Effect of Tillage System and Cover Crop on Maize Mycorrhization and Presence of Magnaporthiopsis maydis
Abstract
1. Introduction
2. Materials and Methods
2.1. Study Sites and Experimental Design
2.2. Sample Collection
2.3. Parameters Evaluated
2.3.1. Shoot Dry Weight (SDW)
2.3.2. Mycorrhizal Colonization
2.3.3. qPCR quantification of M. maydis gDNA
2.3.4. Grain Production
2.4. Statistical Analysis
3. Results
3.1. Site 1
3.2. Site 2
3.3. Site 1 and Site 2
4. Discussion
5. Conclusions
Author Contributions
Funding
Acknowledgments
Conflicts of Interest
References
- Czembor, E.; Stępień, Ł.; Waśkiewicz, A. Effect of environmental factors on Fusarium species and associated mycotoxins in maize grain grown in Poland. PLoS ONE 2015, 10, e0133644. [Google Scholar] [CrossRef] [PubMed]
- FAOSTAT. Food and Agriculture Organization of the United Nations—Crops’ Data. Available online: http://www.fao.org/faostat/ (accessed on 12 February 2020).
- OECD/FAO. OECD-FAO Agricultural Outlook 2018–2027—Chapter 3: Cereals; Food and Agriculture Organization of the United Nations: Rome, Italy, 2018; pp. 109–125. [Google Scholar] [CrossRef]
- Oerke, E.C. Crop losses to pests. J. Agric. Sci. 2006, 144, 31–43. [Google Scholar] [CrossRef]
- Klaubauf, S.; Tharreau, D.; Fournier, E.; Groenewald, J.Z.; Crous, P.W.; de Vries, R.P.; Lebrun, M.-H. Resolving the polyphyletic nature of Pyricularia (Pyriculariaceae). Stud. Mycol. 2014, 79, 85–120. [Google Scholar] [CrossRef] [PubMed]
- Gams, W. Phialophora and some similar morphologically little-differentiated anamorphs of divergent ascomycetes. Stud. Mycol. 2000, 45, 187–199. [Google Scholar]
- Saleh, A.A.; Leslie, J.F. Cephalosporium maydis is a distinct species in the Gaeumannomyces-Harpophora species complex. Mycologia 2004, 96, 1294–1305. [Google Scholar] [CrossRef]
- Molinero-Ruiz, M.L.; Melero-Vara, J.M.; Mateos, A. Cephalosporium maydis, the cause of late wilt in maize, a pathogen new to Portugal and Spain. Plant Dis. 2010, 94, 379. [Google Scholar] [CrossRef]
- Drori, R.; Sharon, A.; Goldberg, D.; Rabinovitz, O.; Levy, M.; Degani, O. Molecular diagnosis for Harpophora maydis, the cause of maize late wilt in Israel. Phytopathol. Mediterr. 2013, 52, 16–29. [Google Scholar] [CrossRef]
- Samra, A.S.; Sabet, K.A.; Hingorani, M.K. Late wilt disease of maize caused by Cephalosporium maydis. Phytopathology 1963, 53, 402–406. [Google Scholar]
- Degani, O.; Dor, S.; Movshovitz, D.; Rabinovitz, O. Methods for Studying Magnaporthiopsis maydis, the Maize Late Wilt Causal Agent. Agronomy 2019, 9, 181. [Google Scholar] [CrossRef]
- Sabet, K.A.; Zaher, A.M.; Samra, A.S.; Mansour, I.M. Pathogenic behaviour of Cephalosporium maydis and C. acremonium. Ann. Appl. Biol. 1970, 66, 257–263. [Google Scholar] [CrossRef]
- Abd El-Rahim, M.F.; Fahmy, G.M.; Fahmy, Z.M. Alterations in transpiration and stem vascular tissues of two maize cultivars under conditions of water stress and late wilt disease. Plant Pathol. 1998, 47, 216–223. [Google Scholar] [CrossRef]
- Zeller, K.A.; Ismael, A.-S.M.; El-Assiuty, E.M.; Fahmy, Z.M.; Bekheet, F.M.; Leslie, J.F. Relative Competitiveness and Virulence of Four Clonal Lineages of Cephalosporium maydis from Egypt Toward Greenhouse-Grown Maize. Plant Dis. 2002, 86, 373–378. [Google Scholar] [CrossRef] [PubMed]
- García-Carneros, A.B.; Girón, I.; Molinero-Ruiz, L. Aggressiveness of Cephalosporium maydis causing late wilt of maize in Spain. Commun. Agric. Appl. Biol. Sci. 2012, 77, 173–179. [Google Scholar] [PubMed]
