Comparative Study Between Nanoemulsions and Conventional Emulsions as Carriers of Plant Oils: Formulation Approach, Physicochemical Properties, and In Vitro and In Vivo Assessments for Skin Care Application
Abstract
1. Introduction
2. Materials and Methods
2.1. Materials
2.2. Preparation of Conventional Emulsions (CEs) and Nanoemulsions (NEs)
2.3. Physicochemical Characterization
2.3.1. Optical Microscopy Analysis
2.3.2. Droplet Size Distribution of Conventional Emulsions (CEs) via Static Light Scattering (SLS)
2.3.3. Hydrodynamic Diameter and Polydispersity of Nanoemulsions (NEs) via Dynamic Light Scattering (DLS)
2.3.4. Determination of ζ-Potential of Nanoemulsions (NEs)
2.4. Stability Test of Conventional Emulsions (CEs) and Nanoemulsions (NEs)
2.4.1. Centrifugation Stability Test
2.4.2. Storage Stability Under Various Conditions
2.4.3. Accelerated Aging
2.5. Occlusive Effect Assessment
2.6. Film-Forming Capacity Analysis
2.7. Clinical Evaluation
2.7.1. Assessment of Skin Moisturization
2.7.2. Self-Assessment by Volunteers
2.8. Statistical Analysis
3. Results and Discussion
3.1. Physicochemical Characterization of Conventional Emulsions (CEs) and Nanoemulsions (NEs)
3.1.1. Assessment of Preparation Efficiency of Conventional Emulsions (CEs) and Nanoemulsions (NEs)
3.1.2. Characterization of the Dispersed Phase of Conventional Emulsions (CEs)
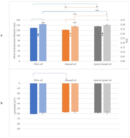
3.1.3. Characterization of the Dispersed Phase of Nanoemulsions (NEs)
3.2. Stability of Conventional Emulsions (CEs) and Nanoemulsions (NEs)
3.2.1. Stability of Conventional Emulsions (CEs)
3.2.2. Stability of Nanoemulsions (NEs)
3.3. Evaluation of the Efficacy of the Samples
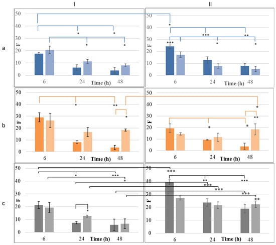
3.3.1. In Vitro Occlusive Effect and Film-Forming Capacity
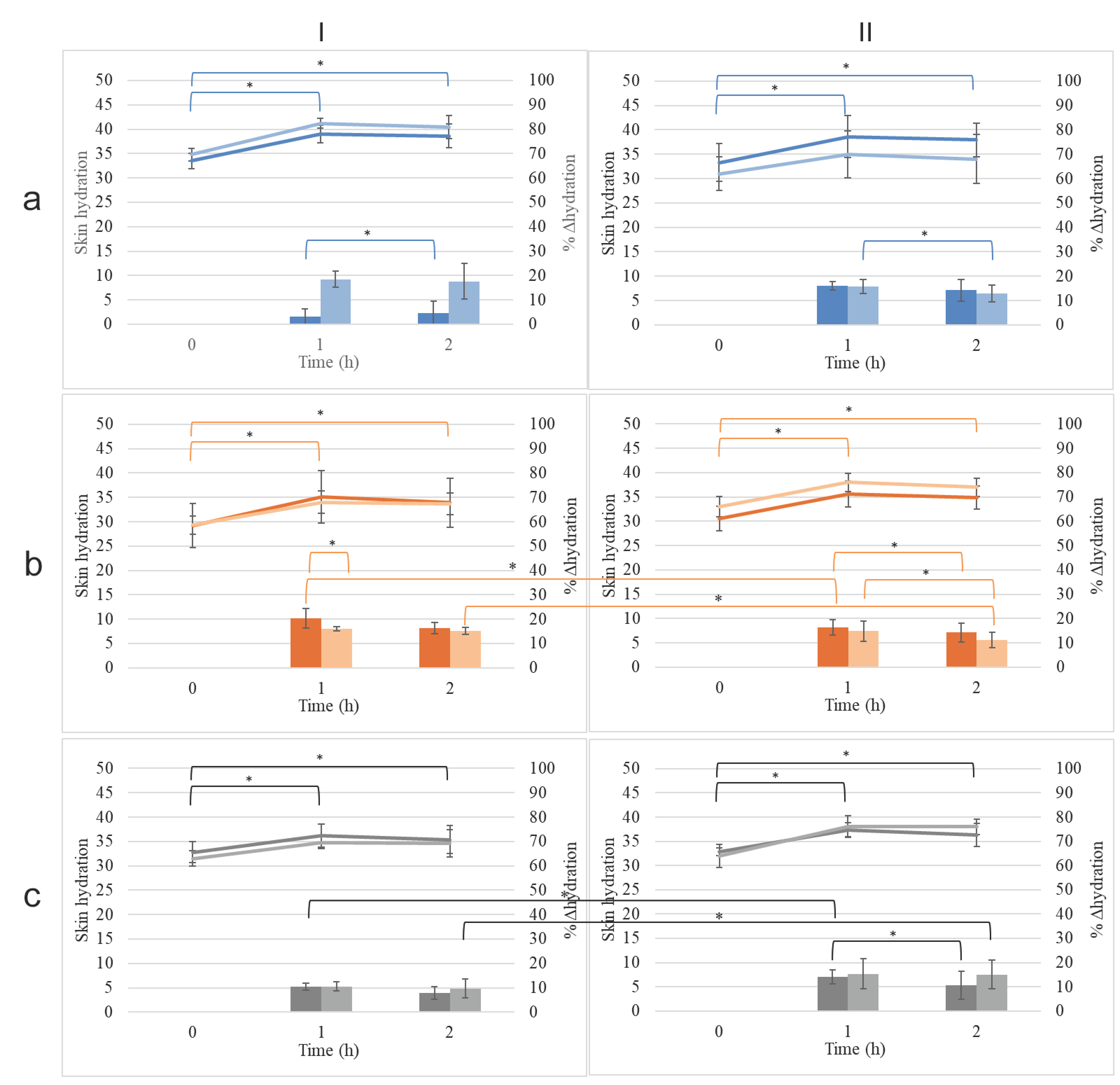
3.3.2. Hydration Effect
3.3.3. Self-Assessment of the Moisturizing Action on the Skin by Volunteers
4. Conclusions
Supplementary Materials
Author Contributions
Funding
Institutional Review Board Statement
Informed Consent Statement
Data Availability Statement
Acknowledgments
Conflicts of Interest
References
- Walker, M. Human Skin through the Ages. Int. J. Pharm. 2022, 622, 121850. [Google Scholar] [CrossRef] [PubMed]
- van Smeden, J.; Bouwstra, J.A. Stratum Corneum Lipids: Their Role for the Skin Barrier Function in Healthy Subjects and Atopic Dermatitis Patients; Karger: Basel, Switzerland, 2016; Volume 49, pp. 8–26. [Google Scholar]
- Kendall, A.C.; Nicolaou, A. Topical Application of Lipids to Correct Abnormalities in the Epidermal Lipid Barrier. Br. J. Dermatol. 2022, 186, 764–765. [Google Scholar] [CrossRef] [PubMed]
