Predicting Ice Phenomena in a River Using the Artificial Neural Network and Extreme Gradient Boosting
Abstract
:1. Introduction
2. Study Area
3. Materials and Methods
3.1. Classification of Ice Phenomena
3.2. Data Preparation
3.3. Descriptive Statistics of the Frequency of Ice Phenomena
3.4. Prediction Models
Ta + Tw + Q + H + D + Y +
day_before0 + day_before1 + day_before2 + day_before3 +
mo1 + mo2 + mo3 + mo4 + mo5 + mo6
3.4.1. The Multilayer Perceptron Neural Network (MLPNN)
3.4.2. The Extreme Gradient Boosting (XGBoost) Model
3.5. Evaluating the Predictions
4. Results
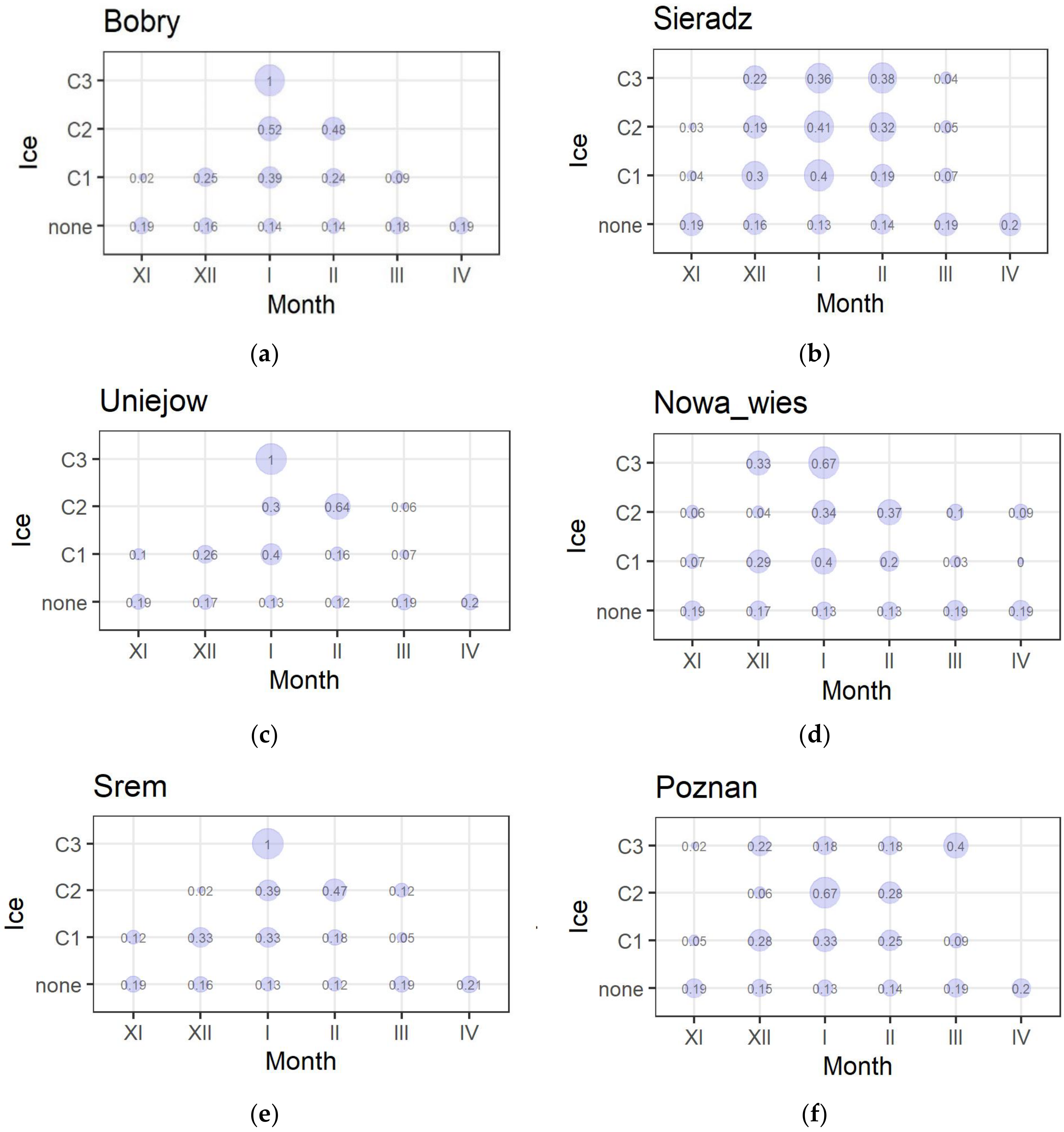
4.1. Probability of Occurrence of Ice Phenomena
4.2. The Relationship between Ice Phenomena and Hydrological Conditions and Thermal Variables
4.3. Predicting Ice Phenomena
4.3.1. Spatial Differences in Model Performance
4.3.2. Evaluation of the Importance of Predictors in the Models
5. Discussion
5.1. Selection of Predictors as Input Variables
5.2. The Most Important Predictor Variables in the Final Model
5.3. The Performance of Predictive Models
6. Conclusions
- (1)
- Both the MLPNN and XGBoost models produced promising results for the forecasting of ice phenomena, which are presented using the four model fit measures.
- (2)
- For highly unbalanced classification problems, as in the case of the analyzed data, the “Balanced Accuracy” is particularly useful, since this statistic depends on both the level of correct prediction of a phenomenon and the level of prediction of the absence of a phenomenon.
- (3)
- The XGBoost turned out to be the best for predicting freeze-up (class 1) and ice cover (class 2 of ice phenomena), and at three water gauges its performance was comparable with that of the NN models, whereas breakup and ice deterioration (class 3) were best predicted by the NN5 model (at five water gauge stations). No dependence of the performance of individual models on the location of water gauges was observed.
- (4)
- The choice of input variables impacts the accuracy of the models developed. The nature of ice phenomenon on the day preceding the observation, as well as water and air temperature values, are important predictors, while river flow and water level were less important for the process of ice phenomena formation. This information was provided by the XGBoost algorithm.
- (5)
- The forecasting of ice phenomena is complicated due to the complex interactions between their determinants. This is confirmed by the types of distribution (unimodal, bimodal), illustrating the relationship between classes of phenomena on the river and hydroclimatic factors and thermal conditions.