- Michail, S.H.; Abou-Elseoud, M.S.; Nour Eldin, M.S. Seed health testing of corn for Cephalosporium maydis. Acta Phytopathol. Hun. 1999, 34, 35–41. [Google Scholar]
- Sabet, K.A.; Samra, A.S.; Mansour, I.S. Interaction between Fusarium oxysporum, F. vasinfectum and Cephalosporium maydis on cotton and maize. Ann. Appl. Biol. 1966, 58, 93–101. [Google Scholar] [CrossRef]
- Mohamed, H.A.; Ashour, W.E.; Sirry, A.R.; Fathi, S.M. Fungi carried by corn seed and their importance in causing corn diseases in the United Arab Republic. Plant Dis. Rep. 1967, 51, 53–56. [Google Scholar]
- Selosse, M.-A.; Strullu-Derrien, C.; Martin, F.; Kamoun, S.; Kenrick, P. Plants, fungi and oomycetes: A 400-million year affair that shapes the biosphere. New Phytol. 2015, 206, 501–506. [Google Scholar] [CrossRef]
- Smith, S.E.; Read, D. Mycorrhizal Symbiosis, 3rd ed.; Academic Press and Elsevier: London, UK, 2008; p. 800. [Google Scholar]
- Goss, M.J.; Carvalho, M.; Brito, I. Functional Diversity of Mycorrhiza and Sustainable Agriculture—Management to Overcome Biotic and Abiotic Stresses; Academic Press and Elsevier: London, UK, 2017; p. 254. [Google Scholar]
- Schüβler, A.; Schwarzott, D.; Walker, C. A new fungal phylum, the Glomeromycota: Phylogeny and evolution. Mycol. Res. 2001, 105, 1413–1421. [Google Scholar] [CrossRef]
- Requena, N.; Jeffries, P.; Barea, J.M. Assessment of natural mycorrhizal potential in a desertified semiarid ecosystem. Appl. Environ. Microb. 1996, 62, 842–847. [Google Scholar] [CrossRef]
- Klironomos, J.N.; Hart, M.M. Colonization of roots by arbuscular mycorrhizal fungi using different sources of inoculum. Mycorrhiza 2002, 12, 181–184. [Google Scholar] [CrossRef]
- Martins, M.A.; Read, D.J. The effects of disturbance on the external mycelium of arbuscular mycorrhizal fungi on plant growth. Pesqui. Agropecu. Bras 1997, 32, 1183–1189. [Google Scholar]
- Fairchild, G.L.; Miller, M.H. Vesicular–arbuscular mycorrhizas and the soil-disturbance-induced reduction of nutrient absorption in maize. New Phytol. 1988, 110, 75–84. [Google Scholar] [CrossRef]
- Goss, M.J.; Varennes, A. Soil disturbance reduces the efficacy of mycorrhizal associations for early soybean growth and N2 fixation. Soil Biol. Biochem. 2002, 34, 1167–1173. [Google Scholar] [CrossRef]
- Brito, I.; Carvalho, M.; Alho, L.; Goss, M.J. Managing arbuscular mycorrhizal fungi for bioprotection: Mn toxicity. Soil Biol. Biochem. 2014, 68, 78–84. [Google Scholar] [CrossRef]
- Püschel, D.; Rydlová, J.; Vosátka, M. The development of arbuscular mycorrhiza in two simulated stages of spoil-bank succession. Appl. Soil Ecol. 2007, 35, 363–369. [Google Scholar] [CrossRef]
- Kabir, Z.; Koide, R.T. The effect of dandelion or a cover crop on mycorrhiza inoculum potential, soil aggregation and yield of maize. Agric. Ecosyst. Environ. 2000, 78, 167–174. [Google Scholar] [CrossRef]
- Brito, I.; Carvalho, M.; Goss, M.J. Summer survival of arbuscular mycorrhiza extraradical mycelium and the potential for its management through tillage options in Mediterranean cropping systems. Soil Use Manag. 2011, 27, 350–356. [Google Scholar] [CrossRef]
- Garg, N.; Chandel, S. Arbuscular mycorrhizal networks: Process and functions. A review. Agron Sustain Dev. 2010, 30, 581–599. [Google Scholar] [CrossRef]
