Changes in Antioxidant and Photosynthetic Capacity in Rice Under Different Substrates
Simple Summary
Abstract
1. Introduction
2. Materials and Methods
2.1. Experimental Design
2.2. Determination of Dry Weight
2.3. Determination of Antioxidant Enzyme Activity
2.4. Determination of AsA and Glutathione (GSH) Content
2.5. Determination of Photosynthesis-Related Parameters
2.6. Chlorophyll Fluorescence Detection
2.7. Determination of Physical and Chemical Parameters of Substrates
2.7.1. Determination of SOM and SOC
2.7.2. Determination of Alkaline Nitrogen
2.7.3. Determination of Rapidly Available Potassium
2.7.4. Determination of pH
2.8. Statistical Analysis
3. Result
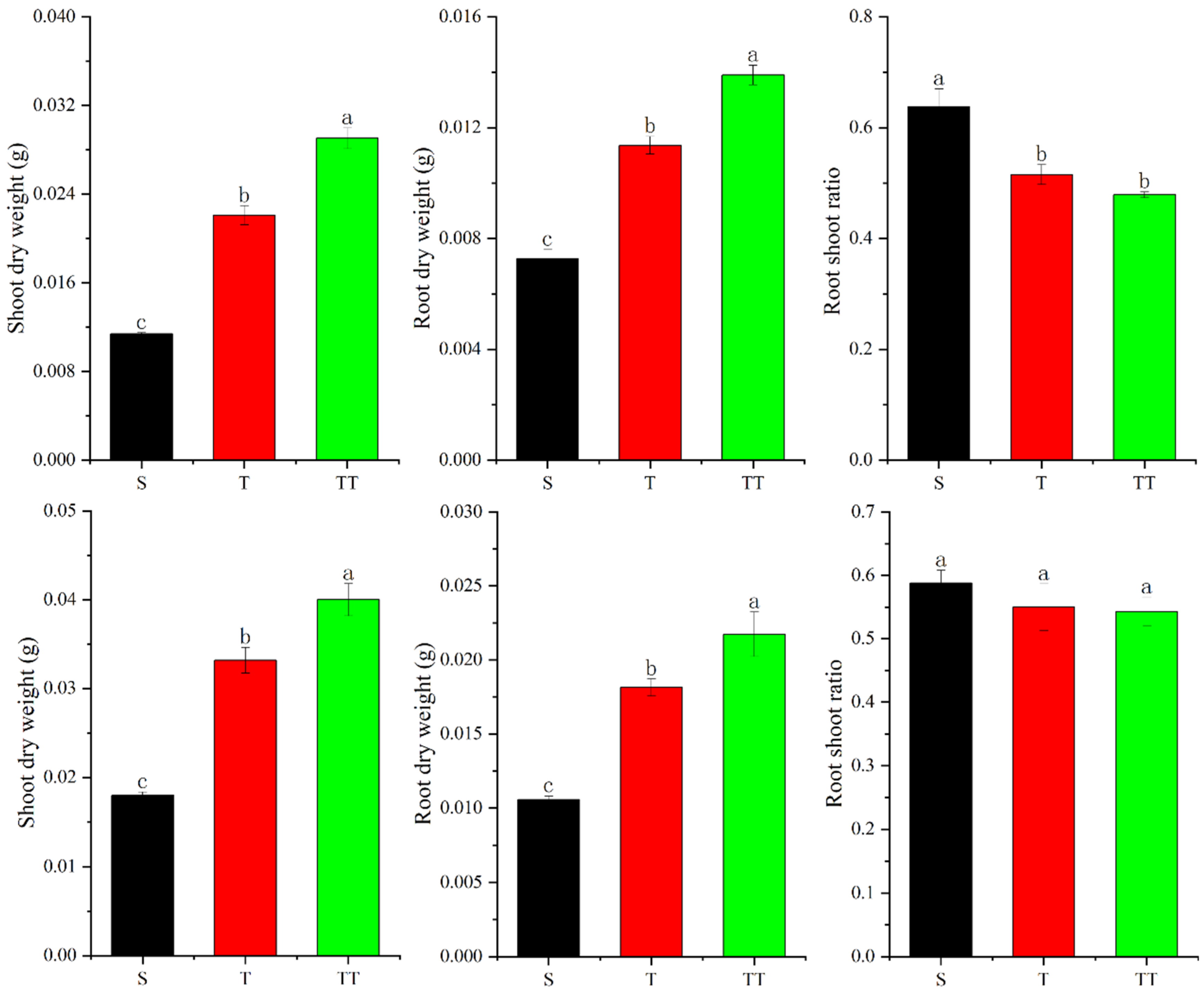
3.1. Dry Weight and Root/Shoot Ratio
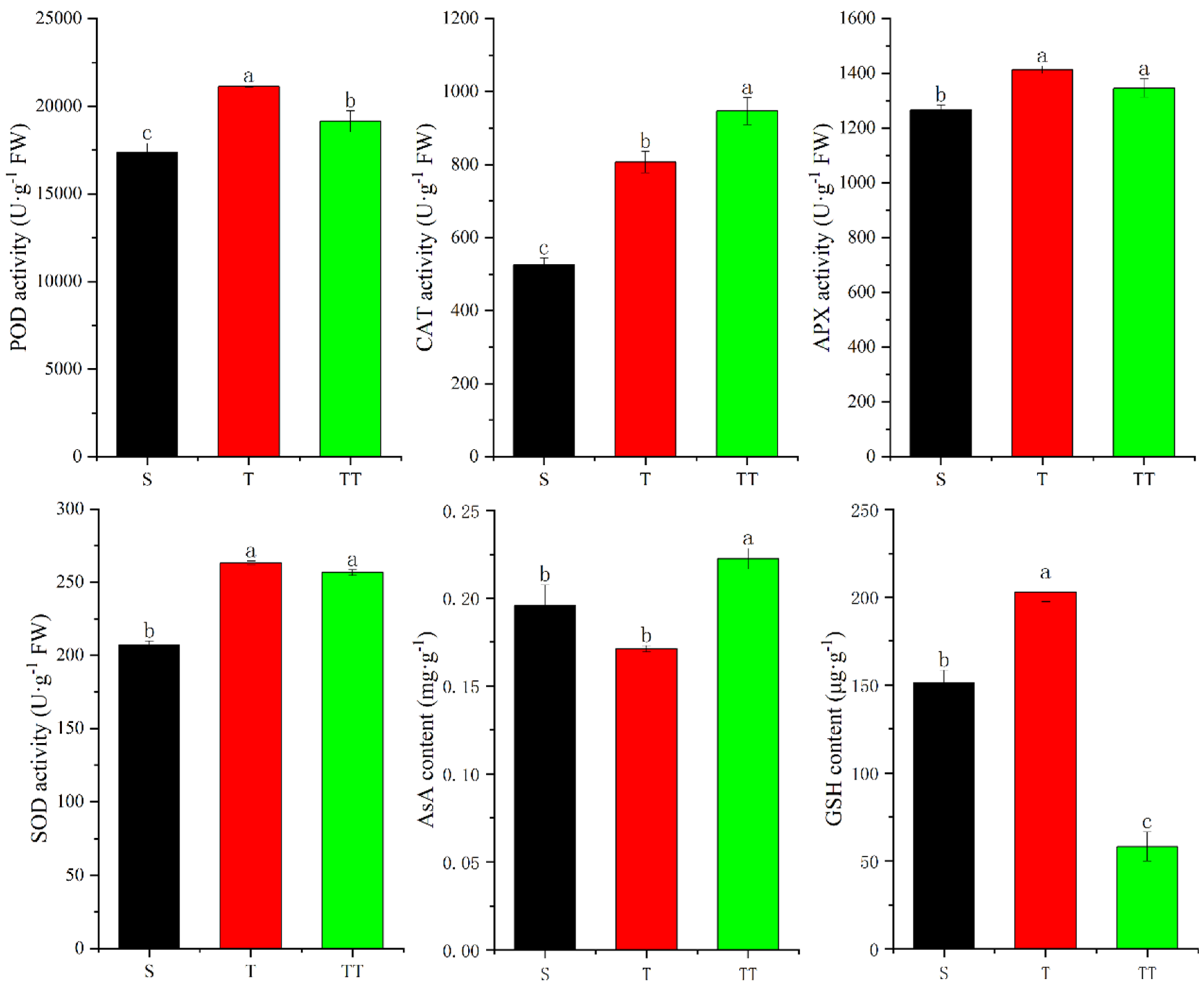
3.2. Antioxidant System
3.3. Chlorophyll Fluorescence Detection
3.4. Photosynthesis Related Indicators
4. Discussion
5. Conclusions
Author Contributions
Funding
Institutional Review Board Statement
Informed Consent Statement
Data Availability Statement
Conflicts of Interest
References
- Abbass, K.; Qasim, M.Z.; Song, H.; Murshed, M.; Mahmood, H.; Younis, I. A review of the global climate change impacts, adaptation, and sustainable mitigation measures. Environ. Sci. Pollut. Res. 2022, 29, 42539–42559. [Google Scholar] [CrossRef] [PubMed]
