The Effect of Cosmetic Ingredients of Phenol Type on Immediate Pigment Darkening and Their (Photo)Protective Action in Association with Melanin Pigmentation: A Model In Vitro Study
Abstract
1. Introduction
2. Materials and Methods
2.1. Material
2.2. Methods
2.3. Photosensitized Oxidation of DHI and DHICA
2.4. Lipid Photooxidation
2.5. Ferrous Oxidation Xylenol Orange (FOX) Assay
2.6. Photoinduced Decay of Free or DNA Thymine
2.7. Photoinduced DNA damage
3. Results and Discussion
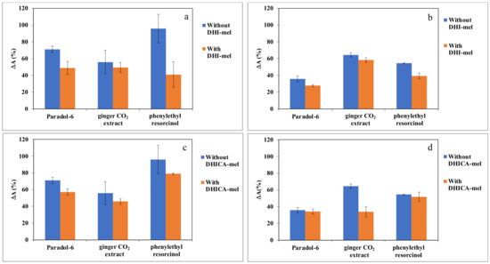
3.1. In Vitro Model of IPD: Photosensitized Oxidation of Melanogenic Indoles and Effects of the CIs
Mechanistic Insights
3.2. Photosensitized Lipid Peroxidation
- type I mechanism: the generation of radicals via electron transfer or hydrogen abstraction;
- type II mechanism: energy transfer from the triplet state of the photosensitizer to the molecular oxygen to form 1O2.
3.2.1. Effects of CIs on the Photooxidation of Linoleic acid and Assessment of the Role of Melanins
3.2.2. Soybean Phosphatidylcholine Liposome Peroxidation under Solar Simulator Irradiation
3.3. Photoinduced Decay of Thymine by UV Irradiation
3.3.1. Effects of CIs on the Photoinduced Thymine Decay and Assessment of the Role of Melanins
3.3.2. Effect of CIs on Photoinduced DNA Damage
4. Conclusions
Supplementary Materials
Author Contributions
Funding
Institutional Review Board Statement
Informed Consent Statement
Data Availability Statement
Conflicts of Interest
References
- Briganti, S.; Camera, E.; Picardo, M. Chemical and Instrumental Approaches to Treat Hyperpigmentation. Pigment Cell Res. 2003, 16, 101–110. [Google Scholar] [CrossRef] [PubMed]
- Hönigsmann, H.; Schuler, G.; Aberer, W.; Romani, N.; Wolff, K. Immediate Pigment Darkening Phenomenon. A Reevaluation of Its Mechanisms. J. Investig. Dermatol. 1986, 87, 648–652. [Google Scholar] [CrossRef] [PubMed]
- Gilchrest, B.A.; Park, H.Y.; Eller, M.S.; Yaar, M. Mechanisms of Ultraviolet Light-Induced Pigmentation. Photochem. Photobiol. 1996, 63, 1–10. [Google Scholar] [CrossRef] [PubMed]
- Lin, J.Y.; Fisher, D.E. Melanocyte Biology and Skin Pigmentation. Nature 2007, 445, 843–850. [Google Scholar] [CrossRef]
- Mahmoud, B.H.; Ruvolo, E.; Hexsel, C.L.; Liu, Y.; Owen, M.R.; Kollias, N.; Lim, H.W.; Hamzavi, I.H. Impact of Long-Wavelength UVA and Visible Light on Melanocompetent Skin. J. Investig. Dermatol. 2010, 130, 2092–2097. [Google Scholar] [CrossRef]
- Takeuchi, S.; Zhang, W.; Wakamatsu, K.; Ito, S.; Hearing, V.J.; Kraemer, K.H.; Brash, D.E. Melanin Acts as a Potent UVB Photosensitizer to Cause an Atypical Mode of Cell Death in Murine Skin. Proc. Natl. Acad. Sci. USA 2004, 101, 15076–15081. [Google Scholar] [CrossRef]
- Chiarelli-Neto, O.; Ferreira, A.S.; Martins, W.K.; Pavani, C.; Severino, D.; Faião-Flores, F.; Maria-Engler, S.S.; Aliprandini, E.; Martinez, G.R.; di Mascio, P.; et al. Melanin Photosensitization and the Effect of Visible Light on Epithelial Cells. PLoS One 2014, 9, e113266. [Google Scholar] [CrossRef]
