Distribution and Ecological Traits of Cotoneaster integerrimus in South Korea
Simple Summary
Abstract
1. Introduction
2. Materials and Methods
2.1. Field Survey and Site Characterization
- Habitat Type: Classified based on field observations of dominant overstory species and forest floor structure.
- Topographical Factors: To assess the topographical characteristics of each plot, altitude (m), slope angle, and aspect were measured using a smartphone-based app (calibrated before use). Slope angle (°) was measured as the maximum angle of the slope where the population was located. Aspect was recorded as the direction the slope faces (0–360°).
- Light Conditions: Recorded based on canopy openness and daily direct sunlight exposure, classified as follows:
- ✓
- Full sun: Open sites (e.g., rocky debris slopes) receiving >6 h of direct sunlight without canopy obstruction.
- ✓
- Partial shade: Sites where light is filtered by the overstory or receiving 3–6 h of partial direct sunlight (e.g., forest understory).
2.2. Species Distribution Modeling (SDM)
2.2.1. Environmental Data and Preprocessing
- In environmental data preprocessing, all predictor variables were aligned and resampled to a common grid resolution and projection (continuous variables: bilinear interpolation; categorical variables: nearest neighbour). All continuous predictors were z-score standardized prior to model fitting.
- Topographical variables were derived from the Digital Elevation Model (DEM) of the National Geographic Information Institute (NGII) [23]: (1) slope; (2) eastness and northness (aspect components); (3) terrain ruggedness index (TRI 3 × 3); (4) topographical position index (TPI) at 300 m and 900 m scales [24].
- Soil variables (CEC, clay/sand/silt content, SOC) were extracted from the 0–5 cm layer of ISRIC SoilGrids v2.0.
