (fluoride, chloride, nitrate, nitrite, and sulfate contents), and cations (K+, Ca2+, Na+, Mg2+, Fe2+) (mg·L−1) determined in the thermal spring water from the sources sampled in Ourense. Data of cations extracted from Delgado-Outeiriño et al. [18].
In addition to its fundamental role in the defensive system of human airways and antioxidant activity, sulfurous water also has an antielastase activity that may help to control the inflammatory processes of upper and lower airways diseases [20]. Gomes et al. [19] reported that chloride helps in the cicatrisation and regeneration of tissue and stimulates blood circulation and metabolic functions. The cation content was extracted from Delgado-Outeiriño et al. [18].
2.2. Visual Influence of the Extracts in the Cosmetic Formulations
The suncream formulas presented a visual color determined by the extracts used as antioxidant ingredients (Figure 1). Formulas prepared without antioxidant (blank, Bl) presented a white color and a creamy oily aspect, but those prepared with Fucus (FE) and α-tocopherol (TF) extracts presented a beige color; the Sargassum muticum (SR) extract changed the cream texture to a more fluid one, and the color switched to dark brown.
Figure 1.
Suncream formulations prepared with O Tinteiro (T) water. From left to right: without extract (Bl), with α-tocopherol (TF), Fucus (FE), and Sargassum muticum (SR) extracts.
2.3. The pH of the Suncreams
The pH values of suncreams prepared with the selected thermal waters are shown in Figure 2. Values are in the range 6–7, except for those creams formulated with bidistilled miliQ water (W) water and SR extract, which presented a significant difference with a pH of 5.5. As a trend, creams formulated with SR extract showed a slightly lower pH than those formulated with other extracts.
Figure 2.
The pH values of suncream formulas in creams prepared with the thermal waters.
2.4. Sensory Analysis
The ANOVA results indicated significantly large differences regarding the perception of the cream’s appearance and skin attributes, consistency, color, spreadability, softness, and the preference for its smell on the skin (p < 0.05). Individually, the use of a specific thermal water in the formulations has a significant effect on six sensory attributes: consistency, color preference, spreadability, softness, skin feel, and smell preference on the skin. The presence of a specific extract implied significant differences in gloss and spreadability. However, combined factors (waters × extracts) only supposed significant differences in gloss and in smell preference on the skin.
Hierarchical cluster analysis (HCA) allows a preliminary study to be carried out in order to search for natural groupings among the samples based on their similarities. As shown in the dendrogram (Figure 3), it is possible to distinguish clearly between cream samples elaborated with SR extract and those obtained with other extracts. S. muticum extract creams showed the highest values for gloss, spreadability, and softness. They showed the highest rating for skin feel, with the same value as for those prepared with α-tocopherol, and the lowest value in consistency, smell preference in glass/on skin, color, and intensity and persistence of smell on skin.
Figure 3.
Dendrogram for cream samples obtained from the hierarchical cluster analysis.
A principal component analysis was applied to sensory descriptive data to study the relation between global preference of cream samples and sensory attributes. Results explained 89.33% of the total data variation with 55.63% and 33.71% contributions from the first and second principal components, respectively (Figure 4). Results indicated that overall acceptability (upper left quadrant) was strongly correlated with attributes related to hedonic feeling on the skin after spreadability. Furthermore, variables associated with the appearance in the glass (lower right quadrant) exerted less influence on the global preference of cream.
Figure 4.
Principal component analysis showing the relation among sensory attributes and the global preference of cream.
The preference of water employed to elaborate creams differed with the extract used (Figure 5). When no extract was used (Bl), the preferred thermal water was As Burgas. A Chavasqueira and O Tinteiro thermal waters were better evaluated when included in the preparations with α-tocopherol (TF) and with S. muticum (SR) extracts. Similar results were obtained for creams formulated with A Chavasqueira or the bidistilled water and Fucus sp. extract (FE).

Figure 5.