- Harrier, L.A.; Watson, C.A. The potential role of arbuscular mycorrhizal (AM) fungi in the bioprotection of plants against soil-borne pathogens in organic and/or other sustainable farming systems. Pest Manag. Sci. 2004, 60, 149–157. [Google Scholar] [CrossRef]
- Nogales, A.; Aguirreolea, J.; Santa María, E.; Camprubí, A.; Calvet, C. Response of mycorrhizal grapevine to Armillaria mellea inoculation: Disease development and polyamines. Plant Soil 2009, 317, 177–187. [Google Scholar] [CrossRef]
- Kabir, Z.; Koide, R.T. Effect of autumn and winter mycorrhizal cover crops on soil properties, nutrient uptake and yield of sweet corn in Pennsylvania, USA. Plant Soil 2002, 238, 205–215. [Google Scholar] [CrossRef]
- Calatrava, J.; Franco, J.A. Difusión de prácticas de lucha contra la erosión en el olivar de la cuenca del Alto Genil Granadino. Estud. De Econ. Apl. 2011, 29, 359–384. [Google Scholar]
- Lendzemo, V.W.; Kuyper, T.W. Effects of arbuscular mycorrhizal fungi on damage by Striga hermonthica on two contrasting cultivars of sorghum, Sorghum bicolor. Agric. Ecosyst. Environ. 2001, 87, 29–35. [Google Scholar] [CrossRef]
- Campos, M.D.; Patanita, M.; Campos, C.; Materatski, P.; Varanda, C.M.R.; Brito, I.; Félix, M.R. Detection and Quantification of Fusarium spp. (F. oxysporum, F. verticillioides, F. graminearum) and Magnaporthiopsis maydis in Maize Using Real-Time PCR Targeting the ITS Region. Agronomy 2019, 9, 45. [Google Scholar] [CrossRef]
- McGonigle, T.P.; Miller, M.H.; Evans, D.G.; Fairchild, G.L.; Swan, J.A. A new method which gives an objective measure of colonization of roots by vesicular-arbuscular mycorrhizal fungi. New Phytol. 1990, 115, 495–501. [Google Scholar] [CrossRef]
- Varanda, C.M.R.; Oliveira, M.; Materatski, P.; Landum, M.; Clara, M.I.E.; Félix, M.R. Fungal endophytic communities associated to the phyllosphere of grapevine cultivars under different types of management. Fungal Biol. 2016, 120, 1525–1536. [Google Scholar] [CrossRef]
- Doyle, J.; Doyle, J. A rapid DNA isolation procedure for small quantities of fresh leaf tissue. Phytochem. Bull. 1987, 19, 11–15. [Google Scholar]
- Yamato, M. Morphological types of arbuscular mycorrhizal fungi in roots of weeds on vacant land. Mycorrhiza 2004, 14, 127–131. [Google Scholar] [CrossRef]
- Ortiz-Bustos, C.M.; García-Carneros, A.B.; Molinero-Ruiz, L. La marchitez tardía del maíz (Zea mays L.) causada por Cephalosporium maydis en la Península Ibérica, y otros hongos asociados. Summa Phytopathol. 2015, 41, 107–114. [Google Scholar] [CrossRef][Green Version]
- Carvalho, M.; Brito, I.; Alho, L.; Goss, M.J. Assessing the progress of colonization by arbuscular mycorrhiza of four plant species under different temperature regimes. J. Plant Nutr. Soil Sci. 2015, 178, 515–522. [Google Scholar] [CrossRef][Green Version]
- Brito, I.; Carvalho, M.; Goss, M.J. Soil and weed management for enhancing arbuscular mycorrhiza colonization of wheat. Soil Use Manag. 2013, 29, 540–546. [Google Scholar] [CrossRef]
- Torrecillas, E.; Alguacil, M.M.; Roldán, A. Host preferences of arbuscular mycorrhizal fungi colonizing annual herbaceous plant species in semiarid Mediterranean prairies. Appl. Environ. Microb. 2012, 78, 6180–6186. [Google Scholar] [CrossRef] [PubMed]
- Carvalho, M.; Lourenço, E. Conservation Agriculture—A Portuguese Case Study. J. Agron. Crop Sci. 2014, 200, 317–324. [Google Scholar] [CrossRef]
- FAO. Agriculture and Consumer Protection Department. Conservation Agriculture. Available online: http://www.fao.org/conservation-agriculture/en/ (accessed on 14 February 2020).
