Combined Impacts of Nitrogen Forms, Rice Husk Biochar, and Water Regime on Purple Rice Yield and Grain Quality
Simple Summary
Abstract
1. Introduction
2. Materials and Methods
2.1. Rice Husk Biochar Pyrolysis and Property Testing
2.2. Experiment Design and Rice Cultivation
2.3. Sample Collection and Preparation
2.4. Grain Quality Analysis
2.5. Statistical Analysis
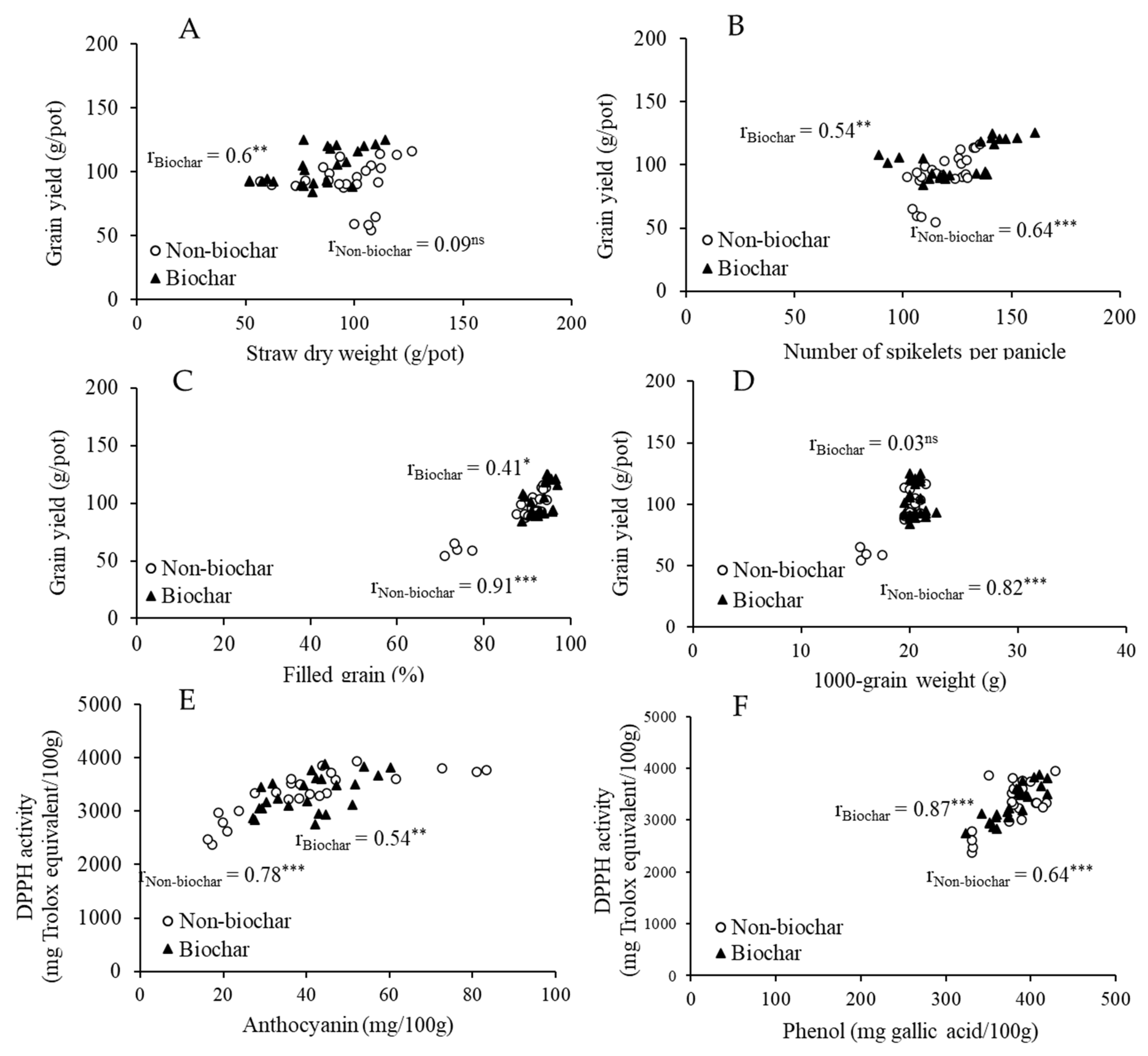
3. Results
3.1. Rice Husk and Biochar Properties
3.2. Grain Yield and Yield Components
3.3. Grain N Concentration and Total Shoot Content
3.4. Grain Appearance and Quality
4. Discussion
5. Conclusions
Author Contributions
Funding
Institutional Review Board Statement
Informed Consent Statement
Data Availability Statement
Acknowledgments
Conflicts of Interest
References
- Bani, C.; Cappa, C.; Restani, P.; Sala, M.; Colombo, F.; Mercogliano, F.; Di, L.C. Physicochemical and nutritional quality of pigmented rice and bran: Influence of milling and cooking. LWT 2024, 208, 116653. [Google Scholar] [CrossRef]
- Evangelista, G.C.; Steiger, E.; Kinner, M.; Jäger, H.; Schönlechner, R. Effects of wholegrain pigmented rice on physical and nutritional properties of gluten-free bread. J. Cereal Sci. 2025, 121, 104096. [Google Scholar] [CrossRef]
- Yamuangmorn, S.; Prom-u-Thai, C. The potential of high-anthocyanin purple rice as a functional ingredient in human health. Antioxidants 2021, 10, 833. [Google Scholar] [CrossRef] [PubMed]
- Dittgen, C.L.; Hoffmann, J.F.; Chaves, F.C.; Rombaldi, C.V.; Filho, J.M.C.; Vanier, N.L. Discrimination of genotype and geographical origin of black rice grown in Brazil by LC-MS analysis of phenolics. Food Chem. 2019, 288, 297–305. [Google Scholar] [CrossRef] [PubMed]
- Rahmawati, A.; Yuniastuti, E.; Nandariyah. Increased anthocyanin content in seven furrows of Cempo Ireng black rice with mutation induction. IOP Conf. Ser. Earth Environ. Sci. 2020, 466, 012010. [Google Scholar] [CrossRef]
- AppaRao, S.; Schiller, J.M.; Bounphanousay, C.; Inthapanya, P.; Jackson, M.T. The colored pericarp (black) rice of Laos. In Rice in Laos; Schiller, J.M., Chanphengxay, M.B., Linquist, B., Appa Rao, S., Eds.; International Rice Research Institute: Los Baños, Philippines, 2006; pp. 175–186. Available online: https://mikejackson1948.blog/wp-content/uploads/2015/07/82.pdf (accessed on 11 February 2026).
- Zhang, A.; Bian, R.; Pan, G.; Cui, L.; Hussain, Q.; Li, L.; Zheng, J.; Zheng, J.; Zhang, X.; Han, X.; et al. Effects of biochar amendment on soil quality, crop yield and greenhouse gas emission in a Chinese rice paddy: A field study of 2 consecutive rice growing cycles. Field Crops Res. 2012, 127, 153–160. [Google Scholar] [CrossRef]