Preference of water by extract: (a) Bl, without extract; (b) TF, tocopherol; (c) FE, Fucus; (d) SR, Sargassum muticum.
According to the average score obtained from 17 judges, among the creams prepared with extracts, there was a global preference for those prepared with the S. muticum extract (9.1 points), followed by the Fucus sp. extract (8.5 points) and tocopherol (6.5 points).
In general, S. muticum preparations presented higher sensory acceptance than those prepared with Fucus sp. extract or α-tocopherol, but it was almost the same as for creams prepared without antioxidant. The total score calculated as the sum of the individual scores from 0 to 50 for these creams was 155, 145, 110, and 158, respectively.
The presence of thermal water in cosmetic formulations was also a very well considered parameter. According to the average score obtained, the most preferred thermal spring water was O Tinteiro (9.0 points), followed by A Chavasqueira (8.5 points) and As Burgas (6.5 points). Formulas with thermal spring water from O Tinteiro and A Chavasqueira and with S. muticum algal-derived extract (SR) were preferred.
For SR emulsions, compared to the emulsions prepared with other extracts, the most valued attribute was gloss, and the least valued attributes were consistency and odour. They also presented slightly better spreadability and softness.
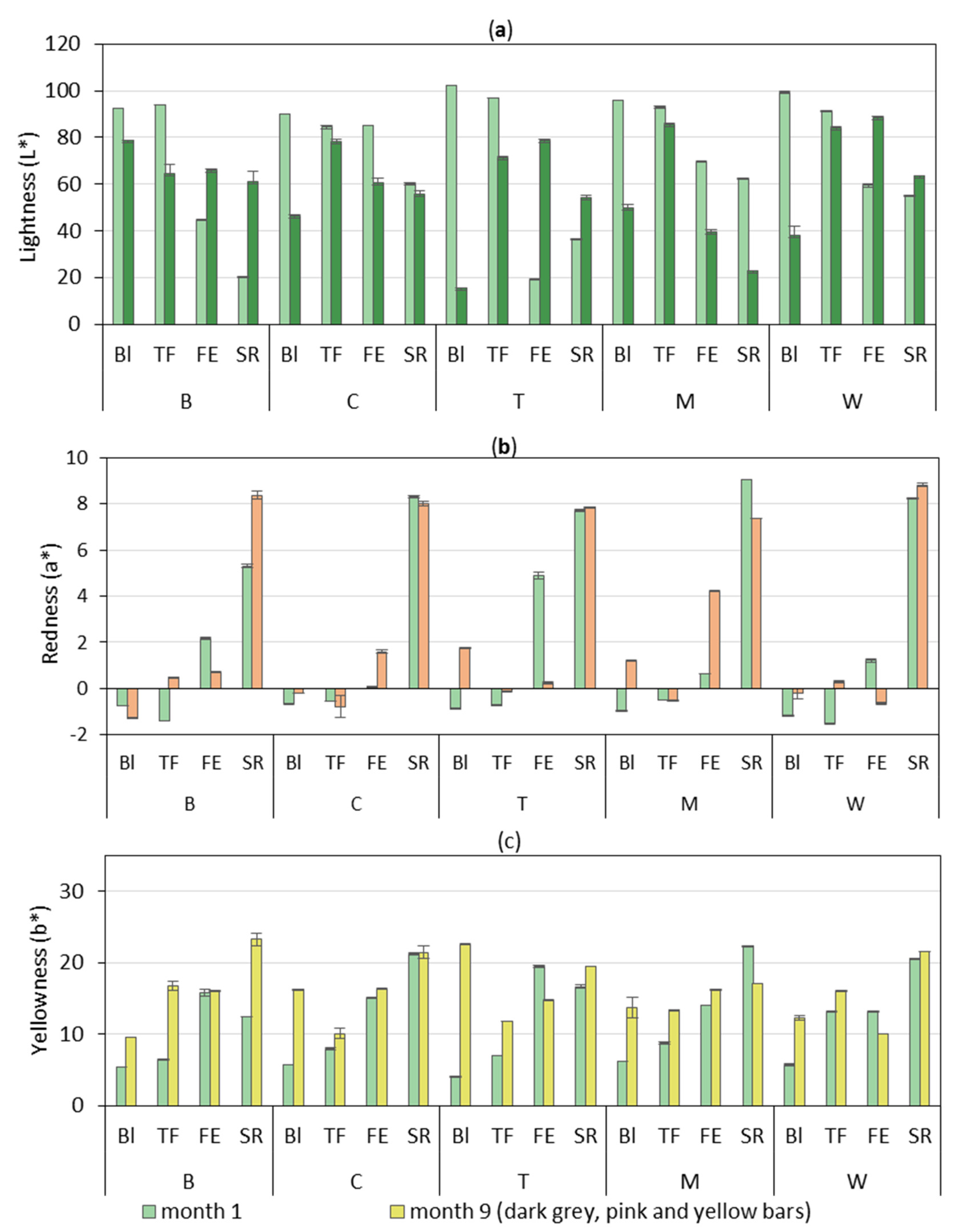
2.5. CIELab Color Space Parameters
The color time evolution from month one (t1) to month nine (t9) was evaluated, and the results are shown in Figure 6. The blanks showed a reduction in absolute values (L*) of 15–85%, whereas this effect was less noticeable in creams formulated with TF, which showed a reduction between 7% and 31%. The L* value decreased for formulas prepared with FE (43%), M (43%), and C (29%), but increased for those prepared with B, T, and W waters. After 9 months, SR provoked an increase of lightness (i.e., the creams appeared whiter) in all samples, except in suncreams elaborated with M and C thermal waters (Figure 6a). A significant change in (a*) was observed during storage, except for suncreams formulated with SR, in which the change was small (Figure 6b). Initially, samples elaborated without extract or with TF showed negative values, therefore, light green color. However, formulations with algal extracts showed a light red color. After 9 months in storage, suncreams with FE showed an a* value decrease (less red), but those with SR showed constant or increased values. Yellowness (b*) significantly increased in blanks and in most of the samples prepared with TF, but it was almost unaffected in suncreams formulated with the algal extracts FE and SR. Nevertheless, as a general trend, yellowness increased with time in all creams (Figure 6c).