- Climate variables were based on observation-driven gridded products from the Korea Meteorological Administration (KMA) [25]. We used daily KMA gridded observation products and derived 10-year climatologies (2015–2024) after bias correction. Bias correction was implemented via empirical quantile mapping at each grid cell, using station observations as the reference distribution. For temperature and relative humidity, we applied additive corrections to the empirical quantiles; for precipitation, we used multiplicative scaling of non-zero daily totals, following standard practice in regional climate-impact studies. From the bias-corrected daily series, annual means (temperature, relative humidity) and annual totals (precipitation) were calculated after time-series quality control. From these fields, we derived annual mean temperature (tmean_ann), annual maximum temperature (tmax_ann), annual total precipitation (precip_ann_mm), and annual mean relative humidity (rh_ann_pct), which were used as climatic predictors in the SDM.
2.2.2. Modeling Procedure and Validation
3. Results
3.1. Habitat Characteristics of Cotoneaster integerrimus in Korea
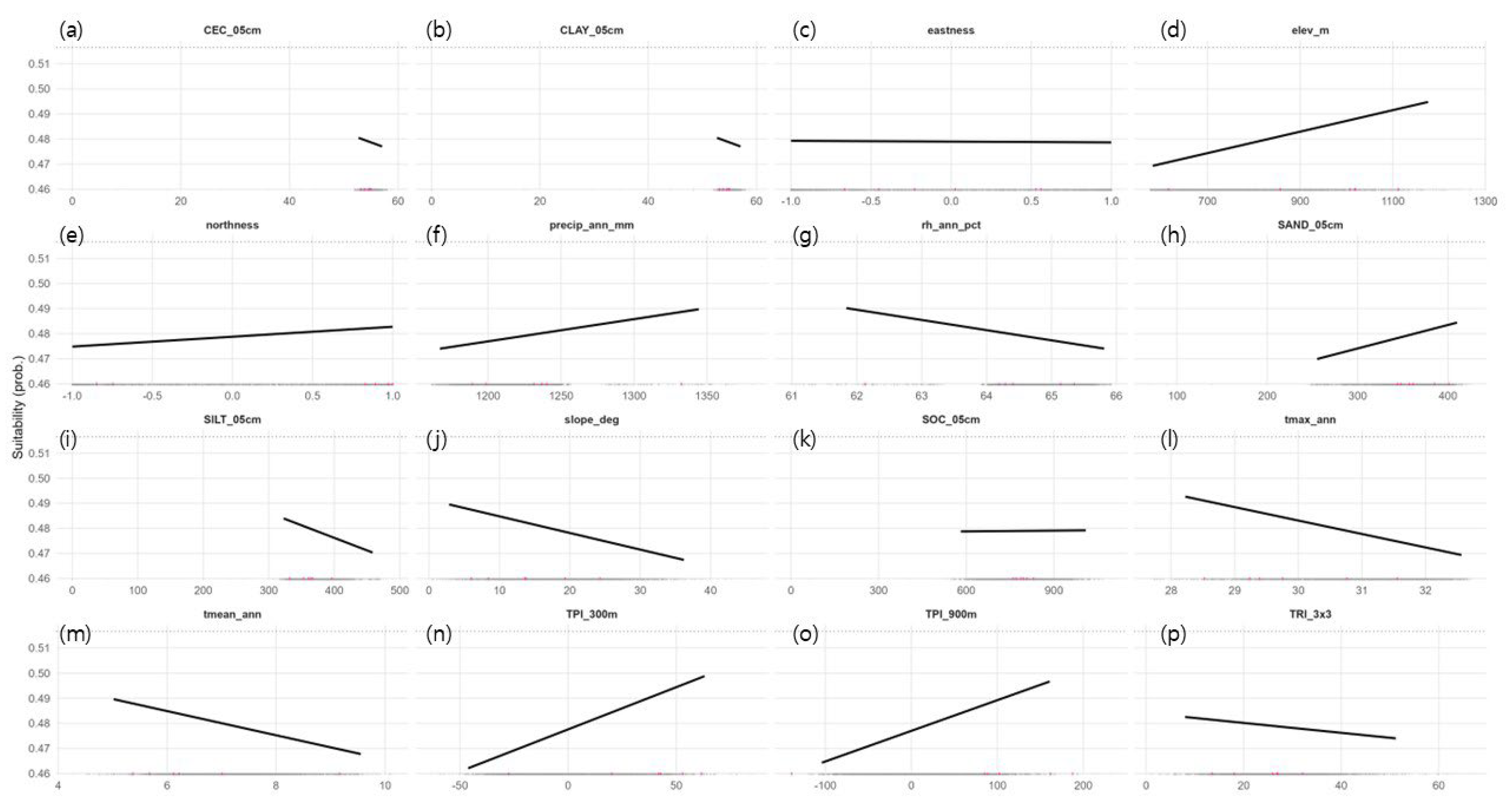
3.2. Habitat Suitability Analysis for Cotoneaster integerrimus
4. Discussion
4.1. Ecological Specificity and Conservation of Native Korean Habitats
4.2. Ecological Interpretation of the Model, Validation Constraints, and Conservation Implications Under Climate Change
4.3. Geographical Disjunction and Morphological Variation in the Korean Cotoneaster integerrimus
5. Conclusions
Author Contributions
Funding
Institutional Review Board Statement
Informed Consent Statement
Data Availability Statement
Conflicts of Interest
Appendix A
| Var | Kept | Protected | Closest_Kept |
|---|---|---|---|
| elev_m | TRUE | TRUE | NA |
| slope_deg | TRUE | FALSE | NA |
| eastness | TRUE | FALSE | NA |
| northness | TRUE | FALSE | NA |
| TRI_3x3 | TRUE | FALSE | NA |
| TPI_300m | TRUE | FALSE | NA |
| TPI_900m | TRUE | FALSE | NA |
| CEC_05cm | TRUE | FALSE | NA |
| CLAY_05cm | TRUE | FALSE | NA |
| SAND_05cm | TRUE | FALSE | NA |
| SILT_05cm | TRUE | FALSE | NA |
| SOC_05cm | TRUE | FALSE | NA |
| tmean_ann | TRUE | FALSE | NA |
| tmin_ann | FALSE | FALSE | rh_ann_pct |
