Next Article in Journal
Role of StAR Gene in Sex Steroid Hormone Regulation and Gonadal Development in Ark Shell Scapharca broughtonii
Next Article in Special Issue
Metagenomic Analysis Revealed Significant Changes in the Beef Cattle Rectum Microbiome Under Fescue Toxicosis
Previous Article in Journal
Characterization of Small Extracellular Vesicles Isolated from Aurelia aurita
Previous Article in Special Issue
Novel Approaches in Glucose and Lipid Metabolism Disorder Therapy: Targeting the Gut Microbiota–Bile Acid Axis
 
 
Font Type:
Arial Georgia Verdana
Font Size:
Aa Aa Aa
Line Spacing:
Column Width:
Background:
Review

Interaction Between Konjac Glucomannan and Gut Microbiota and Its Impact on Health

1
College of Food Science and Technology, Zhejiang University of Technology, Hangzhou 310014, China
2
Rawbery Foods Biotech Co., Ltd., Huzhou 313099, China
3
Sichuan Sweet Agriculture Co., Ltd., Guangyuan 628475, China
*
Authors to whom correspondence should be addressed.
Biology 2025, 14(8), 923; https://doi.org/10.3390/biology14080923
Submission received: 25 June 2025 / Revised: 16 July 2025 / Accepted: 21 July 2025 / Published: 23 July 2025
(This article belongs to the Special Issue Gut Microbiome in Health and Disease (2nd Edition))

Simple Summary

Konjac glucomannan (KGM), a highly effective prebiotic, exerts a pivotal influence on regulating the composition and structure of gut microbiota. An increasing body of evidence underscores the robust correlation between gut microbial diversity and human health, encompassing its significance in a wide array of diseases. This review delves into the structural features of KGM and its impact on gut microbiota. Particular emphasis is placed on the mechanisms through which KGM-mediated microbial modulation mitigates metabolic disorders, intestinal diseases, and neurological disorders, thus exploring its potential as a novel therapeutic approach.

Abstract

Konjac glucomannan (KGM) is a natural polysaccharide polymer. It is degraded by gut microbiota-derived β-mannanase into small-molecule nutrients, which exert diverse physiological regulatory effects. As a prebiotic, KGM modulates gut microbiota composition. It selectively fosters the proliferation of beneficial commensals and suppresses potential pathogens, thereby alleviating microbiota-related disorders. Moreover, microbiota fermentation of KGM produces metabolites. Short-chain fatty acids (SCFAs) are particularly notable among these metabolites. They exert multifaceted beneficial effects, including metabolic regulation, intestinal barrier strengthening, and neuroprotective functions. These effects are mediated through inhibition of inflammatory pathways (e.g., NF-κB, MAPK), modulation of lipid metabolism genes (e.g., CD36), and regulation of neurotransmitters (e.g., GABA, 5-HT). This highlights KGM’s therapeutic potential for metabolic, inflammatory, and neurodegenerative diseases. Current clinical use is limited by dose-dependent adverse effects and interindividual response variability, which stem from different microbial communities. This necessitates personalized dosage strategies. Despite these limitations, KGM as a prebiotic polysaccharide exhibits multifaceted bioactivity. Current evidence suggests its potential to synergistically modulate metabolic pathways, gut microbiota composition, immune cell signaling, and neuroendocrine interactions. This highlights its promise for developing novel therapeutic interventions.

1. Introduction

For modern high-risk diseases—including metabolic disorders, inflammatory bowel diseases, autoimmune conditions, and neurodegenerative disorders—current treatment strategies (e.g., insulin sensitizers and anti-inflammatory drugs) have shown some efficacy, but long-term effectiveness and safety remain major challenges [1]. Despite their heterogeneous clinical manifestations, growing evidence suggests that their pathogenesis is closely linked to gut microbiota dysbiosis. The gut microbiome is a “superorganism” composed of trillions of microorganisms [2]. It show a highly dynamic and diverse structure, mainly composed of Firmicutes, Bacteroidetes, Actinobacteria, Proteobacteria, and Verrucomicrobia [3]. In healthy adults, Firmicutes is the most abundant phylum, followed by Bacteroidetes and Actinobacteria. Under normal conditions, the gut microbiota maintains a symbiotic relationship with the host, regulating essential physiological functions, such as nutrient digestion and absorption, protection against pathogens, and immune homeostasis [4]. However, gut dysbiosis disrupts this symbiotic balance and may lead to various physiological dysfunctions. Extensive research demonstrates that gut microbiota dysbiosis can exacerbate disease progression through multiple mechanisms, including the following: (1) Dysregulation of energy metabolism; (2) compromised intestinal barrier integrity; (3) disruption of immune system homeostasis; and (4) impaired brain neuronal function [5,6,7]. Thus, dietary interventions targeting gut microbiota modulation hold promise as a novel therapeutic approach for mitigating modern high-risk diseases.
Amorphophallus konjac is rich in alkaloids, starch, proteins, and soluble polysaccharides [8]. Its tubers contain up to 60% konjac glucomannan (KGM), a unique natural polysaccharide [9]. KGM is extracted by physical or chemical methods (e.g., grinding, water extraction, alcohol precipitation) and consists of D-glucose and D-mannose. It exhibits high viscosity, gel-forming capacity, and prebiotic activity, with benefits including blood glucose/lipid reduction, intestinal barrier enhancement, immune modulation, and low caloric value [10,11]. Recent studies have further revealed that KGM selectively promotes beneficial bacteria (e.g., Bifidobacteria, Lactobacilli), inhibits harmful strains (e.g., Escherichia coli), optimizes the structure of gut microbiota, and exerts multi-system health effects [12]. Moreover, as a non-digestible polysaccharide, KGM is metabolized by gut microbes into absorbable small molecules and SCFAs, thereby improving gut barrier function and systemic metabolism [13,14]. Its water retention capacity also enhances satiety, slows glucose/lipid absorption, and reduce obesity risks [15]. A thorough comprehension of these mechanisms will underpin the development of novel dietary therapeutics for modern high-risk disease management.
Current research has mainly focused on the therapeutic effects of KGM in specific diseases, but there is still a lack of research on the mechanism of its systemic health effect through the regulation of gut microbiota. This review synthesizes the latest evidence to comprehensively elucidate the KGM–gut microbiota interaction, the process of gut microbiota fermentation and metabolism of KGM, and how KGM mediates the mediation mechanism of gut microbiota to alleviate metabolic disorders, intestinal inflammation, and neurological diseases. It provides a new perspective for clinical management of modern high-risk diseases.

2. Chemical Composition and Structural Characteristics of KGM

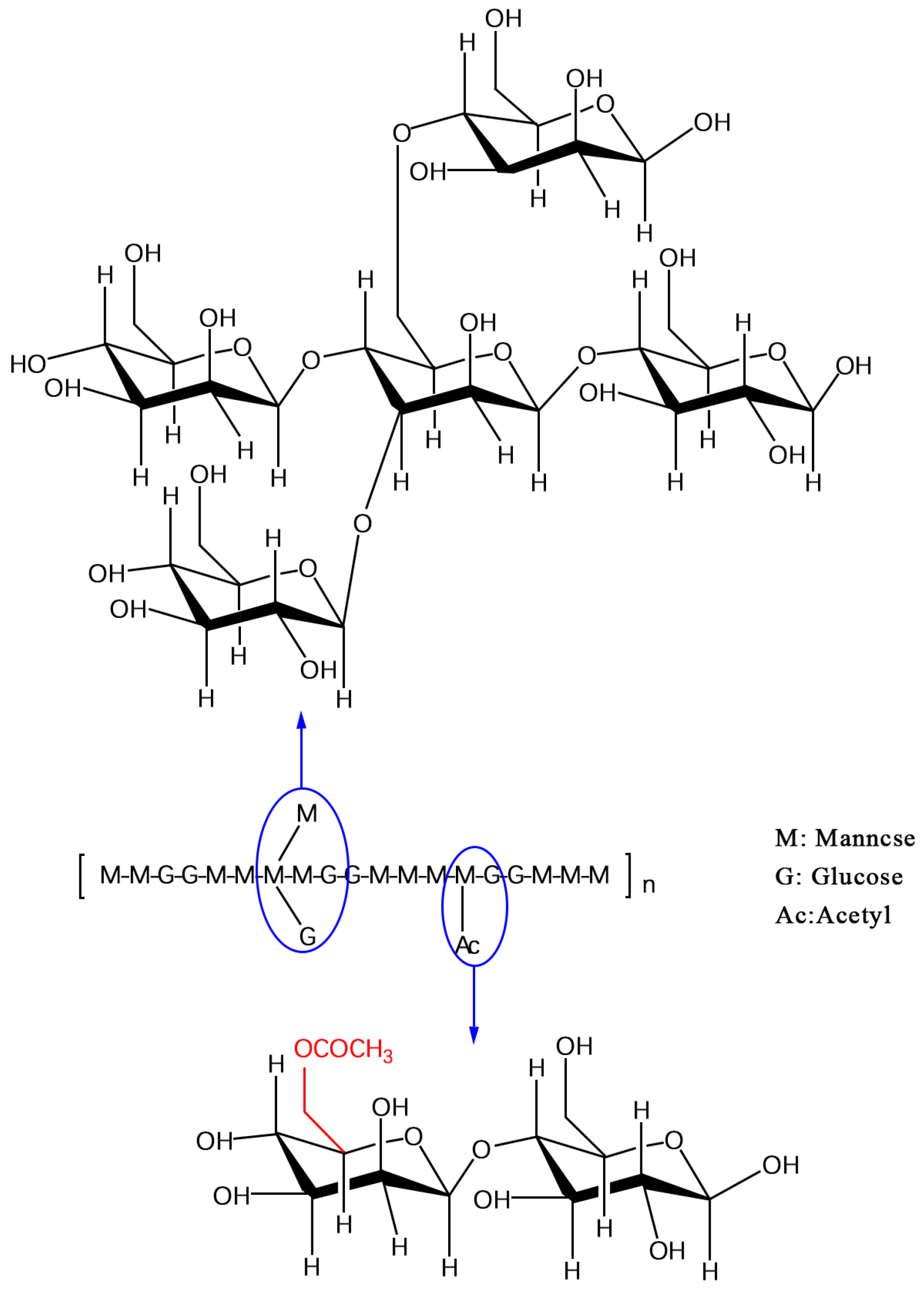
KGM is a natural polysaccharide that can be hydrolyzed into D-glucose and D-mannose under specific conditions, with a molecular formula of (C6H10O5)n [16]. The main chain of KGM is composed of two monosaccharides linked by β-1,4 glycosidic bonds, with a molar ratio of 1:1.6-1:2. The branched chain, consisting of mannose, is connected to the C3 position of the main chain through β-1,3 glycosidic bonds [17]. KGM exhibits a broad molecular weight range, typically between 200 kDa and 2000 kDa [18]. The molecular weight distribution of KGM is influenced by various factors, including different Konjac varieties (such as Amorphophallus albus and Amorphophallus konjac) and extraction methods (including acid, alkali, and enzyme methods) [12,19]. Furthermore, acetyl groups, which are crucial for KGM’s solubility and gelation properties, are attached to the C6 position via ester bonds (Figure 1). On average, one acetyl group is present for every 9–20 sugar residues, resulting in a degree of substitution of approximately 5–10% in the main chain [10,20].
KGM is a high-molecular-weight polysaccharide with a complex structure. Its degradation primarily relies on the synergistic action of β-mannanase, β-mannosidase, and β-glucosidase [21]. The enzymatic process proceeds as follows: (1) β-mannanase cleaves the long-chain KGM polysaccharide into shorter mannan oligosaccharides (MOSs) and glucose oligosaccharides (GOSs) [22]; (2) β-mannosidase hydrolyzes the β-1,4-mannosidic bond at the non-reducing ends of the MOS fragments, releasing mannose [23]; (3) concurrently, β-glucosidase hydrolyzes the β-1,4-glucosidic bond at the non-reducing ends of the GOS fragments, yielding glucose [24]. Notably, humans lack digestive enzymes capable of directly degrading KGM, rendering it indigestible by the host. However, studies have identified KGM-degrading gut microbiota that produce β-mannanase in the small intestine and colon [25]. Specifically, Bifidobacterium and Bacteroides strains have been confirmed to encode β-mannanase, enabling them to metabolize KGM [26,27]. Through enzymatic degradation, these microbes convert KGM into SCFAs—compounds that serve as an energy source for the host and mediate diverse physiological effects [28].

3. Regulatory Effects of KGM on Gut Microbiota

3.1. Changes in Gut Microbiota Composition

As illustrated in Figure 2, KGM effectively modulates gut microbiota homeostasis by selectively promoting the proliferation of beneficial bacterial species while suppressing pathogenic strains, thereby improving intestinal microecological health.

3.1.1. The Promoting Effect of KGM on Beneficial Bacteria

The gut microbiota plays a crucial role in human physiological processes and is a key determinant of intestinal barrier integrity. Beneficial gut bacteria not only inhibit the proliferation of pathogenic bacteria but also neutralize harmful metabolites that threaten host health. Moreover, their enrichment of beneficial bacteria contributes to maintaining gut microbiota homeostasis, thereby preventing intestinal barrier dysfunction. Notably, KGM supplementation has been shown to promote the growth of beneficial intestinal bacteria and restore microbial balance, potentially alleviating metabolic disorders. Liu et al. demonstrated in an irradiated mice model that KGM effectively mitigated radiation-induced gut microbiota dysbiosis and significantly increased the abundance of probiotics, including Lactobacillus, Lachnoclostridium, Alloprevotella, Blautia, and Akkermansia muciniphila [29]. Among these, Lactobacillus and its metabolites exhibit therapeutic potential against various gastrointestinal diseases [30]. Akkermansia muciniphila enhance insulin sensitivity and glucose tolerance through anti-inflammatory mechanism, offering protective effects against type 2 diabetes mellitus (T2DM) [31]. Supporting these findings, Hong et al. revealed that dietary supplementation with 100 g/kg of KGM in high-fat diet (HFD) mice for 16 weeks markedly increased the abundance of Akkermansia muciniphila, Alistipes, Olsenella, and Bifidobacterium [32]. As a dominant commensal bacterium in the human gut, Bifidobacterium ferments KGM to produce acetate and lactic acid, thereby lowing intestinal pH and suppressing pathogenic bacterial growth [33,34]. Furthermore, multiple studies report that KGM enhances the abundance of Prevotella, Roseburia, Faecalibacterium, and Ruminococcus [28,35]. These microbial shifts improve the intestinal microecological equilibrium, strengthen barrier function, and attenuate inflammatory response.

3.1.2. The Inhibitory Effect of KGM on Potentially Harmful Bacteria

KGM and its metabolites directly modulate the internal microenvironment, altering the structure and composition of the gut microbiota. Notably, KGM restores microbial equilibrium primarily through a prebiotic effect, indirectly suppressing pathogenic bacteria rather than exerting direct bactericidal activity. For instance, propionate, a degradation product of KGM, exhibits potent growth-inhibiting effects against Salmonella enterica. Additionally, organic acids derived from KGM metabolism lower intestinal pH, thereby creating an unfavorable environment for pathogenic bacterial proliferation. Gao et al. demonstrated that maternal KGM supplementation during late pregnancy and lactation significantly reduced the abundance of unclassified Erysipelotrichaceae, Clostridium, and Candidatus Saccharimonas [36]. Of particular clinical relevance, Candidatus Saccharimonas is associated with inflammatory conditions and dysregulated immune responses, and its enrichment has been observed in patients with Crohn’s disease (CD) and ulcerative colitis (UC) [37]. Further evidence indicates that KGM and depolymerized KGM (DKGM) treatment in HFD mice markedly decreased the relative abundance of opportunistic pathogens, including Sporobacter, Helicobacter, Anaeroplasma, and Desulfovibrio [32]. The excessive proliferation of Desulfovibrio is particularly detrimental, as it releases endotoxins (e.g., lipopolysaccharides, LPS), compromises intestinal barrier integrity, disrupts metabolic balance, and perpetuates chronic inflammation, ultimately contributing to systemic pathophysiology [38]. Beyond its metabolic effects, KGM’s gel-forming properties physically encapsulate pathogenic bacteria, reducing their adhesion to the intestinal epithelium and mitigating subsequent barrier damage.