Figure 6.
CIELab values, (a) lightness (L*); (b) redness (a*); and (c) yellowness (b*) of the suncream formulas prepared with thermal spring water from B, C, T, and M, and with mQ water (W), and with the extracts TF, FE, and SR and without extract (Bl) at month 1 and month 9.
2.6. Oxidation During Storage
The pA values (>20) are high, although greater values of aldehydes generated during the decomposition of hydroperoxides can be achieved during the oxidation of oils [21] and cosmetic emulsions [17].
The evolution of the stability of the creams during storage as evaluated by TOTOX is shown in Figure 7. This provides information about the status of the cosmetic emulsion. As a general trend, for the first two months, the creams prepared with natural extracts suffered less oxidation than those prepared with no antioxidant or TF. Exceptions were observed for the cream prepared with TF and M, in which the TOTOX value is comparable to that of the creams prepared with other extracts and to the blank prepared with T, in which no oxidation was observed. From months 3 to 7, creams prepared with the natural antioxidants FE or SR did not perform better than the blank or the creams prepared with TF. However, for long-time storage (i.e., after 7 months), the creams prepared with natural extracts and TF were stable regarding the oxidation levels, whereas the blank showed a high increase in the TOTOX value. Slightly less oxidation was found for this period of storage for TF and FE in creams prepared with T.
Figure 7.
TOTOX value during simulated domestic consumption of suncream formulations prepared with thermal spring water from B (a), C (b), T (c), M (d), and W (e).
This oxidation is probably explained by the progressive major quantity of oxygen in the head space of the flask. Results indicate that natural extracts are suitable for fresh preparations with lifespans of up to two months, and they could have potential in the long-term storage of cosmetics (from 7 months) for some preparations. Further experiments need to be done to decrease the oxidation levels from month 3 to month 7.