Author Contributions
Funding
Institutional Review Board Statement
Informed Consent Statement
Data Availability Statement
Acknowledgments
Conflicts of Interest
References
- Magnuson, J.J.; Robertson, D.; Benson, B.; Wynne, R.; Livingstone, D.; Arai, T.; Assel, R.; Barry, R.; Card, V.; Kuusisto, E.; et al. Historical trends in lake and river ice cover in the northern hemisphere. Science 2000, 289, 1743–1746. [Google Scholar] [CrossRef] [PubMed] [Green Version]
- Hicks, F.; Beltaos, S. River Ice. In Cold Region Atmospheric and Hydrologic Studies. The Mackenzie GEWEX Experience; Woo, M., Ed.; Springer: Berlin/Heidelberg, Germany, 2008. [Google Scholar]
- Zhao, L. River Ice Breakup Forecasting Using Artificial Neural Networks and Fuzzy Logic Systems. Ph.D. Thesis, Department of Civil and Environmental Engineering, University of Alberta, Edmonton, AB, Canada, 2012. [Google Scholar]
- Guo, X.; Wang, T.; Fu, H.; Guo, Y.; Li, J. Ice-jam forecasting during river breakup based on neural network theory. J. Cold Reg. Eng. 2018, 32, 04018010. [Google Scholar] [CrossRef]
- Beltaos, S.; Prowse, T. River-ice hydrology in a shrinking cryosphere. Hydrol. Proc. 2009, 23, 122–144. [Google Scholar] [CrossRef]
- Lindenschmidt, K.-E.; Huokuna, M.; Burrell, B.C.; Beltaos, S. Lessons learned from past ice-jam floods concerning the challenges of flood mapping. Int. J. River Basin Manag. 2018, 16, 457–468. [Google Scholar] [CrossRef]
- Massie, D.D.; White, K.D.; Daly, S.F. Application of neural networks to predict ice jam occurrence. Cold Reg. Sci. Technol. 2002, 35, 115–122. [Google Scholar] [CrossRef]
- Madaeni, F.; Lhissou, R.; Chokmani, K.; Raymond, S.; Gauthier, Y. Ice jam formation, breakup and prediction methods based on hydroclimatic data using artificial intelligence: A review. Cold Reg. Sci. Technol. 2020, 174, 103032. [Google Scholar] [CrossRef]
- Nafziger, J.; She, Y.; Hicks, F. Anchor ice formation and release in small regulated and unregulated streams. J. Cold Reg. Sci. Technol. 2017, 141, 66–77. [Google Scholar] [CrossRef]
- Lindenschmidt, K.-E. RIVICE—A non-proprietary, open-source, one-dimensional river-ice and water-quality model. Water 2017, 9, 314. [Google Scholar] [CrossRef]
- Graf, R.; Tomczyk, A.M. The Impact of cumulative negative air temperature degree-days on the appearance of ice cover on a river in relation to atmospheric circulation. Atmosphere 2018, 9, 204. [Google Scholar] [CrossRef] [Green Version]
- Graf, R. Estimation of the dependence of ice phenomena trends on air and water temperature in river. Water 2020, 12, 3494. [Google Scholar] [CrossRef]
- Kolerski, T. Modeling of ice phenomena in the mouth of the Vistula River. Acta Geophys. 2014, 62, 893–914. [Google Scholar] [CrossRef]
- Shulyakovskii, L.G. Manual of Forecasting Ice-Formation for Rivers and Inland Lakes. Manual of Hydrological Forecasting No. 4; Translated from Russian, Israel Program for Scientific Translations; Central Forecasting Institute of USSR: Jerusalem, Israel, 1963. [Google Scholar]
- Uzuner, M.S.; Kennedy, J.F. Theoretical model of river ice jams. J. Hydraul. Eng. Div. 1976, 102, 1365–1383. [Google Scholar] [CrossRef]
- Yang, X.; Pavelsky, T.M.; Allen, G.H. The past and future of global river ice. Nature 2020, 577, 69–73. [Google Scholar] [CrossRef] [PubMed]
- Weber, F.; Nixon, D.; Hurley, J. Semi-automated classification of river ice types on the Peace River using RADARSAT-1 synthetic aperture radar (SAR) imagery. Can. J. Civil Eng. 2003, 30, 11–27. [Google Scholar] [CrossRef]
- Lindenschmidt, K.; Syrenne, G.; Harrison, R. Measuring ice thicknesses along the Red River in Canada using RADARSAT-2 satellite imagery. J. Water Resour. Prot. 2010, 2, 923–933. [Google Scholar] [CrossRef] [Green Version]
- Kolerski, T. Mathematical modeling of ice dynamics as a decision support tool in river engineering. Water 2018, 10, 1241. [Google Scholar] [CrossRef] [Green Version]
- Mahabir, C.; Hicks, F.; Fayek, A.R. Transferability of a neuro-fuzzy river ice jam flood forecasting model. Cold Reg. Sci. Technol. 2007, 48, 188–201. [Google Scholar] [CrossRef]
- White, K.D.; Daly, S.F. Predicting Ice Jams with Discriminant Function Analysis. In Proceedings of the ASME 2002 21st International Conference on Offshore Mechanics and Arctic Engineering, Oslo, Norway, 23–28 June 2002; Volume 3, pp. 683–690. [Google Scholar]
- Beltaos, S. Numerical modelling of ice-jam flooding on the Peace-Athabasca Delta. Hydrol. Proc. 2003, 17, 3685–3702. [Google Scholar] [CrossRef]
- Shen, H.T. Mathematical modelling of river ice processes. Cold Reg. Sci. Technol. 2010, 621, 3–13. [Google Scholar] [CrossRef]
- Wang, J.; Sui, J.; Guo, L.; Karney, B.W.; Jüpner, R. Forecast of water level and ice jam thickness using the back propagation neural network and support vector machine methods. Int. J. Environ. Sci. Technol. 2010, 7, 215–224. [Google Scholar] [CrossRef] [Green Version]
- Beltaos, S. Progress in the study and management of river ice jams. Cold Reg. Sci. Technol. 2008, 51, 2–19. [Google Scholar] [CrossRef]
- Lindenschmidt, K.-E.; Carstensen, D.; Fröhlich, W.; Hentschel, B.; Iwicki, S.; Kögel, K.; Kubicki, M.; Kundzewicz, Z.W.; Lauschke, C.; Łazarów, A.; et al. Development of an ice-jam flood forecasting system for the lower Oder River—Requirements for real-time predictions of water, ice and sediment transport. Water 2019, 11, 95. [Google Scholar] [CrossRef] [Green Version]