| tmax_ann | TRUE | FALSE | NA |
| precip_ann_mm | TRUE | FALSE | NA |
| rh_ann_pct | TRUE | FALSE | NA |
Appendix B

References
- Cumming, W.A. Germination studies with Cotoneaster lucida being conducted at the Canada Experimental Farm, Morden, Manitoba. West. Can. Soc. Hortic. Rep. Proc. 1960, 16, 43–44. [Google Scholar]
- Dickoré, W.B.; Kasperek, G. Species of Cotoneaster (Rosaceae, Maloideae) indigenous to, naturalising or commonly cultivated in Central Europe. Willdenowia 2010, 40, 13–45. [Google Scholar] [CrossRef]
- Kicel, A. An Overview of the Genus Cotoneaster (Rosaceae): Phytochemistry, Biological Activity, and Toxicology. Antioxidants 2020, 9, 1002. [Google Scholar] [CrossRef] [PubMed]
- Bogunić, F.; Siljak-Yakovlev, S.; Mahmutović-Dizdarević, I.; Hajrudinović-Bogunić, A.; Bourge, M.; Brown, S.C.; Muratović, E. Genome Size, Cytotype Diversity and Reproductive Mode Variation of Cotoneaster integerrimus (Rosaceae) from the Balkans. Plants 2021, 10, 2798. [Google Scholar] [CrossRef]
- Boratyński, A.; Kosiński, P.; Kwiatkowski, P.; Szcześniak, E.; Świerkosz, K. Protected and deserving protection trees and shrubs of the Polish Sudety Mts. with their pre-alps. 11: Cotoneaster integerrimus Medik. and Cotoneaster niger (Thunb.) Fr. Arbor. Korn. 1999, 44, 5–22. [Google Scholar]
- Blamey, M.; Grey-Wilson, C. Flora of Britain and Northern Europe; Hodder & Stoughton: London, UK, 1989; pp. 176–199. [Google Scholar]
- Tutin, T.G.; Heywood, V.H.; Burges, N.A.; Moore, D.M.; Valentine, D.H.; Walters, S.M.; Webb, D.A. (Eds.) Flora Europaea, Vol. 2: Rosaceae to Umbelliferae; Cambridge University Press: Cambridge, UK, 1968; p. 72. [Google Scholar]
- Świerkosz, K.; Reczyńska, K. Differentiation of natural scrub communities of the Cotoneastro-Amelanchieretum group in Central Europe. PLoS ONE 2022, 17, e0266868. [Google Scholar] [CrossRef]
- European Environment Agency. Rock Pear Scrub (EUNIS Habitat Type F3.1123/S3-5123). EUNIS Habitat Classification. Available online: https://eunis.eea.europa.eu/habitats/22561 (accessed on 18 August 2025).