3. Materials and Methods
3.1. Materials
3.1.1. Water
Thermal spring water was collected from four different sources from Ourense city (Galicia, Spain): As Burgas (B), A Chavasqueira (C), O Tinteiro (T), and Muíño da Veiga (M). It was carried in glass-capped bottles and stored at 4 °C until use. Double-distilled water (W) (MilliQ, Merck Millipore, Germany) was used to prepare a suncream control.
3.1.2. Extracts
The Sargassum muticum extract (SR) used as antioxidant ingredient was obtained by the extraction and fractionation of brown algae collected in Praia Mourisca (Alcabre, Spain) during Summer. The algal biomass was subjected to autohydrolysis (LSR 1:30, log R0 = 3.56) in a stainless steel reactor PARR 4843 (Parr Instr. Co., Moline, IL, USA). The autohydrolysis liquors, separated by filtration with a Büchner filter, were subjected to microfiltration and nanofiltration in a 200 Da membrane (both 60.7 × 101.6 cm in length, Iberlact, Spain) in 6 steps. The retentate liquor was freeze-dried to obtain the SR extract.
A commercial solid extract of Fucus sp. (FE) (Guinama, Valencia, Spain) and α-tocopherol (TF) (Sigma-Aldrich, Munich, Germany) were used to prepare the extract control emulsions. A further suncream was prepared without any extract as a blank sample (Bl).
3.2. Methods
3.2.1. Suncream Formula
The oil-in-water suncream was prepared by homogenisation of 600 g of oil phase with 65 g of water phase in a mixer (constant stirring, 70 °C). An oil phase (337.81 g cream basis, 112.64 g dimethicone 350, 56.32 g avocado oil, 150.15 g sunscreen, 337.81 g titanium dioxide, 6.6 g Fenonip) was melted in a water bath until the temperature reached 70 °C. The water phase was prepared by adding 6 g propylenglicol and 1.5 g carbopol ultrez 10 to 427 g of each tested thermal water with further mixing. In order to form a gel, 1.5 g triethanolamine was added to the emulsion and mixed. All ingredients were purchased from Guinama (Alboraya, Spain). When the temperature decreased to 40 °C, 0.45 mL rose oil and 3 mL tetramer cyclomethicone were added.
Four parts of 140 g from this batch were disposed in different beakers to prepare four suncreams by adding one of the three selected extracts at 0.15 wt % as the antioxidant ingredient in each of them. One cream without any extract was prepared as a control. Every mixture was carefully homogenised and then bottled in three clean glass-capped flasks of 50 mL.
Five suncreams were elaborated, in triplicate, with four thermal spring waters (B, C, T, and M), with bidistilled water (W), and a blank with W. Each formula was combined with Sargassum muticum extract (SR), Fucus sp. commercial extract (FE), and commercial α-tocopherol (TF) as a control emulsion, to obtain 15 different formulations. A further formulation was prepared without antioxidant extract (Bl).
3.2.2. Analytical Methods
Determination of the Water Composition
The content of the dissolved anions fluoride (F−), chloride (Cl−), nitrate (NO3−), nitrite (NO2−), and sulfate (SO4−2) in the thermal spring water samples was determined by ionic chromatography (Dionex, ICS-3000, Sunnyvale, CA, USA). Briefly, water was filtered using 0.22 µm regenerated cellulose filters and injected into a chromatograph equipped with a conductivity detector (eluent 4.5 mM Na2CO3/0.8 mM NaHCO3, flow rate 1 mL min−1, working temperature 30 °C). A multielement standard (100 ppm, CPAchem, Stara Zagora, Bulgaria) was used for identification.
Emulsion pH and Color Determination
The pH of the thermal water and the suncream samples was measured using a digital pH meter (GLP 21, Crison, Barcelona, Spain). A portable colorimeter (Konica Minolta CR-600d, Osaka, Japan) was used to measure the color of the suncreams. The measurements were tested three times.