- Sutyrina, E.N. Prediction of spring ice phenomena on lakes and reservoirs using teleconnection indices. Limnol. Freshw. Biol. 2020, 4, 946–947. [Google Scholar] [CrossRef]
- Piotrowski, A.P.; Napiórkowski, M.J.; Napiórkowski, J.J.; Osuch, M. Comparing various artificial neural network types for water temperature prediction in rivers. J. Hydrol. 2015, 529, 302–315. [Google Scholar] [CrossRef]
- Graf, R.; Zhu, S.; Sivakumar, B. Forecasting river water temperature time series using a wavelet–neural network hybrid modelling approach. J. Hydrol. 2019, 578, 124115. [Google Scholar] [CrossRef]
- Zhu, S.; Heddam, S.; Nyarko, E.K.; Hadzima-Nyarko, M.; Piccolroaz, S.; Wu, S. Modeling daily water temperature for rivers: Comparison between adaptive neurofuzzy inference systems and artificial neural networks models. Environ. Sci. Pollut. Res. 2019, 26, 402–420. [Google Scholar] [CrossRef]
- Morse, B.; Hessami, M.; Bourel, C. Mapping environmental conditions in the St. Lawrence River onto ice parameters using artificial neural networks to predict ice jams. Can. J. Civ. Eng. 2003, 30, 758–765. [Google Scholar] [CrossRef]
- Wang, T.; Yang, K.L.; Guo, Y.X. Application of artificial neural networks to forecasting ice conditions of the Yellow River in the Inner Mongolia reach. J. Hydrol. Eng. 2008, 13, 811–816. [Google Scholar]
- Massie, D.D. Neural-Network Fundamentals for Scientists and Engineers. In Proceedings of the Conference on Efficiency, Costs, Optimization, Simulation and Environmental Impact of Energy Systems (ECOS 01), Istanbul, Turkey, 4–6 July 2001. [Google Scholar]
- Chokmani, K.; Khalil, B.; Ouarda, T.B.M.J.; Bourdages, R. Estimation of river ice thickness using artificial neural networks. In Proceedings of the 14th Workshop Hydraulics Ice Covered Rivers, Quebec, QC, Canada, 19–22 June 2007; CGU HS/CRIPE: Quebec, QC, Canada, 2007. [Google Scholar]
- Hu, J.; Liu, L.; Huang, Z.; You, Y.; Rao, S. Ice Breakup Date Forecast with Hybrid Artificial Neural Networks. In Proceedings of the 4th International Conference on Natural Computation, ICNC, Jinan, China, 25–27 August 2007; Volume 2, pp. 414–418. [Google Scholar]
- Chen, S.Y.; Ji, H.L. Fuzzy optimization neural network approach for ice forecast in the Inner Mongolia reach of the Yellow River. Hydrol. Sci. J. 2005, 50, 319–330. [Google Scholar]
- Yan, Q.; Ding, M. Using Dynamic Fuzzy Neural Networks Approach to Predict Ice Formation. In Proceedings of the 2011 MSEC International Conference on Multimedia, Software Engineering and Computing, Wuhan, China, 26–27 November 2011; Jin, D., Lin, S., Eds.; Advances in Multimedia, Software Engineering and Computing Vol.1. Springer: Berlin/Heidelberg, Germany, 2011; Volume 128. [Google Scholar]
- Liu, H.; Jiang, Q.; Ma, Y.; Yang, Q.; Shi, P.; Zhang, S.; Tan, Y.; Xi, J.; Zhang, Y.; Liu, B.; et al. Object-Based Multigrained Cascade Forest Method For Wetland Classification Using Sentinel-2 and radarsat-2 imagery. Water 2022, 14, 82. [Google Scholar] [CrossRef]
- Shin, Y.; Kim, T.; Hong, S.; Lee, S.; Lee, E.; Hong, S.; Lee, C.; Kim, T.; Park, M.S.; Park, J.; et al. Prediction of chlorophyll-a concentrations in the Nakdong River using machine learning methods. Water 2020, 12, 1822. [Google Scholar] [CrossRef]
- Flach, P.A. Machine Learning: The Art and Science of Algorithms that Make Sense of Data; Cambridge University Press: Cambridge, UK, 2012. [Google Scholar]
- Prowse, T.D.; Bonsal, B.R. Historical trends in river-ice break-up: A review. Nordic Hydrol. 2004, 35, 281–293. [Google Scholar] [CrossRef]
- Zounemat-Kermani, M.; Batelaan, O.; Fadaee, M.; Hinkelmann, R. Ensemble machine learning paradigms in hydrology: A review. J. Hydrol. 2021, 598, 126266. [Google Scholar] [CrossRef]
- Graf, R.; Aghelpour, P. Daily river water temperature prediction: A comparison between neural network and stochastic techniques. Atmosphere 2021, 12, 1154. [Google Scholar] [CrossRef]
- Woś, A. The Climate of Poland in the Second Half of the 20th Century; Scientific Publishing House UAM: Poznan, Poland, 2010; 490p. (In Polish) [Google Scholar]
- Wrzesiński, D.; Perz, A. The features of the runoff regime in the basin of the Warta River. Bad. Fizjogr. R. VII Ser. A Geogr. Fiz. 2016, A67, 289–304. (In Polish) [Google Scholar]
- Graf, R.; Łukaszewicz, J.T.; Jawgiel, K. The analysis of the structure and duration of ice phenomena on the Warta River in relation to thermic conditions in the years 1991–2010. Woda-Sr.-Obsz. Wiej. 2018, 18, 5–28. (In Polish) [Google Scholar]
- Pawłowski, B.; Gorączko, M.; Szczerbińska, A. Ice Phenomena on the Rivers of Poland. In Hydrology of the Poland; Jokiel, P., Marszelewski, W., Pociask-Karteczka, J., Eds.; PWN: Warsaw, Poland, 2017; pp. 195–200. (In Polish) [Google Scholar]
- Graf, R.; Wrzesiński, D. Detecting patterns of changes in river water temperature in Poland. Water 2020, 12, 1327. [Google Scholar] [CrossRef]
- Lan, T.; Lin, K.; Tan, X.; Xu, C.-Y.; Chen, X. Dynamics of hydrological model parameters: Calibration and Reliability. Hydrol. Earth Syst. Sci. 2020, 24, 1347–1366. [Google Scholar] [CrossRef] [Green Version]
- Hintze, J.L.; Nelson, R.D. Violin plots: A box plot-density trace synergism. Am. Stat. 1998, 52, 181–184. [Google Scholar]
- Brownlee, J. Train-Test Split for Evaluating Machine Learning Algorithms. 2020. Available online: https://machinelearningmastery.com/train-test-split-for-evaluating-machine-learning-algorithms (accessed on 15 September 2021).