3.2. Metabolites of KGM Fermented by Gut Microbiota

Currently, SCFAs represent the most extensively studied metabolites in gut microbiota research. These compounds are predominantly produced through microbial fermentation of indigestible polysaccharides—including resistant starch, oligofructose, and various monosaccharides and polysaccharides—by gut microbiota in the cecum and colon [39,40]. These SCFAs, primarily comprising acetate, propionate, valerate, and butyrate, serve as crucial energy sources when metabolized in the mitochondrial matrix, providing fuel for diverse tissues, such as liver, heart, and skeletal muscle [41]. Beyond their metabolic roles, SCFAs exhibit multifaceted physiological functions. These include blood glucose regulation, controlled drug release through hybridization with monosaccharide molecules, maintenance of water and electrolyte balance, antimicrobial and anti-inflammatory activities, modulation of gut microbiota composition, enhancement of intestinal function, immune regulation, antitumor effects, and gene expression modulation [42]. Importantly, these diverse functions highlight the systemic impact of SCFAs on host physiology. KGM, a natural polysaccharide derived from the konjac plant [43], represents a particularly interesting substrate for SCFAs production. Due to the absence of specific digestive enzymes in humans, KGM resists direct digestion in the gastrointestinal tract and requires fermentation by colonic bacteria, such as Lactobacillus and Bifidobacterium, to exert its health benefits [13,32]. This fermentation process primarily yields acetate, propionate, and butyrate [44], making KGM an important dietary component for SCFA production. As shown in Figure 3, colonic bacteria expressing β-mannanase initially hydrolyze KGM into monosaccharides (pentose and hexose), which are subsequently converted to pyruvate via glycolytic pathways including the Embden–Meyerhof–Parnas (EMP), pentose phosphate (HMP), and Entner–Doudoroff (ED) pathway [33,45]. Supporting this metabolic cascade, Qi et al.’s metabolomics study demonstrated significantly elevated pyruvate levels in the gastrointestinal tract of constipated mice following KGM supplementation [46]. As a key intermediate product in the metabolic pathway of KGM fermentation, pyruvate synthesizes SCFAs through the following three pathways: (1) acetate production via acetyl-CoA or the Wood–Ljungdahl pathway; (2) propionate generation through succinic acid, acrylate, or propanediol pathways; and (3) butyrate synthesis via butyrate kinase, butyryl-CoA–acetate CoA transferase, or acetyl-CoA acetyltransferase pathways [47].
Notably, KGM fermentation by gut microbiota generates not only SCFAs but also gases and organic acids. These byproducts collectively contribute to intestinal environmental optimization, demonstrating that KGM’s impact extends beyond SCFA production to exert profound effects on gut health and systemic physiological functions [48,49].

3.2.1. Acetate

Acetate plays a crucial role in maintaining intestinal microecological homeostasis and promoting systemic health [50]. As the most abundant SCFAs in the colon, acetate serves dual functions as both a metabolic substrate and signaling molecule. It provides an essential energy source for beneficial gut microbiota, supporting their proliferation and thereby contributing to the stability of the intestinal microbial ecosystem [51]. The antimicrobial properties of acetate constitute another important mechanism of action. By lowering intestinal pH, acetate creates an unfavorable environment for pathogenic bacteria, such as Clostridium spp., significantly reducing their colonization potential and infection risk [52,53]. Beyond its microbial modulatory effects, acetate enhances intestinal epithelial integrity through multiple mechanisms [54]. Pioneering work by Macia et al. using Gpr43 −/− and GPR109a −/− mice models demonstrated that acetate directly activates nucleotide-binding oligomerization domain-like receptor protein 3 (NLRP3) inflammasome, stimulating IL-18 secretion. The released IL-18 subsequently binds to its cognate receptor on intestinal epithelial cells, reinforcing intestinal barrier function—a critical mechanism in colitis prevention [55]. Notably, acetate’s physiological influence extends beyond the gastrointestinal tract to systemic metabolic regulation. Kimura et al. revealed that acetate mediates metabolic regulation through GPR43 signaling in adipocytes. By inhibiting the insulin signaling pathway, acetate reduces lipid accumulation in adipose tissue while promoting the utilization of free fatty acids and glucose in peripheral tissues [56]. This dual action positions acetate as a potential therapeutic target for metabolic disorders.

3.2.2. Propionate

Propionate, a three-carbon SCFA, is primarily synthesized by intestinal microbiota belonging to the Bacteroidetes and Firmicutes phyla, particularly members of the Lachnospiraceae family, through both the succinic acid and propylene glycol pathways [57]. This metabolite plays a pivotal role in maintaining intestinal homeostasis by enhancing epithelial integrity and barrier function, thereby exerting protective effects against inflammatory bowel diseases, such as CD and colorectal cancer (CRC) [58]. At the molecular level, propionate modulates immune responses through dual mechanisms, namely (1) inhibition of histone deacetylases (HDACs), which regulates inflammation-associated gene expression; (2) activation of specific G protein-coupled receptors (GPCRs) that influence cellular metabolism [42]. Beyond its local intestinal effects, propionate acts as an important signaling molecule that contributes to systemic metabolic regulation by promoting hepatic gluconeogenesis and maintaining lipid–glucose homeostasis through adenosine monophosphate-activated protein kinase-dependent pathways [59]. Additional research by Edward S et al. found that propionate enhances glucose-stimulated insulin secretion via protein kinase C (PKC) signaling, improving β-cell function and ameliorating metabolic disorders [60]. In addition, propionate influences energy homeostasis through the gut–brain axis by stimulating the secretion of anorexigenic hormones, including peptide YY (PYY) and glucagon-like peptide-1 (GLP-1), thereby regulating satiety signals [61].

3.2.3. Butyrate

In general, polysaccharides produce butyrate through bacterial fermentation in the host colon through two metabolic pathways, namely (1) phosphorylation of butyryl-CoA to form butyryl phosphate, which is converted to butyrate by butyrate kinase [62], and (2) transfer of the CoA group from butyryl-CoA to acetate via butyryl-CoA–acetate-CoA transferase, yielding butyrate and acetyl-CoA [63]. As the preferred energy source for colonic epithelial cells, butyrate critically supports intestinal homeostasis [64]. Among SCFAs, butyrate stands out due to its diverse physiological functions, including the facilitation of transepithelial transport, attenuation of mucosal inflammation, reduction of oxidative stress, enhancement of epithelial barrier integrity, and prevention of CRC [65]. The predominant butyrate-producing bacteria, primarily Clostridium-related genera within the Firmicutes phylum (e.g., Aecalibacterium, Roseburia, Eubacterium, Anaerostipes, Coprococcus, Subdoligranulum, and Anaerobutyricum), underscore its microbial origins [66]. Beyond gut health, butyrate demonstrates promise in metabolic diseases. For instance, Gao et al. observed significantly reduction in body weight, adiposity, fasting glucose, and insulin resistance in obese mice after 5 weeks of supplementation, highlighting its potential against diet-induced metabolic disorders [67]. Moreover, butyrate exerts potent anti-inflammatory effects by suppressing pro-inflammatory cytokines (IFN-γ, TNF-α, IL-1B, IL-6 and IL-8) while elevating anti-inflammatory mediators (IL-10 and TGF-B), thereby modulating immune responses [68,69]. Additionally, it fortifies intestinal defense by stimulating goblet cell mucin production and tightening epithelial junctions, restricting systemic translocation of luminal pathogens and toxins [70].

4. The Health Effects of KGM Mediated by Gut Microbiota

As shown in Figure 4, the gut microbiota coordinates many physiological processes, and the dysbiosis of this microbial community is related to the pathogenesis of various disorders. Notably, KGM has demonstrated significant regulatory effects on gut microbiota composition and function. Through microbial fermentation, KGM promotes the production of bioactive metabolites, particularly SCFAs, which mediate its beneficial physiological effects. As summarized in Table 1, KGM modulates gut microbiota–host interactions through multiple mechanisms, offering therapeutic potential for various human diseases.

4.1. Metabolic Disorders

4.1.1. Obesity

Obesity is a complex metabolic disorder that extends beyond weight gain, significantly increasing the risk of diabetes, cardiovascular disease, and immune-related diseases [79]. As a natural functional polysaccharide, KGM demonstrates pronounced anti-obesity properties through its remarkable water-binding capacity and high viscosity, mechanisms which collectively promote satiety induction via gastric distension, delay gastric emptying, attenuate postprandial glycemic fluctuations, and improve dyslipidemia profiles [80,81,82].
Importantly, KGM’s recently elucidated modulatory effect on gut microbiota composition further expand its therapeutic potential, positioning it as a multifaceted intervention agent in comprehensive obesity management strategies. In general, there is a close relationship between obesity and gut microbiota dysbiosis. The diversity and richness of gut microbiota in obese individuals tend to decrease [83], and the ratio of Firmicutes to Bacteroidetes (F/B) is significantly increased [84]. This dysbiosis is considered to be an important driver of obesity and its related metabolic disorders. Guo et al. found that KGM supplementation not only reduced the F/B ratio in HFD-induced obese mice but also significantly increased the abundance of Rikenellaceae, Bacteroidaceae, and Akkermansiaceae in the intestine tract [85]. These microbial taxa are well known to be closely associated with metabolic health and immune regulation. Specifically, Akkermansiaceae abundance is negatively correlated with the incidence of obesity-related metabolic disorders [86], while Rikenellaceae abundance is positively correlated with appetite suppression, increased energy expenditure, and inhibition adipogenesis [87]. Thus, regulating the abundance of this gut microbiota may directly ameliorate obesity. Further evidence highlights the breadth of KGM’s microbial modulation, Liu et al. induced obesity in mice with a high-fat and high-fructose diet (HFFD) and conducted a 12-week KGM intervention. They observed that KGM intake significantly altered the β diversity of gut microbiota in obese mice, specifically enhancing the abundance of Clostridium IV and Parasutterella (linked to cholesterol metabolism) while suppressing Coprobacter and Streptococcus (associated with inflammation) [88]. Structural optimization likely improves obesity by modulating SCFAs metabolism and reducing intestinal inflammation. Notably, Parasutterella not only participates in bile acid homeostasis and cholesterol metabolism but also modulates hypothalamic inflammation in obesity, thereby influencing appetite and satiety regulation and effectively improving obesity [89].
Furthermore, KGM intake significantly reduced body weight, fat mass, and blood lipid levels in obese mice while alleviating obesity-induced liver damage and inflammation. Collectively, these findings demonstrate that KGM effectively restores gut microbiota composition, mitigates dysbiosis in obesity, and subsequently regulates lipid metabolism, highlighting its multifaceted therapeutic potential.

4.1.2. Diabetes

Diabetes is a chronic metabolic disorder characterized by hyperglycemia [90]. Accumulating evidence in recent years suggests that gut microbiota plays a pivotal role in the pathogenesis and progression of diabetes, with alterations in its composition and function potentially contributing directly or indirectly to the diabetes [91]. In healthy individuals, the gut microbiota maintains high diversity and dynamic equilibrium, whereas in diabetic patients, this balance is often broken [92]. Specifically, the abundance of beneficial bacteria, such as Bifidobacterium and Faecalibacterium prausnitzii, is markedly reduced in T2DM patients compared to healthy individuals [93,94], whereas the abundance of opportunistic pathogens, like Bacteroides, Escherichia coli, and Desulfovibrio, is significantly increased [95]. Bifidobacterium and Faecalibacterium prausnitzii ferment dietary fibers to produce SCFAs. These SCFAs can not only enhance insulin sensitivity and glucose metabolism but also exert potent anti-inflammatory effects, thereby contributing to diabetes prevention and management [96,97].
KGM, as a natural functional dietary fiber, exhibits anti-diabetic properties through its modulatory effects on gut microbiota and subsequent production of beneficial metabolites. Evidence indicates that viscous dietary fiber consumption effectively elevates the relative abundance of probiotics, including Enterococcus and lactic acid bacteria [98]. In an experimental study by Deng et al., dietary supplementation with KGM in HFD-fed mice demonstrated significant enhancement of gut microbiota diversity, with particular enrichment of Ruminococcus and Clostridium genera. This microbial remodeling was concomitant with increased SCFA production and upregulated G protein-coupled receptor (GPCR) expression [73]. These changes further improved the regulation of bile acid synthesis, thereby contributing to the anti-diabetic effects of KGM. Clinical trials validate KGM’s translational potential: In a 28-day intervention study by Chen et al., 22 diabetic subjects consumed 3.6 g of KGM daily. This supplementation significantly increased fecal excretion of neutral sterols and bile acids while mitigating postprandial blood glucose elevation, demonstrating KGM’s therapeutic potential in diabetes [99].Beyond bile acids, KGM targets amino acid metabolism, mechanistic studies reveal that KGM’s therapeutic potential may involve suppression of microbial taxa associated with branched-chain amino acids (BCAA), including Clostridium, Bacteroides, Prevotella, Klebsiella, and Streptococcus [100]. This is clinically significant, because elevated BCAA levels are known to activate the mTOR-S6K1 signaling axis in hepatic, muscular, and adipose tissues, where sustained mTOR activation induces inhibitory serine phosphorylation of IRS-1, ultimately leading to insulin resistance [101]. Recent investigations have additionally demonstrated that coadministration of Polygonatum cyrtonema Hua polysaccharide (PCP) with KGM effectively attenuates postprandial glycemic excursions in dysphagic patients receiving liquid nutritional support, primarily through a significant reduction in S24-7 and Helicobacter pylori [74]. These microbial markers are strongly linked to glucose dysregulation, as S24-7 abundance shows a strong positive correlation with fasting blood glucose (FBG) variability, while Helicobacter pylori exhibit significant associations with FBG, insulin levels, and triglyceride (TG) levels. Complementary studies further associate decreased S24-7 abundance with improved glucose tolerance and document positive correlations between Helicobacter pylori and glycated hemoglobin levels [102,103]. Finally, KGM’s promotion of beneficial bacteria offers systemic benefits, as its ability to proliferate Akkermansia muciniphila in HFD murine models enhances insulin sensitivity and reduces systemic inflammation [72,104].
Collectively, these findings position KGM as a promising therapeutic agent for diabetes management through its multifaceted mechanisms of action, namely gut microbiota composition modulation, SCFA production enhancement, suppression of BCAA-producing bacteria, and promotion of beneficial microbial taxa. These properties underscore the significant potential of KGM in developing novel strategies for the prevention and treatment of diabetes.

