Novel Approaches in Glucose and Lipid Metabolism Disorder Therapy: Targeting the Gut Microbiota–Bile Acid Axis
Simple Summary
Abstract
1. Introduction
2. Glycolipid Metabolism Disorders and Metabolic Diseases
3. Gut Microbiota–BA Axis
3.1. Gut Microbiota Mediates BA Metabolism
3.2. BAs Remodel the Gut Microbiota Structure
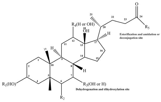
4. The Mechanisms of Bile Acid Metabolism by Gut Microbiota
4.1. Deconjugation
4.2. 7α/7β-Dehydroxylation
4.3. Oxidation and Epimerization
4.4. Reconjugation
5. The Mechanism of Interaction Between Bile Acids and Gut Microbiota in Improving Glucose and Lipid Metabolism
5.1. Novel Approaches in Improving Glucose and Lipid Metabolism Through the Gut Microbiota–Bile Acid–FXR/TGR5 Axis
5.2. Novel Approaches in Improving Glucose and Lipid Metabolism Through Modulating the Gut Microbiota and Altering the Serum Bile Acid Profile
6. Targeting the Gut Microbiota–BA Axis for the Treatment of Glycolipid Metabolic Disorders
6.1. Secondary Bile Acids
6.2. Diet-Derived Phytochemicals
6.3. Probiotics and Prebiotics
6.4. Fecal Microbiota Transplantation
7. Conclusions
Author Contributions
Funding
Conflicts of Interest
References
- Liu, C.; Du, M.-X.; Xie, L.-S.; Wang, W.-Z.; Chen, B.-S.; Yun, C.-Y.; Sun, X.-W.; Luo, X.; Jiang, Y.; Wang, K.; et al. Gut commensal Christensenella minuta modulates host metabolism via acylated secondary bile acids. Nat. Microbiol. 2024, 9, 434–450. [Google Scholar] [CrossRef] [PubMed]
- Ridlon, J.M.; Gaskins, H.R. Another renaissance for bile acid gastrointestinal microbiology. Nat. Rev. Gastroenterol. Hepatol. 2024, 21, 348–364. [Google Scholar] [CrossRef] [PubMed]
- Sun, L.; Xie, C.; Wang, G.; Wu, Y.; Wu, Q.; Wang, X.; Liu, J.; Deng, Y.; Xia, J.; Chen, B.; et al. Gut microbiota and intestinal FXR mediate the clinical benefits of metformin. Nat. Med. 2018, 24, 1919–1929. [Google Scholar] [CrossRef] [PubMed]
- Collins, S.L.; Stine, J.G.; Bisanz, J.E.; Okafor, C.D.; Patterson, A.D. Bile acids and the gut microbiota: Metabolic interactions and impacts on disease. Nat. Rev. Microbiol. 2022, 21, 236–247. [Google Scholar] [CrossRef]
- Fan, L.; Lai, R.; Ma, N.; Dong, Y.; Li, Y.; Wu, Q.; Qiao, J.; Lu, H.; Gong, L.; Tao, Z.; et al. miR-552-3p modulates transcriptional activities of FXR and LXR to ameliorate hepatic glycolipid metabolism disorder. J. Hepatol. 2021, 74, 8–19. [Google Scholar] [CrossRef]
- Dong, W.; Liu, X.; Yang, C.; Wang, D.; Xue, Y.; Ruan, X.; Zhang, M.; Song, J.; Cai, H.; Zheng, J.; et al. Glioma glycolipid metabolism: MSI2–SNORD12B–FIP1L1–ZBTB4 feedback loop as a potential treatment target. Clin. Transl. Med. 2021, 11, e411. [Google Scholar] [CrossRef]
- Yang, X.; Lin, L.; Zhao, M. Preparation, chemical composition, glycolipid-lowering activity and functional property of high-purity polysaccharide from Moringa oleifera Lam. leaf: A novel plant-based functional hydrophilic colloid. Food Hydrocoll. 2023, 142, 108857. [Google Scholar] [CrossRef]
- Yan, X.; Zhang, Y.; Peng, Y.; Li, X. The water extract of Radix scutellariae, its total flavonoids and baicalin inhibited CYP7A1 expression, improved bile acid, and glycolipid metabolism in T2DM mice. J. Ethnopharmacol. 2022, 293, 115238. [Google Scholar] [CrossRef]
- Mayendraraj, A.; Rosenkilde, M.M.; Gasbjerg, L.S. GLP-1 and GIP receptor signaling in beta cells—A review of receptor interactions and co-stimulation. Peptides 2022, 151, 170749. [Google Scholar] [CrossRef]
- Prakash, P.; Radha; Kumar, M.; Pundir, A.; Puri, S.; Prakash, S.; Kumari, N.; Thakur, M.; Rathour, S.; Jamwal, R.; et al. Documentation of Commonly Used Ethnoveterinary Medicines from Wild Plants of the High Mountains in Shimla District, Himachal Pradesh, India. Horticulturae 2021, 7, 351. [Google Scholar] [CrossRef]
- Su, M.; Tang, T.; Tang, W.; Long, Y.; Wang, L.; Liu, M. Astragalus improves intestinal barrier function and immunity by acting on intestinal microbiota to treat T2DM: A research review. Front. Immunol. 2023, 14, 1243834. [Google Scholar] [CrossRef] [PubMed]
- Zheng, Q.; Zheng, Y.; Jia, R.-B.; Luo, D.; Chen, C.; Zhao, M. Fucus vesiculosus polysaccharide alleviates type 2 diabetes in rats via remodeling gut microbiota and regulating glycolipid metabolism-related gene expression. Int. J. Biol. Macromol. 2023, 248, 126504. [Google Scholar] [CrossRef] [PubMed]
- He, J.; Zhang, P.; Shen, L.; Niu, L.; Tan, Y.; Chen, L.; Zhao, Y.; Bai, L.; Hao, X.; Li, X.; et al. Short-Chain Fatty Acids and Their Association with Signalling Pathways in Inflammation, Glucose and Lipid Metabolism. Int. J. Mol. Sci. 2020, 21, 6356. [Google Scholar] [CrossRef] [PubMed]
- Grabner, G.F.; Xie, H.; Schweiger, M.; Zechner, R. Lipolysis: Cellular mechanisms for lipid mobilization from fat stores. Nat. Metab. 2021, 3, 1445–1465. [Google Scholar] [CrossRef]
- Luo, M.-J.; Wang, Y.; Chen, S.-Y.; Yang, Z.-M. Astragalus Polysaccharides Alleviate Type 2 Diabetic Rats by Reversing the Expressions of Sweet Taste Receptors and Genes Related to Glycolipid Metabolism in Liver. Front. Pharmacol. 2022, 13, 916603. [Google Scholar] [CrossRef]
- Zeng, X.; Li, Z.; Zhu, C.; Xu, L.; Sun, Y.; Han, S. Research progress of nanocarriers for gene therapy targeting abnormal glucose and lipid metabolism in tumors. Drug Deliv. 2021, 28, 2329–2347. [Google Scholar] [CrossRef]