The CIELab color space parameters lightness (L*), redness-greenness (a*) and yellowness–blueness (b*) were determined from month 1 to month 9 every two months. The instrument was calibrated with a white ceramic tile.
Sensory Analysis
A sensory test was designed to evaluate the influence of using thermal spring water and natural extracts as ingredients of the suncream preparations. Samples were presented at room temperature in 50-mL flasks, randomly coded with three digits according to UNE-EN ISO 8587:2010 [22].
A total of 18 untrained healthy judges (20–55 years old) agreed to participate as volunteers and completed the questionnaires from each cream sample at time 0 (4 thermal waters, 1 distilled water, and 4 extracts). Only one panelist was discarded, because the questionnaire was incomplete.
Hedonic judgements concerning five appearance attributes (gloss, consistency, color, smell intensity, smell preference), seven skin parameters (spreadability, softness, skin gloss, skin feel, skin smell intensity, skin smell persistence, skin smell preference), and the global preference for each suncream were collected. The intensity of each attribute was rated on a 0–10 scale (0, not detected; 10, high intensity). The sensory attributes were assessed one after the other by the panelists, which was done on the inner side of the forearms. Paper tissues and water were provided for careful skin cleaning and drying before the measurements.
Oxidation Experiments
The emulsions were stored in triplicate in 50-mL glass-capped flasks (room temperature, darkness) during a period of 9 months. The experimental conditions tried to simulate and evaluate the normal oxidation process of a conventional commercial suncream, which, once opened, is used by the consumer during a long period under non-refrigerated storage.
Aliquots of each emulsion were removed periodically to determine their peroxide value and p-anisidine value. The spectrophotometric determination of the peroxide value assay (pV) was performed by mixing one aliquot of emulsion with isooctane:2-propanol (3:2, v/v). Peroxide quantification was carried out in accordance with Díaz et al. [23] using a cumene hydroperoxide standard curve. The spectrophotometric determination of the p-anisidine value (pA) was carried out in accordance with AOCS Cd 18-90 [24]. The total oxidative value (TOTOX) was calculated to assess the oxidative deterioration of the lipids as the sum of the peroxide and p-anisidine values defined above (TOTOX = 2 × pV + pA).
Statistical Analysis
The effect of the use of thermal water and natural antioxidants in the preparation of suncream formulations on hedonic judgements concerning five appearance and seven skin attributes and on global preference were tested using an analysis of variance (ANOVA).
Fisher’s test at a significance level of p < 0.05 was used to determine the statistical differences between the cream samples, based on the characteristics described by the panelists. ANOVA was applied to the descriptive analysis, samples, and the panelists data, followed by a means separation using the Fisher’s test at a 95% significance level. Hierarchical cluster analysis (HCA) and principal component analysis (PCA) were carried out using a Statistica 8.0 program (Stat-Soft, Tulsa, OK, USA).
4. Conclusions
In recent years, consumers of cosmetics have been demanding natural products to substitute synthetic ingredients in cosmetic products. The suitability of thermal spring waters for cosmetic formulations is already known. This work proposes the real application of specific algal extracts and thermal spring waters from Ourense city to formulate a suncream. A sensory test revealed that this suncream was well accepted by consumers. A stability test proved that the cream could be useful to protect creams from lipid oxidation. The Sargassum muticum extract proved its potential application as an antioxidant ingredient for suncreams elaboration.
Acknowledgments
The authors are grateful to the Spanish Ministry of Education and Science for the financial support (CTM2009-12664) and to the Ministry of Economy and Competitiveness (CTM2012-38095), both with partial financial support from the European Union-FEDER. E. Balboa thanks the Spanish Ministry of Education and Science (BES-2010-041807). The authors thank M.C. García, C. Pérez, and M. Estévez for their skilfull technical assistance. The authors would like to thank the Food Technology research group (University of Vigo) for lending them their colorimeter, and they also thank all the volunteers who participated in the cosmetic testing.