- Brito, I.; Goss, M.J.; Carvalho, M. Effect of tillage and crop on arbuscular mycorrhiza colonization of winter wheat and triticale under Mediterranean conditions. Soil Use Manag. 2012, 28, 202–208. [Google Scholar] [CrossRef]
- Cameron, D.D.; Neal, A.L.; van Wees, S.C.M.; Ton, J. Mycorrhiza-induced resistance: More than the sum of its parts? Trends Plant Sci. 2013, 18, 539–545. [Google Scholar] [CrossRef]
- Kabir, Z. Tillage or no-tillage: Impact on mycorrhizae. Can. J. Plant Sci. 2005, 85, 23–29. [Google Scholar] [CrossRef]
- Bender, S.F.; van der Heijden, M.G.A. Soil biota enhance agricultural sustainability by improving crop yield, nutrient uptake and reducing nitrogen leaching losses. J. Appl. Ecol. 2015, 52, 228–239. [Google Scholar] [CrossRef]









| Treatment | HC (%) (±SE) | AC (%) (±SE) | DM (g/plant) (±SE) | Cq Value (±SE) | Grain Production (ton/ha) (±SE) |
|---|---|---|---|---|---|
| Soil Tillage | |||||
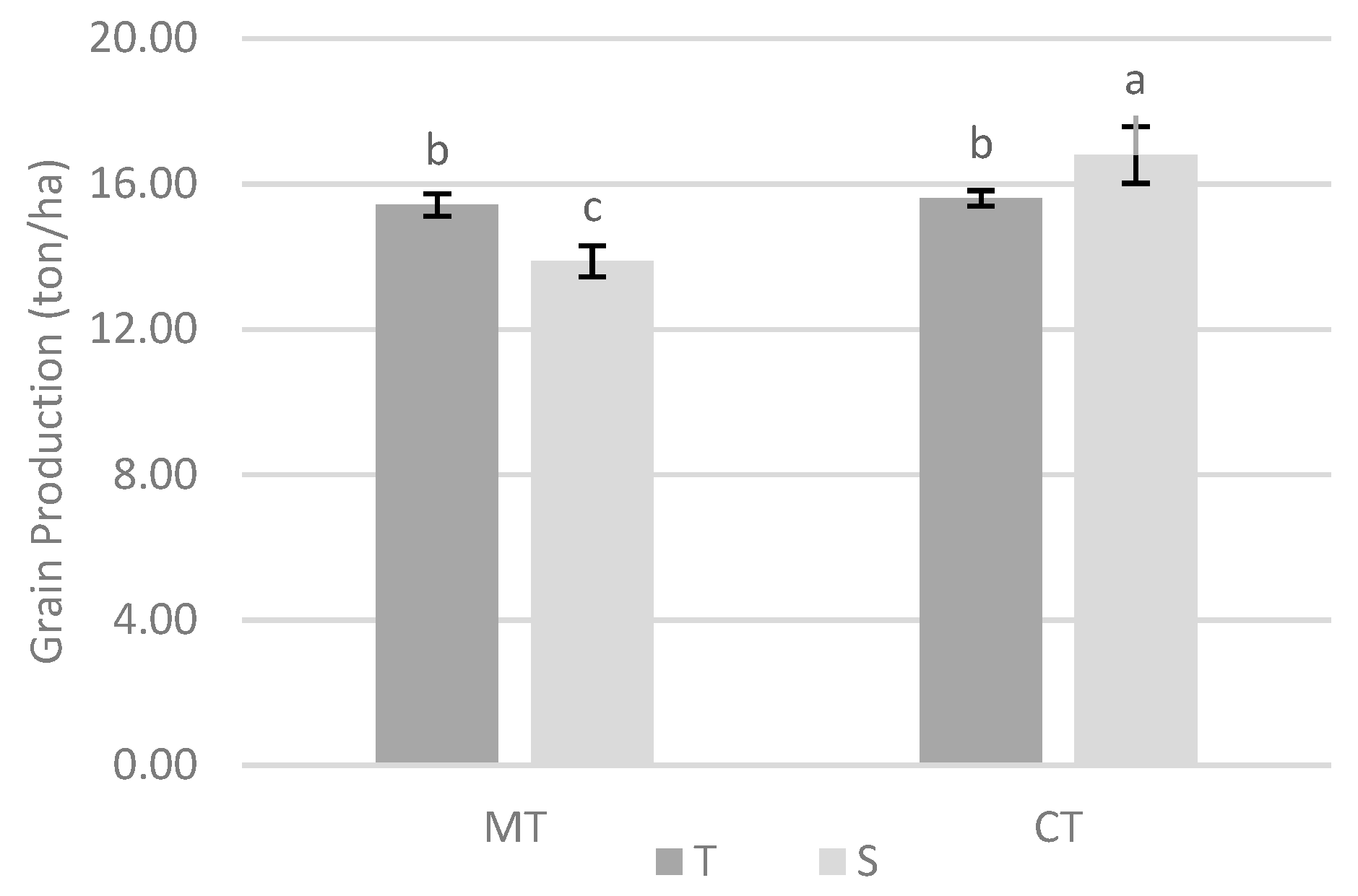
| Minimum Tillage (MT) | 54.40 (±1.91) a | 51.80 (±1.77) a | 14.64 (±3.42) a | 31.58 (±0.48) a | 14.64 (±0.36) b |
| Conventional Tillage (CT) | 48.60 (±2.62) b | 45.70 (±2.67) b | 16.20 (±3.56) a | 31.64 (±0.49) a | 16.20 (±0.43) a |
| Variety | |||||
| Tolerant (T) | 48.60 (±2.54) b | 45.80 (±2.58) b | 15.51 (±3.48) a | 32.39 (±0.28) a | 15.51 (±0.18) a |
| Susceptible (S) | 54.30 (±2.02) a | 51.70 (±1.91) a | 15.33 (±3.50) a | 30.83 (±0.29) b | 15.33 (±0.64) a |
| Sampling Date | |||||
| Date 1 | 50.60 (±2.17) ab | 48.90 (±2.15) ab | 4.14 (±0.16) c | 32.39 (±0.50) a | |
| Date 2 | 57.30 (±2.48) a | 53.70 (±2.47) a | 18.33 (±0.55) b | 31.52 (±0.32) a | |
| Date 3 | 46.40 (±3.37) b | 43.70 (±3.41) b | 48.71 (±0.99) a | 30.92 (±0.69) a |
| Treatment | HC (%) (±SE) | AC (%) (±SE) | DM (g/plant) (±SE) | Cq Value (±SE) | Grain Production (ton/ha) (±SE) |
|---|---|---|---|---|---|
| Soil Tillage | |||||