- Axelson, M.; Ellis, E.; Mörk, B.; Garmark, K.; Abrahamsson, A.; Björkhem, I.; Ericzon, B.-G.; Einarsson, C. Bile acid synthesis in cultured human hepatocytes: Support for an alternative biosynthetic pathway to cholic acid. Hepatology 2000, 31, 1305–1312. [Google Scholar] [CrossRef]
- Pellicciari, R.; Costantino, G.; Camaioni, E.; Sadeghpour, B.M.; Entrena, A.; Willson, T.M.; Fiorucci, S.; Clerici, C.; Gioiello, A. Bile Acid Derivatives as Ligands of the Farnesoid X Receptor. Synthesis, Evaluation, and Structure-Activity Relationship of a Series of Body and Side Chain Modified Analogues of Chenodeoxycholic Acid. J. Med. Chem. 2004, 47, 4559–4569. [Google Scholar] [CrossRef]
- Wang, L.X.; Frey, M.R.; Kohli, R. The Role of FGF19 and MALRD1 in Enterohepatic Bile Acid Signaling. Front. Endocrinol. 2022, 12, 799648. [Google Scholar] [CrossRef]
- Honda, A.; Miyazaki, T.; Iwamoto, J.; Hirayama, T.; Morishita, Y.; Monma, T.; Ueda, H.; Mizuno, S.; Sugiyama, F.; Takahashi, S.; et al. Regulation of bile acid metabolism in mouse models with hydrophobic bile acid composition. J. Lipid Res. 2020, 61, 54–69. [Google Scholar] [CrossRef]
- Ridlon, J.M.; Kang, D.-J.; Hylemon, P.B. Bile salt biotransformations by human intestinal bacteria. J. Lipid Res. 2006, 47, 241–259. [Google Scholar] [CrossRef] [PubMed]
- Monte, M.J.; Marin, J.J.G.; Antelo, A.; Vazquez-Tato, J. Bile acids: Chemistry, physiology, and pathophysiology. World J. Gastroenterol. 2009, 15, 804–816. [Google Scholar] [CrossRef] [PubMed]
- Wahlström, A.; Sayin, S.I.; Marschall, H.-U.; Bäckhed, F. Intestinal Crosstalk between Bile Acids and Microbiota and Its Impact on Host Metabolism. Cell Metab. 2016, 24, 41–50. [Google Scholar] [CrossRef]
- Islam, K.B.M.S.; Fukiya, S.; Hagio, M.; Fujii, N.; Ishizuka, S.; Ooka, T.; Ogura, Y.; Hayashi, T.; Yokota, A. Bile Acid Is a Host Factor That Regulates the Composition of the Cecal Microbiota in Rats. Gastroenterology 2011, 141, 1773–1781. [Google Scholar] [CrossRef]
- Mueller, M.; Thorell, A.; Claudel, T.; Jha, P.; Koefeler, H.; Lackner, C.; Hoesel, B.; Fauler, G.; Stojakovic, T.; Einarsson, C.; et al. Ursodeoxycholic acid exerts farnesoid X receptor-antagonistic effects on bile acid and lipid metabolism in morbid obesity. J. Hepatol. 2015, 62, 1398–1404. [Google Scholar] [CrossRef]
- Kusaczuk, M. Tauroursodeoxycholate—Bile Acid with Chaperoning Activity: Molecular and Cellular Effects and Therapeutic Perspectives. Cells 2019, 8, 1471. [Google Scholar] [CrossRef]
- Chen, B.; Bai, Y.; Tong, F.; Yan, J.; Zhang, R.; Zhong, Y.; Tan, H.; Ma, X. Glycoursodeoxycholic acid regulates bile acids level and alters gut microbiota and glycolipid metabolism to attenuate diabetes. Gut Microbes 2023, 15, 2192155. [Google Scholar] [CrossRef]
- Friedman, E.S.; Li, Y.; Shen, T.-C.D.; Jiang, J.; Chau, L.; Adorini, L.; Babakhani, F.; Edwards, J.; Shapiro, D.; Zhao, C.; et al. FXR-Dependent Modulation of the Human Small Intestinal Microbiome by the Bile Acid Derivative Obeticholic Acid. Gastroenterology 2018, 155, 1741–1752.e5. [Google Scholar] [CrossRef]
- Larabi, A.B.; Masson, H.L.P.; Bäumler, A.J. Bile acids as modulators of gut microbiota composition and function. Gut Microbes 2023, 15, 2172671. [Google Scholar] [CrossRef]
- Sato, Y.; Atarashi, K.; Plichta, D.R.; Arai, Y.; Sasajima, S.; Kearney, S.M.; Suda, W.; Takeshita, K.; Sasaki, T.; Okamoto, S.; et al. Novel bile acid biosynthetic pathways are enriched in the microbiome of centenarians. Nature 2021, 599, 458–464. [Google Scholar] [CrossRef]
- Sannasiddappa, T.H.; Lund, P.A.; Clarke, S.R. In Vitro Antibacterial Activity of Unconjugated and Conjugated Bile Salts on Staphylococcus aureus. Front. Microbiol. 2017, 8, 01581. [Google Scholar] [CrossRef] [PubMed]
- Dobson, T.E.; Maxwell, A.R.; Ramsubhag, A. Antimicrobial cholic acid derivatives from the Pitch Lake bacterium Bacillus amyloliquefaciens UWI-W23. Steroids 2018, 135, 50–53. [Google Scholar] [CrossRef] [PubMed]
- do Nascimento, P.G.G.; Lemos, T.L.G.; Almeida, M.C.S.; de Souza, J.M.O.; Bizerra, A.M.C.; Santiago, G.M.P.; da Costa, J.G.M.; Coutinho, H.D.M. Lithocholic acid and derivatives: Antibacterial activity. Steroids 2015, 104, 8–15. [Google Scholar] [CrossRef] [PubMed]
- Jones, B.V.; Begley, M.; Hill, C.; Gahan, C.G.; Marchesi, J.R. Functional and comparative metagenomic analysis of bile salt hydrolase activity in the human gut microbiome. Natl. Acad. Sci. USA 2008, 105, 13580–13585. [Google Scholar] [CrossRef]
- Bi, J.; Fang, F.; Lu, S.; Du, G.; Chen, J. New insight into the catalytic properties of bile salt hydrolase. J. Mol. Catal. B Enzym. 2013, 96, 46–51. [Google Scholar] [CrossRef]
- Song, Z.; Cai, Y.; Lao, X.; Wang, X.; Lin, X.; Cui, Y.; Kalavagunta, P.K.; Liao, J.; Jin, L.; Shang, J.; et al. Taxonomic profiling and populational patterns of bacterial bile salt hydrolase (BSH) genes based on worldwide human gut microbiome. Microbiome 2019, 7, 9. [Google Scholar] [CrossRef]
- Mallonee, D.H.; Adams, J.L.; Hylemon, P.B. The Bile Acid-Inducible baiB Gene from Eubacterium sp. Strain VPI 12708 Encodes a Bile Acid-Coenzyme A Ligase. J. Bacteriol. 1992, 174, 2065–2071. [Google Scholar] [CrossRef]