- Adger, W.N.; Arnell, N.W.; Tompkins, E.L. Successful adaptation to climate change across scales. Glob. Environ. Chang. 2005, 15, 77–86. [Google Scholar] [CrossRef]
- Leal Filho, W.; Azeiteiro, U.M.; Balogun, A.-L.; Setti, A.F.F.; Mucova, S.A.; Ayal, D.; Totin, E.; Lydia, A.M.; Kalaba, F.K.; Oguge, N.O. The influence of ecosystems services depletion to climate change adaptation efforts in Africa. Sci. Total Environ. 2021, 779, 146414. [Google Scholar] [CrossRef]
- Feliciano, D.; Recha, J.; Ambaw, G.; MacSween, K.; Solomon, D.; Wollenberg, E. Assessment of agricultural emissions, climate change mitigation and adaptation practices in Ethiopia. Clim. Policy 2022, 22, 427–444. [Google Scholar] [CrossRef]
- Orchard, V.A.; Cook, F. Relationship between soil respiration and soil moisture. Soil Biol. Biochem. 1983, 15, 447–453. [Google Scholar] [CrossRef]
- Trnka, M.; Kersebaum, K.C.; Eitzinger, J.; Hayes, M.; Hlavinka, P.; Svoboda, M.; Dubrovský, M.; Semerádová, D.; Wardlow, B.; Pokorný, E. Consequences of climate change for the soil climate in Central Europe and the central plains of the United States. Clim. Change 2013, 120, 405–418. [Google Scholar] [CrossRef]