- Sriphirom, P.; Onchang, R.; Rossopa, B.; Chidthaisong, A. The response of greenhouse gas emissions, crop yield, and soil health to water scarcity and biochar application in rice cultivation. Crop Environ. 2025, 4, 57–71. [Google Scholar] [CrossRef]
- Ouyang, W.; Yin, X.; Yang, J.; Struik, P.C. Roles of canopy architecture and nitrogen distribution in the better performance of an aerobic than a lowland rice cultivar under water deficit. Field Crops Res. 2021, 271, 108257. [Google Scholar] [CrossRef]
- Wang, C.; Jing, W.; Fa, X.; Gu, J.; Wang, W.; Zhu, K.; Zhang, W.; Gu, J.; Liu, L.; Wang, Z.; et al. Effect of nitrogen levels on grain yield and quality in improving mid-season japonica rice varieties. J. Sci. Food Agric. 2025, 105, 3010–3023. [Google Scholar] [CrossRef]
- Ke, J.; Sun, J.; Chen, T.; Tao, S.; Zhu, T.; Yin, C.; He, H.; You, C.; Wu, L.; Guo, S. Effects of mixed fertilizers formed by the compounding of two targeted controlled-release nitrogen fertilizers on yield, nitrogen use efficiency, and ammonia volatilization in double-cropping rice. Crop J. 2023, 11, 628–637. [Google Scholar] [CrossRef]
- Haque, A.N.A.; Uddin, M.K.; Sulaiman, M.F.; Amin, A.M.; Hossain, M.; Solaiman, Z.M.; Aziz, A.A.; Mosharrof, M. Combined Use of Biochar with 15Nitrogen Labelled Urea Increases Rice Yield, N Use Efficiency and Fertilizer N Recovery under Water-Saving Irrigation. Sustainability 2022, 14, 7622. [Google Scholar] [CrossRef]
- Khan, M.N.; Huang, J.; Shah, A.; Xiaoyu, H.; Han, T.; Núñez-Delgado, A.; Hayatu, N.G.; Ahmed, I.; Liu, W.; Singh, A.K.; et al. Impact of modified biochar on phosphorus fractionation and biochemical properties for different soils. Environ. Sci. Eur. 2025, 37, 80. [Google Scholar] [CrossRef]
- Yan, Y.; Zhang, Z.; Sun, H.; Liu, X.; Xie, J.; Qiu, Y.; Chai, T.; Chu, C.; Hu, B. Nitrate confers rice adaptation to high ammonium by suppressing its uptake but promoting its assimilation. Mol. Plant 2023, 16, 1871–1874. [Google Scholar] [CrossRef] [PubMed]
- Bushra, B.; Remya, N. Biochar from pyrolysis of rice husk biomass—Characteristics, modification and environmental application. J. Environ. Manag. 2024, 371, 122701. [Google Scholar] [CrossRef]
- Wang, Y.; Yin, R.; Liu, R. Characterization of biochar from fast pyrolysis and its effect on chemical properties of the tea garden soil. J. Anal. Appl. Pyrolysis 2014, 110, 375–381. [Google Scholar] [CrossRef]
- Northern Meteorological Center Climate in Chiang Mai. Available online: http://www.cmmet.tmd.go.th/index1.php (accessed on 6 April 2025).