- Bhowmik, S.; Jones, D.H.; Chiu, H.P.; Park, I.H.; Chiu, H.J.; Axelrod, H.L.; Farr, C.L.; Tien, H.J.; Agarwalla, S.; Lesley, S.A. Structural and functional characterization of BaiA, an enzyme involved in secondary bile acid synthesis in human gut microbe. Proteins Struct. Funct. Bioinform. 2013, 82, 216–229. [Google Scholar] [CrossRef]
- Jin, W.-B.; Li, T.-T.; Huo, D.; Qu, S.; Li, X.V.; Arifuzzaman, M.; Lima, S.F.; Shi, H.-Q.; Wang, A.; Putzel, G.G.; et al. Genetic manipulation of gut microbes enables single-gene interrogation in a complex microbiome. Cell 2022, 185, 547–562.e22. [Google Scholar] [CrossRef]
- Devlin, A.S.; Fischbach, M.A. A biosynthetic pathway for a prominent class of microbiota-derived bile acids. Nat. Chem. Biol. 2015, 11, 685–690. [Google Scholar] [CrossRef]
- Doden, H.L.; Ridlon, J.M. Microbial Hydroxysteroid Dehydrogenases: From Alpha to Omega. Microorganisms 2021, 9, 469. [Google Scholar] [CrossRef] [PubMed]
- Doden, H.; Sallam, L.A.; Devendran, S.; Ly, L.; Doden, G.; Daniel, S.L.; Alves, J.M.P.; Ridlon, J.M.; Müller, V. Metabolism of Oxo-Bile Acids and Characterization of Recombinant 12α-Hydroxysteroid Dehydrogenases from Bile Acid 7α-Dehydroxylating Human Gut Bacteria. Appl. Environ. Microbiol. 2018, 84, e00235-18. [Google Scholar] [CrossRef] [PubMed]
- Mallonee, D.H.; Lijewski, M.A.; Hylemon, P.B. Expression in Escherichia coli and Characterization of a Bile Acid-Inducible 3oL-Hydroxysteroid Dehydrogenase from Eubacterium sp. Strain VPI 12708. Curr. Microbiol. 1995, 30, 259–263. [Google Scholar] [CrossRef]
- Harris, S.C.; Devendran, S.; Méndez- García, C.; Mythen, S.M.; Wright, C.L.; Fields, C.J.; Hernandez, A.G.; Cann, I.; Hylemon, P.B.; Ridlon, J.M. Bile acid oxidation byEggerthella lentastrains C592 and DSM 2243T. Gut Microbes 2018, 9, 523–539. [Google Scholar] [CrossRef]
- Tanaka, N.; Nonaka, T.; Tanabe, T.; Yoshimoto, T.; Tsuru, D.; Mitsui, Y. Crystal Structures of the Binary and Ternary Complexes of 7R-Hydroxysteroid Dehydrogenase from Escherichia coli. Biochemistry 1996, 35, 7715–7730. [Google Scholar] [CrossRef]
- Bennett, M.J.; McKnight, S.L.; Coleman, J.P. Cloning and Characterization of the NAD-Dependent 7?-Hydroxysteroid Dehydrogenase from Bacteroides fragilis. Curr. Microbiol. 2003, 47, 475–484. [Google Scholar] [CrossRef]
- Ji, S.; Pan, Y.; Zhu, L.; Tan, J.; Tang, S.; Yang, Q.; Zhang, Z.; Lou, D.; Wang, B. A novel 7α-hydroxysteroid dehydrogenase: Magnesium ion significantly enhances its activity and thermostability. Int. J. Biol. Macromol. 2021, 177, 111–118. [Google Scholar] [CrossRef]
- Lu, Q.; Jiang, Z.; Wang, Q.; Hu, H.; Zhao, G. The effect of Tauroursodeoxycholic acid (TUDCA) and gut microbiota on murine gallbladder stone formation. Ann. Hepatol. 2021, 23, 100289. [Google Scholar] [CrossRef]
- Campbell, C.; McKenney, P.T.; Konstantinovsky, D.; Isaeva, O.I.; Schizas, M.; Verter, J.; Mai, C.; Jin, W.-B.; Guo, C.-J.; Violante, S.; et al. Bacterial metabolism of bile acids promotes generation of peripheral regulatory T cells. Nature 2020, 581, 475–479. [Google Scholar] [CrossRef]
- Paik, D.; Yao, L.; Zhang, Y.; Bae, S.; D’Agostino, G.D.; Zhang, M.; Kim, E.; Franzosa, E.A.; Avila-Pacheco, J.; Bisanz, J.E.; et al. Human gut bacteria produce ΤH17-modulating bile acid metabolites. Nature 2022, 603, 907–912. [Google Scholar] [CrossRef]
- Guzior, D.V.; Okros, M.; Shivel, M.; Armwald, B.; Bridges, C.; Fu, Y.; Martin, C.; Schilmiller, A.L.; Miller, W.M.; Ziegler, K.M.; et al. Bile salt hydrolase acyltransferase activity expands bile acid diversity. Nature 2024, 626, 852–858. [Google Scholar] [CrossRef] [PubMed]
- Rimal, B.; Collins, S.L.; Tanes, C.E.; Rocha, E.R.; Granda, M.A.; Solanki, S.; Hoque, N.J.; Gentry, E.C.; Koo, I.; Reilly, E.R.; et al. Bile salt hydrolase catalyses formation of amine-conjugated bile acids. Nature 2024, 626, 859–863. [Google Scholar] [CrossRef] [PubMed]
- Quinn, R.A.; Melnik, A.V.; Vrbanac, A.; Fu, T.; Patras, K.A.; Christy, M.P.; Bodai, Z.; Belda-Ferre, P.; Tripathi, A.; Chung, L.K.; et al. Global chemical effects of the microbiome include new bile-acid conjugations. Nature 2020, 579, 123–129. [Google Scholar] [CrossRef] [PubMed]
- Garcia, C.J.; Kosek, V.; Beltrán, D.; Tomás-Barberán, F.A.; Hajslova, J. Production of New Microbially Conjugated Bile Acids by Human Gut Microbiota. Biomolecules 2022, 12, 687. [Google Scholar] [CrossRef] [PubMed]
- Mohanty, I.; Mannochio-Russo, H.; Schweer, J.V.; El Abiead, Y.; Bittremieux, W.; Xing, S.; Schmid, R.; Zuffa, S.; Vasquez, F.; Muti, V.B.; et al. The underappreciated diversity of bile acid modifications. Cell 2024, 187, 1801–1818.e1820. [Google Scholar] [CrossRef]
- Nie, Q.; Luo, X.; Wang, K.; Ding, Y.; Jia, S.; Zhao, Q.; Li, M.; Zhang, J.; Zhuo, Y.; Lin, J.; et al. Gut symbionts alleviate MASH through a secondary bile acid biosynthetic pathway. Cell 2024, 187, 2717–2734.e2733. [Google Scholar] [CrossRef]
- Li, X.; Yang, J.; Zhou, X.; Dai, C.; Kong, M.; Xie, L.; Liu, C.; Liu, Y.; Li, D.; Ma, X.; et al. Ketogenic diet-induced bile acids protect against obesity through reduced calorie absorption. Nat. Metab. 2024, 6, 1397–1414. [Google Scholar] [CrossRef] [PubMed]