- Raina, N.; Rani, R.; Thakur, V.K.; Gupta, M. New Insights in Topical Drug Delivery for Skin Disorders: From a Nanotechnological Perspective. ACS Omega 2023, 8, 19145–19167. [Google Scholar] [CrossRef] [PubMed]
- Čižinauskas, V.; Elie, N.; Brunelle, A.; Briedis, V. Skin Penetration Enhancement by Natural Oils for Dihydroquercetin Delivery. Molecules 2017, 22, 1536. [Google Scholar] [CrossRef]
- Vaughn, A.R.; Clark, A.K.; Sivamani, R.K.; Shi, V.Y. Natural Oils for Skin-Barrier Repair: Ancient Compounds Now Backed by Modern Science. Am. J. Clin. Dermatol. 2018, 19, 103–117. [Google Scholar] [CrossRef]
- Mack Correa, M.C.; Mao, G.; Saad, P.; Flach, C.R.; Mendelsohn, R.; Walters, R.M. Molecular Interactions of Plant Oil Components with Stratum Corneum Lipids Correlate with Clinical Measures of Skin Barrier Function. Exp. Dermatol. 2014, 23, 39–44. [Google Scholar] [CrossRef]
- Souza, C.; de Freitas, L.A.P.; Maia Campos, P.M.B.G. Topical Formulation Containing Beeswax-Based Nanoparticles Improved In Vivo Skin Barrier Function. AAPS PharmSciTech 2017, 18, 2505–2516. [Google Scholar] [CrossRef]
- Soleimanian, Y.; Goli, S.A.H.; Varshosaz, J.; Sahafi, S.M. Formulation and Characterization of Novel Nanostructured Lipid Carriers Made from Beeswax, Propolis Wax and Pomegranate Seed Oil. Food Chem. 2018, 244, 83–92. [Google Scholar] [CrossRef]
- de Souza, I.D.L.; Saez, V.; de Campos, V.E.B.; Nascimento, M.R.; Mansur, C.R.E. Multiple Response Optimization of Beeswax-Based Nanostructured Lipid Carriers for the Controlled Release of Vitamin E. J. Nanosci. Nanotechnol. 2020, 20, 31–41. [Google Scholar] [CrossRef]
- Otto, A.; du Plessis, J. The Effects of Emulsifiers and Emulsion Formulation Types on Dermal and Transdermal Drug Delivery. In Percutaneous Penetration Enhancers Chemical Methods in Penetration Enhancement; Springer: Berlin/Heidelberg, Germany, 2015; pp. 223–241. [Google Scholar]
- Iliopoulos, F.; Sil, B.C.; Evans, C.L. The Role of Excipients in Promoting Topical and Transdermal Delivery: Current Limitations and Future Perspectives. Front. Drug Deliv. 2022, 2, 1049848. [Google Scholar] [CrossRef]
- Ruela, A.L.M.; Perissinato, A.G.; Lino, M.E.d.S.; Mudrik, P.S.; Pereira, G.R. Evaluation of Skin Absorption of Drugs from Topical and Transdermal Formulations. Braz. J. Pharm. Sci. 2016, 52, 527–544. [Google Scholar] [CrossRef]
- Preeti; Sambhakar, S.; Malik, R.; Bhatia, S.; Al Harrasi, A.; Rani, C.; Saharan, R.; Kumar, S.; Geeta; Sehrawat, R. Nanoemulsion: An Emerging Novel Technology for Improving the Bioavailability of Drugs. Scientifica 2023, 2023, 6640103. [Google Scholar] [CrossRef]
- Mason, T.G.; Wilking, J.N.; Meleson, K.; Chang, C.B.; Graves, S.M. Nanoemulsions: Formation, Structure, and Physical Properties. J. Phys. Condens. Matter 2006, 18, R635–R666. [Google Scholar] [CrossRef]