4.1.3. Hyperlipidemia

Hyperlipidemia is defined as the presence of excessive fat or lipids in the blood [105]. Strictly speaking, hyperlipidemia is not an independent disease but a disorder of lipid metabolism [106]. As a water-soluble polysaccharide, KGM has excellent hypolipidemic effect. On the one hand, KGM can encapsulate lipids in gel-like substances through adsorption in the gastrointestinal tract, and these encapsulated lipids are then excreted with feces, thereby reducing lipid absorption [107]. On the other hand, KGM is fermented by gut microbiota in the colon, which not only alters the composition of gut microbiota but also promotes the production of SCFAs (such as acetic acid, propionic acid, and butyric acid) [108]. These SCFAs act on the liver, and other organs through blood circulation, regulating the expression of genes related to lipid metabolism.
Beyond these direct physicochemical effects, KGM’s therapeutic potential is further amplified through systematic modulation of gut microbiota–host metabolic crosstalk. A compelling example comes from studies on metabolic regulation: Supplementation of KGM in HFD-fed mice demonstrated significant improvements in blood lipid and intestinal lipid accumulation. The effect is attributed to KGM‘s ability to modulate gut microbiota composition—specifically, increasing the abundance of Akkermansia muciniphila and Alistipes and decreasing the abundance of Allobaculum, Acetatifactor, and Helicobacter pylori—accompanied by enhanced SCFA metabolism. The downstream consequences of these changes are profound; SCFAs activate GPR41 and GPR43, inhibiting lipid deposition in adipose tissue. At the molecular level, KGM regulates the Gut-TLR/MyD88-REV-ERBα-NFIL3 signaling axis, downregulates lipid transport genes (CD36/FABP4), and suppresses HDAC3 expression, thereby reducing intestinal lipid absorption and mitigating HFD-induced metabolic dysfunction [32]. Notably, Helicobacter pylori abundance is positively correlated with elevated plasma total cholesterol (TC) and TG levels [109], suggesting its detrimental role in lipid metabolism. The reduction in these bacteria by KGM intervention further supports its efficacy in alleviating dyslipidemia. Recent research has identified synergistic combinations that enhance KGM’s effects. The rice starch–KGM (ERS-KGM) combination exhibits a pronounced effect on gut microbiota modulation. In HFD mice, ERS-KGM treatment significantly enhanced microbial diversity and richness, with increased Olsenella, Christensenellaceae, Christensenellales, Rombuterella, Enterococcaceae and Eggerthellaceae [110]. These microbial changes translate into functional metabolic benefits through multiple pathways. For instance, Enterococcaceae strains, such as Enterococcus faecalis, secrete bile salt hydrolases, which promote bile acid deconjugation and excretion, thereby reducing cholesterol reabsorption [111]. Similarly, Eggerthellaceae contributes to SCFA-mediated regulation by inhibiting lipogenic gene expression [112].
Collectively, KGM ameliorates host lipid metabolism and reduces blood lipid levels by reshaping the gut microbiota composition, offering a promising therapeutic strategy for hyperlipidemia and related metabolic disorders.

4.2. Gastrointestinal Disease

4.2.1. Inflammatory Bowel Disease

IBD is a group of chronic and relapsing inflammatory disorders of the gastrointestinal tract, primarily comprising CD and UC [113]. The etiology of IBD is multifactorial, involving genetic susceptibility, environmental triggers, immune dysregulation, and gut microbiota disorders [114,115]. At present, accumulating evidence underscores the pivotal role of gut microbiota composition and diversity in IBD pathogenesis [116,117]. Halfvarson et al. demonstrated that the gut microbiota undergoes significant compositional shifts during early IBD progression, with markedly greater microbial fluctuation in IBD patients compared to healthy individuals [118]. A balanced gut microbiota confers intestinal protection by preserving epithelial barrier integrity, modulating immune responses, and maintaining metabolic homeostasis [119]. Conversely, microbiota dysbiosis in IBD patients disrupts these functions, resulting in increased intestinal permeability, bacterial translocation, immune activation, and chronic inflammation [120].
Given the critical role of gut microbiota dysbiosis in IBD pathogenesis, dietary interventions targeting microbial modulation—particularly through prebiotics, like KGM—have emerged as a promising therapeutic strategy. As a viscous soluble fiber, KGM effectively strengthens the colonic mucosal barrier [121]. In a study by Chen et al., subjects receiving KGM supplementation (1.5 g/d or 4.5 g/d) alongside a standard low-fiber diet demonstrated significant changes after 21 days. The intervention notably increased fecal levels of Lactobacillus and Bifidobacterium, enhanced colonic fermentation, and attenuated the reduction in fecal pH. Importantly, KGM supplementation substantially elevated fecal SCFAs concentrations, thereby improving gut ecological health and potentially reducing the risk of IBD [122]. Building on these findings, recent studies have focused on the prebiotic effect of KGM to improve gut microbiota imbalance in IBD patients. Animal models provide mechanistic insights: In a study of dextran sulfate sodium (DSS)-induced murine colitis, Xiao et al. found that KGM, when combined with inulin, promoted the proliferation of beneficial bacteria, such as Bifidobacterium and Lactobacillus, while suppressing Clostridium populations. This intervention simultaneously elevated SCFAs levels and mitigated colitis progression [123]. The therapeutic relevance of these microbial shifts becomes clear when examining their immunological consequences: Notably, Bifidobacterium alleviates colitis severity by reducing colonic expression of the pro-inflammatory cytokine IL-1β, thereby attenuating intestinal inflammation [124]. Conversely, certain Clostridium species (e.g., Clostridium difficile) proliferate during microbiota imbalance, releasing toxins that trigger pseudomembranous colitis and severe diarrhea [125]. Additionally, bacterial metabolism of KGM generates substantial butyrate, a key metabolite with demonstrated therapeutic effects in IBD. At the cellular level, in vitro studies indicate that butyrate promotes normal colonocyte proliferation, enhances tight junction protein transcription (e.g., ZO-1, occludin), and facilitates their redistribution in cell membranes—mechanisms critical for intestinal barrier restoration [126].
Collectively, these findings demonstrate that KGM improves the intestinal microenvironment in IBD patients by modulating gut microbiota composition and elevating SCFA production, ultimately alleviating disease symptoms and pathological damage.

4.2.2. Colorectal Cancer

CRC ranks among the most prevalent malignant tumors globally, with its development involving a multifactorial, multistage process [127]. The gut microbiota, as the most complex microecosystem in humans, plays crucial roles not only in digestion, metabolism, and immune regulation but also in CRC pathogenesis [128]. Growing evidence indicates that bacterial-derived toxic metabolites can induce DNA damage, disrupt cell cycle progression, trigger aberrant immune responses, and compromise intestinal barrier integrity—collectively fostering a tumorigenic microenvironment [129,130]. Through a comprehensive meta-analysis of 526 metagenomic samples, Dai et al. identified 7 bacteria species consistently enriched in CRC patients, namely Bacteroides fragilis, Fusobacterium nucleatum, Porphyromonas asaccharolytica, Parvimonas micra, Prevotella intermedia, Alistipes finegoldii, and Thermanaerovibrio acidaminovorans [131]. Complementary research by Xue et al. has shown that specific microbiota members (including Escherichia coli, Enterococcus, Bacteroides, and Clostridium), exacerbate CRC progression by promoting 1,2-dimethylhydrazine-induced abnormal crypt foci formation [132]. Given the established link between dysbiotic gut microbiota and CRC pathogenesis, interventions capable of modulating microbial composition and metabolic activity—such as prebiotics—hold promise for mitigating oncogenic processes. Among these, KGM emerges as a potent candidate due to its dual capacity to reshape microbial communities and suppress carcinogenic metabolites.
As a natural prebiotic, KGM can regulate the structure of gut microbiota and produce beneficial metabolites after ingestion, which plays an important role in alleviating CRC. To demonstrate this clinically, Wu et al. found that KGM capsules (4.5 g/d) could significantly reduce the production of precancerous markers of CRC after four weeks of supplementation in subjects with a low-fiber diet. Notably, only the levels of fecal Bifidobacterium faecalis and Lactobacilli of subjects supplemented with KGM capsules increased significantly, and the total amount of intestinal bacteria increased substantially [133]. These microbial changes highlight KGM’s dual role: it not only improves the imbalance of gut microbiota and increases the number of beneficial bacteria but also triggers downstream metabolic effects. Moreover, KGM supplementation significantly reduced the concentration of secondary bile acids in the fecal water phase of the subjects. SCFAs are produced by the fermentation and metabolism of KGM by gut microbiota. The acidic fecal environment caused by SCFAs contributes to the precipitation of hydrophilic deconjugated bile acids and inhibits the enzymatic conversion of primary bile acids to secondary bile acids [134]. The clinical significance of this bile acid modulation becomes clear when considering their carcinogenic potential: Secondary bile acids (deoxycholic acid, DCA; lithocholic acid, LCA) activate carcinogenic signaling pathway, inhibit the activity of farnesoid X receptor (FXR), downregulate the expression of its downstream target genes (e.g., FGF19), disrupt bile acid homeostasis, and activate the Takeda G protein-coupled receptor 5 (TGR5) receptor to trigger the cAMP-PKA-CREB pathway, promoting the release of pro-inflammatory factors (e.g., COX-2, IL-6) and accelerating tumor cell proliferation (it should be noted that TGR5 seems to have different effects in different cell and tissue backgrounds). Beyond inflammation, through the Wnt/β-catenin pathway, they also drive oncogene (e.g., c-Myc) transcription, inducing CRC [135,136]. Furthermore, secondary bile acids induce the production of reactive oxygen species (ROSs), leading to oxidative damage of tight junction proteins and increasing the risk of CRC [137]. These findings further suggest that KGM has a protective effect against the occurrence of human CRC.
In addition, many studies have found that KGM supplementation can also effectively inhibits the proliferation of potential pathogenic bacteria, such as Fusobacterium nucleatum and some Escherichia coli strains, reducing their damage to the intestinal barrier and the accumulation of carcinogenic metabolites [138,139,140]. This suppression of harmful bacteria is particularly significant in CRC prevention, as Fusobacterium nucleatum is a pathogenic bacterium closely related to CRC, which can contribute to CRC development by activating inflammatory signaling pathways (e.g., NF-κB) and promoting tumor cell proliferation [141]. Beyond direct pathogen inhibition, KGM indirectly inhibits the development of CRC by restoring gut microbiota diversity and improving the intestinal microenvironment. This is critical because CRC patients exhibit significantly reduced gut microbiota diversity [142], whereas KGM intake increases both α-diversity and β-diversity of the flora, promoting a healthier microbial composition [143].
Collectively, these findings demonstrate that KGM exerts its protective effects against CRC through the following multifaceted approach: modulating gut microbiota composition (enriching beneficial taxa while suppressing pathogens), reducing carcinogenic metabolites (e.g., secondary bile acids and ROSs), and restoring microbial diversity—thereby disrupting key oncogenic pathways and reinforcing intestinal barrier integrity (Figure 5).

4.3. Immunoregulation

The immune system is an important defense mechanism that resists pathogen invasion and maintains internal environment stability [144]. Immune system balance is crucial, as excessive activation may cause autoimmune diseases, while dysfunction increases infection and cancer risks [145]. Recent studies have reported that the dynamic interactions between gut microbiota and the host immune system are essential for maintaining intestinal homeostasis and suppressing inflammation [146]. Gut microbiota imbalance or detrimental changes in microbial composition can disrupt immune responses, leading to inflammation and oxidative stress [147]. In DSS-induced colitis mice, Escherichia coli abundance significantly increased, promoting systemic pathogen circulation and inflammasome activation [148]. Additionally, numerous studies have found that increased Clostridium difficile abundance can cause severe intestinal inflammation and exacerbate inflammatory factor-induced damage [149,150].
Against this backdrop, KGM emerges as a potent immunomodulatory prebiotic, capable of reshaping gut microbiota composition to suppress pro-inflammatory responses while reinforcing protective immune mechanisms. Liu et al. demonstrated that supplementation significantly increased the diversity of beneficial gut microbiota, including Lactobacillus, Lachnoclostridium, Alloprevotella, and Blautia, thereby improving microbial diversity. This microbial restructuring directly translates to functional benefits, promoting intestinal homeostasis by reducing systemic absorption of bacterial toxins (e.g., LPS) and mitigating chronic inflammation [29]. Notably, KGM markedly elevated the relative abundance of Lachnospiraceae and Akkermansia muciniphila, both known for their ability to produce SCFAs. SCFAs serve as pivotal mediators of KGM’s immunomodulatory effects, as they are vital for intestinal energy supply, mucosal barrier integrity, gut motility regulation, and immune function [97]. Mechanistically, SCFAs exert anti-inflammatory effects by activating macrophages and dendritic cells, thereby suppressing pro-inflammatory cytokines (e.g., TNF-α, IL-12, and IL-6) [151]. Beyond SCFA-dependent pathways, propionate—generated through KGM’s microbial fermentation—activates macrophages via GPR43 receptor signaling, enhancing antimicrobial peptide secretion and resolving inflammatory states [152]. Equally important are KGM’s broader impacts on microbial ecology, as recent studies have revealed that KGM-fed HFD mice exhibited increased Parabacteroides distasonis abundance, with its metabolites participating in bile acid metabolism and immune cell differentiation [153]. Critically, KGM’s benefits extend to pathogen suppression, e.g., inhibiting Odoribacter sp. Z80, which reduces inflammatory factor release and further supports immune balance [78].
Based on the above multiple mechanisms, KGM effectively modulates gut microbiota structure and demonstrates significant immunoregulatory properties, offering novel strategies for managing immune-related disorders.

4.4. Nervous System Diseases

Nervous system diseases refer to neurological or mental disorders resulting from structural or functional abnormalities in the brain or spinal cord due to various factors [154]. Accumulating evidence indicates a strong association between gut microbiota dysbiosis and various neurological diseases [155,156].The gut–brain axis, a bidirectional communication network linking the central nervous system and the gut microbiome, is critically involved in neurological diseases, such as schizophrenia, depression, autism spectrum disorders, AD, and PD [157,158]. Notably, significant alterations in gut microbiota composition and relative abundance have been observed in these disorders [159]. For instance, Marcus M. Unger et al. reported that PD patients exhibit a marked increase in Enterobacteriaceae, reduced Prevotella levels, and significantly decreased fecal SCFAs concentrations compared to healthy individuals [160]. Similarly, studies on AD-associated dementia revealed a decline in Firmicutes and Bifidobacterium, alongside an increase in Bacteroidetes [161]. Interestingly, a similar reduction in Firmicutes has been documented in T2DM patients [162], and both diabetes and insulin resistance are recognized risk factors for AD [163]. This correlation may stem from insulin resistance’s association with impaired brain glucose metabolism and accelerated amyloid deposition in asymptomatic middle-aged individuals [164].
KGM has high biocompatibility and significant health benefits, with emerging evidence supporting its therapeutic potential in neurological disorders. Specifically, KGM is widely considered a prebiotic that can be fermented by intestinal anaerobic bacteria [165]. Its metabolites (e.g., SCFAs) serve as signaling molecules in the “gut-brain” axis to improve the pathogenesis of mental illness through epigenetic regulation, neuroinflammatory regulation, blood–brain barrier maintenance, and brain metabolic regulation [166,167]. Gou et al. established an AD mice model and administered KGM at a dose of 800 mg/kg. After 12 weeks of KGM supplementation, the abundance of Prevotella sp. CAG:485, Muribaculaceae bacterium Isolate-114 (HZI), and Parabacteroides distasonis in the intestinal tract of mice was significantly increased. The treatment significantly inhibited the growth of Enterorhabdus caecimuris, Odoribacter sp. Z80, and bacterium 1XD8-76, thereby improving the gut microbiota structure in AD mice and effectively alleviating AD progression [78]. SCFAs play a pivotal role in KGM’s neuroprotective effects. Following fermentation and catabolism of intestinal anaerobic bacteria (Bifidobacterium, Lactobacillus), KGM significantly increased the content of acetate, butyrate, and isobutyrate while decreasing isovalerate levels. These metabolites exhibit strong associations with key AD biomarkers. Acetate showed positive correlations with brain-derived neurotrophic factor (BDNF) and the novel object recognition response index (NORF-RI), and negative correlations with Aβ1-40, Aβ1-42, p-Tau181, and p-Tau217. The mechanistic link between SCFAs and neuroprotection is well established. BDNF inhibits GSK3β activity by activating TrkB receptors, initiating the PI3K/Akt and MAPK/ERK signaling pathways, and thereby reducing Aβ toxicity, decreasing Tau protein hyperphosphorylation, enhancing neuronal survival and synaptic plasticity, and ultimately improving memory impairment and nerve damage in AD [168,169]. KGM’s reduction of harmful metabolites provides additional therapeutic benefits. Studies report that high concentrations of isovalerate can lead to motor and cognitive dysfunction [170]. By lowering isovalerate production, KGM indirectly mitigates cognitive decline. Similar neuroprotective effects are observed in PD. Butyrate improves motor dysfunction by inhibiting neuroinflammation and protecting dopaminergic neurons [171]. KGM’s promotion of bacteria further enhances its neurological benefits. Numerous studies confirm that KGM intake can significantly increase Bifidobacterium, Lactobacillus, and Roseburia abundance [35,143]. These bacteria directly influence neurotransmitter balance. Bifidobacterium can synthesize serotonin 5-hydroxytryptamine (5-HT) and γ-aminobutyric acid (GABA) [172], alleviating depression and anxiety in AD patients though 5-HT elevation [173]. Lactobacillus can produce GABA [174], reducing neuronal excitability and seizure frequency in epilepsy [175]. Additionally, Lactobacillus indirectly improves neurological diseases by regulating intestinal barrier function, reducing endotoxin and harmful metabolite penetration, and decreasing systemic and central nervous system inflammation [6].
Therefore, based on the above-mentioned mechanism of KGM in improving neurological diseases, it can be used as a key dietary intervention to enhance neurological health by modulating gut microbiota, offering novel strategies for the prevention and treatment of neurological disorders.