- Han, F.; Wang, Y.; Han, Y.; Zhao, J.; Han, F.; Song, G.; Jiang, P.; Miao, H. Effects of Whole-Grain Rice and Wheat on Composition of Gut Microbiota and Short-Chain Fatty Acids in Rats. J. Agric. Food Chem. 2018, 66, 6326–6335. [Google Scholar] [CrossRef]
- Wang, T.; Han, J.; Dai, H.; Sun, J.; Ren, J.; Wang, W.; Qiao, S.; Liu, C.; Sun, L.; Liu, S.; et al. Polysaccharides from Lyophyllum decastes reduce obesity by altering gut microbiota and increasing energy expenditure. Carbohydr. Polym. 2022, 295, 119862. [Google Scholar] [CrossRef]
- Makki, K.; Brolin, H.; Petersen, N.; Henricsson, M.; Christensen, D.P.; Khan, M.T.; Wahlström, A.; Bergh, P.-O.; Tremaroli, V.; Schoonjans, K.; et al. 6α-hydroxylated bile acids mediate TGR5 signalling to improve glucose metabolism upon dietary fiber supplementation in mice. Gut 2023, 72, 314–324. [Google Scholar] [CrossRef]
- Wang, P.; Sun, J.; Zhao, W.; Wang, D.; Ma, Y.; Zhao, Y.; Wang, Y.; Zhao, X. Tomato Pectin Ameliorated Hepatic Steatosis in High-Fat-Diet Mice by Modulating Gut Microbiota and Bile Acid Metabolism. J. Agric. Food Chem. 2024, 72, 13700–13716. [Google Scholar] [CrossRef] [PubMed]
- Hui, S.; Liu, Y.; Chen, M.; Wang, X.; Lang, H.; Zhou, M.; Yi, L.; Mi, M. Capsaicin Improves Glucose Tolerance and Insulin Sensitivity Through Modulation of the Gut Microbiota-Bile Acid-FXR Axis in Type 2 Diabetic db/db Mice. Mol. Nutr. Food Res. 2019, 63, e1900608. [Google Scholar] [CrossRef] [PubMed]
- Chen, K.; Dang, D.; Li, H.; Ross, R.P.; Stanton, C.; Chen, W.; Yang, B. Lactobacillus johnsonii CCFM1376 improves hypercholesterolemia in mice by regulating the composition of bile acids. Microbiome Res. Rep. 2024, 3, 6. [Google Scholar] [CrossRef]
- Wang, Y.; Xing, X.; Ma, Y.; Fan, Y.; Zhang, Y.; Nan, B.; Li, X.; Wang, Y.; Liu, J. Prevention of High-Fat-Diet-Induced Dyslipidemia byLactobacillus plantarumLP104 through Mediating Bile Acid Enterohepatic Axis Circulation and Intestinal Flora. J. Agric. Food Chem. 2023, 71, 7334–7347. [Google Scholar] [CrossRef] [PubMed]
- Liang, C.; Zhou, X.-H.; Gong, P.-M.; Niu, H.-Y.; Lyu, L.-Z.; Wu, Y.-F.; Han, X.; Zhang, L.-W. Lactiplantibacillus plantarum H-87 prevents high-fat diet-induced obesity by regulating bile acid metabolism in C57BL/6J mice. Food Funct. 2021, 12, 4315–4324. [Google Scholar] [CrossRef]
- Dai, H.; Shan, Z.; Shi, L.; Duan, Y.; An, Y.; He, C.; Lyu, Y.; Zhao, Y.; Wang, M.; Du, Y.; et al. Mulberry leaf polysaccharides ameliorate glucose and lipid metabolism disorders via the gut microbiota-bile acids metabolic pathway. Int. J. Biol. Macromol. 2024, 282, 136876. [Google Scholar] [CrossRef]
- Zhi, N.; Chang, X.; Zha, L.; Zhang, K.; Wang, J.; Gui, S. Platycodonis radix polysaccharides suppress progression of high-fat-induced obesity through modulation of intestinal microbiota and metabolites. Phytomedicine 2025, 142, 156653. [Google Scholar] [CrossRef]
- Sun, L.; Jiang, J.; Zeng, Y.; Zhu, J.; Wang, S.; Huang, D.; Cao, C. Polysaccharide NAP-3 Synergistically Enhances the Efficiency of Metformin in Type 2 Diabetes via Bile Acid/GLP-1 Axis through Gut Microbiota Remodeling. J. Agric. Food Chem. 2024, 72, 21077–21088. [Google Scholar] [CrossRef]
- Lee, S.M.; Ahn, Y.M.; Park, S.-H.; Shin, S.; Jung, J. Reshaping the gut microbiome and bile acid composition by Gyejibongnyeong-hwan ameliorates western diet-induced dyslipidemia. Biomed. Pharmacother. 2023, 163, 114826. [Google Scholar] [CrossRef]
- Li, H.; Xi, Y.; Xin, X.; Tian, H.; Hu, Y. Salidroside improves high-fat diet-induced non-alcoholic steatohepatitis by regulating the gut microbiota–bile acid–farnesoid X receptor axis. Biomed. Pharmacother. 2020, 124, 109915. [Google Scholar] [CrossRef]
- Huang, Y.; Xu, W.; Dong, W.; Chen, G.; Sun, Y.; Zeng, X. Anti-diabetic effect of dicaffeoylquinic acids is associated with the modulation of gut microbiota and bile acid metabolism. J. Adv. Res. 2025, 72, 17–35. [Google Scholar] [CrossRef] [PubMed]
- Wang, T.; Li, X.-J.; Qin, L.-H.; Liang, X.; Xue, H.-H.; Guo, J.; Li, S.-F.; Zhang, L.-W. Better detoxifying effect of ripe forsythiae fructus over green forsythiae fructus and the potential mechanisms involving bile acids metabolism and gut microbiota. Front. Pharmacol. 2022, 13, 987695. [Google Scholar] [CrossRef] [PubMed]
- Shao, C.; Sun, M.; Liu, W.; Zhao, S.; Liu, Y.; Chen, Y.; Liang, S.-N.; Yuan, H.; Sui, H.; Wang, B.; et al. Patient-Reported Outcomes Following the Use of Jiang Tang San Huang Tablets in Type 2 Diabetes Mellitus: A Retrospective Cohort Study in a Chinese Population. Diabetes Metab. Syndr. Obes. Targets Ther. 2022, 15, 4023–4033. [Google Scholar] [CrossRef]
- Chen, M.; Gao, M.; Wang, H.; Chen, Q.; Liu, X.; Mo, Q.; Huang, X.; Ye, X.; Zhang, D. Jingangteng capsules ameliorate liver lipid disorders in diabetic rats by regulating microflora imbalances, metabolic disorders, and farnesoid X receptor. Phytomedicine 2024, 132, 155806. [Google Scholar] [CrossRef]
- Tao, Y.; Peng, F.; Wang, L.; Sun, J.; Ding, Y.; Xiong, S.; Tenzin, U.; MiMa; Nhamdriel, T.; Fan, G. Ji-Ni-De-Xie ameliorates type 2 diabetes mellitus by modulating the bile acids metabolism and FXR/FGF15 signaling pathway. Front. Pharmacol. 2024, 15, 1383896. [Google Scholar] [CrossRef]