- Florentino, A.C. Development of Babassu Oil Based Nanoemulsions. Lat. Am. J. Pharm. 2014, 34, 338–343. [Google Scholar]
- López-García, R.; Ganem-Rondero, A. Solid Lipid Nanoparticles (SLN) and Nanostructured Lipid Carriers (NLC): Occlusive Effect and Penetration Enhancement Ability. J. Cosmet. Dermatol. Sci. Appl. 2015, 5, 62–72. [Google Scholar] [CrossRef]
- Deli, G.; Hatziantoniou, S.; Nikas, Y.; Demetzos, C. Solid Lipid Nanoparticles and Nanoemulsions Containing Ceramides: Preparation and Physicochemical Characterization. J. Liposome Res. 2009, 19, 180–188. [Google Scholar] [CrossRef]
- Öztürk, B. Nanoemulsions for Food Fortification with Lipophilic Vitamins: Production Challenges, Stability, and Bioavailability. Eur. J. Lipid Sci. Technol. 2017, 119, 1500539. [Google Scholar] [CrossRef]
- Joung, H.J.; Choi, M.; Kim, J.T.; Park, S.H.; Park, H.J.; Shin, G.H. Development of Food-Grade Curcumin Nanoemulsion and Its Potential Application to Food Beverage System: Antioxidant Property and In Vitro Digestion. J. Food Sci. 2016, 81, N745–N753. [Google Scholar] [CrossRef]
- Mehmood, T.; Ahmad, A.; Ahmed, A.; Ahmed, Z. Optimization of Olive Oil Based O/W Nanoemulsions Prepared through Ultrasonic Homogenization: A Response Surface Methodology Approach. Food Chem. 2017, 229, 790–796. [Google Scholar] [CrossRef]
- Nourbehesht, N.; Shekarchizadeh, H.; Soltanizadeh, N. Investigation of Stability, Consistency, and Oil Oxidation of Emulsion Filled Gel Prepared by Inulin and Rice Bran Oil Using Ultrasonic Radiation. Ultrason. Sonochem. 2018, 42, 585–593. [Google Scholar] [CrossRef]
- Klang, V.; Valenta, C. Lecithin-Based Nanoemulsions. J. Drug Deliv. Sci. Technol. 2011, 21, 55–76. [Google Scholar] [CrossRef]
- Silva, H.D.; Cerqueira, M.Â.; Vicente, A.A. Erratum to: Nanoemulsions for Food Applications: Development and Characterization. Food Bioprocess Tech. 2014, 7, 306. [Google Scholar] [CrossRef]
- Heurtault, B. Physico-Chemical Stability of Colloidal Lipid Particles. Biomaterials 2003, 24, 4283–4300. [Google Scholar] [CrossRef] [PubMed]
- Gupta, A.; Eral, H.B.; Hatton, T.A.; Doyle, P.S. Nanoemulsions: Formation, Properties and Applications. Soft Matter 2016, 12, 2826–2841. [Google Scholar] [CrossRef] [PubMed]
- Solans, C.; Solé, I. Nano-Emulsions: Formation by Low-Energy Methods. Curr. Opin. Colloid Interface Sci. 2012, 17, 246–254. [Google Scholar] [CrossRef]
- McClements, D.J. Nanoemulsions versus Microemulsions: Terminology, Differences, and Similarities. Soft Matter 2012, 8, 1719–1729. [Google Scholar] [CrossRef]
- Tadros, T.; Izquierdo, P.; Esquena, J.; Solans, C. Formation and Stability of Nano-Emulsions. Adv. Colloid. Interface Sci. 2004, 108, 303–318. [Google Scholar] [CrossRef]