- Sriphirom, P.; Chidthaisong, A.; Yagi, K.; Tripetchkul, S.; Boonapatcharoen, N.; Towprayoon, S. Effects of biochar on methane emission, grain yield, and soil in rice cultivation in Thailand. Carbon Manag. 2021, 12, 109–121. [Google Scholar] [CrossRef]
- Sakamoto, T.; Yokozawa, M.; Toritani, H.; Shibayama, M.; Ishitsuka, N.; Ohno, H. A crop phenology detection method using time-series MODIS data. Remote Sens. Environ. 2005, 96, 366–374. [Google Scholar] [CrossRef]
- Bremner, J.M.; Tabatabai, M.A. Use of automated combustion techniques for total carbon, total nitrogen, and total sulfur analysis of soils. In Instrumental Methods for Analysis of Soils and Plant Tissue; Soil Science Society of America, Inc.: Madison, WI, USA, 1971; pp. 1–15. [Google Scholar] [CrossRef]
- Abdel-Aal, E.S.; Hucl, P. A rapid method for quantifying total anthocyanins in blue aleurone and purple pericarp wheats. Cereal Chem. 1999, 76, 350–354. [Google Scholar] [CrossRef]
- Pengkumsri, N.; Chaiyasut, C.; Saenjum, C.; Sirilun, S.; Peerajan, S.; Suwannalert, P.; Sirisattha, S.; Sivamaruthi, B.S. Physicochemical and antioxidative properties of black, brown and red rice varieties of northern Thailand. Food Sci. Technol. 2015, 35, 331–338. [Google Scholar] [CrossRef]
- Amarowicz, R.; Pegg, R.B.; Rahimi-Moghaddam, P.; Barl, B.; Weil, J.A. Free-radical scavenging capacity and antioxidant activity of selected plant species from the Canadian prairies. Food Chem. 2004, 84, 551–562. [Google Scholar] [CrossRef]
- Benzie, I.F.; Strain, J.J. The ferric reducing ability of plasma (FRAP) as a measure of “antioxidant power”: The FRAP assay. Anal. Biochem. 1996, 239, 70–76. [Google Scholar] [CrossRef] [PubMed]
- Phares, C.A.; Akaba, S. Co-application of compost or inorganic NPK fertilizer with biochar influences soil quality, grain yield and net income of rice. J. Integr. Agric. 2022, 21, 3600–3610. [Google Scholar] [CrossRef]
- Zhang, L.; Chang, L.; Liu, H.; de Jesús Puy Alquiza, M.; Li, Y. Biochar application to soils can regulate soil phosphorus availability: A review. Biochar 2025, 7, 13. [Google Scholar] [CrossRef]
- Rafique, M.I.; Al-Wabel, M.I.; Al-Farraj, A.S.; Ahmad, M.; Aouak, T.; Al-Swadi, H.A.; Mousa, M.A. Incorporation of biochar and semi-interpenetrating biopolymer to synthesize new slow-release fertilizers and their impact on soil moisture and nutrients availability. Sci. Rep. 2025, 15, 9563. [Google Scholar] [CrossRef]
- Mir, M.S.; Raja, W.; Kanth, R.H.; Dar, E.A.; Shah, Z.A.; Bhat, M.A.; Mir, A.H.; Wani, F.J.; Bhat, T.A.; Bhat, J.A.; et al. Optimizing irrigation and nitrogen levels to achieve sustainable rice productivity and profitability. Sci. Rep. 2025, 15, 6675. [Google Scholar] [CrossRef]