- Li, Y.; Wang, H.; He, X.; Zhu, W.; Bao, Y.; Gao, X.; Huang, W.; Ge, X.; Wei, W.; Zhang, H.; et al. Zhi-Kang-Yin formula attenuates high-fat diet-induced metabolic disorders through modulating gut microbiota-bile acids axis in mice. Chin. Med. 2024, 19, 145. [Google Scholar] [CrossRef]
- Wei, H.; Wang, L.; An, Z.; Xie, H.; Liu, W.; Du, Q.; Guo, Y.; Wu, X.; Li, S.; Shi, Y.; et al. QiDiTangShen granules modulated the gut microbiome composition and improved bile acid profiles in a mouse model of diabetic nephropathy. Biomed. Pharmacother. 2021, 133, 111061. [Google Scholar] [CrossRef]
- Wang, K.; Xu, W.; He, W.; Ding, M.; Xia, T.; Tan, X. Simiao Wan attenuates high-fat diet-induced hyperlipidemia in mice by modulating the gut microbiota–bile acid axis. J. Ethnopharmacol. 2025, 337, 118868. [Google Scholar] [CrossRef]
- Zheng, X.; Chen, T.; Zhao, A.; Ning, Z.; Kuang, J.; Wang, S.; You, Y.; Bao, Y.; Ma, X.; Yu, H.; et al. Hyocholic acid species as novel biomarkers for metabolic disorders. Nat. Commun. 2021, 12, 1487. [Google Scholar] [CrossRef]
- Zheng, X.; Chen, T.; Jiang, R.; Zhao, A.; Wu, Q.; Kuang, J.; Sun, D.; Ren, Z.; Li, M.; Zhao, M.; et al. Hyocholic acid species improve glucose homeostasis through a distinct TGR5 and FXR signaling mechanism. Cell Metab. 2021, 33, 791–803.e7. [Google Scholar] [CrossRef]
- Kuang, J.; Wang, J.; Li, Y.; Li, M.; Zhao, M.; Ge, K.; Zheng, D.; Cheung, K.C.P.; Liao, B.; Wang, S.; et al. Hyodeoxycholic acid alleviates non-alcoholic fatty liver disease through modulating the gut-liver axis. Cell Metab. 2023, 35, 1752–1766.e8. [Google Scholar] [CrossRef] [PubMed]
- Won, T.H.; Arifuzzaman, M.; Parkhurst, C.N.; Miranda, I.C.; Zhang, B.; Hu, E.; Kashyap, S.; Letourneau, J.; Jin, W.-B.; Fu, Y.; et al. Host metabolism balances microbial regulation of bile acid signalling. Nature 2025, 638, 216–224. [Google Scholar] [CrossRef] [PubMed]
- Huang, K.; Liu, C.; Peng, M.; Su, Q.; Liu, R.; Guo, Z.; Chen, S.; Li, Z.; Chang, G. Glycoursodeoxycholic Acid Ameliorates Atherosclerosis and Alters Gut Microbiota in Apolipoprotein E–Deficient Mice. J. Am. Heart Assoc. 2021, 10, e019820. [Google Scholar] [CrossRef] [PubMed]
- Fuchs, C.D.; Trauner, M. Role of bile acids and their receptors in gastrointestinal and hepatic pathophysiology. Nat. Rev. Gastroenterol. Hepatol. 2022, 19, 432–450. [Google Scholar] [CrossRef]
- Calkin, A.C.; Tontonoz, P. Transcriptional integration of metabolism by the nuclear sterol-activated receptors LXR and FXR. Nat. Rev. Mol. Cell Biol. 2012, 13, 213–224. [Google Scholar] [CrossRef]
- Gadaleta, R.M.; Moschetta, A. Metabolic Messengers: Fibroblast growth factor 15/19. Nat. Metab. 2019, 1, 588–594. [Google Scholar] [CrossRef]
- Xie, C.; Jiang, C.; Shi, J.; Gao, X.; Sun, D.; Sun, L.; Wang, T.; Takahashi, S.; Anitha, M.; Krausz, K.W.; et al. An Intestinal Farnesoid X Receptor– Ceramide Signaling Axis Modulates Hepatic Gluconeogenesis in Mice. Diabetes 2017, 66, 613–626. [Google Scholar] [CrossRef]
- Jiang, C.; Xie, C.; Lv, Y.; Li, J.; Krausz, K.W.; Shi, J.; Brocker, C.N.; Desai, D.; Amin, S.G.; Bisson, W.H.; et al. Gonzalez Intestine-selective farnesoid X receptor inhibition improves obesity-related metabolic dysfunction. Nat. Commun. 2015, 6, 10166. [Google Scholar] [CrossRef]
- Yamagata, K.; Daitoku, H.; Shimamoto, Y.; Matsuzaki, H.; Hirota, K.; Ishida, J.; Fukamizu, A. Bile Acids Regulate Gluconeogenic Gene Expression via Small Heterodimer Partner-mediated Repression of Hepatocyte Nuclear Factor 4 and Foxo1. J. Biol. Chem. 2004, 279, 23158–23165. [Google Scholar] [CrossRef]
- Clifford, B.L.; Sedgeman, L.R.; Williams, K.J.; Morand, P.; Cheng, A.; Jarrett, K.E.; Chan, A.P.; Brearley-Sholto, M.C.; Wahlström, A.; Ashby, J.W.; et al. FXR activation protects against NAFLD via bile-acid-dependent reductions in lipid absorption. Cell Metab. 2021, 33, 1671–1684.e1674. [Google Scholar] [CrossRef]
- Agus, A.; Clément, K.; Sokol, H. Gut microbiota-derived metabolites as central regulators in metabolic disorders. Gut 2021, 70, 1174–1182. [Google Scholar] [CrossRef] [PubMed]
- Sun, L.; Pang, Y.; Wang, X.; Wu, Q.; Liu, H.; Liu, B.; Liu, G.; Ye, M.; Kong, W.; Jiang, C. Ablation of gut microbiota alleviates obesity-induced hepatic steatosis and glucose intolerance by modulating bile acid metabolism in hamsters. Acta Pharm. Sin. B 2019, 9, 702–710. [Google Scholar] [CrossRef] [PubMed]
- Liu, X.; Fang, W.; Pang, S.; Song, G.; Wang, Y.; Qi, W. Total dietary fiber of tartary buckwheat alleviates T2DM through the IRS-1/PI3K/AKT pathway and gut microbiota-bile acids-TGR5/FXR axis in db/db mice. Int. J. Biol. Macromol. 2025, 308, 142145. [Google Scholar] [CrossRef]
- Zhong, J.; He, X.; Gao, X.; Liu, Q.; Zhao, Y.; Hong, Y.; Zhu, W.; Yan, J.; Li, Y.; Li, Y.; et al. Hyodeoxycholic acid ameliorates nonalcoholic fatty liver disease by inhibiting RAN-mediated PPARα nucleus-cytoplasm shuttling. Nat. Commun. 2023, 14, 5451. [Google Scholar] [CrossRef]
- Wang, Y.; Yu, J.; Chen, B.; Jin, W.; Wang, M.; Chen, X.; Jian, M.; Sun, L.; Piao, C. Bile acids as a key target: Traditional Chinese medicine for precision management of insulin resistance in type 2 diabetes mellitus through the gut microbiota-bile acids axis. J. Clin. Biochem. Nutr. 2020, 66, 176–183. [Google Scholar] [CrossRef]