- Fritsch, S.; Guenther, F.; Wright, M.N. “Neuralnet: Training of Neural Networks.” R package version 1.44.2. 2019. Available online: https://CRAN.R-project.org/package=neuralnet (accessed on 22 November 2021).
- Riedmiller, M. Advanced supervised learning in multi-layer perceptrons—From backpropagation to adaptive learning algorithms. Comput. Stand. Interfaces 1994, 16, 265–278. [Google Scholar] [CrossRef]
- Chen, T.; He, T.; Benesty, M.; Khotilovich, V.; Tang, Y.; Cho, H.; Chen, K.; Mitchell, R.; Cano, I.; Zhou, T.; et al. Xgboost: Extreme Gradient Boosting. 2020. Available online: https://cran.r-project.org/package=xgboost (accessed on 10 July 2021).
- Loong, T.W. Understanding sensitivity and specificity with the right side of the brain. BMJ 2003, 327, 716–719. [Google Scholar] [CrossRef] [PubMed]
- Parikh, R.; Mathai, A.; Parikh, S.; Chandra Sekhar, G.; Thomas, R. Understanding and using sensitivity, specificity and predictive values. Indian J. Ophthalmol. 2008, 56, 45–50. [Google Scholar] [CrossRef] [PubMed]
- R Core Team, R. A Language and Environment for Statistical Computing; R Foundation for Statistical Computing: Vienna, Austria, 2019; Available online: http://www.R-project.org (accessed on 15 July 2021).
- Pawłowski, B. Course of Ice Phenomena on the Lower Vistula River in 1960–2014; Nicholas Copernicus University Toruń: Torun, Poland, 2017. (In Polish) [Google Scholar]
- Marszelewski, W.; Pawłowski, W. Long-term changes in the course of ice phenomena on the oder river along the Polish–German border. Water Resour. Manag. 2019, 33, 5107–5120. [Google Scholar] [CrossRef]
- Ptak, M.; Choiński, A. Ice phenomena in rivers of the coastal zone (southern Baltic) in the years 1956–2015. Baltic Coastal Zone. J. Ecol. Prot. Coastline 2016, 20, 73–83. [Google Scholar]
- Łukaszewicz, J.T.; Graf, R. The variability of ice phenomena on the rivers of the Baltic coastal zone in the Northern Poland. J. Hydrol. Hydromech. 2020, 68, 38–50. [Google Scholar] [CrossRef] [Green Version]
- Bączyk, A.; Suchożebrski, J. Variability of ice phenomena on the Bug River (1903–2012). Inżynieria Ekol. 2018, 49, 136–142. (In Polish) [Google Scholar] [CrossRef] [Green Version]
- Gorączko, M.; Pawłowski, B. Changing of ice phenomena on Warta River in vicinity of Uniejów. Biul. Uniejowski 2014, 3, 23–33. (In Polish) [Google Scholar]
- Kornaś, M. Ice phenomena in the Warta River in Poznań in 1961–2010. Quaest. Geogr. 2014, 33, 51–59. [Google Scholar] [CrossRef] [Green Version]
- Smith, E.H. Using extreme gradient boosting (XGBoost) to evaluate the importance of a suite of environmental variables and to predict recruitment of young-of-the-year spotted seatrout in Florida. bioRxiv 2019, 543181. [Google Scholar] [CrossRef]
- Wang, Z.; Li, C. River Ice Forecasting Based on Genetic Neural Network. In Proceedings of the International Conference on Information Engineering and Computer Science (ICIECS2009), Wuhan, China, 19–20 December 2009; pp. 1–4. [Google Scholar]
- Li, S.; Qin, J.; He, M.; Paoli, R. Fast evaluation of aircraft icing severity using machine learning based on XGBoost. Aerospace 2020, 7, 36. [Google Scholar] [CrossRef] [Green Version]











| Class | Ice Phenomena | Ice Phase of the River | 
|---|---|---|
| Frazil ice | I phase— Freeze-up | |
| 1 class | Border ice | |
| Border ice and frazil ice Frazil ice jam | ||
| 2 class | Ice cover | II phase—Ice cover | 
| Ice floe | III phase— Breakup and ice deterioration | |
| 3 class | Ice floe and border ice | |
| Ice floe and frazil ice | ||
| Ice jam | 
| Prediction | Observation | |
|---|---|---|
| Phenomenon | No Phenomenon | |