5. Limitations of KGM

Although KGM demonstrates significant effects in regulating blood glucose and lipid levels, its practical application faces several limitations related to digestive tolerance, potential adverse effects, nutrient interference, and individual differences. As a high-viscosity water-soluble dietary fiber, excessive KGM intake may cause gastrointestinal disturbances. Upon hydration, KGM expands to tens or even hundreds of times its original volume, forming thick, gel-like masses in the intestinal tract. This property poses particular risks for individuals with impaired intestinal motility (e.g., postoperative patients and elderly populations), potentially leading to mechanical obstruction and significantly increasing the likelihood of abdominal distension or intestinal blockage [11,15]. Additionally, incomplete fermentation of KGM and other indigestible polysaccharides (e.g., arabinose) by gut microbiota can elevate lumen osmotic pressure, triggering excessive fluid secretion [176]. Clinical trials have reported adverse effects in some individuals: Among 195 obese or diabetic patients receiving 7.8 g/day of KGM (equivalent to about 110 mg/kg/day) for 16 weeks, 13.4% experienced flatulence and abdominal discomfort [177]. Similarly, a meta-analysis by Onakpoya et al. on KGM as a weight-loss supplement found that daily doses between 1.2–10 g (17–143 mg/kg/day) for 3–12 weeks led to various symptoms, such as bloating, loose stools, diarrhea, and abdominal pain, in some participants [178].
At the nutrient absorption level, the strong gel-forming properties of KGM may impair nutrient bioavailability. Its anionic polysaccharide structure exhibits chelating effects on essential minerals, such as calcium, iron, and zinc, potentially reducing their absorption [179]. Additionally, the intestinal gel network formed by KGM can trap fat-soluble vitamins (e.g., vitamins A, D, and E), diminishing their absorption efficiency in the small intestine [180]. This effect may be particularly significant in elderly individuals or those with reduced digestive enzyme secretion, potentially exacerbating micronutrient deficiency risks. Notably, KGM’s interactions with pharmaceuticals require clinical consideration [181,182]. Shima et al. demonstrated that plasma glibenclamide concentrations were significantly lower at 30, 60, 90, and 150 min after co-administration of 3.9 g konjac flour (containing KGM) and 2.5 mg glibenclamide, compared to a control group. This suggests that KGM slows down and reduces the absorption of hypoglycemic drugs [183]. Therefore, a temporal separation of at least 2 h between KGM intake and medication administration is recommended to minimize interaction risks. Finally, KGM’s physiological effects exhibit considerable interindividual variability. Due to the highly personalized composition of gut microbiota, some individuals may show limited fermentative responses to KGM, resulting in diminished prebiotic benefits.
In conclusion, while KGM represents a functionally valuable dietary fiber, its consumption requires careful regulation and individualized dosage adjustments based on personal health status to minimize potential adverse effects.

6. Conclusions

As a natural functional polysaccharide, KGM exhibits significant potential in metabolic regulation, intestinal health maintenance, immune modulation, and neuroprotection, attributed to its unique physicochemical properties and broad-spectrum bioactivities. The core mechanism underlying these benefits lies in gut microbiota-mediated fermentation and biotransformation. Through selective promotion of beneficial bacterial proliferation while suppressing potential pathogens, KGM optimizes microbial ecological balance and stimulates production of key metabolites (e.g., SCFAs). These processes collectively exert multifaceted effects, including anti-inflammatory activity, restoration of the epithelial barrier, regulation of glucose/lipid metabolism, and neurological functions.
Nevertheless, the practical application of KGM is currently hindered by several limitations. Interindividual variations in gut microbiota composition may lead to inconsistent efficacy; potential gastrointestinal intolerance (e.g., bloating or diarrhea) could restrict its dosage range; and risks of nutritional interference (e.g., interactions with other dietary components) require further clarification. These challenges highlight the need for targeted advancements in subsequent research. Priority areas for future studies should focus on the following three aspects: (1) Precise dosage optimization, integrating individual microbiota profiles and physiological characteristics to establish personalized administration strategies, thereby addressing interindividual efficacy variations; (2) development of strain-specific microbiota modulation approaches, such as combining KGM with probiotic strains that synergistically enhance its prebiotic effects, to strengthen its selective regulatory capacity on beneficial bacteria; (3) exploration of synergistic interactions with complementary dietary components (e.g., polyphenols or dietary fibers), aiming to mitigate gastrointestinal intolerance and improve nutritional compatibility.
Collectively, KGM is a natural bioactive compound with prominent prebiotic properties and pleiotropic health benefits. With targeted solutions to current limitations, it holds substantial promise for translation into preventive medicine and innovation in functional foods, contributing to personalized nutrition and public health promotion.

Author Contributions

Conceptualization, Y.Y. (Yufen Yu); methodology, Y.Y. (Yufen Yu); software, Y.Y. (Yufen Yu) and S.J.; validation, Y.Y. (Yufen Yu); formal analysis, Y.Y. (Yufen Yu) and S.J.; investigation, Y.Y. (Yufen Yu); resources, Y.Y. (Yufen Yu) and S.J.; data curation, Y.Y. (Yufen Yu) and S.J.; writing—original draft preparation, Y.Y. (Yufen Yu); writing—review and editing, Y.Y. (Yi Yang), X.H. and R.G.; visualization, Y.Y. (Yi Yang), X.H. and R.G.; supervision, Y.Y. (Yi Yang) and H.Z.; project administration, Y.Y. (Yi Yang) and H.Z.; funding acquisition, Y.Y. (Yi Yang) and H.Z. All authors have read and agreed to the published version of the manuscript.

Funding

This research was funded by the “Pioneer” and “Leading Goose” R&D Program of Zhejiang Province (No. 2024C04012), the National Natural Science Foundation of China (No. 32402088), and the Zhejiang University of Technology—Company Crosswise Project (KYY-HX-20230084, KYY-HX-20240810).

Institutional Review Board Statement

Not applicable.

Informed Consent Statement

Not applicable.

Data Availability Statement

Not applicable.

Conflicts of Interest

Author Yi Yang was employed by the company Rawbery Foods Biotech Co., Ltd. Author Xiaodong Han was employed by the company Sichuan Sweet Agriculture Co., Ltd. The remaining authors declare that the research was conducted in the absence of any commercial or financial relationships that could be construed as a potential conflict of interest.