- Ren, X.; Zhang, F.; Zhang, M.; Fang, Y.; Chen, Z.; Huan, M. Fecal microbiota transplantation: Whole grain highland barley improves glucose metabolism by changing gut microbiota. Food Sci. Hum. Wellness 2024, 13, 2014–2024. [Google Scholar] [CrossRef]
- Fu, T.; Huan, T.; Rahman, G.; Zhi, H.; Xu, Z.; Oh, T.G.; Guo, J.; Coulter, S.; Tripathi, A.; Martino, C.; et al. Paired microbiome and metabolome analyses associate bile acid changes with colorectal cancer progression. Cell Rep. 2023, 42, 112997. [Google Scholar] [CrossRef]
- Thorning, T.K.; Raziani, F.; Bendsen, N.T.; Astrup, A.; Tholstrup, T.; Raben, A. Diets with high-fat cheese, high-fat meat, or carbohydrate on cardiovascular risk markers in overweight postmenopausal women: A randomized crossover trial. Am. J. Clin. Nutr. 2015, 102, 573–581. [Google Scholar] [CrossRef]
- Wan, Y.; Yuan, J.; Li, J.; Li, H.; Zhang, J.; Tang, J.; Ni, Y.; Huang, T.; Wang, F.; Zhao, F.; et al. Unconjugated and secondary bile acid profiles in response to higher-fat, lower-carbohydrate diet and associated with related gut microbiota: A 6-month randomized controlled-feeding trial. Clin. Nutr. 2020, 39, 395–404. [Google Scholar] [CrossRef]
- Shimoda, T.; Shimizu, H.; Iwasaki, W.; Liu, H.; Kamo, Y.; Tada, K.; Hanai, T.; Hori, S.; Joe, G.-H.; Tanaka, Y.; et al. A diet supplemented with cholic acid elevates blood pressure accompanied by albuminuria in rats. Biosci. Biotechnol. Biochem. 2023, 87, 434–441. [Google Scholar] [CrossRef]
- Lakić, B.; Škrbić, R.; Uletilović, S.; Mandić-Kovačević, N.; Grabež, M.; Šarić, M.P.; Stojiljković, M.P.; Soldatović, I.; Janjetović, Z.; Stokanović, A.; et al. Beneficial Effects of Ursodeoxycholic Acid on Metabolic Parameters and Oxidative Stress in Patients with Type 2 Diabetes Mellitus: A Randomized Double-Blind, Placebo-Controlled Clinical Study. J. Diabetes Res. 2024, 2024, 4187796. [Google Scholar] [CrossRef] [PubMed]
- Keely, S.J.; Steer, C.J.; Lajczak-McGinley, N.K. Ursodeoxycholic acid: A promising therapeutic target for inflammatory bowel diseases? Am. J. Physiol.-Gastrointest. Liver Physiol. 2019, 317, G872–G881. [Google Scholar] [CrossRef] [PubMed]
- Xu, X.; Saadeldeen, F.S.A.; Xu, L.; Zhao, Y.; Wei, J.; Wang, H.-M.D.; Liu, Z.; Kang, W. The Mechanism of Phillyrin from the Leaves of Forsythia suspensa for Improving Insulin Resistance. BioMed Res. Int. 2019, 2019, 1–7. [Google Scholar] [CrossRef] [PubMed]
- Tawulie, D.; Jin, L.; Shang, X.; Li, Y.; Sun, L.; Xie, H.; Zhao, J.; Liao, J.; Zhu, Z.; Cui, H.; et al. Jiang-Tang-San-Huang pill alleviates type 2 diabetes mellitus through modulating the gut microbiota and bile acids metabolism. Phytomedicine 2023, 113, 154733. [Google Scholar] [CrossRef]
- Pan, T.; Li, X.; Guo, X.; Wang, H.; Zhou, X.; Shang, R.; Xie, D.; Qian, X.; Dai, M.; Fan, E.; et al. Electroacupuncture Improves Insulin Resistance in Type 2 Diabetes Mice by Regulating Intestinal Flora and Bile Acid. Diabetes Metab. Syndr. Obes. 2023, 16, 4025–4042. [Google Scholar] [CrossRef]
- Gibson, G.R.; Hutkins, R.; Sanders, M.E.; Prescott, S.L.; Reimer, R.A.; Salminen, S.J.; Scott, K.; Stanton, C.; Swanson, K.S.; Cani, P.D.; et al. Expert consensus document: The International Scientific Association for Probiotics and Prebiotics (ISAPP) consensus statement on the definition and scope of prebiotics. Nat. Rev. Gastroenterol. Hepatol. 2017, 14, 491–502. [Google Scholar] [CrossRef]
- Zhang, H.; Zhao, J.; Shang, H.; Guo, Y.; Chen, S. Extraction, purification, hypoglycemic and antioxidant activities of red clover (Trifolium pratense L.) polysaccharides. Int. J. Biol. Macromol. 2020, 148, 750–760. [Google Scholar] [CrossRef]
- Zhu, L.; Ye, C.; Hu, B.; Xia, H.; Bian, Q.; Liu, Y.; Kong, M.; Zhou, S.; Liu, H. Regulation of gut microbiota and intestinal metabolites by Poria cocos oligosaccharides improves glycolipid metabolism disturbance in high-fat diet-fed mice. J. Nutr. Biochem. 2022, 107, 109019. [Google Scholar] [CrossRef]
- Ti, Y.; Wang, W.; Wang, X.; Ban, Y.; Wang, P.; Zhang, Y.; Song, Z. Pumpkin Polysaccharide Extracted by Subcritical Water: Physicochemical Characterization and Anti-Diabetic Effects in T2DM Rats. Mol. Nutr. Food Res. 2022, 66, e2200160. [Google Scholar] [CrossRef]
- Chang, C.-J.; Lin, C.-S.; Lu, C.-C.; Martel, J.; Ko, Y.-F.; Ojcius, D.M.; Tseng, S.-F.; Wu, T.-R.; Chen, Y.-Y.M.; Young, J.D.; et al. Ganoderma lucidum reduces obesity in mice by modulating the composition of the gut microbiota. Nat. Commun. 2015, 6, 7489. [Google Scholar] [CrossRef]
- Wu, T.-R.; Lin, C.-S.; Chang, C.-J.; Lin, T.-L.; Martel, J.; Ko, Y.-F.; Ojcius, D.M.; Lu, C.-C.; Young, J.D.; Lai, H.-C. Gut commensal Parabacteroides goldsteinii plays a predominant role in the anti-obesity effects of polysaccharides isolated from Hirsutella sinensis. Gut 2019, 68, 248–262. [Google Scholar] [CrossRef] [PubMed]
- Sang, T.; Guo, C.; Guo, D.; Wu, J.; Wang, Y.; Wang, Y.; Chen, J.; Chen, C.; Wu, K.; Na, K.; et al. Suppression of obesity and inflammation by polysaccharide from sporoderm-broken spore of Ganoderma lucidum via gut microbiota regulation. Carbohydr. Polym. 2021, 256, 117594. [Google Scholar] [CrossRef] [PubMed]