Author Contributions
Herminia Dominguez and Elena Falqué conceived the idea of the paper; Enma Conde and Elena Balboa designed the experiments; Enma Conde, Astrid Constenla and Elena Balboa performed the experiments; Herminia Dominguez, Elena Falqué, Enma Conde, and Elena Balboa analyzed the data; Elena Falqué contributed with statistical analysis tools for sensorial analysis; Herminia Dominguez, Elena Falqué and Elena Balboa wrote the paper.
Conflicts of Interest
The authors declare no conflict of interest.
References
- Conti, V.; Corbi, G.; Simeon, V.; Russomanno, G.; Manzo, V.; Ferrara, N.; Filippelli, A. Aging-related changes in oxidative stress response of human endothelial cells. Aging Clin. Exp. Res. 2015, 27, 547–553. [Google Scholar] [CrossRef] [PubMed]
- Pillai, S.; Oresajo, C.; Hayward, J. Ultraviolet radiation and skin aging: Roles of reactive oxygen species, inflammation and protease activation, and strategies for prevention of inflammation-induced matrix degradation—A review. Int. J. Cosmet. Sci. 2005, 27, 17–34. [Google Scholar] [CrossRef] [PubMed]
- Herrling, T.; Jung, K. The Radical Status Factor (RSF): A novel metric to characterize skin products. Int. J. Cosmet. Sci. 2012, 34, 285–290. [Google Scholar] [CrossRef] [PubMed]
- Jorge, A.T.S.; Arroteia, K.F.; Lago, J.C.; De Sá-Rocha, V.M.; Gesztesi, J.; Moreira, P.L. A new potent natural antioxidant mixture provides global protection against oxidative skin cell damage. Int. J. Cosmet. Sci. 2011, 33, 113–119. [Google Scholar] [CrossRef] [PubMed]
- Silva, A.R.; Menezes, P.F.C.; Martinello, T.; Novakovich, G.F.L.; Praes, C.E.; Feferman, I.H. Antioxidant kinetics of plant-derived substances and extracts. Int. J. Cosmet. Sci. 2010, 32, 73–80. [Google Scholar] [CrossRef] [PubMed]
- Silva, A.R.; Seidl, C.; Furusho, A.S.; Boeno, M.M.S.; Dieamant, G.C.; Weffort-Santos, A.M. In vitro evaluation of the efficacy of commercial green tea extracts in UV protection. Int. J. Cosmet. Sci. 2013, 35, 69–77. [Google Scholar] [CrossRef] [PubMed]
- Saraf, S.; Kaur, C. Phytoconstituents as photoprotective novel cosmetic formulations. Pharmacogn. Rev. 2010, 4, 1–11. [Google Scholar] [CrossRef] [PubMed]
- Di Mambro, V.M.; Fonseca, M.J.V. Assays of physical stability and antioxidant activity of a topical formulation added with different plant extracts. J. Pharm. Biomed. Anal. 2005, 37, 287–295. [Google Scholar] [CrossRef] [PubMed]
- Balboa, E.M.; Moure, A.; Domínguez, H. Valorization of Sargassum muticum biomass according to the biorefinery concept. Mar. Drugs 2015, 13, 3745–3760. [Google Scholar] [CrossRef] [PubMed]
- Balboa, E.M.; Soto, M.L.; Nogueira, D.R.; González-López, N.; Conde, E.; Moure, A.; Vinardell, M.P.; Mitjans, M.; Domínguez, H. Potential of antioxidant extracts produced by aqueous processing of renewable resources for the formulation of cosmetics. Ind. Crop. Prod. 2014, 58, 104–110. [Google Scholar] [CrossRef]
- Balboa, E.M.; Li, Y.X.; Ahn, B.N.; Eom, S.H.; Domínguez, H.; Jiménez, C.; Rodríguez, J. Photodamage attenuation effect by a tetraprenyltoluquinol chromane meroterpenoid isolated from Sargassum muticum. J. Photochem. Photobiol. B 2015, 148, 51–58. [Google Scholar] [CrossRef] [PubMed]