- Kuryntseva, P.; Karamova, K.; Galitskaya, P.; Selivanovskaya, S.; Evtugyn, G. Biochar functions in soil depending on feedstock and pyrolyzation properties with particular emphasis on biological properties. Agriculture 2023, 13. [Google Scholar] [CrossRef]
- Jiang, W.; Wang, Z.; Chen, B.; Ma, J.; Bao, N.; Chen, G.; Wang, X.; Cheng, Y. Interactive effects of planting patterns combined with integrated nutrient management on maize production, water-nitrogen productivity and soil organic carbon fractions. BMC Plant Biol. 2025, 25, 545. [Google Scholar] [CrossRef]
- Luo, H.; Liu, Q.; Wang, J.; Dong, E.; Huang, X.; Wang, Y.; Jiao, X. A Meta-analysis of the effects of biochar on soil inorganic nitrogen content. J. Agric. Resour. Environ. 2024, 41, 826–834. [Google Scholar] [CrossRef]
- Nelissen, V.; Rütting, T.; Huygens, D.; Ruysschaert, G.; Boeckx, P. Temporal evolution of biochar’s impact on soil nitrogen processes—A 15N tracing study. GCB Bioenergy 2015, 7, 635–645. [Google Scholar] [CrossRef]
- Latifah, O.; Ahmed, O.H.; Abdul Majid, N.M. Enhancing nitrogen availability, ammonium adsorption-desorption, and soil pH buffering capacity using composted paddy husk. Eurasian Soil Sci. 2017, 50, 1483–1493. [Google Scholar] [CrossRef]
- Latifah, O.; Ahmed, O.H.; Majid, N.M.A. Enhancing nitrogen availability from urea using clinoptilolite zeolite. Geoderma 2017, 306, 152–159. [Google Scholar] [CrossRef]
- Xiong, S.; Che, F.; Ma, X.; Wang, X.; An, S.; Li, Y. Effects of nitrogen form on the activity of nitrogen bacteria group and inorganic nitrogen in rhizosphere soil of winter wheat. Acta Ecol. Sin. 2012, 32, 5138–5145. [Google Scholar] [CrossRef]
- Khampuang, K.; Dell, B.; Chaiwong, N.; Lordkaew, S.; Rouached, H.; Prom-U-Thai, C. Grain zinc and yield responses of two rice varieties to zinc biofortification and water management. Sustainability 2022, 14, 8838. [Google Scholar] [CrossRef]
- Gao, Q.Q.; Yang, Z.Y.; Pan, F.Y.; Huang, C.F.; Zhou, C.F. Relationship between iron reduction and phosphorus transformation in subtropical red soil under biochar application. For. Res. 2023, 36, 149–159. [Google Scholar] [CrossRef]
- Ma, Y.; Sun, M.; Liang, X.; Zhang, H.; Xiang, J.; Zhao, L.; Fan, X. Rice yield and nitrogen use efficiency under climate change: Unraveling key drivers with least absolute shrinkage and selection operator regression. Agronomy 2025, 15, 677. [Google Scholar] [CrossRef]