References

  1. Liu, J.; Ting, J.P.; Al-Azzam, S.; Ding, Y.; Afshar, S. Therapeutic advances in diabetes, autoimmune, and neurological diseases. Int. J. Mol. Sci. 2021, 22, 2805. [Google Scholar] [CrossRef] [PubMed]
  2. Montalto, M.; D’onofrio, F.; Gallo, A.; Cazzato, A.; Gasbarrini, G. Intestinal microbiota and its functions. Dig. Liver Dis. Suppl. 2009, 3, 30–34. [Google Scholar] [CrossRef]
  3. Pushpanathan, P.; Mathew, G.S.; Selvarajan, S.; Seshadri, K.G.; Srikanth, P. Gut microbiota and its mysteries. Indian. J. Med. Microbiol. 2019, 37, 268–277. [Google Scholar] [CrossRef] [PubMed]
  4. Shang, Z.; Pai, L.; Patil, S. Unveiling the dynamics of gut microbial interactions: A review of dietary impact and precision nutrition in gastrointestinal health. Front. Nutr. 2024, 11, 1395664. [Google Scholar] [CrossRef] [PubMed]
  5. Fan, Y.; Pedersen, O. Gut microbiota in human metabolic health and disease. Nat. Rev. Microbiol. 2021, 19, 55–71. [Google Scholar] [CrossRef] [PubMed]
  6. Di Vincenzo, F.; Del Gaudio, A.; Petito, V.; Lopetuso, L.R.; Scaldaferri, F. Gut microbiota, intestinal permeability, and systemic inflammation: A narrative review. Intern. Emerg. Med. 2024, 19, 275–293. [Google Scholar] [CrossRef] [PubMed]
  7. Maiuolo, J.; Gliozzi, M.; Musolino, V.; Carresi, C.; Scarano, F.; Nucera, S.; Scicchitano, M.; Oppedisano, F.; Bosco, F.; Ruga, S.; et al. The contribution of gut microbiota–brain axis in the development of brain disorders. Front. Neurosci. 2021, 15, 616883. [Google Scholar] [CrossRef] [PubMed]
  8. Jain, A.; Sarsaiya, S.; Gong, Q.; Wu, Q.; Shi, J. Amorphophallus konjac: Traditional uses, bioactive potential, and emerging health applications. Front. Plant Sci. 2025, 16, 1530814. [Google Scholar] [CrossRef] [PubMed]
  9. Behera, S.S.; Ray, R.C. Nutritional and potential health benefits of konjac glucomannan, a promising polysaccharide of elephant foot yam, Amorphophallus konjac K. Koch: A review. Food Rev. Int. 2017, 33, 22–43. [Google Scholar] [CrossRef]
  10. Fang, Y.; Ma, J.; Lei, P.; Wang, L.; Qu, J.; Zhao, J.; Liu, F.; Yan, X.; Wu, W.; Jin, L.; et al. Konjac glucomannan: An emerging specialty medical food to aid in the treatment of type 2 diabetes mellitus. Foods 2023, 12, 363. [Google Scholar] [CrossRef] [PubMed]
  11. Jian, X.; Jian, S.; Deng, B. Konjac glucomannan: A functional food additive for preventing metabolic syndrome. J. Funct. Foods 2024, 115, 106108. [Google Scholar] [CrossRef]
  12. Ye, S.; Zongo, A.W.-S.; Shah, B.R.; Li, J.; Li, B. Konjac glucomannan (KGM), deacetylated KGM (Da-KGM), and degraded KGM derivatives: A special focus on colloidal nutrition. J. Agric. Food Chem. 2021, 69, 12921–12932. [Google Scholar] [CrossRef] [PubMed]
  13. Yin, J.-Y.; Ma, L.-Y.; Xie, M.-Y.; Nie, S.-P.; Wu, J.-Y. Molecular properties and gut health benefits of enzyme-hydrolyzed konjac glucomannans. Carbohydr. Polym. 2020, 237, 116117. [Google Scholar] [CrossRef] [PubMed]
  14. Zhang, Y.; Aldamarany, W.A.; Deng, L.; Zhong, G. Carbohydrate supplementation retains intestinal barrier and ameliorates bacterial translocation in an antibiotic-induced mouse model. Food Funct. 2023, 14, 8186–8200. [Google Scholar] [CrossRef] [PubMed]
  15. Guo, L.; Yokoyama, W.; Chen, M.; Zhong, F. Konjac glucomannan molecular and rheological properties that delay gastric emptying and improve the regulation of appetite. Food Hydrocoll. 2021, 120, 106894. [Google Scholar] [CrossRef]
  16. Kapoor, D.U.; Sharma, H.; Maheshwari, R.; Pareek, A.; Gaur, M.; Prajapati, B.G.; Castro, G.R.; Thanawuth, K.; Suttiruengwong, S.; Sriamornsak, P. Konjac glucomannan: A comprehensive review of its extraction, health benefits, and pharmaceutical applications. Carbohydr. Polym. 2024, 339, 122266. [Google Scholar] [CrossRef] [PubMed]
  17. Mu, R.-J.; Ni, Y.; Wang, L.; Yuan, Y.; Yan, Z.; Pang, J.; Chen, S. Fabrication of ordered konjac glucomannan microfiber arrays via facile microfluidic spinning method. Mater. Lett. 2017, 196, 410–413. [Google Scholar] [CrossRef]
  18. Chua, M.; Baldwin, T.C.; Hocking, T.J.; Chan, K. Traditional uses and potential health benefits of Amorphophallus konjac K. Koch ex. NE Br. J. Ethnopharmacol. 2010, 128, 268–278. [Google Scholar] [CrossRef] [PubMed]
  19. Chua, M.; Chan, K.; Hocking, T.J.; Williams, P.A.; Perry, C.J.; Baldwin, T.C. Methodologies for the extraction and analysis of konjac glucomannan from corms of Amorphophallus konjac K. Koch. Carbohydr. Polym. 2012, 87, 2202–2210. [Google Scholar] [CrossRef]
  20. Nguyen, T.A.; Do, T.T.; Nguyen, T.D.; Pham, L.D.; Du Nguyen, V. Isolation and characteristics of polysaccharide from Amorphophallus corrugatus in Vietnam. Carbohydr. Polym. 2011, 84, 64–68. [Google Scholar] [CrossRef]
  21. Albrecht, S.; van Muiswinkel, G.C.; Xu, J.; Schols, H.A.; Voragen, A.G.; Gruppen, H. Enzymatic production and characterization of konjac glucomannan oligosaccharides. J. Agric. Food Chem. 2011, 59, 12658–12666. [Google Scholar] [CrossRef] [PubMed]
  22. Chelliah, R.; Kim, N.H.; Park, S.; Park, Y.; Yeon, S.-J.; Barathikannan, K.; Vijayalakshmi, S.; Oh, D.-H. Revolutionizing renewable resources: Cutting-edge trends and future prospects in the valorization of oligosaccharides. Fermentation 2024, 10, 195. [Google Scholar] [CrossRef]
  23. Hu, X.; Shi, Y.; Zhang, P.; Miao, M.; Zhang, T.; Jiang, B. D-Mannose: Properties, production, and applications: An overview. Compr. Rev. Food Sci. Food Saf. 2016, 15, 773–785. [Google Scholar] [CrossRef] [PubMed]
  24. Pokusaeva, K.; O’Connell-Motherway, M.; Zomer, A.; MacSharry, J.; Fitzgerald, G.F.; van Sinderen, D. Cellodextrin utilization by Bifidobacterium breve UCC2003. Appl. Environ. Microbiol. 2011, 77, 1681–1690. [Google Scholar] [CrossRef] [PubMed]
  25. Yang, Z.; Yang, Y.; Zhang, X.; Fu, B.; Xu, W.; Xue, D.; Chen, N.; Wang, X.; Xie, Q. Construction of sodium alginate/konjac glucomannan/chitosan oligosaccharide/Zeolite P hydrogel microspheres loaded with potassium diformate for sustained intestinal bacterial inhibition. Eur. Polym. J. 2022, 172, 111233. [Google Scholar] [CrossRef]
  26. Cordeiro, R.L.; Pirolla, R.A.S.; Persinoti, G.F.; Gozzo, F.C.; de Giuseppe, P.O.; Murakami, M.T. N-glycan utilization by bifidobacterium gut symbionts involves a specialist β-mannosidase. J. Mol. Biol. 2019, 431, 732–747. [Google Scholar] [CrossRef] [PubMed]
  27. Tailford, L.E.; Money, V.A.; Smith, N.L.; Dumon, C.; Davies, G.J.; Gilbert, H.J. Mannose foraging by bacteroides thetaiotaomicron: Structure and specificity of the β-mannosidase, BtMan2A. J. Biol. Chem. 2007, 282, 11291–11299. [Google Scholar] [CrossRef] [PubMed]
  28. Zhang, Y.; Zhao, Y.; Yang, W.; Song, G.; Zhong, P.; Ren, Y.; Zhong, G. Structural complexity of Konjac glucomannan and its derivatives governs the diversity and outputs of gut microbiota. Carbohydr. Polym. 2022, 292, 119639. [Google Scholar] [CrossRef] [PubMed]
  29. Liu, D.; Zhuang, B.; Wei, M.; Yuan, T.; Li, J.; Deng, P.; Du, L.; Yuan, B.; Jin, Y. Oral konjac glucomannan for prevention of ionizing radiation-induced injury by regulating gut microbiota and increasing short chain fatty acids. Int. J. Biol. Macromol. 2023, 240, 124402. [Google Scholar] [CrossRef] [PubMed]
  30. Lebeer, S.; Vanderleyden, J.; De Keersmaecker, S.C. Genes and molecules of Lactobacilli supporting probiotic action. Microbiol. Mol. Biol. Rev. 2008, 72, 728–764. [Google Scholar] [CrossRef] [PubMed]
  31. Sanjiwani, M.I.D.; Aryadi, I.P.H.; Semadi, I.M.S. Review of literature on Akkermansia muciniphila and its possible role in the etiopathogenesis and therapy of type 2 diabetes mellitus. J. ASEAN Fed. Endocr. Soc. 2022, 37, 69. [Google Scholar] [CrossRef] [PubMed]
  32. Jin, H.; Wang, S.; Sheng, J.; Yang, X.; Li, J.; Li, B. Konjac Glucomannan and Its Degradation Products Inhibit Intestinal Lipid Absorption by Regulating Gut Microbiota and the Production of Short-Chain Fatty Acids. J. Agric. Food Chem. 2025, 73, 1203–1218. [Google Scholar] [CrossRef] [PubMed]
  33. Li, Y.; Gong, T.; Lu, H.; Ma, S.; Liu, X. In vitro fermentation characteristics of oxidized konjac glucomannan and its modulation effects on gut microbiota. Food Hydrocoll. 2023, 141, 108693. [Google Scholar] [CrossRef]
  34. O’Callaghan, A.; van Sinderen, D. Bifidobacteria and their role as members of the human gut microbiota. Front. Microbiol. 2016, 7, 925. [Google Scholar] [CrossRef] [PubMed]
  35. Zou, X.; Deng, J.; Wang, Z.; Zhang, M.; Sun, Y.; Li, M. Gut microbiota plays a predominant role in affecting hypolipidemic effect of deacetylated konjac glucomannan (Da-KGM). Int. J. Biol. Macromol. 2022, 208, 858–868. [Google Scholar] [CrossRef] [PubMed]
  36. Gao, F.; Zhang, W.; Cao, M.; Liu, X.; Han, T.; He, W.; Shi, B.; Gu, Z. Maternal supplementation with konjac glucomannan improves maternal microbiota for healthier offspring during lactation. J. Sci. Food Agric. 2024, 104, 3736–3748. [Google Scholar] [CrossRef] [PubMed]
  37. Huang, Y.; Yang, C.; Fu, B.; Guo, H.; Chen, Y.; Xu, D. Impact of Ligilactobacillus salivarius Li01 on benzo [a] pyrene-induced colitis, based on host-microbiome interactions in mongolian gerbils. Front. Nutr. 2025, 12, 1494525. [Google Scholar] [CrossRef] [PubMed]
  38. Singh, S.B.; Carroll-Portillo, A.; Lin, H.C. Desulfovibrio in the gut: The enemy within? Microorganisms 2023, 11, 1772. [Google Scholar] [CrossRef] [PubMed]
  39. Yao, Y.; Cai, X.; Fei, W.; Ye, Y.; Zhao, M.; Zheng, C. The role of short-chain fatty acids in immunity, inflammation and metabolism. Crit. Rev. Food Sci. Nutr. 2022, 62, 1–12. [Google Scholar] [CrossRef] [PubMed]
  40. Liu, J.; Hao, W.; He, Z.; Kwek, E.; Zhu, H.; Ma, N.; Ma, K.Y.; Chen, Z.-Y. Blueberry and cranberry anthocyanin extracts reduce bodyweight and modulate gut microbiota in C57BL/6 J mice fed with a high-fat diet. Eur. J. Nutr. 2021, 60, 2735–2746. [Google Scholar] [CrossRef] [PubMed]
  41. Schönfeld, P.; Wojtczak, L. Short-and medium-chain fatty acids in energy metabolism: The cellular perspective. J. Lipid Res. 2016, 57, 943–954. [Google Scholar] [CrossRef] [PubMed]
  42. Tan, J.; McKenzie, C.; Potamitis, M.; Thorburn, A.N.; Mackay, C.R.; Macia, L. The role of short-chain fatty acids in health and disease. Adv. Immunol. 2014, 121, 91–119. [Google Scholar] [PubMed]
  43. Fang, W.; Wu, P. Variations of konjac glucomannan (KGM) from Amorphophallus konjac and its refined powder in China. Food Hydrocoll. 2004, 18, 167–170. [Google Scholar] [CrossRef]
  44. Shi, X.-D.; Yin, J.-Y.; Cui, S.W.; Wang, Q.; Wang, S.-Y.; Nie, S.-P. Comparative study on glucomannans with different structural characteristics: Functional properties and intestinal production of short chain fatty acids. Int. J. Biol. Macromol. 2020, 164, 826–835. [Google Scholar] [CrossRef] [PubMed]
  45. Zhang, K.; Zhang, T.-T.; Guo, R.-R.; Ye, Q.; Zhao, H.-L.; Huang, X.-H. The regulation of key flavor of traditional fermented food by microbial metabolism: A review. Food Chem. X 2023, 19, 100871. [Google Scholar] [CrossRef] [PubMed]
  46. Zhang, Q.; Zhong, D.; Ren, Y.-Y.; Meng, Z.-k.; Pegg, R.B.; Zhong, G. Effect of konjac glucomannan on metabolites in the stomach, small intestine and large intestine of constipated mice and prediction of the KEGG pathway. Food Funct. 2021, 12, 3044–3056. [Google Scholar] [CrossRef] [PubMed]
  47. Martin-Gallausiaux, C.; Marinelli, L.; Blottière, H.M.; Larraufie, P.; Lapaque, N. SCFA: Mechanisms and functional importance in the gut. Proc. Nutr. Soc. 2021, 80, 37–49. [Google Scholar] [CrossRef] [PubMed]
  48. Matsuura, Y. Degradation of konjac glucomannan by enzymes in human feces and formation of short-chain fatty acids by intestinal anaerobic bacteria. J. Nutr. Sci. Vitaminol. 1998, 44, 423–436. [Google Scholar] [CrossRef] [PubMed]
  49. Tan, X.; Wang, B.; Zhou, X.; Liu, C.; Wang, C.; Bai, J. Fecal fermentation behaviors of Konjac glucomannan and its impacts on human gut microbiota. Food Chem. X 2024, 23, 101610. [Google Scholar] [CrossRef] [PubMed]
  50. Hosmer, J.; McEwan, A.G.; Kappler, U. Bacterial acetate metabolism and its influence on human epithelia. Emerg. Top. Life Sci. 2023, 8, 1–13. [Google Scholar]
  51. Yadav, S.; Jha, R. Strategies to modulate the intestinal microbiota and their effects on nutrient utilization, performance, and health of poultry. J. Anim. Sci. Biotechnol. 2019, 10, 2. [Google Scholar] [CrossRef] [PubMed]
  52. Bernal, V.; Castaño-Cerezo, S.; Cánovas, M. Acetate metabolism regulation in Escherichia coli: Carbon overflow, pathogenicity, and beyond. Appl. Microbiol. Biotechnol. 2016, 100, 8985–9001. [Google Scholar] [CrossRef] [PubMed]
  53. Khan, I.; Bai, Y.; Zha, L.; Ullah, N.; Ullah, H.; Shah, S.R.H.; Sun, H.; Zhang, C. Mechanism of the gut microbiota colonization resistance and enteric pathogen infection. Front. Cell. Infect. Microbiol. 2021, 11, 716299. [Google Scholar] [CrossRef] [PubMed]
  54. Yap, Y.A.; McLeod, K.H.; McKenzie, C.I.; Gavin, P.G.; Davalos-Salas, M.; Richards, J.L.; Moore, R.J.; Lockett, T.J.; Clarke, J.M.; Eng, V.V.; et al. An acetate-yielding diet imprints an immune and anti-microbial programme against enteric infection. Clin. Transl. Immunol. 2021, 10, e1233. [Google Scholar] [CrossRef] [PubMed]
  55. Macia, L.; Tan, J.; Vieira, A.T.; Leach, K.; Stanley, D.; Luong, S.; Maruya, M.; Ian McKenzie, C.; Hijikata, A.; Wong, C. Metabolite-sensing receptors GPR43 and GPR109A facilitate dietary fibre-induced gut homeostasis through regulation of the inflammasome. Nat. Commun. 2015, 6, 6734. [Google Scholar] [CrossRef] [PubMed]
  56. Kimura, I.; Ozawa, K.; Inoue, D.; Imamura, T.; Kimura, K.; Maeda, T.; Terasawa, K.; Kashihara, D.; Hirano, K.; Tani, T.; et al. The gut microbiota suppresses insulin-mediated fat accumulation via the short-chain fatty acid receptor GPR43. Nat. Commun. 2013, 4, 1829. [Google Scholar] [CrossRef] [PubMed]
  57. Morrison, D.J.; Preston, T. Formation of short chain fatty acids by the gut microbiota and their impact on human metabolism. Gut Microbes 2016, 7, 189–200. [Google Scholar] [CrossRef] [PubMed]
  58. Shi, N.; Li, N.; Duan, X.; Niu, H. Interaction between the gut microbiome and mucosal immune system. Mil. Med. Res. 2017, 4, 14. [Google Scholar] [CrossRef] [PubMed]
  59. Yoshida, H.; Ishii, M.; Akagawa, M. Propionate suppresses hepatic gluconeogenesis via GPR43/AMPK signaling pathway. Arch. Biochem. Biophys. 2019, 672, 108057. [Google Scholar] [CrossRef] [PubMed]
  60. Pingitore, A.; Chambers, E.S.; Hill, T.; Maldonado, I.R.; Liu, B.; Bewick, G.; Morrison, D.J.; Preston, T.; Wallis, G.A.; Tedford, C.; et al. The diet-derived short chain fatty acid propionate improves beta-cell function in humans and stimulates insulin secretion from human islets in vitro. Diabetes Obes. Metab. 2017, 19, 257–265. [Google Scholar] [CrossRef] [PubMed]
  61. Pizarroso, N.A.; Fuciños, P.; Gonçalves, C.; Pastrana, L.; Amado, I.R. A review on the role of food-derived bioactive molecules and the microbiota–gut–brain axis in satiety regulation. Nutrients 2021, 13, 632. [Google Scholar] [CrossRef] [PubMed]
  62. Louis, P.; Flint, H.J. Formation of propionate and butyrate by the human colonic microbiota. Environ. Microbiol. 2017, 19, 29–41. [Google Scholar] [CrossRef] [PubMed]
  63. Trachsel, J.; Bayles, D.O.; Looft, T.; Levine, U.Y.; Allen, H.K.; Drake, H.L. Function and phylogeny of bacterial butyryl coenzyme a: Acetate transferases and their diversity in the proximal colon of swine. Appl. Environ. Microbiol. 2016, 82, 6788–6798. [Google Scholar] [CrossRef] [PubMed]
  64. van der Beek, C.M.; Bloemen, J.G.; van den Broek, M.A.; Lenaerts, K.; Venema, K.; Buurman, W.A.; Dejong, C.H. Hepatic uptake of rectally administered butyrate prevents an increase in systemic butyrate concentrations in humans. J. Nutr. 2015, 145, 2019–2024. [Google Scholar] [CrossRef] [PubMed]
  65. Hamer, H.M.; Jonkers, D.; Venema, K.; Vanhoutvin, S.; Troost, F.; Brummer, R.J. The role of butyrate on colonic function. Aliment. Pharmacol. Ther. 2008, 27, 104–119. [Google Scholar] [CrossRef] [PubMed]
  66. Singh, V.; Lee, G.; Son, H.; Koh, H.; Kim, E.S.; Unno, T.; Shin, J.-H. Butyrate producers, “the sentinel of gut”: Their intestinal significance with and beyond butyrate, and prospective use as microbial therapeutics. Front. Microbiol. 2023, 13, 1103836. [Google Scholar] [CrossRef] [PubMed]
  67. Gao, Z.; Yin, J.; Zhang, J.; Ward, R.E.; Martin, R.J.; Lefevre, M.; Cefalu, W.T.; Ye, J. Butyrate improves insulin sensitivity and increases energy expenditure in mice. Diabetes 2009, 58, 1509–1517. [Google Scholar] [CrossRef] [PubMed]
  68. Fung, K.Y.; Cosgrove, L.; Lockett, T.; Head, R.; Topping, D.L. A review of the potential mechanisms for the lowering of colorectal oncogenesis by butyrate. Br. J. Nutr. 2012, 108, 820–831. [Google Scholar] [CrossRef] [PubMed]
  69. Meijer, K.; de Vos, P.; Priebe, M.G. Butyrate and other short-chain fatty acids as modulators of immunity: What relevance for health? Curr. Opin. Clin. Nutr. Metab. Care 2010, 13, 715–721. [Google Scholar] [CrossRef] [PubMed]
  70. Pascal, V.; Pozuelo, M.; Borruel, N.; Casellas, F.; Campos, D.; Santiago, A.; Martinez, X.; Varela, E.; Sarrabayrouse, G.; Machiels, K. A microbial signature for crohn’s disease. Gut 2017, 66, 813–822. [Google Scholar] [CrossRef] [PubMed]
  71. Zhu, S.; Yang, J.; Xia, P.; Li, S.; Wang, Q.; Li, K.; Li, B.; Li, J. Effects of konjac glucomannan intake patterns on glucose and lipid metabolism of obese mice induced by a high fat diet. Food Funct. 2024, 15, 9116–9135. [Google Scholar] [CrossRef] [PubMed]
  72. Jin, H.; Yao, L.; Chen, W.; Hou, T.; Li, J.; Li, B. Konjac glucomannan inhibits appetite of obese mice by suppressing hypothalamic inflammatory response and Agrp/Npy Neuron expression. J. Agric. Food Chem. 2024, 72, 24489–24503. [Google Scholar] [CrossRef] [PubMed]
  73. Deng, J.; Zou, X.; Liang, Y.; Zhong, J.; Zhou, K.; Zhang, J.; Zhang, M.; Wang, Z.; Sun, Y.; Li, M. Hypoglycemic effects of different molecular weight konjac glucomannans via intestinal microbiota and SCFAs mediated mechanism. Int. J. Biol. Macromol. 2023, 234, 122941. [Google Scholar] [CrossRef] [PubMed]
  74. Chang, L.; Goff, H.D.; Ding, C.; Liu, Q.; Zhao, S.; Tao, T.; Lu, R.; Gao, Y.; Wu, H.; Guo, L. Enhanced hypoglycemic effects of konjac glucomannan combined with Polygonatum cyrtonema Hua polysaccharide in complete nutritional liquid diet fed type 2 diabetes mice. Int. J. Biol. Macromol. 2024, 266, 131121. [Google Scholar] [CrossRef] [PubMed]
  75. Li, J.; Liu, H.; Fu, H.; Yang, Y.; Wu, Z. An isofibrous diet with fiber konjac glucomannan ameliorates Salmonella typhimurium-induced colonic injury by regulating TLR2-NF-κB signaling and intestinal microbiota in mice. J. Agric. Food Chem. 2024, 72, 13415–13430. [Google Scholar] [CrossRef] [PubMed]