| Phenomenon | A (TP) | B (FP) | 
| No phenomenon | C (FN) | D (TN) | 
| Class of Ice Phenomena | Bobry | Sieradz | Uniejow | Nowa Wies | Srem | Poznan | Skwierzyna | Gorzow Wlkp. | |
|---|---|---|---|---|---|---|---|---|---|
| 1 | Nr. of days | 518 | 275 | 287 | 417 | 404 | 735 | 449 | 626 | 
| (%) | 10.99 | 5.8 | 12.18 | 10.00 | 11.73 | 15.60 | 10.33 | 13.29 | |
| 2 | Nr. of days | 82 | 393 | 130 | 309 | 259 | 69 | 354 | 278 | 
| (%) | 1.74 | 8.34 | 5.52 | 7.41 | 7.52 | 1.46 | 8.14 | 5.90 | |
| 3 | Nr. of days | 2 | 45 | 4 | 12 | 4 | 45 | 42 | 15 | 
| (%) | 0.04 | 0.96 | 0.17 | 0.29 | 0.1 | 0.95 | 0.97 | 0.32 | |
| No * | Nr. of days | 4110 | 3997 | 1935 | 3431 | 2777 | 3864 | 3503 | 3793 | 
| (%) | 87.22 | 84.86 | 82.13 | 82.30 | 80.63 | 81.99 | 80.57 | 80.50 | |
| Water Gauge | Model | Class | Training Set | Test Set | ||||||
|---|---|---|---|---|---|---|---|---|---|---|
| Sensitivity | Specificity | Precision | Balanced Accuracy | Sensitivity | Specificity | Precision | Balanced Accuracy | |||
| Bobry | XGBoost | * No | 0.986 | 0.892 | 0.985 | 0.939 | 0.984 | 0.852 | 0.978 | 0.918 | 
| 1 | 0.87 | 0.987 | 0.888 | 0.928 | 0.83 | 0.982 | 0.852 | 0.906 | ||
| 2 | 0.93 | 0.997 | 0.87 | 0.964 | 0.872 | 1 | 0.971 | 0.936 | ||
| 3 | - | 1 | - | - | 0 | 1 | - | 0.5 | ||
| NN3 | No | 0.988 | 0.907 | 0.987 | 0.947 | 0.982 | 0.861 | 0.979 | 0.922 | |
| 1 | 0.874 | 0.987 | 0.892 | 0.931 | 0.811 | 0.983 | 0.863 | 0.897 | ||
| 2 | 0.978 | 0.998 | 0.917 | 0.988 | 0.919 | 0.994 | 0.723 | 0.957 | ||
| 3 | 1 | 1 | 1 | 1 | 0 | 1 | 0 | 0.5 | ||
| NN4 | No | 0.988 | 0.928 | 0.989 | 0.958 | 0.98 | 0.886 | 0.984 | 0.933 | |
| 1 | 0.905 | 0.988 | 0.905 | 0.947 | 0.844 | 0.982 | 0.844 | 0.913 | ||
| 2 | 0.933 | 0.998 | 0.913 | 0.966 | 0.946 | 0.995 | 0.761 | 0.971 | ||
| 3 | 1 | 1 | 1 | 1 | 0 | 1 | - | 0.5 | ||
| NN5 | No | 0.988 | 0.921 | 0.988 | 0.954 | 0.98 | 0.876 | 0.982 | 0.928 | |
| 1 | 0.909 | 0.987 | 0.898 | 0.948 | 0.863 | 0.979 | 0.833 | 0.921 | ||
| 2 | 1 | 1 | 1 | 1 | 0.791 | 0.998 | 0.872 | 0.894 | ||
| 3 | 0 | 1 | - | 0.5 | 0 | 1 | - | 0.5 | ||
| NN6 | No | 0.998 | 0.934 | 0.99 | 0.966 | 0.982 | 0.855 | 0.979 | 0.918 | |
| 1 | 0.928 | 0.997 | 0.972 | 0.962 | 0.831 | 0.981 | 0.844 | 0.906 | ||
| 2 | 0.927 | 1 | 1 | 0.963 | 0.829 | 0.997 | 0.829 | 0.913 | ||
| 3 | - | 1 | - | - | 0 | 1 | - | 0.5 | ||
| Sieradz | XGBoost | No | 0.992 | 0.919 | 0.985 | 0.955 | 0.983 | 0.936 | 0.989 | 0.96 | 
| 1 | 0.765 | 0.987 | 0.807 | 0.876 | 0.869 | 0.977 | 0.675 | 0.923 | ||
| 2 | 0.934 | 0.989 | 0.895 | 0.962 | 0.912 | 0.995 | 0.943 | 0.954 | ||
| 3 | 0.2 | 1 | 0.8 | 0.6 | 0.28 | 1 | 0.875 | 0.64 | ||
| NN3 | No | 0.983 | 0.965 | 0.993 | 0.974 | 0.973 | 0.917 | 0.986 | 0.945 | |
| 1 | 0.88 | 0.983 | 0.767 | 0.932 | 0.774 | 0.974 | 0.644 | 0.874 | ||
| 2 | 0.961 | 0.992 | 0.917 | 0.977 | 0.957 | 0.993 | 0.922 | 0.975 | ||
| 3 | 0.37 | 0.997 | 0.556 | 0.683 | 0.444 | 0.999 | 0.8 | 0.722 | ||
| NN4 | No | 0.991 | 0.928 | 0.987 | 0.959 | 0.98 | 0.915 | 0.985 | 0.948 | |
| 1 | 0.739 | 0.991 | 0.836 | 0.865 | 0.686 | 0.982 | 0.701 | 0.834 | ||
| 2 | 0.99 | 0.994 | 0.934 | 0.992 | 0.959 | 0.987 | 0.869 | 0.973 | ||
| 3 | 0.591 | 0.997 | 0.684 | 0.794 | 0.522 | 0.999 | 0.8 | 0.76 | ||
| NN5 | No | 0.997 | 0.929 | 0.987 | 0.963 | 0.984 | 0.852 | 0.976 | 0.918 | |
| 1 | 0.77 | 0.996 | 0.919 | 0.883 | 0.559 | 0.986 | 0.696 | 0.772 | ||
| 2 | 0.976 | 0.992 | 0.917 | 0.984 | 0.952 | 0.991 | 0.904 | 0.972 | ||
| 3 | 0.643 | 1 | 1 | 0.821 | 0.412 | 0.997 | 0.467 | 0.704 | ||
| NN6 | No | 0.992 | 0.947 | 0.991 | 0.969 | 0.982 | 0.888 | 0.98 | 0.935 | |