- Lei, S.; Raza, S.; Irshad, A.; Jiang, Y.; Elrys, A.S.; Chen, Z.; Zhou, J. Long-term legacy impacts of nitrogen fertilization on crop yield, nitrate accumulation, and nitrogen recovery efficiency. Eur. J. Agron. 2025, 164, 127513. [Google Scholar] [CrossRef]
- Antonangelo, J.A.; Sun, X.; Eufrade-Junior, H.D.J. Biochar impact on soil health and tree-based crops: A review. Biochar 2025, 7, 51. [Google Scholar] [CrossRef]
- Chen, X.Q.; Nagao, N.; Itani, T.; Irifune, K. Anti-oxidative analysis, and identification and quantification of anthocyanin pigments in different colored rice. Food Chem. 2012, 135, 2783–2788. [Google Scholar] [CrossRef]
- Zhang, Z.; Cai, B.; Guo, Y.; Na, T.; Guo, Y. The impact of different nitrogen levels on the tuber yield and anthocyanin synthesis of purple potatoes. Agriculture 2024, 14, 125. [Google Scholar] [CrossRef]
- Jin, Z.; Tao, Y.; Yue, R.; Ma, Z.; Cheng, S.; Khan, M.N.; Nie, L. Trade-off between grain yield and bioactive substance content of colored rice under coupled water and nitrogen conditions. Field Crop Res. 2024, 309, 109312. [Google Scholar] [CrossRef]
- Reddy, K.; Mallesham, B.; Aakanksha, W.; Gupta, K.J. An Overview of Important Enzymes Involved in Nitrogen Assimilation of Plants. Methods Mol. Biol. 2020, 2057, 1–13. [Google Scholar] [CrossRef]
- Xia, H.; Zhang, T.; Li, X.; He, T.; Wang, X.; Zhang, J.; Zhang, K. Effects of drought and nutrient deficiencies on the allocation of recently fixed carbon in a plant–soil–microbe system. Tree Physiol. 2023, 43, 1903–1916. [Google Scholar] [CrossRef]
- Zhao, G.; Gao, K.; Gao, M.; Xu, X.; Li, Z.; Yang, X.; Tian, P.; Wei, X.; Wu, Z.; Yang, M. Straw returning combined with application of sulfur-coated urea improved rice yield and nitrogen use efficiency through enhancing carbon and nitrogen metabolism. Agriculture 2025, 15, 1554. [Google Scholar] [CrossRef]
- Tian, W.; Wilson, T.L.; Chen, G.; Guttieri, M.J.; Nelson, N.O.; Fritz, A.; Smith, G.; Li, Y. Effects of environment, nitrogen, and sulfur on total phenolic content and phenolic acid composition of winter wheat grain. Cereal Chem. 2021, 98, 903–911. [Google Scholar] [CrossRef]







| Property | Rice Husk | Rice Husk Biochar | Unit |
|---|---|---|---|
| Nitrogen | 0.23 | 0.84 | % |
| Phosphorus | 0.12 | 0.37 | % |
| Potassium | 0.42 | 1.04 | % |
| Organic matter | 62.73 | 10.77 | % |
| Organic carbon | 36.38 | 6.25 | % |
| Carbon/nitrogen ratio | 158:1 | 7:1 | - |
| pH | 6.16 | 9.48 | - |
| Electrical conductivity | 0.62 | 0.77 | ds/m |
| BET surface | nd | 82.06 | m2/g |
| Adsorption area | nd | 14.32 | m2/g |
| Pore volume | nd | 0.02 | cm2/g |
| Pore size | nd | 2.27 | nm |
| Water Regime (W) | Biochar Application (B) | Nitrogen Form (N) | W × B | W × N | B × N | W × B × N | |