  76. Changchien, C.-H.; Wang, C.-H.; Chen, H.-L. Konjac glucomannan polysaccharide and inulin oligosaccharide ameliorate dextran sodium sulfate-induced colitis and alterations in fecal microbiota and short-chain fatty acids in C57BL/6J mice. BioMedicine 2021, 11, 23. [Google Scholar] [CrossRef] [PubMed]
  77. Wu, W.-T.; Chen, H.-L. Effects of konjac glucomannan on putative risk factors for colon carcinogenesis in rats fed a high-fat diet. J. Agric. Food Chem. 2011, 59, 989–994. [Google Scholar] [CrossRef] [PubMed]
  78. Gou, X.; Chen, J.; Ran, X.; Deng, L.; Deng, Y.; Liu, C.; Long, S.; Xie, J.; Peng, T.; Zhang, X. Konjac oligo-glucomannan ameliorate cognition impairments of Aβ1-42 induced alzheimer’s disease in mice by targeting microbiota-SCFAs-brain axis. J. Funct. Foods 2024, 122, 106469. [Google Scholar] [CrossRef]
  79. Liu, B.-N.; Liu, X.-T.; Liang, Z.-H.; Wang, J.-H. Gut microbiota in obesity. World J. Gastroenterol. 2021, 27, 3837. [Google Scholar] [CrossRef] [PubMed]
  80. Zhang, C.; Chen, J.-D.; Yang, F.-Q. Konjac glucomannan, a promising polysaccharide for OCDDS. Carbohydr. Polym. 2014, 104, 175–181. [Google Scholar] [CrossRef] [PubMed]
  81. Zhao, Y.; Jayachandran, M.; Xu, B. In vivo antioxidant and anti-inflammatory effects of soluble dietary fiber konjac glucomannan in type-2 diabetic rats. Int. J. Biol. Macromol. 2020, 159, 1186–1196. [Google Scholar] [CrossRef] [PubMed]
  82. Vasques, C.A.; Rossetto, S.; Halmenschlager, G.; Linden, R.; Heckler, E.; Fernandez, M.S.P.; Alonso, J.L.L. Evaluation of the pharmacotherapeutic efficacy of Garcinia cambogia plus Amorphophallus konjac for the treatment of obesity. Phytother. Res. 2008, 22, 1135–1140. [Google Scholar] [CrossRef] [PubMed]
  83. Ciobârcă, D.; Cătoi, A.F.; Copăescu, C.; Miere, D.; Crișan, G. Bariatric surgery in obesity: Effects on gut microbiota and micronutrient status. Nutrients 2020, 12, 235. [Google Scholar] [CrossRef] [PubMed]
  84. Ley, R.E.; Turnbaugh, P.J.; Klein, S.; Gordon, J.I. Human gut microbes associated with obesity. Nature 2006, 444, 1022–1023. [Google Scholar] [CrossRef] [PubMed]
  85. Guo, L.; Yokoyama, W.; Chen, L.; Chen, M.; Zhong, F. Dynamic hydration and viscosity control of konjac glucomannan enhance long-term antiobesity effects by reducing food intake in high-fat-diet-fed mice. J. Agric. Food Chem. 2024, 72, 24561–24575. [Google Scholar] [CrossRef] [PubMed]
  86. Clarke, S.F.; Murphy, E.F.; O’Sullivan, O.; Lucey, A.J.; Humphreys, M.; Hogan, A.; Hayes, P.; O’Reilly, M.; Jeffery, I.B.; Wood-Martin, R.; et al. Exercise and associated dietary extremes impact on gut microbial diversity. Gut 2014, 63, 1913–1920. [Google Scholar] [CrossRef] [PubMed]
  87. Cignarella, F.; Cantoni, C.; Ghezzi, L.; Salter, A.; Dorsett, Y.; Chen, L.; Phillips, D.; Weinstock, G.M.; Fontana, L.; Cross, A.H.; et al. Intermittent fasting confers protection in CNS autoimmunity by altering the gut microbiota. Cell Metab. 2018, 27, 1222–1235.e1226. [Google Scholar] [CrossRef] [PubMed]
  88. Liu, Q.; Fang, J.; Huang, W.; Liu, S.; Zhang, X.; Gong, G.; Huang, L.; Lin, X.; Wang, Z. The intervention effects of konjac glucomannan with different molecular weights on high-fat and high-fructose diet-fed obese mice based on the regulation of gut microbiota. Food Res. Int. 2023, 165, 112498. [Google Scholar] [CrossRef] [PubMed]
  89. Kreutzer, C.; Peters, S.; Schulte, D.M.; Fangmann, D.; Türk, K.; Wolff, S.; van Eimeren, T.; Ahrens, M.; Beckmann, J.; Schafmayer, C.; et al. Hypothalamic inflammation in human obesity is mediated by environmental and genetic factors. Diabetes 2017, 66, 2407–2415. [Google Scholar] [CrossRef] [PubMed]
  90. Tomic, D.; Shaw, J.E.; Magliano, D.J. The burden and risks of emerging complications of diabetes mellitus. Nat. Rev. Endocrinol. 2022, 18, 525–539. [Google Scholar] [CrossRef] [PubMed]
  91. Zhong, H.; Yu, Y.; Zhang, H.; Du, J.; Sun, J.; Chen, L.; Feng, F.; Guan, R. Lactiplantibacillus plantarum N1 derived lipoteichoic acid alleviates insulin resistance in association with modulation of gut microbiota and amino acids metabolism. Food Funct. 2025, 16, 1371–1388. [Google Scholar] [CrossRef] [PubMed]
  92. He, C.; Shan, Y.; Song, W. Targeting gut microbiota as a possible therapy for diabetes. Nutr. Res. 2015, 35, 361–367. [Google Scholar] [CrossRef] [PubMed]
  93. Wu, X.; Ma, C.; Han, L.; Nawaz, M.; Gao, F.; Zhang, X.; Yu, P.; Zhao, C.A.; Li, L.; Zhou, A.; et al. Molecular characterisation of the faecal microbiota in patients with type II diabetes. Curr. Microbiol. 2010, 61, 69–78. [Google Scholar] [CrossRef] [PubMed]
  94. Furet, J.-P.; Kong, L.-C.; Tap, J.; Poitou, C.; Basdevant, A.; Bouillot, J.-L.; Mariat, D.; Corthier, G.; Doré, J.; Henegar, C. Differential adaptation of human gut microbiota to bariatric surgery–induced weight loss: Links with metabolic and low-grade inflammation markers. Diabetes 2010, 59, 3049–3057. [Google Scholar] [CrossRef] [PubMed]
  95. Song, S.; Lee, J.E. Dietary patterns related to triglyceride and high-density lipoprotein cholesterol and the incidence of type 2 diabetes in Korean men and women. Nutrients 2018, 11, 8. [Google Scholar] [CrossRef] [PubMed]
  96. Moon, J.; Lee, A.R.; Kim, H.; Jhun, J.; Lee, S.-Y.; Choi, J.W.; Jeong, Y.; Park, M.S.; Ji, G.E.; Cho, M.-L.; et al. Faecalibacterium prausnitzii alleviates inflammatory arthritis and regulates IL-17 production, short chain fatty acids, and the intestinal microbial flora in experimental mouse model for rheumatoid arthritis. Arthritis Res. Ther. 2023, 25, 130. [Google Scholar] [CrossRef] [PubMed]
  97. Markowiak-Kopeć, P.; Śliżewska, K. The effect of probiotics on the production of short-chain fatty acids by human intestinal microbiome. Nutrients 2020, 12, 1107. [Google Scholar] [CrossRef] [PubMed]
  98. Chen, H.; Nie, Q.; Hu, J.; Huang, X.; Zhang, K.; Pan, S.; Nie, S. Hypoglycemic and hypolipidemic effects of glucomannan extracted from konjac on type 2 diabetic rats. J. Agric. Food Chem. 2019, 67, 5278–5288. [Google Scholar] [CrossRef] [PubMed]
  99. Chen, H.-L.; Sheu, W.H.-H.; Tai, T.-S.; Liaw, Y.-P.; Chen, Y.-C. Konjac supplement alleviated hypercholesterolemia and hyperglycemia in type 2 diabetic subjects—A randomized double-blind trial. J. Am. Coll. Nutr. 2003, 22, 36–42. [Google Scholar] [CrossRef] [PubMed]
  100. Eckburg, P.B.; Bik, E.M.; Bernstein, C.N.; Purdom, E.; Dethlefsen, L.; Sargent, M.; Gill, S.R.; Nelson, K.E.; Relman, D.A. Diversity of the human intestinal microbial flora. Science 2005, 308, 1635–1638. [Google Scholar] [CrossRef] [PubMed]
  101. Jung, M.-J.; Lee, J.; Shin, N.-R.; Kim, M.-S.; Hyun, D.-W.; Yun, J.-H.; Kim, P.S.; Whon, T.W.; Bae, J.-W. Chronic repression of mTOR complex 2 induces changes in the gut microbiota of diet-induced obese mice. Sci. Rep. 2016, 6, 30887. [Google Scholar] [CrossRef] [PubMed]
  102. Wang, Y.; Zhou, Y.; Fu, J. Advances in antiobesity mechanisms of capsaicin. Curr. Opin. Pharmacol. 2021, 61, 1–5. [Google Scholar] [CrossRef] [PubMed]
  103. Chen, Y.; Yang, C.; You, N.; Zhang, J. Relationship between Helicobacter pylori and glycated hemoglobin: A cohort study. Front. Cell. Infect. Microbiol. 2023, 13, 1196338. [Google Scholar] [CrossRef] [PubMed]
  104. Niu, H.; Zhou, M.; Zogona, D.; Xing, Z.; Wu, T.; Chen, R.; Cui, D.; Liang, F.; Xu, X. Akkermansia muciniphila: A potential candidate for ameliorating metabolic diseases. Front. Immunol. 2024, 15, 1370658. [Google Scholar] [CrossRef] [PubMed]
  105. Mangiafico, S.; Costello-Boerrigter, L.C.; Andersen, I.A.; Cataliotti, A.; Burnett, J.C., Jr. Neutral endopeptidase inhibition and the natriuretic peptide system: An evolving strategy in cardiovascular therapeutics. Eur. Heart J. 2013, 34, 886–893. [Google Scholar] [CrossRef] [PubMed]
  106. Mitchell, S.; Roso, S.; Samuel, M.; Pladevall-Vila, M. Unmet need in the hyperlipidaemia population with high risk of cardiovascular disease: A targeted literature review of observational studies. BMC Cardiovasc. Disord. 2016, 16, 74. [Google Scholar] [CrossRef] [PubMed]
  107. Shang, L.; Wang, Y.; Ren, Y.; Ai, T.; Zhou, P.; Hu, L.; Wang, L.; Li, J.; Li, B. In vitro gastric emptying characteristics of konjac glucomannan with different viscosity and its effects on appetite regulation. Food Funct. 2020, 11, 7596–7610. [Google Scholar] [CrossRef] [PubMed]
  108. Blaak, E.; Canfora, E.; Theis, S.; Frost, G.; Groen, A.; Mithieux, G.; Nauta, A.; Scott, K.; Stahl, B.; Van Harsselaar, J.; et al. Short chain fatty acids in human gut and metabolic health. Benef. Microbes 2020, 11, 411–455. [Google Scholar] [CrossRef] [PubMed]
  109. Haeri, M.; Parham, M.; Habibi, N.; Vafaeimanesh, J. Effect of Helicobacter pylori infection on serum lipid profile. J. Lipids 2018, 2018, 6734809. [Google Scholar] [CrossRef] [PubMed]
  110. Liu, F.; Wan, H.; Fan, H.; Zhang, Z.; Dai, H.; He, H. Complexation of starch and konjac glucomannan during screw extrusion exhibits obesity-reducing effects by modulating the intestinal microbiome and its metabolites. Food Funct. 2025, 16, 232–248. [Google Scholar] [CrossRef] [PubMed]
  111. Singhal, N.; Maurya, A.K.; Mohanty, S.; Kumar, M.; Virdi, J.S. Evaluation of bile salt hydrolases, cholesterol-lowering capabilities, and probiotic potential of Enterococcus faecium isolated from rhizosphere. Front. Microbiol. 2019, 10, 1567. [Google Scholar] [CrossRef] [PubMed]
  112. Guo, X.; Okpara, E.S.; Hu, W.; Yan, C.; Wang, Y.; Liang, Q.; Chiang, J.Y.; Han, S. Interactive relationships between intestinal flora and bile acids. Int. J. Mol. Sci. 2022, 23, 8343. [Google Scholar] [CrossRef] [PubMed]
  113. Matsuoka, K.; Kanai, T. The gut microbiota and inflammatory bowel disease. In the Seminars in Immunopathology; Springer: Berlin/Heidelberg, Germany, 2015; pp. 47–55. [Google Scholar]
  114. Manichanh, C.; Borruel, N.; Casellas, F.; Guarner, F. The gut microbiota in IBD. Nat. Rev. Gastroenterol. Hepatol. 2012, 9, 599–608. [Google Scholar] [CrossRef] [PubMed]
  115. Ramos, G.P.; Papadakis, K.A. Mechanisms of disease: Inflammatory bowel diseases. In the Mayo Clinic Proceedings; Elsevier: Amsterdam, The Netherlands, 2019; pp. 155–165. [Google Scholar]
  116. Lavelle, A.; Hoffmann, T.W.; Pham, H.-P.; Langella, P.; Guédon, E.; Sokol, H. Baseline microbiota composition modulates antibiotic-mediated effects on the gut microbiota and host. Microbiome 2019, 7, 111. [Google Scholar] [CrossRef] [PubMed]
  117. Zhong, H.; Luo, X.; Abdullah; Liu, X.; Hussain, M.; Guan, R. Nano-targeted delivery system: A promising strategy of anthocyanin encapsulation for treating intestinal inflammation. Crit. Rev. Food Sci. Nutr. 2025, 1–22. [Google Scholar] [CrossRef] [PubMed]
  118. Halfvarson, J.; Brislawn, C.J.; Lamendella, R.; Vázquez-Baeza, Y.; Walters, W.A.; Bramer, L.M.; D’amato, M.; Bonfiglio, F.; McDonald, D.; Gonzalez, A.; et al. Dynamics of the human gut microbiome in inflammatory bowel disease. Nat. Microbiol. 2017, 2, 17004. [Google Scholar] [CrossRef] [PubMed]
  119. Sun, M.; He, C.; Cong, Y.; Liu, Z. Regulatory immune cells in regulation of intestinal inflammatory response to microbiota. Mucosal Immunol. 2015, 8, 969–978. [Google Scholar] [CrossRef] [PubMed]
  120. Wang, M.; Fu, R.; Xu, D.; Chen, Y.; Yue, S.; Zhang, S.; Tang, Y. Traditional chinese medicine: A promising strategy to regulate the imbalance of bacterial flora, impaired intestinal barrier and immune function attributed to ulcerative colitis through intestinal microecology. J. Ethnopharmacol. 2024, 318, 116879. [Google Scholar] [CrossRef] [PubMed]
  121. Changchien, C.-H.; Han, Y.-C.; Chen, H.-L. Konjac glucomannan polysaccharide and inulin oligosaccharide enhance the colonic mucosal barrier function and modulate gut-associated lymphoid tissue immunity in C57BL/6J mice. Br. J. Nutr. 2020, 123, 319–327. [Google Scholar] [CrossRef] [PubMed]
  122. Chen, H.-L.; Cheng, H.-C.; Liu, Y.-J.; Liu, S.-Y.; Wu, W.-T. Konjac acts as a natural laxative by increasing stool bulk and improving colonic ecology in healthy adults. Nutrition 2006, 22, 1112–1119. [Google Scholar] [CrossRef] [PubMed]
  123. Xia, P.; Zhao, M.; Jin, H.; Hou, T.; Deng, Z.; Zhang, M.; Zhou, Q.; Zhan, F.; Li, B.; Li, J. Konjac glucomannan-assisted curcumin alleviated dextran sulfate sodium-induced mice colitis via regulating immune response and maintaining intestinal barrier integrity. Food Funct. 2023, 14, 8747–8760. [Google Scholar] [CrossRef] [PubMed]
  124. Osman, N.; Adawi, D.; Molin, G.; Ahrne, S.; Berggren, A.; Jeppsson, B. Bifidobacterium infantis strains with and without a combination of oligofructose and inulin (OFI) attenuate inflammation in DSS-induced colitis in rats. BMC Gastroenterol. 2006, 6, 31. [Google Scholar] [CrossRef] [PubMed]
  125. Wilcox, M.H. Clostridium difficile infection and pseudomembranous colitis. Best Pract. Res. Clin. Gastroenterol. 2003, 17, 475–493. [Google Scholar] [CrossRef] [PubMed]
  126. Wang, H.-B.; Wang, P.-Y.; Wang, X.; Wan, Y.-L.; Liu, Y.-C. Butyrate enhances intestinal epithelial barrier function via up-regulation of tight junction protein claudin-1 transcription. Dig. Dis. Sci. 2012, 57, 3126–3135. [Google Scholar] [CrossRef] [PubMed]
  127. Keum, N.; Giovannucci, E. Global burden of colorectal cancer: Emerging trends, risk factors and prevention strategies. Nat. Rev. Gastroenterol. Hepatol. 2019, 16, 713–732. [Google Scholar] [CrossRef] [PubMed]
  128. Xue, K.; Li, J.; Huang, R. The immunoregulatory role of gut microbiota in the incidence, progression, and therapy of breast cancer. Front. Cell. Infect. Microbiol. 2024, 14, 1411249. [Google Scholar] [CrossRef] [PubMed]
  129. Gasaly, N.; De Vos, P.; Hermoso, M.A. Impact of bacterial metabolites on gut barrier function and host immunity: A focus on bacterial metabolism and its relevance for intestinal inflammation. Front. Immunol. 2021, 12, 658354. [Google Scholar] [CrossRef] [PubMed]
  130. Zhong, H.; Jiang, J.; Hussain, M.; Zhang, H.; Chen, L.; Guan, R. The encapsulation strategies for targeted delivery of probiotics in preventing and treating colorectal cancer: A review. Adv. Sci. 2025, 12, 2500304. [Google Scholar] [CrossRef] [PubMed]
  131. Dai, Z.; Coker, O.O.; Nakatsu, G.; Wu, W.K.; Zhao, L.; Chen, Z.; Chan, F.K.; Kristiansen, K.; Sung, J.J.; Wong, S.H.; et al. Multi-cohort analysis of colorectal cancer metagenome identified altered bacteria across populations and universal bacterial markers. Microbiome 2018, 6, 70. [Google Scholar] [CrossRef] [PubMed]
  132. Xue, M.; Liang, H.; Ji, X.; Zhou, Z.; Liu, Y.; Sun, T.; Zhang, L. Effects of fucoidan on gut flora and tumor prevention in 1, 2-dimethylhydrazine-induced colorectal carcinogenesis. J. Nutr. Biochem. 2020, 82, 108396. [Google Scholar] [CrossRef] [PubMed]
  133. Wu, W.-T.; Cheng, H.-C.; Chen, H.-L. Ameliorative effects of konjac glucomannan on human faecal β-glucuronidase activity, secondary bile acid levels and faecal water toxicity towards Caco-2 cells. Br. J. Nutr. 2011, 105, 593–600. [Google Scholar] [CrossRef] [PubMed]
  134. Fini, A.; Roda, A. Chemical properties of bile acids. IV. Acidity constants of glycine-conjugated bile acids. J. Lipid Res. 1987, 28, 755–759. [Google Scholar] [CrossRef] [PubMed]
  135. Liu, Y.; Zhang, S.; Zhou, W.; Hu, D.; Xu, H.; Ji, G. Secondary bile acids and tumorigenesis in colorectal cancer. Front. Oncol. 2022, 12, 813745. [Google Scholar] [CrossRef] [PubMed]
  136. Caliceti, C.; Punzo, A.; Silla, A.; Simoni, P.; Roda, G.; Hrelia, S. New insights into bile acids related signaling pathways in the onset of colorectal cancer. Nutrients 2022, 14, 2964. [Google Scholar] [CrossRef] [PubMed]
  137. Sarathy, J.; Detloff, S.J.; Ao, M.; Khan, N.; French, S.; Sirajuddin, H.; Nair, T.; Rao, M.C. The yin and yang of bile acid action on tight junctions in a model colonic epithelium. Physiol. Rep. 2017, 5, e13294. [Google Scholar] [CrossRef] [PubMed]
  138. Chang, C.; Leghari, A.; Li, X.; Su, Y.; Gu, L.; Yang, Y.; Li, J. Konjac gum and maltodextrin compound tablets as carriers of IgY for sustained release in stomach. Int. Food Res. J. 2023, 30, 1297–1303. [Google Scholar] [CrossRef]
  139. Du, X.; Yang, L.; Ye, X.; Li, B. Antibacterial activity of konjac glucomannan/chitosan blend films and their irradiation-modified counterparts. Carbohydr. Polym. 2013, 92, 1302–1307. [Google Scholar] [CrossRef] [PubMed]
  140. Ranjbar, M.; Salehi, R.; Haghjooy Javanmard, S.; Rafiee, L.; Faraji, H.; Jafarpor, S.; Ferns, G.A.; Ghayour-Mobarhan, M.; Manian, M.; Nedaeinia, R. The dysbiosis signature of Fusobacterium nucleatum in colorectal cancer-cause or consequences? A systematic review. Cancer Cell Int. 2021, 21, 194. [Google Scholar] [CrossRef] [PubMed]
  141. Galasso, L.; Termite, F.; Mignini, I.; Esposto, G.; Borriello, R.; Vitale, F.; Nicoletti, A.; Paratore, M.; Ainora, M.E.; Gasbarrini, A.; et al. Unraveling the role of Fusobacterium nucleatum in colorectal cancer: Molecular mechanisms and pathogenic insights. Cancers 2025, 17, 368. [Google Scholar] [CrossRef] [PubMed]
  142. Hibberd, A.A.; Lyra, A.; Ouwehand, A.C.; Rolny, P.; Lindegren, H.; Cedgård, L.; Wettergren, Y. Intestinal microbiota is altered in patients with colon cancer and modified by probiotic intervention. BMJ Open Gastroenterol. 2017, 4, e000145. [Google Scholar] [CrossRef] [PubMed]
  143. Zhang, Q.; Zhong, D.; Sun, R.; Zhang, Y.; Pegg, R.B.; Zhong, G. Prevention of loperamide induced constipation in mice by KGM and the mechanisms of different gastrointestinal tract microbiota regulation. Carbohydr. Polym. 2021, 256, 117418. [Google Scholar] [CrossRef] [PubMed]
  144. Iwasaki, A.; Medzhitov, R. Control of adaptive immunity by the innate immune system. Nat. Immunol. 2015, 16, 343–353. [Google Scholar] [CrossRef] [PubMed]
  145. Giardino, G.; Gallo, V.; Prencipe, R.; Gaudino, G.; Romano, R.; De Cataldis, M.; Lorello, P.; Palamaro, L.; Di Giacomo, C.; Capalbo, D.; et al. Unbalanced immune system: Immunodeficiencies and autoimmunity. Front. Pediatr. 2016, 4, 107. [Google Scholar] [CrossRef] [PubMed]
  146. Kato, L.M.; Kawamoto, S.; Maruya, M.; Fagarasan, S. The role of the adaptive immune system in regulation of gut microbiota. Immunol. Rev. 2014, 260, 67–75. [Google Scholar] [CrossRef] [PubMed]
  147. Shen, F.; Zhu, H.; Bao, Z.; Han, D.; Du, J.; Zhao, M.; Feng, F.; He, G.; Mo, Q. Lactiplantibacillus plantarum T34 alleviates constipation by enhancing intestinal barrier and modulating gut homeostasis. Food Biosci. 2025, 66, 106195. [Google Scholar] [CrossRef]
  148. Cervantes, J.L.; Hong, B.-Y. Dysbiosis and immune dysregulation in outer space. Int. Rev. Immunol. 2016, 35, 67–82. [Google Scholar] [CrossRef] [PubMed]