| 1 | 0.871 | 0.993 | 0.89 | 0.932 | 0.684 | 0.983 | 0.715 | 0.833 | ||
| 2 | 0.99 | 0.992 | 0.919 | 0.991 | 0.954 | 0.984 | 0.851 | 0.969 | ||
| 3 | 0.273 | 0.999 | 0.75 | 0.636 | 0 | 1 | - | 0.5 | ||
| Uniejów | XGBoost | No | 0.986 | 0.922 | 0.983 | 0.954 | 0.993 | 0.941 | 0.988 | 0.967 | 
| 1 | 0.873 | 0.983 | 0.879 | 0.928 | 0.912 | 0.99 | 0.926 | 0.951 | ||
| 2 | 0.938 | 0.996 | 0.938 | 0.967 | 0.969 | 0.999 | 0.984 | 0.984 | ||
| 3 | 0 | 1 | 0.5 | 0 | 1 | - | 0.5 | |||
| NN3 | No | 0.994 | 0.971 | 0.994 | 0.983 | 0.981 | 0.892 | 0.976 | 0.936 | |
| 1 | 0.951 | 0.992 | 0.945 | 0.972 | 0.818 | 0.98 | 0.854 | 0.899 | ||
| 2 | 0.969 | 0.999 | 0.984 | 0.984 | 0.97 | 0.995 | 0.914 | 0.982 | ||
| 3 | 1 | 1 | 1 | 1 | 0 | 1 | - | 0.5 | ||
| NN4 | No | 0.993 | 0.977 | 0.995 | 0.985 | 0.979 | 0.927 | 0.984 | 0.953 | |
| 1 | 0.974 | 0.989 | 0.931 | 0.982 | 0.881 | 0.978 | 0.838 | 0.93 | ||
| 2 | 0.919 | 1 | 1 | 0.96 | 0.956 | 0.996 | 0.942 | 0.976 | ||
| 3 | 1 | 1 | 1 | 1 | 0 | 1 | - | 0.5 | ||
| NN5 | No | 0.998 | 0.958 | 0.991 | 0.978 | 0.98 | 0.835 | 0.965 | 0.908 | |
| 1 | 0.954 | 0.997 | 0.98 | 0.976 | 0.756 | 0.978 | 0.816 | 0.867 | ||
| 2 | 0.951 | 1 | 1 | 0.975 | 0.855 | 0.999 | 0.983 | 0.927 | ||
| 3 | 1 | 1 | 1 | 1 | 1 | 0.997 | 0.333 | 0.998 | ||
| NN6 | No | 0.999 | 0.986 | 0.997 | 0.993 | 0.99 | 0.888 | 0.976 | 0.939 | |
| 1 | 0.98 | 0.999 | 0.993 | 0.989 | 0.804 | 0.989 | 0.91 | 0.897 | ||
| 2 | 1 | 1 | 1 | 1 | 0.938 | 0.993 | 0.884 | 0.966 | ||
| 3 | 1 | 1 | 1 | 1 | 0 | 0.999 | 0 | 0.5 | ||
| Water Gauge | Model | Class | Training Set | Test Set | ||||||
|---|---|---|---|---|---|---|---|---|---|---|
| Sensitivity | Specificity | Precision | Balanced Accuracy | Sensitivity | Specificity | Precision | Balanced Accuracy | |||
| Nowa Wies | XGBoost | * No | 0.988 | 0.904 | 0.979 | 0.946 | 0.984 | 0.91 | 0.981 | 0.947 | 
| 1 | 0.855 | 0.988 | 0.896 | 0.922 | 0.867 | 0.983 | 0.846 | 0.925 | ||
| 2 | 0.948 | 0.995 | 0.936 | 0.972 | 0.896 | 0.994 | 0.926 | 0.945 | ||
| 3 | 0 | 1 | - | 0.5 | 0 | 1 | - | 0.5 | ||
| NN3 | No | 0.989 | 0.917 | 0.982 | 0.953 | 0.98 | 0.89 | 0.976 | 0.935 | |
| 1 | 0.86 | 0.99 | 0.899 | 0.925 | 0.819 | 0.985 | 0.864 | 0.902 | ||
| 2 | 0.956 | 0.994 | 0.933 | 0.975 | 0.94 | 0.991 | 0.887 | 0.965 | ||
| 3 | 0 | 1 | 0.5 | 0 | 1 | - | 0.5 | |||
| NN4 | No | 0.984 | 0.933 | 0.986 | 0.958 | 0.986 | 0.842 | 0.966 | 0.914 | |
| 1 | 0.901 | 0.985 | 0.872 | 0.943 | 0.805 | 0.986 | 0.868 | 0.896 | ||
| 2 | 0.929 | 0.997 | 0.96 | 0.963 | 0.838 | 0.994 | 0.921 | 0.916 | ||
| 3 | 0.4 | 0.998 | 0.333 | 0.699 | 0.143 | 1 | 0.5 | 0.571 | ||
| NN5 | No | 0.979 | 0.95 | 0.989 | 0.965 | 0.981 | 0.91 | 0.981 | 0.946 | |
| 1 | 0.93 | 0.981 | 0.844 | 0.955 | 0.827 | 0.985 | 0.861 | 0.906 | ||
| 2 | 0.956 | 0.997 | 0.968 | 0.977 | 0.906 | 0.991 | 0.888 | 0.949 | ||
| 3 | 0.625 | 1 | 1 | 0.812 | 0.25 | 0.996 | 0.111 | 0.623 | ||
| NN6 | No | 0.987 | 0.966 | 0.992 | 0.976 | 0.972 | 0.919 | 0.983 | 0.946 | |
| 1 | 0.967 | 0.989 | 0.911 | 0.978 | 0.898 | 0.973 | 0.791 | 0.936 | ||
| 2 | 0.957 | 0.998 | 0.975 | 0.977 | 0.865 | 0.994 | 0.921 | 0.93 | ||
| 3 | 1 | 1 | 1 | 1 | 0.167 | 0.998 | 0.2 | 0.582 | ||
| Srem | XGBoost | No | 0.99 | 0.936 | 0.984 | 0.963 | 0.991 | 0.935 | 0.985 | 0.963 | 
| 1 | 0.895 | 0.99 | 0.921 | 0.942 | 0.903 | 0.989 | 0.917 | 0.946 | ||
| 2 | 0.969 | 0.997 | 0.962 | 0.983 | 0.945 | 0.999 | 0.984 | 0.972 | ||
| 3 | 0 | 1 | 0.5 | 0 | 1 | - | 0.5 | |||
| NN3 | No | 0.992 | 0.982 | 0.996 | 0.987 | 0.976 | 0.927 | 0.982 | 0.951 | |
| 1 | 0.967 | 0.993 | 0.949 | 0.98 | 0.876 | 0.977 | 0.829 | 0.926 | ||
| 2 | 0.984 | 0.998 | 0.969 | 0.991 | 0.955 | 0.998 | 0.977 | 0.977 | ||