- Vile, G.F.; Tyrrell, R.M. Uva radiation-induced oxidative damage to lipids and proteins in vitro and in human skin fibroblasts is dependent on iron and singlet oxygen. Free Radic. Biol. Med. 1995, 18, 721–730. [Google Scholar] [CrossRef]
- Berneburg, M.; Grether-Beck, S.; Kü Rten, V.; Ruzicka, T.; Briviba, K.; Sies, H.; Krutmann, J. Singlet Oxygen Mediates the UVA-Induced Generation of the Photoaging-Associated Mitochondrial Common Deletion. J. Biol. Chem. 1999, 274, 15345–15349. [Google Scholar] [CrossRef]
- Szewczyk, G.; Zadlo, A.; Sarna, M.; Ito, S.; Wakamatsu, K.; Sarna, T. Aerobic Photoreactivity of Synthetic Eumelanins and Pheomelanins: Generation of Singlet Oxygen and Superoxide Anion. Pigment Cell Melanoma Res. 2016, 29, 669–678. [Google Scholar] [CrossRef]
- Hanson, K.M.; Gratton, E.; Bardeen, C.J. Sunscreen Enhancement of UV-Induced Reactive Oxygen Species in the Skin. Free Radic. Biol. Med. 2006, 41, 1205–1212. [Google Scholar] [CrossRef]
- Funasaka, Y.; Komoto, M.; Ichihashi, M. Depigmenting Effect of α-Tocopheryl Ferulate on Normal Human Melanocytes. Pigment Cell Res. 2000, 13, 170–174. [Google Scholar] [CrossRef]
- Wang, Y.; Hao, M.M.; Sun, Y.; Wang, L.F.; Wang, H.; Zhang, Y.J.; Li, H.Y.; Zhuang, P.W.; Yang, Z. Synergistic Promotion on Tyrosinase Inhibition by Antioxidants. Molecules 2018, 23, 106. [Google Scholar] [CrossRef]
- Kim, Y.J.; Kyung, J.; Hyeon, J.; Chung, H.Y. 4,4-Dihydroxybiphenyl as a New Potent Tyrosinase Inhibitor. Biol. Pharm. Bull. 2005, 28, 323–327. [Google Scholar] [CrossRef]
- Manach, C.; Scalbert, A.; Morand, C.; Rémésy, C.; Jiménez, L. Polyphenols: Food Sources and Bioavailability 1,2. Am. J. Clin. Nutr. 2004, 79, 727–774. [Google Scholar] [CrossRef]
- Nerya, O.; Vaya, J.; Musa, R.; Izrael, S.; Ben-Arie, R.; Tamir, S. Glabrene and Isoliquiritigenin as Tyrosinase Inhibitors from Licorice Roots. J. Agric. Food Chem. 2003, 51, 1201–1207. [Google Scholar] [CrossRef]
- Panzella, L.; Napolitano, A. Natural and Bioinspired Phenolic Compounds as Tyrosinase Inhibitors for the Treatment of Skin Hyperpigmentation: Recent Advances. Cosmetics 2019, 6, 57. [Google Scholar] [CrossRef]
- Mao, Q.Q.; Xu, X.Y.; Cao, S.Y.; Gan, R.Y.; Corke, H.; Beta, T.; Li, H.B. Bioactive Compounds and Bioactivities of Ginger (Zingiber Officinale Roscoe). Foods 2019, 8, 185. [Google Scholar] [CrossRef]
- Crescenzi, O.; Napolitano, A.; Prota, G.; Peter, M.G. Oxidative Coupling of DOPA with Resorcinol and Phloroglucinol: Isolation of Adducts with an Unusual Tetrahydromethanobenzofuro(2,3-d) Azocine Skeleton. Tetrahedron 1991, 41, 6243–6250. [Google Scholar] [CrossRef]
- Kolbe, L.; Mann, T.; Gerwat, W.; Batzer, J.; Ahlheit, S.; Scherner, C.; Wenck, H.; Stäb, F. 4-n-Butylresorcinol, a Highly Effective Tyrosinase Inhibitor for the Topical Treatment of Hyperpigmentation. J. Eur. Acad. Dermatol. Venereol. 2013, 27, 19–23. [Google Scholar] [CrossRef]