  149. Rodríguez, C.; Romero, E.; Garrido-Sanchez, L.; Alcain-Martinez, G.; Andrade, R.J.; Taminiau, B.; Daube, G.; Garcia-Fuentes, E. Microbiota insights in Clostridium difficile infection and inflammatory bowel disease. Gut Microbes 2020, 12, 1725220. [Google Scholar] [CrossRef] [PubMed]
  150. Zhang, L.; Dong, D.; Jiang, C.; Li, Z.; Wang, X.; Peng, Y. Insight into alteration of gut microbiota in Clostridium difficile infection and asymptomatic C. difficile colonization. Anaerobe 2015, 34, 1–7. [Google Scholar] [CrossRef] [PubMed]
  151. Vinolo, M.A.; Rodrigues, H.G.; Nachbar, R.T.; Curi, R. Regulation of inflammation by short chain fatty acids. Nutrients 2011, 3, 858–876. [Google Scholar] [CrossRef] [PubMed]
  152. Liu, T.; Sun, Z.; Yang, Z.; Qiao, X. Microbiota-derived short-chain fatty acids and modulation of host-derived peptides formation: Focused on host defense peptides. Biomed. Pharmacother. 2023, 162, 114586. [Google Scholar] [CrossRef] [PubMed]
  153. Nie, Q.; Sun, Y.; Hu, W.; Chen, C.; Lin, Q.; Nie, S. Glucomannan promotes Bacteroides ovatus to improve intestinal barrier function and ameliorate insulin resistance. Imeta 2024, 3, e163. [Google Scholar] [CrossRef] [PubMed]
  154. Teleanu, R.I.; Niculescu, A.-G.; Roza, E.; Vladâcenco, O.; Grumezescu, A.M.; Teleanu, D.M. Neurotransmitters—Key factors in neurological and neurodegenerative disorders of the central nervous system. Int. J. Mol. Sci. 2022, 23, 5954. [Google Scholar] [CrossRef] [PubMed]
  155. Xu, R.; Wu, B.; Liang, J.; He, F.; Gu, W.; Li, K.; Luo, Y.; Chen, J.; Gao, Y.; Wu, Z.; et al. Altered gut microbiota and mucosal immunity in patients with schizophrenia. Brain Behav. Immun. 2020, 85, 120–127. [Google Scholar] [CrossRef] [PubMed]
  156. Qian, Y.; Yang, X.; Xu, S.; Wu, C.; Song, Y.; Qin, N.; Chen, S.-D.; Xiao, Q. Alteration of the fecal microbiota in chinese patients with parkinson’s disease. Brain Behav. Immun. 2018, 70, 194–202. [Google Scholar] [CrossRef] [PubMed]
  157. Morais, L.H.; Schreiber IV, H.L.; Mazmanian, S.K. The gut microbiota–brain axis in behaviour and brain disorders. Nat. Rev. Microbiol. 2021, 19, 241–255. [Google Scholar] [CrossRef] [PubMed]
  158. Stilling, R.M.; Dinan, T.G.; Cryan, J.F. Microbial genes, brain & behaviour–epigenetic regulation of the gut–brain axis. Genes Brain Behav. 2014, 13, 69–86. [Google Scholar] [PubMed]
  159. Wang, Y.; Kasper, L.H. The role of microbiome in central nervous system disorders. Brain Behav. Immun. 2014, 38, 1–12. [Google Scholar] [CrossRef] [PubMed]
  160. Unger, M.M.; Spiegel, J.; Dillmann, K.-U.; Grundmann, D.; Philippeit, H.; Bürmann, J.; Faßbender, K.; Schwiertz, A.; Schäfer, K.-H. Short chain fatty acids and gut microbiota differ between patients with parkinson’s disease and age-matched controls. Park. Relat. Disord. 2016, 32, 66–72. [Google Scholar] [CrossRef] [PubMed]
  161. Vogt, N.M.; Kerby, R.L.; Dill-McFarland, K.A.; Harding, S.J.; Merluzzi, A.P.; Johnson, S.C.; Carlsson, C.M.; Asthana, S.; Zetterberg, H.; Blennow, K.; et al. Gut microbiome alterations in alzheimer’s disease. Sci. Rep. 2017, 7, 13537. [Google Scholar] [CrossRef] [PubMed]
  162. Larsen, N.; Vogensen, F.K.; Van Den Berg, F.W.; Nielsen, D.S.; Andreasen, A.S.; Pedersen, B.K.; Al-Soud, W.A.; Sørensen, S.J.; Hansen, L.H.; Jakobsen, M. Gut microbiota in human adults with type 2 diabetes differs from non-diabetic adults. PLoS ONE 2010, 5, e9085. [Google Scholar] [CrossRef] [PubMed]
  163. Rawlings, A.M.; Sharrett, A.R.; Schneider, A.L.; Coresh, J.; Albert, M.; Couper, D.; Griswold, M.; Gottesman, R.F.; Wagenknecht, L.E.; Windham, B.G. Diabetes in midlife and cognitive change over 20 years: A cohort study. Ann. Intern. Med. 2014, 161, 785–793. [Google Scholar] [CrossRef] [PubMed]
  164. Willette, A.A.; Bendlin, B.B.; Starks, E.J.; Birdsill, A.C.; Johnson, S.C.; Christian, B.T.; Okonkwo, O.C.; La Rue, A.; Hermann, B.P.; Koscik, R.L.; et al. Association of insulin resistance with cerebral glucose uptake in late middle–aged adults at risk for alzheimer disease. JAMA Neurol. 2015, 72, 1013–1020. [Google Scholar] [CrossRef] [PubMed]
  165. Devaraj, R.D.; Reddy, C.K.; Xu, B. Health-promoting effects of konjac glucomannan and its practical applications: A critical review. Int. J. Biol. Macromol. 2019, 126, 273–281. [Google Scholar] [CrossRef] [PubMed]
  166. Thiruvengadam, M.; Subramanian, U.; Venkidasamy, B.; Thirupathi, P.; Samynathan, R.; Shariati, M.A.; Rebezov, M.; Chung, I.-M.; Rengasamy, K.R. Emerging role of nutritional short-chain fatty acids (SCFAs) against cancer via modulation of hematopoiesis. Crit. Rev. Food Sci. Nutr. 2023, 63, 827–844. [Google Scholar] [CrossRef] [PubMed]
  167. Qian, X.-H.; Xie, R.-Y.; Liu, X.-L.; Chen, S.-D.; Tang, H.-D. Mechanisms of short-chain fatty acids derived from gut microbiota in alzheimer’s disease. Aging Dis. 2022, 13, 1252. [Google Scholar] [CrossRef] [PubMed]
  168. Burke, J.E.; Triscott, J.; Emerling, B.M.; Hammond, G.R. Beyond PI3Ks: Targeting phosphoinositide kinases in disease. Nat. Rev. Drug Discov. 2023, 22, 357–386. [Google Scholar] [CrossRef] [PubMed]
  169. Liu, S.; Xu, L.; Shen, Y.; Wang, L.; Lai, X.; Hu, H. Qingxin Kaiqiao Fang decreases Tau hyperphosphorylation in Alzheimer’s disease via the PI3K/Akt/GSK3β pathway in vitro and in vivo. J. Ethnopharmacol. 2024, 318, 117031. [Google Scholar] [CrossRef] [PubMed]
  170. Grünert, S.C.; Wendel, U.; Lindner, M.; Leichsenring, M.; Schwab, K.O.; Vockley, J.; Lehnert, W.; Ensenauer, R. Clinical and neurocognitive outcome in symptomatic isovaleric acidemia. Orphanet J. Rare Dis. 2012, 7, 9. [Google Scholar] [CrossRef] [PubMed]
  171. Missiego-Beltrán, J.; Olalla-Álvarez, E.M.; González-Brugera, A.; Beltrán-Velasco, A.I. Implications of butyrate signaling pathways on the motor symptomatology of parkinson’s disease and neuroprotective effects—Therapeutic approaches: A systematic review. Int. J. Mol. Sci. 2024, 25, 8998. [Google Scholar] [CrossRef] [PubMed]
  172. Li, J.; Wang, J.; Wang, M.; Zheng, L.; Cen, Q.; Wang, F.; Zhu, L.; Pang, R.; Zhang, A. Bifidobacterium: A probiotic for the prevention and treatment of depression. Front. Microbiol. 2023, 14, 1174800. [Google Scholar] [CrossRef] [PubMed]
  173. Ma, J.; Wang, R.; Chen, Y.; Wang, Z.; Dong, Y. 5-HT attenuates chronic stress-induced cognitive impairment in mice through intestinal flora disruption. J. Neuroinflamm. 2023, 20, 23. [Google Scholar] [CrossRef] [PubMed]
  174. Park, S.-Y.; Lee, J.-W.; Lim, S.-D. The probiotic characteristics and GABA production of Lactobacillus plantarum K154 isolated from kimchi. Food Sci. Biotechnol. 2014, 23, 1951–1957. [Google Scholar] [CrossRef]
  175. Kim, S.; Park, S.; Choi, T.G.; Kim, S.S. Role of short chain fatty acids in epilepsy and potential benefits of probiotics and prebiotics: Targeting “health” of epileptic patients. Nutrients 2022, 14, 2982. [Google Scholar] [CrossRef] [PubMed]
  176. Liu, K.; Dong, H.; Li, X.; Hu, C.; Cui, F.; Li, S.; Zhang, X.; Du, Y.; Yang, P.; Ji, W.; et al. L-arabinose alleviates functional constipation in mice by regulating gut microbiota and metabolites. Foods 2025, 14, 900. [Google Scholar] [CrossRef] [PubMed]
  177. Doi, K.; Nakamura, T.; Aoyama, N.; Matsuura, M.; Kawara, A. Metabolic and nutritional effects of long-term use of konjac glucomannan in the treatment of obese or non-obese diabetics. In the Progress in Obesity Research, Proceedings of the Sixth International Congress on Obesity; John Libbey: London, UK, 1990; pp. 507–514. [Google Scholar]
  178. Onakpoya, I.; Posadzki, P.; Ernst, E. The efficacy of glucomannan supplementation in overweight and obesity: A systematic review and meta-analysis of randomized clinical trials. J. Am. Coll. Nutr. 2014, 33, 70–78. [Google Scholar] [CrossRef] [PubMed]
  179. Sun, Y.; Xu, X.; Zhang, Q.; Zhang, D.; Xie, X.; Zhou, H.; Wu, Z.; Liu, R.; Pang, J. Review of konjac glucomannan structure, properties, gelation mechanism, and application in medical biology. Polymers 2023, 15, 1852. [Google Scholar] [CrossRef] [PubMed]
  180. Doi, K.; Matsuura, M.; Kawara, A.; Tanaka, T.; Baba, S. Influence of dietary fiber (konjac mannan) on absorption of vitamin B12 and vitamin E. Tohoku J. Exp. Med. 1983, 141, 677–681. [Google Scholar] [CrossRef] [PubMed]
  181. Zhang, Y.; Aldamarany, W.A.; Song, G.; Liu, J.; Liu, S.; Chen, Y.; Jiang, W.; Zhong, G. Influence of konjac glucomannan and its derivatives on the oral pharmacokinetics of antimicrobial agent in antibiotics cocktails: Keep vigilant on dietary fiber supplement. Int. J. Biol. Macromol. 2023, 251, 126306. [Google Scholar] [CrossRef] [PubMed]
  182. Sirotkin, A.V. Can konjac (Amorphophallus konjac K. Koch) and it constituent glucomannan be useful for treatment of obesity? Obes. Med. 2021, 24, 100343. [Google Scholar] [CrossRef]
  183. Shima, K.; Tanaka, A.; Ikegami, H.; Tabata, M.; Sawazaki, N.; Kumahara, Y. Effect of dietary fiber, glucomannan, on absorption of sulfonylurea in man. Horm. Metab. Res. 1983, 15, 1–3. [Google Scholar] [CrossRef] [PubMed]
Figure 1. KGM molecular structure formula; M-M-G sequence consists of a backbone formed by glucose (G) and mannose (M) linked via β-1,4 glycosidic bonds, with β-1,6-glucosyl branches. In the Ac-M-G sequence, acetyl groups are randomly attached to the C-6 position of mannose (M) units. Adopted from [10].
Figure 1. KGM molecular structure formula; M-M-G sequence consists of a backbone formed by glucose (G) and mannose (M) linked via β-1,4 glycosidic bonds, with β-1,6-glucosyl branches. In the Ac-M-G sequence, acetyl groups are randomly attached to the C-6 position of mannose (M) units. Adopted from [10].
Biology 14 00923 g001
Figure 2. Effect of KGM on the structure of gut microbiota; “↑” indicates increases, while “↓” indicates decreases.
Figure 2. Effect of KGM on the structure of gut microbiota; “↑” indicates increases, while “↓” indicates decreases.
Biology 14 00923 g002
Figure 3. The pathway of KGM metabolized into SCFAs by gut microbiota in vivo; the representative gut microbiota involved in each metabolic step are marked in the diagram, and the bacterial division and metabolic flow trend of KGM to acetate, propionate, and butyrate were analyzed.
Figure 3. The pathway of KGM metabolized into SCFAs by gut microbiota in vivo; the representative gut microbiota involved in each metabolic step are marked in the diagram, and the bacterial division and metabolic flow trend of KGM to acetate, propionate, and butyrate were analyzed.
Biology 14 00923 g003
Figure 4. Beneficial effects of intestinal flora in health; “↑” indicates increases, while “↓” indicates decreases.
Figure 4. Beneficial effects of intestinal flora in health; “↑” indicates increases, while “↓” indicates decreases.
Biology 14 00923 g004
Figure 5. Mechanism of KGM in alleviating colorectal cancer; “↑” indicates increases, while “↓” indicates decreases; arrows denote activation steps.
Figure 5. Mechanism of KGM in alleviating colorectal cancer; “↑” indicates increases, while “↓” indicates decreases; arrows denote activation steps.
Biology 14 00923 g005
Table 1. Effects of KGM on gut microbiota and health.
Table 1. Effects of KGM on gut microbiota and health.
Disease TypeDosageExperimental SubjectMicrobiota InfluenceOthers’ InfluenceConclusionsReference
Obesity400 mg/kgC57Bl/6Junclassified_f_Lachnospiraceae↑, norank_f_Lachnospiraceae↑, Blautia↑, Romboutsia↑, Colidextribacter↑, norank_f_Oscillospiraceae↑, Lachnospiraceae_NK4A136↑, Faecalibacterium↓, MuribaculaceaeBody weight↓, fat mass↓, FBG↓, insulin resistance↓; appetite regulator GLP-1 and intestinal hormone PYY↑; blood lipid levels TG, TC and LDL-C↓, HDL-C↑; inflammatory factors TNF-α, IL-1β, and IL-6↓; expression of lipid metabolism genes LDLR, GCK, and G-6-pase mRNA↑; SCFAs↑Konjac dietary fiber (KGM) intake reduces body weight in obese mice, improves glucose and lipid metabolism homeostasis, and modulates gut microbiota composition.[71]
Obesity100 g/kgC57Bl/6JBifidobacterium↑, Lactobacillus↑, Alistipes↑, Clostridium_XlVa↑, Blautia↓, Allobaculum↓, Saccharibacteria↓, Enterorhabdus↓, CoprococcusInguinal fat↓, brown fat↑; food intake and energy intake↓, energy consumption and heat production↑; leptin and adiponectin↓, GLP-1↑; inflammatory factors TNF-α, IL-6, and IL-1β↓; repair of intestinal epithelial barrier injury, Claudin-1 and Occludin protein expression↑; expression of Agrp, Npy, and Orx in hypothalamus of obese mice↓, Cart expression↑; SCFAs↑KGM modulates energy balance via the gut microbiota-brain axis, suppressing appetite and alleviating obesity.[72]
DiabetesFeed contains 5% KGMSprague Dawley male ratsMuribaculaceae↑, Ruminococcus↑, Lachnoclostridium↑, RomboutsiaFBG, HOMA-IR↓; inflammatory factors TNF-α and IL-6↓; fecal SCFAs↑; expression of GPR41, GPR43, and GPR109A mRNA↑KGM effectively lowers blood glucose by modulating gut microbiota composition, increasing SCFA levels, and activating G protein-coupled receptors (GPRCs), thereby alleviating diabetes symptoms.[73]
DiabetesLiquid food contains 0.38% KGMC57Bl/6JBifidobacterium↑, Allobaculum↑, S24-7↓, Helicobacter pyloriBody weight, epididymal fat, and subcutaneous fat↓; FBG, serum insulin level, HOMA-IR index, and postprandial blood glucose↓; blood lipid levels TC, TG, and LDL-C↓, HDL-C↑; serum ALT, AST, ALP, and LDH levels↓, effectively reduced liver injury; hepatocellular lesions↓, liver lipid dropletsThe KGM-PCP combination improved body weight, lipid homeostasis, and liver health in T2DM mice by lowering postprandial blood glucose and modulating gut microbiota composition and abundance in the intestinal environment.[74]
Hyperlipidemia60 g/kgMale Golden Syrian hamstersLachnospiraceae_UCG-006↑, Parasutterella↑, Lachnospiraceae_NK4A136↓, Lachnoclostridium↓, unclassified_f_Oscillospiraceae↓, Adlercreutzia↓, Eubacterium_brachy_group↓, GordonibacterBody weight, liver lipid vacuoles, epididymal fat weight and adipocyte size↓; blood lipid levels TC, TG, and LDL-C↓; SCFAs↑; significantly changed bile acid composition, DCA/LCA↓, GCA/UDCA↑; liver CYP7A1 mRNA expression↑; FXR and sterol 12α-hydroxylase (CYP8B1) mRNA expression↓KGM primarily modulates gut microbiota activity, which in turn alters bile acid metabolism, ultimately improving blood lipid profiles.[35]
Hyperlipidemia100 g/kgC57Bl/6JAkkermansia muciniphila↑, Alistipes↑, Olsenella↑, Bifidobacterium↑, Sporobacter↓, Allobaculum↓, Acetatifactor↓, Helicobacter pyloriLipid levels TC, TG, FAA, and LDL-C↓, HDL-C↑, insulin and leptin levels↓; liver function markers AST and ALT↓, SOD↑; lipid accumulation in IECs↓; fatty acid decomposition protein and gene (FABP1, PPARα, SREBP1 mRNA, and CD36 protein expression)↓; depth of crypt and the number of goblet cells↑; improved mucosal epithelial damage and disorderly loose arrangement of epithelial cellsKGM significantly reduced systemic and intestinal lipid accumulation in obese mice by altering microbial populations linked to lipid absorption and enhancing SCFA production, thereby inhibiting lipid absorption and output in HFD mice.[32]
IBD70 g/kgC57Bl/6Jnorank_f__Muribaculaceae↑, Akkermansia muciniphila↑, Parabacteroides↑, Monoglobus↑, Bacteroides↓, Blautia↓, Escherichia-Shigella↓, Colidextribacter↓, SalmonellaSerum MDA and H2O2↓; relative mRNA levels of Nqo1 and Nrf2↑; alleviated colonic oxidative stress; tight junction OCLN and ZO-2 protein expression↑; TNF-α, Ccl8, and Il-10 mRNA↑; INF-β mRNA↓; inflammatory factors Ccl2, Ccl3, Ccl8, and interleukin-1β (Il-1β) mRNA expression↓; reduced inflammatory response; Toll-like receptor (Tlr2, Tlr9) mRNA↓; ratio of phosphorylated (p) -NF-κB/NF-κB↓KGM alleviates colitis by modulating the gut microbiota and inhibiting the TLR2/NF-κB signaling pathway.[75]
IBD25 g/kgC57Bl/6JLactobacillus↑, Bifidobacterium↑, ClostridiumImproved the distal colon cross-sectional tissue dysplasia; inflammatory factors TNF-α, IL-6↓, and IL-10↑; tight junction protein ZO-1 and occludin gene expression↑; improved the intestinal barrier damage; fecal SCFAs↑The KGM-inulin oligosaccharide combination prevents colitis by modulating gut microbiota, strengthening the intestinal barrier, and boosting SCFA production to suppress inflammation.[76]
CRC62.5 g/kgSprague Dawley male ratsBifidobacterium↑, Lactobacillus↑, ClostridiumEnergy intake and body weight↓; fecal β-glucuronidase and mucin activity↓; lithocholic acid ↓, fecal excretion↑; cecal i-butyrate↑The KGM-inulin combination enriched beneficial gut bacteria, altered microbiota composition, elevated SCFA levels, and improved the intestinal environment, thereby reducing fecal secondary bile acids and lowering CRC risk.[77]
Immunoregulation0.4 g/kgC57Bl/6JLactobacillus↑, Lachnoclostridium↑, Alloprevotella↑, Blautia↑, f_Lachnospiraceae↑, Akkermansia muciniphilaPulse oxygen saturation (SpO2) ↑; peripheral blood components RBC, WBC, PLT, HGB, and Lym↑; white pulp area of the spleen, femur, and spleen cells↑, improved ability of bone marrow to produce new blood cells damage; crypt and villus structure of mice were protected; DAO↓; improved intestinal permeability, relieved inflammation; SCFAs (acetate, propionate, and butyrate)↑KGM boosts gut microbiota abundance, probiotics, and SCFA production, maintains intestinal homeostasis, protects epithelial cells from apoptosis, and reduces inflammation while enhancing immune regulation.[29]
AD800 mg/kgC57Bl/6JPrevotella sp. CAG:485↑, Muribaculaceae bacterium Isolate-114 (HZI) ↑, Parabacteroides distasonis↑, Duncaniella freteri↑, Alistipes sp. 56 11↑, Alistipes sp. Z76↑, Muribaculum sp. NM65 B17↑, Alistipes sp. HGB5↓, Alistipes sp. CAG:268↓, Bacterium 1XD8-76↓, Alistipes finegoldii↓, Alistipes onderdonkii↓, Muribaculaceae bacterium Isolate-104 (HZI) ↓, Odoribacter sp. Z80↓, Enterorhabdus caecimurisIdentification index (RI)↑; central area crossing ability↑; average speed↓; effectively relieved anxiety; positive area of Aβ1-40 and Aβ1-42↓ effectively inhibited the accumulation of Aβ in hippocampus, and the hyperphosphorylation of Tau protein was inhibited; expression of bdnf↑; brain-derived neurotrophic factor (BDNF)↑; eelative expression of trkb, pi3k, and akt↑; relative expression of gsk3β↓; activated the BDNF/TrkB signaling pathwayKGM may ameliorate AD by modulating gut microbiota composition, elevating SCFA levels, activating the BDNF/PI3K/GSK3β pathway to enhance hippocampal neurogenesis, and reducing Aβ/Tau accumulation.[78]
Note: Arrows indicate changes in content or proportion, “↑” indicates increases, while “↓” indicates decreases.
Disclaimer/Publisher’s Note: The statements, opinions and data contained in all publications are solely those of the individual author(s) and contributor(s) and not of MDPI and/or the editor(s). MDPI and/or the editor(s) disclaim responsibility for any injury to people or property resulting from any ideas, methods, instructions or products referred to in the content.