| 3 | 0.667 | 1 | 1 | 0.833 | 0 | 0.999 | 0 | 0.499 | ||
| NN4 | No | 0.997 | 0.962 | 0.991 | 0.98 | 0.99 | 0.894 | 0.976 | 0.942 | |
| 1 | 0.94 | 0.997 | 0.981 | 0.968 | 0.82 | 0.99 | 0.912 | 0.905 | ||
| 2 | 1 | 1 | 1 | 1 | 0.931 | 0.996 | 0.945 | 0.963 | ||
| 3 | 1 | 1 | 1 | 1 | 0.333 | 0.998 | 0.25 | 0.666 | ||
| NN5 | No | 0.999 | 0.957 | 0.99 | 0.978 | 0.988 | 0.905 | 0.977 | 0.947 | |
| 1 | 0.929 | 0.997 | 0.979 | 0.963 | 0.874 | 0.986 | 0.896 | 0.93 | ||
| 2 | 0.977 | 1 | 1 | 0.988 | 0.877 | 0.998 | 0.974 | 0.938 | ||
| 3 | 1 | 1 | 1 | 1 | 0.5 | 0.998 | 0.25 | 0.749 | ||
| NN6 | No | 0.997 | 0.976 | 0.994 | 0.987 | 0.98 | 0.912 | 0.979 | 0.946 | |
| 1 | 0.95 | 0.997 | 0.975 | 0.974 | 0.822 | 0.983 | 0.869 | 0.903 | ||
| 2 | 0.993 | 0.999 | 0.985 | 0.996 | 0.992 | 0.994 | 0.925 | 0.993 | ||
| 3 | 1 | 1 | 1 | 1 | 0.333 | 0.999 | 0.333 | 0.666 | ||
| Poznan | XGBoost | No | 0.987 | 0.922 | 0.983 | 0.955 | 0.984 | 0.889 | 0.975 | 0.937 | 
| 1 | 0.906 | 0.983 | 0.906 | 0.945 | 0.874 | 0.98 | 0.893 | 0.927 | ||
| 2 | 0.935 | 0.999 | 0.906 | 0.967 | 0.895 | 0.999 | 0.919 | 0.947 | ||
| 3 | 0.567 | 0.998 | 0.81 | 0.782 | 0.267 | 0.998 | 0.5 | 0.632 | ||
| NN3 | No | 0.985 | 0.935 | 0.986 | 0.96 | 0.981 | 0.919 | 0.981 | 0.95 | |
| 1 | 0.914 | 0.985 | 0.914 | 0.949 | 0.89 | 0.976 | 0.876 | 0.933 | ||
| 2 | 0.909 | 0.998 | 0.882 | 0.954 | 0.917 | 0.999 | 0.943 | 0.958 | ||
| 3 | 0.81 | 0.998 | 0.773 | 0.904 | 0.417 | 0.996 | 0.5 | 0.706 | ||
| NN4 | No | 0.984 | 0.93 | 0.983 | 0.957 | 0.98 | 0.956 | 0.991 | 0.968 | |
| 1 | 0.919 | 0.981 | 0.905 | 0.95 | 0.918 | 0.974 | 0.86 | 0.946 | ||
| 2 | 0.829 | 0.999 | 0.935 | 0.914 | 0.853 | 1 | 0.967 | 0.926 | ||
| 3 | 0.867 | 1 | 1 | 0.933 | 0.4 | 0.995 | 0.333 | 0.697 | ||
| NN5 | No | 0.989 | 0.962 | 0.992 | 0.976 | 0.981 | 0.903 | 0.978 | 0.942 | |
| 1 | 0.946 | 0.989 | 0.941 | 0.967 | 0.864 | 0.976 | 0.871 | 0.92 | ||
| 2 | 0.97 | 0.999 | 0.941 | 0.984 | 0.806 | 0.999 | 0.906 | 0.902 | ||
| 3 | 0.833 | 0.997 | 0.741 | 0.915 | 0.524 | 0.995 | 0.478 | 0.759 | ||
| NN6 | No | 0.99 | 0.956 | 0.99 | 0.973 | 0.98 | 0.901 | 0.979 | 0.94 | |
| 1 | 0.949 | 0.988 | 0.937 | 0.969 | 0.886 | 0.976 | 0.869 | 0.931 | ||
| 2 | 0.912 | 0.999 | 0.939 | 0.955 | 0.857 | 1 | 1 | 0.929 | ||
| 3 | 0.75 | 0.999 | 0.9 | 0.875 | 0.429 | 0.997 | 0.529 | 0.713 | ||
| Water Gauge | Model | Class | Training Set | Test Set | ||||||
|---|---|---|---|---|---|---|---|---|---|---|
| Sensitivity | Specificity | Precision | Balanced Accuracy | Sensitivity | Specificity | Precision | Balanced Accuracy | |||
| Skwierzyna | XGBoost | * No | 0.987 | 0.941 | 0.985 | 0.964 | 0.987 | 0.908 | 0.979 | 0.948 | 
| 1 | 0.891 | 0.985 | 0.872 | 0.938 | 0.863 | 0.982 | 0.844 | 0.922 | ||
| 2 | 0.969 | 0.996 | 0.959 | 0.982 | 0.963 | 0.998 | 0.975 | 0.98 | ||
| 3 | 0.381 | 0.999 | 0.727 | 0.69 | 0.143 | 1 | 1 | 0.571 | ||
| NN3 | No | 0.983 | 0.956 | 0.989 | 0.97 | 0.983 | 0.964 | 0.991 | 0.973 | |
| 1 | 0.913 | 0.98 | 0.84 | 0.946 | 0.936 | 0.98 | 0.84 | 0.958 | ||
| 2 | 0.95 | 0.999 | 0.983 | 0.974 | 0.931 | 0.998 | 0.982 | 0.965 | ||
| 3 | 0.542 | 0.996 | 0.619 | 0.769 | 0.389 | 0.996 | 0.438 | 0.692 | ||
| NN4 | No | 0.99 | 0.977 | 0.994 | 0.984 | 0.983 | 0.917 | 0.98 | 0.95 | |
| 1 | 0.952 | 0.99 | 0.92 | 0.971 | 0.832 | 0.978 | 0.813 | 0.905 | ||
| 2 | 0.979 | 1 | 0.995 | 0.989 | 0.952 | 0.997 | 0.963 | 0.974 | ||
| 3 | 0.842 | 0.998 | 0.762 | 0.92 | 0.391 | 0.997 | 0.562 | 0.694 | ||
| NN5 | No | 0.993 | 0.968 | 0.993 | 0.981 | 0.99 | 0.887 | 0.972 | 0.938 | |
| 1 | 0.925 | 0.991 | 0.921 | 0.958 | 0.796 | 0.987 | 0.882 | 0.891 | ||