- Punegov, A.N.; Skrotskaya, O.V.; Nikolaevna, S.A. Introduction of species of the genus Cotoneaster Medik. in the changing climate of the Komi Republic. Samara J. Sci. 2024, 13, 73–80. [Google Scholar] [CrossRef]
- Lomolino, M.V.; Riddle, B.R.; Whittaker, R.J. Biogeography, 5th ed.; Sinauer Associates: Sunderland, MA, USA, 2016; pp. 399–424. [Google Scholar]
- Primack, R.B. A Primer of Conservation Biology, 5th ed.; Sinauer Associates: Sunderland, MA, USA, 2014; pp. 151–238. [Google Scholar]
- Ravanbakhsh, H.; Hamzeh’ee, B.; Moshki, A. Ecology and phytosociology of Cotoneaster shrublands in Central Alborz of Iran. Dendrobiology 2018, 79, 47–60. [Google Scholar] [CrossRef]
- Lu, L.D.; Brach, A.R. Cotoneaster Medik. In Flora of China, Vol. 9: Pittosporaceae Through Connaraceae; Wu, Z.Y., Raven, P.H., Hong, D.Y., Eds.; Science Press & Missouri Botanical Garden Press: Beijing, China; St. Louis, MO, USA, 2003; pp. 85–108. [Google Scholar]
- Angmo, D.; Puri, R.; Mehta, M.; Devi, G. Ethnobotanical survey of wild edible plants of Leh District, Ladakh. Def. Life Sci. J. 2022, 7, 257–266. [Google Scholar] [CrossRef]
- Choi, Y.M.; Cho, S.J.; Lee, H.J.; Yoon, J.W. A Checklist of North Korea Plant and Current Status of Genetic Resources Held by Domestic and International Arboreta. Korean J. Plant Res. 2024, 37, 171–202. [Google Scholar]
- Komarov, V.L. Flora Manshuriae; Imperial Academy of Sciences: St. Petersburg, Russia, 1901; Volume 2, pp. 453–557. [Google Scholar]
- Yang, J.; Park, S.; Kim, Y.; Kim, J.S.; Pak, J.-H. Infrageneric plastid genomes of Cotoneaster (Rosaceae): Implications for the plastome evolution and origin of C. wilsonii on Ulleung Island. Genes 2022, 13, 728. [Google Scholar] [CrossRef] [PubMed]
- Guo, X.; Bai, W.; Wang, Y.; Hao, S.; Zhao, L.; Li, X.; Guo, Z.; Li, X. Predicting habitat suitability for an endangered medicinal plant, Saussurea medusa: Insights from ensemble species distribution models. Front. Plant Sci. 2025, 16, 1590206. [Google Scholar] [CrossRef]
- Augustin, A.F.; Lima, D.F.; Vieira, F.C.S.; Caddah, M.K. Species distribution modeling of two rare endemic Myrtaceae from the Brazilian Atlantic Forest: Challenges in conserving invisible species. Flora 2025, 333, 152854. [Google Scholar] [CrossRef]
- Onete, M.; Bodescu, F.P.; Niccoara, R.; Manu, M.; Mihailescu, S. Modelling the distribution of the rare endemic, tertiary relict and vulnerable species (Western Romanian Carpathians). Sci. Pap. Ser. B Hortic. 2025, 36, 862–871. [Google Scholar]
- Han, L.; Ma, X.; Zhao, C.; Liu, D. Influences of environmental and leaf functional traits variations on photosynthetic characteristics of Cotoneaster multiflorus in Xinglong Mountain. Front. Plant Sci. 2025, 16, 1562491. [Google Scholar]
- National Geographic Information Institute (NGII). Digital Elevation Model (DEM) Data. Available online: https://www.ngii.go.kr/kor/main.do (accessed on 23 August 2025).
- Weiss, A.D. Topographic Position and Landforms Analysis; Poster Presentation, ESRI User Conference, San Diego, CA, USA. 2001. Available online: https://karttur.github.io/geoimagine/blog/blog-ArcticDemTPI/ (accessed on 23 August 2025).
- Korea Meteorological Administration (KMA). KMA Gridded Observation Data Products. 2020. Available online: https://www.kma.go.kr/neng/index.do (accessed on 22 August 2025).
- Phillips, S.J.; Anderson, R.P.; Schapire, R.E. Maximum Entropy Modeling of Species Geographic Distributions. Ecol. Model. 2006, 190, 231–259. [Google Scholar] [CrossRef]
- Friedman, J.; Hastie, T.; Tibshirani, R. Regularization Paths for Generalized Linear Models via Coordinate Descent. J. Stat. Softw. 2010, 33, 1–22. [Google Scholar]
- Phillips, S.J.; Anderson, R.P.; Dudík, M.; Schapire, R.E.; Blair, M.E. Opening the black box: An open-source release of Maxent. Ecography 2017, 40, 887–893. [Google Scholar] [CrossRef]
- R Core Team. R: A Language and Environment for Statistical Computing; R Foundation for Statistical Computing: Vienna, Austria, 2023. [Google Scholar]
- Hijmans, R.J. terra: Spatial Data Analysis, R Package Version 1.8-73; 2025. Available online: https://github.com/rspatial/terra (accessed on 22 August 2025).