|---|---|---|---|---|---|---|---|
| Grain yield | *** | *** | *** | * | *** | *** | *** |
| Straw dry weight | ns | *** | *** | ns | *** | ns | ns |
| Plant height | *** | ns | *** | ns | * | ** | ns |
| No. of tillers/plant | *** | * | *** | ns | *** | ns | ns |
| No. of panicles/plant | *** | ns | *** | ** | *** | ns | ns |
| No. of spikelets/panicle | *** | *** | *** | *** | ns | *** | ns |
| Filled grain (%) | *** | *** | *** | *** | *** | *** | *** |
| 1000-grain weight (g) | *** | *** | ** | ** | *** | *** | *** |
| Grain N concentration (%) | *** | *** | *** | ** | *** | * | ns |
| Total shoot N content (g/pot) | * | *** | *** | ns | *** | ns | ns |
| Grain anthocyanin (mg/100 g) | *** | ns | *** | ** | *** | *** | ** |
| Grain DPPH activity (mg/100 g) | ns | ns | *** | ns | *** | *** | ns |
| Grain total phenol (mg/100 g) | *** | ns | ** | *** | *** | *** | ns |
Disclaimer/Publisher’s Note: The statements, opinions and data contained in all publications are solely those of the individual author(s) and contributor(s) and not of MDPI and/or the editor(s). MDPI and/or the editor(s) disclaim responsibility for any injury to people or property resulting from any ideas, methods, instructions or products referred to in the content. |
© 2026 by the authors. Licensee MDPI, Basel, Switzerland. This article is an open access article distributed under the terms and conditions of the Creative Commons Attribution (CC BY) license.
Share and Cite
Limsomnuek, R.; Yamuangmorn, S.; Jawana, R.; Kamthai, S.; Sanwangsri, M.; Prom-u-thai, C. Combined Impacts of Nitrogen Forms, Rice Husk Biochar, and Water Regime on Purple Rice Yield and Grain Quality. Biology 2026, 15, 349. https://doi.org/10.3390/biology15040349
Limsomnuek R, Yamuangmorn S, Jawana R, Kamthai S, Sanwangsri M, Prom-u-thai C. Combined Impacts of Nitrogen Forms, Rice Husk Biochar, and Water Regime on Purple Rice Yield and Grain Quality. Biology. 2026; 15(4):349. https://doi.org/10.3390/biology15040349
Chicago/Turabian StyleLimsomnuek, Rachanat, Supapohn Yamuangmorn, Rotsukon Jawana, Suthaphat Kamthai, Montri Sanwangsri, and Chanakan Prom-u-thai. 2026. "Combined Impacts of Nitrogen Forms, Rice Husk Biochar, and Water Regime on Purple Rice Yield and Grain Quality" Biology 15, no. 4: 349. https://doi.org/10.3390/biology15040349
APA StyleLimsomnuek, R., Yamuangmorn, S., Jawana, R., Kamthai, S., Sanwangsri, M., & Prom-u-thai, C. (2026). Combined Impacts of Nitrogen Forms, Rice Husk Biochar, and Water Regime on Purple Rice Yield and Grain Quality. Biology, 15(4), 349. https://doi.org/10.3390/biology15040349