| 2 | 0.984 | 0.999 | 0.989 | 0.991 | 0.942 | 0.995 | 0.947 | 0.969 | ||
| 3 | 0.625 | 0.997 | 0.625 | 0.811 | 0.385 | 0.996 | 0.556 | 0.69 | ||
| NN6 | No | 0.995 | 0.986 | 0.997 | 0.99 | 0.98 | 0.934 | 0.984 | 0.957 | |
| 1 | 0.981 | 0.991 | 0.925 | 0.986 | 0.903 | 0.979 | 0.842 | 0.941 | ||
| 2 | 0.995 | 1 | 1 | 0.997 | 0.97 | 0.995 | 0.941 | 0.982 | ||
| 3 | 0.55 | 1 | 1 | 0.775 | 0.182 | 0.999 | 0.571 | 0.59 | ||
| Gorzow Wlkp. | XGBoost | No | 0.984 | 0.938 | 0.985 | 0.961 | 0.982 | 0.9 | 0.976 | 0.941 | 
| 1 | 0.911 | 0.981 | 0.877 | 0.946 | 0.866 | 0.982 | 0.883 | 0.924 | ||
| 2 | 0.973 | 0.999 | 0.986 | 0.986 | 0.977 | 0.998 | 0.963 | 0.987 | ||
| 3 | 0 | 1 | - | 0.5 | 0 | 1 | - | 0.5 | ||
| NN3 | No | 0.986 | 0.929 | 0.982 | 0.958 | 0.982 | 0.907 | 0.978 | 0.944 | |
| 1 | 0.907 | 0.985 | 0.904 | 0.946 | 0.875 | 0.98 | 0.869 | 0.927 | ||
| 2 | 0.98 | 1 | 0.993 | 0.99 | 0.969 | 0.998 | 0.969 | 0.983 | ||
| 3 | 0 | 1 | - | 0.5 | 0 | 1 | - | 0.5 | ||
| NN4 | No | 0.981 | 0.946 | 0.987 | 0.963 | 0.98 | 0.926 | 0.982 | 0.953 | |
| 1 | 0.92 | 0.978 | 0.865 | 0.949 | 0.885 | 0.978 | 0.863 | 0.932 | ||
| 2 | 0.986 | 1 | 0.993 | 0.993 | 0.964 | 0.996 | 0.937 | 0.98 | ||
| 3 | 0 | 1 | - | 0.5 | 0 | 1 | - | 0.5 | ||
| NN5 | No | 0.987 | 0.959 | 0.989 | 0.973 | 0.972 | 0.908 | 0.979 | 0.94 | |
| 1 | 0.937 | 0.986 | 0.914 | 0.961 | 0.858 | 0.974 | 0.83 | 0.916 | ||
| 2 | 0.986 | 1 | 0.993 | 0.993 | 0.912 | 0.995 | 0.912 | 0.953 | ||
| 3 | 0.444 | 0.999 | 0.571 | 0.722 | 0.333 | 0.997 | 0.222 | 0.665 | ||
| NN6 | No | 0.989 | 0.947 | 0.987 | 0.968 | 0.973 | 0.913 | 0.979 | 0.943 | |
| 1 | 0.929 | 0.986 | 0.914 | 0.958 | 0.882 | 0.974 | 0.838 | 0.928 | ||
| 2 | 0.986 | 1 | 1 | 0.993 | 0.949 | 0.998 | 0.97 | 0.974 | ||
| 3 | 0.333 | 1 | 1 | 0.667 | 0.167 | 0.999 | 0.25 | 0.583 | ||
| Water Gauge | No Ice | Class 1 | Class 2 | Class 3 | 
|---|---|---|---|---|
| Bobry | NN4 | NN5 | NN4 | * No results | 
| XGBoost | ||||
| Sieradz | XGBoost | XGBoost | NN3 | NN4 | 
| Uniejow | XGBoost | XGBoost | XGBoost | NN5 | 
| Nowa Wies | XGBoost | NN5 | NN5 | NN5 | 
| XGBoost | ||||
| Srem | XGBoost | XGBoost | NN6 | NN5 | 
| Poznan | NN4 | NN3 | NN3 | NN5 | 
| Skwierzyna | NN3 | NN3 | NN6 | NN4 | 
| XGBoos | ||||
| Gorzow Wlkp. | NN4 | NN4 | XGBoost | NN5 | 
| Publisher’s Note: MDPI stays neutral with regard to jurisdictional claims in published maps and institutional affiliations. | 
© 2022 by the authors. Licensee MDPI, Basel, Switzerland. This article is an open access article distributed under the terms and conditions of the Creative Commons Attribution (CC BY) license (https://creativecommons.org/licenses/by/4.0/).
Share and Cite
Graf, R.; Kolerski, T.; Zhu, S. Predicting Ice Phenomena in a River Using the Artificial Neural Network and Extreme Gradient Boosting. Resources 2022, 11, 12. https://doi.org/10.3390/resources11020012
Graf R, Kolerski T, Zhu S. Predicting Ice Phenomena in a River Using the Artificial Neural Network and Extreme Gradient Boosting. Resources. 2022; 11(2):12. https://doi.org/10.3390/resources11020012
Chicago/Turabian StyleGraf, Renata, Tomasz Kolerski, and Senlin Zhu. 2022. "Predicting Ice Phenomena in a River Using the Artificial Neural Network and Extreme Gradient Boosting" Resources 11, no. 2: 12. https://doi.org/10.3390/resources11020012
APA StyleGraf, R., Kolerski, T., & Zhu, S. (2022). Predicting Ice Phenomena in a River Using the Artificial Neural Network and Extreme Gradient Boosting. Resources, 11(2), 12. https://doi.org/10.3390/resources11020012
 
         
                                                



 
       