- Pebesma, E. Simple features for R: Standardized support for spatial vector data. R J. 2018, 10, 439–446. [Google Scholar] [CrossRef]
- Wickham, H.; François, R.; Henry, L.; Müller, K.; Vaughan, D. dplyr: A Grammar of Data Manipulation; R Package Version 1.1.4; R Foundation for Statistical Computing: Vienna, Austria, 2025. [Google Scholar]
- Hijmans, R.J.; Phillips, S.; Leathwick, J.; Elith, J. dismo: Species Distribution Modeling; R Package Version 1.3-15; R Foundation for Statistical Computing: Vienna, Austria, 2024. [Google Scholar]
- Wickham, H.; Bryan, J. ggplot2: Elegant Graphics for Data Analysis. R Package Version 3.4.4. 2023. Available online: https://CRAN.R-project.org/package=ggplot2/ (accessed on 4 June 2025).
- ESRI. ArcGIS Pro Version 3.1.0, Environmental Systems Research Institute: Redlands, CA, USA, 2024.
- National Institute of Agricultural Sciences (NIAS), Rural Development Administration (RDA). Soil Data Portal. Available online: https://soil.rda.go.kr/geoweb/soilmain.do (accessed on 21 August 2025).
- Kurtto, A.; Sennikov, A.N.; Lampinen, R. Atlas Florae Europaeae: Distribution of Vascular Plants in Europe; The Committee for Mapping the Flora of Europe & Societas Biologica Fennica Vanamo: Helsinki, Finland, 2013; Volume 16, p. 168. [Google Scholar]
- Brady, N.C.; Weil, R.R. The Nature and Properties of Soils, 15th ed.; Pearson: London, UK, 2016; pp. 328–344. [Google Scholar]
- Hwang, K.S. Survey on the pH of Soils in Korea. Korean J. Soil Sci. Fertil. 1973, 6, 153–158. [Google Scholar]
- Craw, D.; Rufaut, C.; Palmer, M. Geoecology of limestone-hosted dryland calcicolous plants, North Otago, New Zealand. N. Z. J. Geol. Geophys. 2025, 68, 1100–1119. [Google Scholar] [CrossRef]
- Vermeulen, J.; Wiriadinata, H. Biodiversity, Endemism and the Conservation of Limestone Karsts in the Sangkulirang Peninsula, Borneo. Trop. Biodivers. Conserv. 2005, 12, 87–102. [Google Scholar]
- Mucina, L.; Bültmann, H.; Dierßen, K.; Theurillat, J.P.; Raus, T.; Čarni, A.; Šumberová, K.; Willner, W.; Dengler, J.; Gavilán García, R.; et al. Vegetation of Europe: Hierarchical floristic classification system of vascular plant, bryophyte, lichen, and algal communities. Appl. Veg. Sci. 2016, 19, 3–264. [Google Scholar] [CrossRef]
- Willner, W.; Tichý, L.; Chytrý, M. (Eds.) FloraVeg.EU: European Vegetation Database; Department of Botany and Zoology, Masaryk University: Brno, Czech Republic; Available online: https://floraveg.eu/taxon/overview/Cotoneaster%20integerrimus (accessed on 27 August 2025).
- Chytrý, M.; Danihelka, J.; Kaplan, Z.; Pyšek, P. (Eds.) Pladias: Database of the Czech Flora and Vegetation; Institute of Botany, CAS: Průhonice, Czech Republic. Available online: https://pladias.cz/en/taxon/data/Cotoneaster%20integerrimus (accessed on 27 August 2025).