- Shao, J.; Mu, Z.; Xia, Y.; Xiong, Z.; Song, X.; Yang, Y.; Zhang, H.; Ai, L.; Wang, G. bsh1 Gene of Lactobacillus plantarum AR113 Plays an Important Role in Ameliorating Western Diet-Aggravated Colitis. J. Agric. Food Chem. 2023, 71, 9337–9348. [Google Scholar] [CrossRef]
- Zhang, J.; Wang, S.; Zeng, Z.; Qin, Y.; Shen, Q.; Li, P. Anti-diabetic effects of Bifidobacterium animalis 01 through improving hepatic insulin sensitivity in type 2 diabetic rat model. J. Funct. Foods 2020, 67, 103843. [Google Scholar] [CrossRef]
- Lee, Y.-S.; Lee, D.; Park, G.-S.; Ko, S.-H.; Park, J.; Lee, Y.-K.; Kang, J. Lactobacillus plantarum HAC01 ameliorates type 2 diabetes in high-fat diet and streptozotocin-induced diabetic mice in association with modulating the gut microbiota. Food Funct. 2021, 12, 6363–6373. [Google Scholar] [CrossRef]
- Kim, S.H.; Huh, C.S.; Choi, I.D.; Jeong, J.W.; Ku, H.K.; Ra, J.H.; Kim, T.Y.; Kim, G.B.; Sim, J.H.; Ahn, Y.T. The anti-diabetic activity of Bifidobacterium lactis HY8101 in vitro and in vivo. J. Appl. Microbiol. 2014, 117, 834–845. [Google Scholar] [CrossRef] [PubMed]
- Bafeta, A.; Yavchitz, A.; Riveros, C.; Batista, R.; Ravaud, P. Methods and Reporting Studies Assessing Fecal Microbiota Transplantation. Ann. Intern. Med. 2017, 167, 34–39. [Google Scholar] [CrossRef]
- de Groot, P.; Scheithauer, T.; Bakker, G.J.; Prodan, A.; Levin, E.; Khan, M.T.; Herrema, H.; Ackermans, M.; Serlie, M.J.M.; de Brauw, M.; et al. Donor metabolic characteristics drive effects of faecal microbiota transplantation on recipient insulin sensitivity, energy expenditure and intestinal transit time. Gut 2020, 69, 502–512. [Google Scholar] [CrossRef]
- Smits, L.P.; Kootte, R.S.; Levin, E.; Prodan, A.; Fuentes, S.; Zoetendal, E.G.; Wang, Z.; Levison, B.S.; Cleophas, M.C.P.; Kemper, E.M.; et al. Effect of Vegan Fecal Microbiota Transplantation on Carnitine- and Choline-Derived Trimethylamine-N-Oxide Production and Vascular Inflammation in Patients With Metabolic Syndrome. J. Am. Heart Assoc. 2018, 7, 7. [Google Scholar] [CrossRef]
- Lai, Z.-L.; Tseng, C.-H.; Ho, H.J.; Cheung, C.K.Y.; Lin, J.-Y.; Chen, Y.-J.; Cheng, F.-C.; Hsu, Y.-C.; Lin, J.-T.; El-Omar, E.M.; et al. Fecal microbiota transplantation confers beneficial metabolic effects of diet and exercise on diet-induced obese mice. Sci. Rep. 2018, 8, 15625. [Google Scholar] [CrossRef]





| Treatment Strategy | Intervention | Metabolic Diseases | Mechanism | References |
|---|---|---|---|---|
| Diet | The ketogenic diet | Obesity | Decreased BSH-encoding bacteria like Lactobacillus murinus; elevated circulating tauro-conjugated BAs | [57] |
| Whole grain | Whole grain diet | Lowered fasting glucose; enhanced insulin sensitivity; promoted the growth of beneficial microbes including Bifidobacterium and Akkermansia | [58] | |
| Buckwheat | T2DM | Increased non-12-OH BA, and decreased 12-OH BAs; activated hepatic FXR/TGR5 signaling | [59] | |
| Oligofructose | T2DM | Reduced fasting glucose, HbA1c, and HOMA-IR | [60] | |
| Tomato pectin | HFD-induced hepatic steatosis | Increased TαMCA, TβMCA, TUCDA, and TCDCA levels; inhibited the intestinal FXR/FGF15 pathway; activated hepatic FXR | [61] | |
| Capsaicin | T2DM | Suppressed BSH activity and reduced the abundance of Lactobacillus; elevated TβMCA levels; inhibited enterohepatic FXR/FGF15 pathway and subsequently expanded the BA pool through upregulated CYP7A1 expression and enhanced hepatic BA synthesis | [62] | |
| Probiotics | Lactobacillus johnsonii CCFM1376 | Hypercholesterolemia | Inhibited ileal FXR-FGF15 signaling and upregulated hepatic CYP7A1 expression | [63] |
| Lactiplantibacillus plantarum 104 | High-fat-diet-induced dyslipidemia | Increased the abundance of Bacteroides, Akkermansia, Lactobacillus, and Clostridium and decreased the abundance of Oscillospira and Coprococcus; increased the ileal TαMCA, TβMCA and TUDCA; inhibited ileal FXR-FGF15 pathway | [64] | |
| L. plantarum H-87 | High-fat induced obesity | Increased BSH bacteria; hydrolyzed GCDCA and TUDCA, inhibited TGR5 signaling and GLP-1 secretion; suppressed insulin hypersecretion and alleviated IR | [65] | |
| Christensenella minuta | High-fat-diet | Gut commensal Christensenella minuta generated 3-O-acylated secondary BAs; inhibited intestinal FXR activity | [1] | |
| Plant-derived polysaccharides | Mulberry leaf polysaccharides | T2DM | Enhanced the abundance of Prevotella, Ruminococcus, and Lactobacillus; enhanced mRNA expression of Cyp7a1 and Cyp8b1, and ileal TGR5; suppressed hepatic and ileal FXR | [66] |
| Platycodonis radix polysaccharides | Obesity | Enhanced the relative abundances of bacteria involved in the production of secondary BAs, such as Lachnospiraceae_NK4A136 and Eubacterium coprostanoligenes; inhibited ileal FXR-FGF15 signaling | [67] | |
| mushroom-derived polysaccharides | Polysaccharide NAP-3 | T2DM | Increased Akkermansia abundance; suppressed BSH activity and reduced the abundance of Lactobacillus; elevated TβMCA levels; inhibited FXR and activated TGR5; induced the release of GLP-1 | [68] |