Share and Cite

MDPI and ACS Style

Yu, Y.; Jin, S.; Yang, Y.; Han, X.; Guan, R.; Zhong, H. Interaction Between Konjac Glucomannan and Gut Microbiota and Its Impact on Health. Biology 2025, 14, 923. https://doi.org/10.3390/biology14080923

AMA Style

Yu Y, Jin S, Yang Y, Han X, Guan R, Zhong H. Interaction Between Konjac Glucomannan and Gut Microbiota and Its Impact on Health. Biology. 2025; 14(8):923. https://doi.org/10.3390/biology14080923

Chicago/Turabian Style

Yu, Yufen, Shuo Jin, Yi Yang, Xiaodong Han, Rongfa Guan, and Hao Zhong. 2025. "Interaction Between Konjac Glucomannan and Gut Microbiota and Its Impact on Health" Biology 14, no. 8: 923. https://doi.org/10.3390/biology14080923

APA Style

Yu, Y., Jin, S., Yang, Y., Han, X., Guan, R., & Zhong, H. (2025). Interaction Between Konjac Glucomannan and Gut Microbiota and Its Impact on Health. Biology, 14(8), 923. https://doi.org/10.3390/biology14080923

Note that from the first issue of 2016, this journal uses article numbers instead of page numbers. See further details here.

Article Metrics

Back to TopTop