- InfoFlora. Cotoneaster integerrimus Medik; Das nationale Daten- und Informationszentrum der Schweizer Flora: Bern, Switzerland; Available online: https://www.infoflora.ch/de/flora/cotoneaster-integerrimus.html (accessed on 27 August 2025).
- Pignatti, S.; Guarino, R.; La Rosa, M. Flora d’Italia, 2nd ed.; Edagricole-New Business Media: Bologna, Italy, 2017; Volume 2, pp. 812–813. [Google Scholar]
- Chytrý, M.; Řezníčková, M.; Novotný, P.; Holubová, D.; Preislerová, Z.; Attorre, F.; Biurrun, I.; Blažek, P.; Bonari, G.; Borovyk, D.; et al. FloraVeg.EU—An Online Database of European Vegetation, Habitats and Flora. Appl. Veg. Sci. 2024, 27, e12798. [Google Scholar] [CrossRef]
- Kim, J.U.; Boo, J.O.; Shim, S.S.; Kwon, W.T.; Byun, Y.H. The Seasonal Correlation between Temperature and Precipitation over Korea and Europe and the Future Change from RCP8.5 Scenario. Atmosphere 2017, 27, 79–97. [Google Scholar] [CrossRef][Green Version]
- Larcher, W. Physiological Plant Ecology: Ecophysiology and Stress Physiology of Functional Groups, 4th ed.; Springer: Berlin/Heidelberg, Germany, 2003; pp. 331–336. [Google Scholar]
- Lo, E.Y.Y.; Donoghue, M.J. Expanded phylogenetic and dating analyses of the apples and their relatives (Pyreae, Rosaceae). Mol. Phylogenet. Evol. 2012, 63, 230–243. [Google Scholar] [CrossRef]
- Lesica, P.; Allendorf, F.W. When Are Peripheral Populations Valuable for Conservation? Conserv. Biol. 1995, 9, 753–760. [Google Scholar] [CrossRef]
- Eckert, C.G.; Samis, K.E.; Lougheed, S.C. Genetic Variation across Species’ Geographical Ranges: The Central–Marginal Hypothesis and Beyond. Mol. Ecol. 2008, 17, 1170–1188. [Google Scholar] [CrossRef]
- Hampe, A.; Petit, R.J. Losing Your Edge: Climate Change and the Conservation Value of Range-Edge Populations. Ecol. Lett. 2005, 8, 561–567. [Google Scholar]
- IUCN SSC Climate Change Specialist Group. Vital but Vulnerable: Climate Change Vulnerability and the Conservation of Species with Restricted Ranges and Small Populations; IUCN: Gland, Switzerland, 2007; pp. 12–17. [Google Scholar]
- Li, J.; Zhang, L.; Liu, Y.; Wang, H.; Zhou, S. Molecular Phylogeny of Cotoneaster (Rosaceae) Inferred from Nuclear ITS and Multiple Chloroplast Sequences. Plants 2014, 3, 1–14. [Google Scholar] [CrossRef]
- Huang, J.; Chen, S.; Meng, K.; Li, M.; Zhao, W.; Wang, N.; Fan, Q.; Liao, W. Phylogenomic relationships and species delimitation of Cotoneaster ser. Pannosi, ser. Buxifolii, and related taxa. Front. Plant Sci. 2025, 16, 1575925. [Google Scholar] [CrossRef]
- Kroon, H. Polyploidy in Cotoneaster II. Bot. J. Linn. Soc. 1975, 70, 271–280. [Google Scholar] [CrossRef]
- Fryer, J.; Hylmö, B. The Native British Cotoneaster—Great Orme Berry—Renamed. Watsonia 1994, 20, 61–63. [Google Scholar]
- Gandoger, M. Decades Plantarum Novarum: Præsertim ad Floram Europae Spectantes; F. Savy, Bibliopola: Paris, France, 1875; p. 8. [Google Scholar]