- Kang, M.; Park, S.H.; Park, S.J.; Oh, S.W.; Yoo, J.A.; Kwon, K.; Kim, J.; Yu, E.; Cho, J.Y.; Lee, J. P44/42 MAPK Signaling Is a Prime Target Activated by Phenylethyl Resorcinol in Its Anti-Melanogenic Action. Phytomedicine 2019, 58, 152877. [Google Scholar] [CrossRef] [PubMed]
- D’Ischia, M.; Napolitano, A.; Pezzella, A.; Land, E.J.; Ramsden, C.A.; Riley, P.A. 5,6-Dihydroxyindoles and Indole-5,6-Diones. Adv. in Heterocycl. Chem. 2005, 89, 1–63. [Google Scholar] [CrossRef]
- D’Ischia, M.; Wakamatsu, K.; Napolitano, A.; Briganti, S.; Garcia-Borron, J.C.; Kovacs, D.; Meredith, P.; Pezzella, A.; Picardo, M.; Sarna, T.; et al. Melanins and Melanogenesis: Methods, Standards, Protocols. Pigment Cell Melanoma Res. 2013, 26, 616–633. [Google Scholar] [CrossRef] [PubMed]
- Liberti, D.; Alfieri, M.L.; Monti, D.M.; Panzella, L.; Napolitano, A. A Melanin-Related Phenolic Polymer with Potent Photoprotective and Antioxidant Activities for Dermo-Cosmetic Applications. Antioxidants 2020, 9, 270. [Google Scholar] [CrossRef] [PubMed]
- Wondrak, G.T.; Jacobson, M.K.; Jacobson, E.L. Endogenous UVA-Photosensitizers: Mediators of Skin Photodamage and Novel Targets for Skin Photoprotection. Photochem. Photobiol. Sci. 2006, 5, 215–237. [Google Scholar] [CrossRef]
- Allen, J.M.; Engenolf, S.; Allen, S.K. Rapid Reaction of Singlet Molecular Oxygen (1O2) with p-Aminobenzoic Acid (PABA) in Aqueous Solution. Biochem. Biophys. Res. Commun. 1995, 212, 1145–1151. [Google Scholar] [CrossRef]
- Hu, M.-L.; Chen, Y.-K.; Chen, L.-C.; Sane, M. Para-Aminobenzoic Acid Scavenges Reactive Oxygen Species and Protects DNA against UV and Free Radical Damage. J. Nutr. Biochem 1995, 6, 504–508. [Google Scholar] [CrossRef]
- Thomas, A.H.; Catalá, Á.; Vignoni, M. Soybean Phosphatidylcholine Liposomes as Model Membranes to Study Lipid Peroxidation Photoinduced by Pterin. Biochim. Biophys. Acta-Biomembr. 2016, 1858, 139–145. [Google Scholar] [CrossRef]
- Bosca, F.; Miranda, M.A.; Morera, I.M.; Samadí, A. Involvement of Type I and Type II Mechanisms in the Linoleic Acid Peroxidation Photosensitized by Tiaprofenic Acid. J. Photochem. Photobiol. B 2000, 58, 1–5. [Google Scholar] [CrossRef]
- Domingues, M.R.M.; Simões, C.; da Costa, J.P.; Reis, A.; Domingues, P. Identification of 1-Palmitoyl-2-Linoleoyl-Phosphatidylethanolamine Modifications under Oxidative Stress Conditions by LC-MS/MS. Biomed. Chromatogr. 2009, 23, 588–601. [Google Scholar] [CrossRef]
- Gruber, F.; Bicker, W.; Oskolkova, O.V.; Tschachler, E.; Bochkov, V.N. A Simplified Procedure for Semi-Targeted Lipidomic Analysis of Oxidized Phosphatidylcholines Induced by UVA Irradiation. J. Lipid Res. 2012, 53, 1232–1242. [Google Scholar] [CrossRef]
- Fischer, B.B.; Krieger-Liszkay, A.; Eggen, R.I.L. Photosensitizers Neutral Red (Type I) and Rose Bengal (Type II) Cause Light-Dependent Toxicity in Chlamydomonas Reinhardtii and Induce the Gpxh Gene via Increased Singlet Oxygen Formation. Environ. Sci. Technol. 2004, 38, 6307–6313. [Google Scholar] [CrossRef]