| The polysaccharide from Lyophyllum decastes | Obesity | Modulated the gut microbiota, increased HDCA, DCA, and LCA levels; activated TGR5; promoted BAT thermogenesis and sWAT browning; enhanced energy expenditure | [59] | |
| Traditional Chinese Medicine | Gyejibongnyeong-hwan | Western diet-induced dyslipidemia | Modulated the gut microbiota composition; reduced CDCA and LCA levels; inhibited intestinal FXR-FGF15 signaling and upregulated hepatic genes involved in cholesterol metabolism (LXRα, ABCG8) and BA synthesis (CYP7A1) | [69] |
| Salidroside | Metabolic dysfunction-associated steatotic liver disease (MASLD) | Modulated the gut microbiota composition; lowered TαMCA and TβMCA levels and elevated βCDCA levels; activated FXR | [70] | |
| Scutellaria baicalensis | T2DM | Modulated the gut microbiota composition; altered intestinal BA profiles | [8] | |
| dicaffeoylquinic acids | T2DM | Increased bacteria with BSH activity (e.g., Acetatifactor sp011959105 and Acetatifactor muris); increased the content of TβMCA; inhibited intestinal FXR-FGF15 signaling | [71] | |
| Forsythia suspensa | T2DM | Regulated gut microbiota and BAs metabolism; improved insulin resistance | [72] | |
| Jiang-Tang-San-Huang pill | T2DM | Enriched BSH-producing bacteria (Bacteroides, Lactobacillus, Bifidobacterium), and increased unconjugated BAs | [73] | |
| Jingangteng | T2DM | Regulated gut microbiota composition and BA metabolites; downregulated lipogenic and pro-inflammatory genes; alleviated hepatic and intestinal inflammation | [74] | |
| Ji-Ni-De-Xie formulation | T2DM | Modulated the gut microbiota and increased CA and UDCA levels; reduced inflammation | [75] | |
| Zhi-Kang-Yin formula | High-fat diet-induced metabolic disorders | Increased BSH-producing bacteria (e.g., Bifidobacterium) and elevated unconjugated BAs | [76] | |
| QiDiTangShen | Diabetic nephropathy | Reduced the abundance of Lachnospiraceae_NK4A136_group, Lactobacillus, and Bacteroides and increased the abundance of Alloprevotella; lowered β-MCA, TCA, Tβ-MCA, and DCA levels | [77] | |
| Simiao Wan | HFD-induced hyperlipidemia | Suppressed BSH-producing bacteria; elevated T-β-MCA and TUDCA levels; inhibited ileal FXR-FGF15 pathway and activated the hepatic CYP7A1/FXR/SHP axis; promoted BA efflux | [78] | |
| Bile acids | 3-succinylCA | MASH | Modulated the gut microbiota composition by increasing the abundance of Akkermansia muciniphila | [56] |
| HCA | T2DM | HCA was formed through modification by the gut microbiota; activated TGR5 and inhibited FXR signaling; enhanced GLP-1 secretion and improved glucose homeostasis | [79,80] | |
| HDCA | Metabolic dysfunction-associated fatty liver disease | Stimulated hepatic alternative BA synthetic pathway by inhibiting intestinal FXR, and suppressed the hepatic classical BA synthetic pathway by modulation of gut microbiota to activate PPARα signaling pathway | [81] | |
| 3-O-acylated secondary BAs | Obesity | Christensenella minuta generated 3-O-acylated secondary BAs; inhibited intestinal FXR | [1] | |
| BA–methylcysteamine | Hypercholesterolemic | Modulated the gut microbiota to promote BA–MCY production; inhibited FXR; elevated BA production; reduced hepatic lipid accumulation | [82] | |
| GUDCA | Obesity | Increased the abundance of Bacteroides vulgatus; Increased TLCA levels and activated TGR5; induced GLP-1 secretion; enhanced energy expenditure | [27] | |
| GUDCA | High-cholesterol-fed ApoE−/− mice | Increased the abundance of Alloprevotella and Parabacteroides; inhibited the intestinal FXR signaling, reduced blood ceramide levels | [83] |
Disclaimer/Publisher’s Note: The statements, opinions and data contained in all publications are solely those of the individual author(s) and contributor(s) and not of MDPI and/or the editor(s). MDPI and/or the editor(s) disclaim responsibility for any injury to people or property resulting from any ideas, methods, instructions or products referred to in the content. |
© 2025 by the authors. Licensee MDPI, Basel, Switzerland. This article is an open access article distributed under the terms and conditions of the Creative Commons Attribution (CC BY) license (https://creativecommons.org/licenses/by/4.0/).
Share and Cite
Jiang, J.; Zhang, H.; Hussain, M.; Abdullah; Feng, F.; Guan, R.; Zhong, H. Novel Approaches in Glucose and Lipid Metabolism Disorder Therapy: Targeting the Gut Microbiota–Bile Acid Axis. Biology 2025, 14, 802. https://doi.org/10.3390/biology14070802
Jiang J, Zhang H, Hussain M, Abdullah, Feng F, Guan R, Zhong H. Novel Approaches in Glucose and Lipid Metabolism Disorder Therapy: Targeting the Gut Microbiota–Bile Acid Axis. Biology. 2025; 14(7):802. https://doi.org/10.3390/biology14070802
Chicago/Turabian StyleJiang, Jin, Huange Zhang, Muhammad Hussain, Abdullah, Fengqin Feng, Rongfa Guan, and Hao Zhong. 2025. "Novel Approaches in Glucose and Lipid Metabolism Disorder Therapy: Targeting the Gut Microbiota–Bile Acid Axis" Biology 14, no. 7: 802. https://doi.org/10.3390/biology14070802
APA StyleJiang, J., Zhang, H., Hussain, M., Abdullah, Feng, F., Guan, R., & Zhong, H. (2025). Novel Approaches in Glucose and Lipid Metabolism Disorder Therapy: Targeting the Gut Microbiota–Bile Acid Axis. Biology, 14(7), 802. https://doi.org/10.3390/biology14070802