- Agostinho, L.; Rocha-Filho, P. Preparation and Characterization of a Topical Delivery System for Nanoemulsions Using a Composite Film of Pectin and Tapioca. Cosmetics 2024, 11, 63. [Google Scholar] [CrossRef]
- Yang, M.; Gu, Y.; Yang, D.; Tang, X.; Liu, J. Development of Triptolide-Nanoemulsion Gels for Percutaneous Administration: Physicochemical, Transport, Pharmacokinetic and Pharmacodynamic Characteristics. J. Nanobiotechnol. 2017, 15, 88. [Google Scholar] [CrossRef]
- Ghasemiyeh, P.; Mohammadi-Samani, S. Potential of Nanoparticles as Permeation Enhancers and Targeted Delivery Options for Skin: Advantages and Disadvantages. Drug Des. Dev. Ther. 2020, 14, 3271–3289. [Google Scholar] [CrossRef]
- Blaak, J.; Staib, P. An Updated Review on Efficacy and Benefits of Sweet Almond, Evening Primrose and Jojoba Oils in Skin Care Applications. Int. J. Cosmet. Sci. 2022, 44, 1–9. [Google Scholar] [CrossRef] [PubMed]
- Goyal, N.; Jerold, F. Biocosmetics: Technological Advances and Future Outlook. Environ. Sci. Pollut. Res. 2021, 30, 25148–25169. [Google Scholar] [CrossRef] [PubMed]
- Elmowafy, M.; Musa, A.; Alnusaire, T.S.; Shalaby, K.; Fouda, M.M.A.; Salama, A.; Al-Sanea, M.M.; Abdelgawad, M.A.; Gamal, M.; Fouad, S.A. Olive Oil/Pluronic Oleogels for Skin Delivery of Quercetin: In Vitro Characterization and Ex Vivo Skin Permeability. Polymers 2021, 13, 1808. [Google Scholar] [CrossRef] [PubMed]
- Sousa, G.; De Souza Dantas, I.; De Santana, D.; Leal, L. New Oils for Cosmetic O/W Emulsions: In Vitro/In Vivo Evaluation. Cosmetics 2018, 5, 6. [Google Scholar] [CrossRef]
- Somwongin, S.; Chaiyana, W. Clinical Efficacy in Skin Hydration and Reducing Wrinkles of Nanoemulsions Containing Macadamia Integrifolia Seed Oil. Nanomaterials 2024, 14, 724. [Google Scholar] [CrossRef]
- Pavlou, P.; Siamidi, A.; Varvaresou, A.; Vlachou, M. Skin Care Formulations and Lipid Carriers as Skin Moisturizing Agents. Cosmetics 2021, 8, 89. [Google Scholar] [CrossRef]
- Dănilă, E.; Moldovan, Z.; Albu Kaya, M.G.; Ghica, M.V. Formulation and Characterization of Some Oil in Water Cosmetic Emulsions Based on Collagen Hydrolysate and Vegetable Oils Mixtures. Pure Appl. Chem. 2019, 91, 1493–1507. [Google Scholar] [CrossRef]










| Component (INCI) | eWOL | eWAL | eWAPR | eCOL | eCAL | eCAPR | nWOL | nWAL | nWAPR | nCOL | nCAL | nCAPR |
|---|---|---|---|---|---|---|---|---|---|---|---|---|
| Solid Lipid | ||||||||||||
| Beeswax | 0.20 | 0.20 | 0.20 | – | – | – | 0.20 | 0.20 | 0.20 | – | – | – |
| Theobroma cacao (Cocoa) Seed Butter | – | – | – | 1.00 | 1.00 | 1.00 | – | – | – | 1.00 | 1.00 | 1.00 |
| Plant Oil (Liquid Lipid) | ||||||||||||