- Nunes, S.; Tamura, B.M. A historical review of mineral water. Surg. Cosmet. Dermatol. 2012, 4, 252–258. [Google Scholar]
- Seite, S. Thermal waters as cosmeceuticals: La Roche-Posay thermal spring water example. Clin. Cosmet. Investig. Dermatol. 2013, 6, 23–28. [Google Scholar] [CrossRef] [PubMed]
- Ghersetich, I.; Brazzini, B.; Hercogova, J.; Lotti, T.M. Mineral waters: Instead of cosmetics or better than cosmetics? Clin. Dermatol. 2001, 19, 478–482. [Google Scholar] [CrossRef]
- Matz, H.; Orion, E.; Wolf, R. Balneotherapy in dermatology. Dermatol. Ther. 2003, 16, 132–140. [Google Scholar] [CrossRef] [PubMed]
- Nappi, G.; De Luca, S.; Magrassi, P.; Benedetti, S.; Cocchi, M.; Mattina, R. Effects of oral administration of the “LETE” mineral water on Reactive Oxygen Metabolites (ROM) and on Biological Antioxidant Potential (BAP). Prog. Nutr. 2011, 13, 91–98. [Google Scholar]
- Oláh, M.; Koncz, Á.; Fehér, J.; Kálmánczhey, J.; Olah, C.; Nagy, G.; Bender, T. The effect of balneotherapy on antioxidant, inflammatory, and metabolic indices in patients with cardiovascular risk factors (hypertension and obesity)-A randomised, controlled, follow-up study. Contemp. Clin. Trials 2011, 32, 793–801. [Google Scholar] [CrossRef] [PubMed]
- Delgado-Outeiriño, I.; Araújo-Nespereira, P.; Cid-Fernández, J.A.; Mejuto, J.C.; Martínez-Carballo, E.; Simal-Gándara, J. Behaviour of thermal waters through granite rocks based on residence time and inorganic pattern. J. Hydrol. 2009, 373, 329–336. [Google Scholar] [CrossRef]
- Gomes, C.D.S.F. Naturotherapies based on minerals. Geomaterials 2013, 3, 1–14. [Google Scholar] [CrossRef]
- Braga, P.C.; Dal Sasso, M.; Culici, M.; Spallino, A.; Marabini, L.; Bianchi, T.; Nappi, G. Effects of sulphurous water on human neutrophil elastase release. Ther. Adv. Respir. Dis. 2010, 4, 333–340. [Google Scholar] [CrossRef] [PubMed]
- Guillén, M.D.; Cabo, N. Fourier transform infrared spectra data versus peroxide and anisidine values to determine oxidative stability of edible oils. Food Chem. 2002, 77, 503–510. [Google Scholar] [CrossRef]
- UNE-EN ISO 8587:2010. Sensory Analysis. Methodology. Ranking. In Análisis Sensorial, 2nd ed.; AENOR: Madrid, Spain, 2010; p. 239. Available online: http://www.en.aenor.es/aenor/normas/normas/fichanorma.asp?tipo=N&codigo=N0045392 (accessed on 2 May 2017).
- Díaz, M.; Dunn, C.M.; McClements, J.; Decker, E.A. Use of caseinophospho-peptides as natural antioxidants in oil-in-water emulsions. J. Agric. Food Chem. 2003, 51, 2365–2370. [Google Scholar] [CrossRef] [PubMed]
- AOCS Official Method Cd 18-90. In Official Methods and Recommended Practices of the American Oil Chemists’ Society (AOCS), 4th ed.; Firestone, D. (Ed.) American Oil Chemists’ Society: Champaign, IL, USA, 1989. [Google Scholar]
© 2017 by the authors. Licensee MDPI, Basel, Switzerland. This article is an open access article distributed under the terms and conditions of the Creative Commons Attribution (CC BY) license (http://creativecommons.org/licenses/by/4.0/).