| Minimum Tillage (MT) | 39.90 (±2.60) a | 38.00 (±2.54) a | 33.55 (±6.32) a | 33.36 (±0.87) a | 11.03 (±0.65) a1) |
| Conventional Tillage (CT) | 41.80 (±2.02) a | 39.30 (±1.88) a | 29.73 (±5.88) b | 30.48 (±0.36) b | 9.38 (±0.56) b1) |
| Variety | |||||
| Tolerant (T) | 45.20 (±1.71) a | 42.80 (±1.66) a | 31.98 (±6.16) a | 31.97 (±0.76) a | 9.73 (±0.62) a |
| Susceptible (S) | 36.50 (±2.53) b | 34.60 (±2.41) b | 31.29 (±6.08) a | 31.87 (±0.70) a | 10.69 (±0.69) a |
| Sampling Date | |||||
| Date 1 | 50.40 (±2.12) a | 47.70 (±2.13) a | 1.89 (±0.10) c | 31.77 (±0.96) a | |
| Date 2 | 34.90 (±2.32) b | 33.80 (±2.25) b | 21.92 (±1.02) b | 31.47 (±0.65) a | |
| Date 3 | 37.30 (±2.45) b | 34.60 (±2.29) b | 71.09 (±1.45) a | 32.52 (±1.04) a |
© 2020 by the authors. Licensee MDPI, Basel, Switzerland. This article is an open access article distributed under the terms and conditions of the Creative Commons Attribution (CC BY) license (http://creativecommons.org/licenses/by/4.0/).
Share and Cite
Patanita, M.; Campos, M.D.; Félix, M.d.R.; Carvalho, M.; Brito, I. Effect of Tillage System and Cover Crop on Maize Mycorrhization and Presence of Magnaporthiopsis maydis. Biology 2020, 9, 46. https://doi.org/10.3390/biology9030046
Patanita M, Campos MD, Félix MdR, Carvalho M, Brito I. Effect of Tillage System and Cover Crop on Maize Mycorrhization and Presence of Magnaporthiopsis maydis. Biology. 2020; 9(3):46. https://doi.org/10.3390/biology9030046
Chicago/Turabian StylePatanita, Mariana, Maria Doroteia Campos, Maria do Rosário Félix, Mário Carvalho, and Isabel Brito. 2020. "Effect of Tillage System and Cover Crop on Maize Mycorrhization and Presence of Magnaporthiopsis maydis" Biology 9, no. 3: 46. https://doi.org/10.3390/biology9030046
APA StylePatanita, M., Campos, M. D., Félix, M. d. R., Carvalho, M., & Brito, I. (2020). Effect of Tillage System and Cover Crop on Maize Mycorrhization and Presence of Magnaporthiopsis maydis. Biology, 9(3), 46. https://doi.org/10.3390/biology9030046