- Fryer, J.; Hylmö, B. Cotoneasters: A Comprehensive Guide to Shrubs for Flowers, Fruit, and Foliage; Timber Press: Portland, OR, USA, 2009; pp. 1–344. [Google Scholar]
- Dudaniec, R.Y.; Schlotfeldt, B.E.; Bertozzi, T.; Donnellan, S.C.; Kleindorfer, S. Genetic and morphological divergence in island and mainland birds: Informing conservation priorities. Biol. Conserv. 2011, 144, 2902–2912. [Google Scholar] [CrossRef]
- Zumwalde, B.A.; McCauley, R.A.; Fullinwider, I.J.; Duckett, D.; Spence, E.; Hoban, S. Genetic, Morphological, and Environmental Differentiation of an Arid-Adapted Oak with a Disjunct Distribution. Forests 2021, 12, 465. [Google Scholar] [CrossRef]





| Site | H.T. | Al. (m) | N.I. | A.C. (m2) | As. (°) | S.A. (°) | L.C. |
|---|---|---|---|---|---|---|---|
| 1 | Calcareous scree | 1037 | 30 | 80 | WNW (293) | 45 | Full sun |
| 2 | Deciduous broad-leaved forest | 652 | 5 | 25 | NE (45) | 40 | Partial shade |
| 3 | Deciduous broad-leaved forest | 1150 | 70 | 110 | N (0) | 30 | Partial shade |
| 4 | Deciduous broad-leaved forest | 1050 | 30 | 80 | NNE (23) | 35 | Partial shade |
| 5 | Deciduous broad-leaved forest | 922 | 60 | 120 | N (355) | 22 | Partial shade |
| 6 | Deciduous broad-leaved forest | 1057 | 50 | 96 | NE (48) | 30 | Partial shade |
| Fold | AUC | Thr_Spec_Sens | TSS | nP | nB |
|---|---|---|---|---|---|
| 1 | 0.886 | 0.498 | 0.886 | 1 | 1272 |
| 2 | 0.500 | 0.632 | 0.000 | 2 | 1161 |
| 3 | 0.602 | 0.493 | 0.472 | 3 | 2561 |
Disclaimer/Publisher’s Note: The statements, opinions and data contained in all publications are solely those of the individual author(s) and contributor(s) and not of MDPI and/or the editor(s). MDPI and/or the editor(s) disclaim responsibility for any injury to people or property resulting from any ideas, methods, instructions or products referred to in the content. |
© 2025 by the authors. Licensee MDPI, Basel, Switzerland. This article is an open access article distributed under the terms and conditions of the Creative Commons Attribution (CC BY) license (https://creativecommons.org/licenses/by/4.0/).
Share and Cite
Lee, G.-Y.; Kim, D.; Lee, S.-E.; Ryu, T.-B. Distribution and Ecological Traits of Cotoneaster integerrimus in South Korea. Biology 2025, 14, 1737. https://doi.org/10.3390/biology14121737
Lee G-Y, Kim D, Lee S-E, Ryu T-B. Distribution and Ecological Traits of Cotoneaster integerrimus in South Korea. Biology. 2025; 14(12):1737. https://doi.org/10.3390/biology14121737
Chicago/Turabian StyleLee, Gyeong-Yeon, Deokki Kim, Seung-Eun Lee, and Tae-Bok Ryu. 2025. "Distribution and Ecological Traits of Cotoneaster integerrimus in South Korea" Biology 14, no. 12: 1737. https://doi.org/10.3390/biology14121737
APA StyleLee, G.-Y., Kim, D., Lee, S.-E., & Ryu, T.-B. (2025). Distribution and Ecological Traits of Cotoneaster integerrimus in South Korea. Biology, 14(12), 1737. https://doi.org/10.3390/biology14121737