| Olea europaea (Olive) Fruit Oil | 2.80 | – | – | 1.00 | – | – | 2.80 | – | – | 1.00 | – | – |
| Prunus amygdalus dulcis (Almond) Oil | – | 2.80 | – | – | 1.00 | – | – | 2.80 | – | – | 1.00 | – |
| Prunus armeniaca (Apricot) Kernel Oil | – | – | 2.80 | – | – | 1.00 | – | – | 2.80 | – | – | 1.00 |
| Emulsifiers | ||||||||||||
| Lecithin | 3.00 | 3.00 | 3.00 | 3.00 | 3.00 | 3.00 | 3.00 | 3.00 | 3.00 | 3.00 | 3.00 | 3.00 |
| PEG-15 Hydroxystearate | 1.44 | 1.44 | 1.44 | 1.44 | 1.44 | 1.44 | 1.44 | 1.44 | 1.44 | 1.44 | 1.44 | 1.44 |
| Aqua (Water) q.s. ad | 100.00 | 100.00 | 100.00 | 100.00 | 100.00 | 100.00 | 100.00 | 100.00 | 100.00 | 100.00 | 100.00 | 100.00 |
Disclaimer/Publisher’s Note: The statements, opinions and data contained in all publications are solely those of the individual author(s) and contributor(s) and not of MDPI and/or the editor(s). MDPI and/or the editor(s) disclaim responsibility for any injury to people or property resulting from any ideas, methods, instructions or products referred to in the content. |
© 2025 by the authors. Licensee MDPI, Basel, Switzerland. This article is an open access article distributed under the terms and conditions of the Creative Commons Attribution (CC BY) license (https://creativecommons.org/licenses/by/4.0/).
Share and Cite
Liakopoulou, A.; Letsiou, S.; Avgoustakis, K.; Hatziantoniou, S. Comparative Study Between Nanoemulsions and Conventional Emulsions as Carriers of Plant Oils: Formulation Approach, Physicochemical Properties, and In Vitro and In Vivo Assessments for Skin Care Application. Cosmetics 2025, 12, 102. https://doi.org/10.3390/cosmetics12030102
Liakopoulou A, Letsiou S, Avgoustakis K, Hatziantoniou S. Comparative Study Between Nanoemulsions and Conventional Emulsions as Carriers of Plant Oils: Formulation Approach, Physicochemical Properties, and In Vitro and In Vivo Assessments for Skin Care Application. Cosmetics. 2025; 12(3):102. https://doi.org/10.3390/cosmetics12030102
Chicago/Turabian StyleLiakopoulou, Angeliki, Sophia Letsiou, Konstantinos Avgoustakis, and Sophia Hatziantoniou. 2025. "Comparative Study Between Nanoemulsions and Conventional Emulsions as Carriers of Plant Oils: Formulation Approach, Physicochemical Properties, and In Vitro and In Vivo Assessments for Skin Care Application" Cosmetics 12, no. 3: 102. https://doi.org/10.3390/cosmetics12030102
APA StyleLiakopoulou, A., Letsiou, S., Avgoustakis, K., & Hatziantoniou, S. (2025). Comparative Study Between Nanoemulsions and Conventional Emulsions as Carriers of Plant Oils: Formulation Approach, Physicochemical Properties, and In Vitro and In Vivo Assessments for Skin Care Application. Cosmetics, 12(3), 102. https://doi.org/10.3390/cosmetics12030102