- Panzella, L.; Gentile, G.; D’Errico, G.; della Vecchia, N.F.; Errico, M.E.; Napolitano, A.; Carfagna, C.; D’Ischia, M. Atypical Structural and π-Electron Features of a Melanin Polymer That Lead to Superior Free-Radical-Scavenging Properties. Angew. Chem. Int. Ed. Engl. 2013, 52, 12684–12687. [Google Scholar] [CrossRef]
- Micillo, R.; Panzella, L.; Koike, K.; Monfrecola, G.; Napolitano, A.; D’Ischia, M. “Fifty Shades” of Black and Red or How Carboxyl Groups Fine Tune Eumelanin and Pheomelanin Properties. Int. J. Mol. Sci. 2016, 17, 746. [Google Scholar] [CrossRef]
- Jiang, Z.-Y.; Hunt, J.V.; Wolff, S.P. Ferrous Ion Oxidation in the Presence of Xylenol Orange for Detection of Lipid Hydroperoxide in Low Density Lipoprotein. Anal. Biochem. 1992, 202, 384–389. [Google Scholar] [CrossRef]
- Ahmad, I.; Arsalan, A.; Ali, S.A.; Sheraz, M.A.; Ahmed, S.; Anwar, Z.; Munir, I.; Shah, M.R. Formulation and Stabilization of Riboflavin in Liposomal Preparations. J. Photochem. Photobiol. B Biol. 2015, 153, 358–366. [Google Scholar] [CrossRef]
- Zhang, L.; Hu, Y. Determination of Laser-Induced Thymine-Thymine Dimer in DNA by LC. J. Pharm. Biomed. Anal. 2002, 29, 95–102. [Google Scholar] [CrossRef]











Disclaimer/Publisher’s Note: The statements, opinions and data contained in all publications are solely those of the individual author(s) and contributor(s) and not of MDPI and/or the editor(s). MDPI and/or the editor(s) disclaim responsibility for any injury to people or property resulting from any ideas, methods, instructions or products referred to in the content. |
© 2023 by the authors. Licensee MDPI, Basel, Switzerland. This article is an open access article distributed under the terms and conditions of the Creative Commons Attribution (CC BY) license (https://creativecommons.org/licenses/by/4.0/).
Share and Cite
Viggiano, S.; Panzella, L.; Reichenbach, M.; Hans, J.; Napolitano, A. The Effect of Cosmetic Ingredients of Phenol Type on Immediate Pigment Darkening and Their (Photo)Protective Action in Association with Melanin Pigmentation: A Model In Vitro Study. Cosmetics 2023, 10, 22. https://doi.org/10.3390/cosmetics10010022
Viggiano S, Panzella L, Reichenbach M, Hans J, Napolitano A. The Effect of Cosmetic Ingredients of Phenol Type on Immediate Pigment Darkening and Their (Photo)Protective Action in Association with Melanin Pigmentation: A Model In Vitro Study. Cosmetics. 2023; 10(1):22. https://doi.org/10.3390/cosmetics10010022
Chicago/Turabian StyleViggiano, Sara, Lucia Panzella, Maria Reichenbach, Joachim Hans, and Alessandra Napolitano. 2023. "The Effect of Cosmetic Ingredients of Phenol Type on Immediate Pigment Darkening and Their (Photo)Protective Action in Association with Melanin Pigmentation: A Model In Vitro Study" Cosmetics 10, no. 1: 22. https://doi.org/10.3390/cosmetics10010022
APA StyleViggiano, S., Panzella, L., Reichenbach, M., Hans, J., & Napolitano, A. (2023). The Effect of Cosmetic Ingredients of Phenol Type on Immediate Pigment Darkening and Their (Photo)Protective Action in Association with Melanin Pigmentation: A Model In Vitro Study. Cosmetics, 10(1), 22. https://doi.org/10.3390/cosmetics10010022