- Follett, R.; Stewart, C.; Pruessner, E.; Kimble, J. Effects of climate change on soil carbon and nitrogen storage in the US Great Plains. J. Soil Water Conserv. 2012, 67, 331–342. [Google Scholar] [CrossRef]
- Hicks Pries, C.E.; Castanha, C.; Porras, R.; Torn, M. The whole-soil carbon flux in response to warming. Science 2017, 355, 1420–1423. [Google Scholar] [CrossRef]
- Yan, D.; Li, J.; Pei, J.; Cui, J.; Nie, M.; Fang, C. The temperature sensitivity of soil organic carbon decomposition is greater in subsoil than in topsoil during laboratory incubation. Sci. Rep. 2017, 7, 5181. [Google Scholar] [CrossRef]
- Li, J.; Pei, J.; Pendall, E.; Reich, P.B.; Noh, N.J.; Li, B.; Fang, C.; Nie, M. Rising temperature may trigger deep soil carbon loss across forest ecosystems. Adv. Sci. 2020, 7, 2001242. [Google Scholar] [CrossRef]
- Woo, D.K.; Seo, Y. Effects of elevated temperature and abnormal precipitation on soil carbon and nitrogen dynamics in a Pinus densiflora forest. Front. For. Glob. Change 2022, 5, 1051210. [Google Scholar] [CrossRef]
- Yigini, Y.; Panagos, P. Assessment of soil organic carbon stocks under future climate and land cover changes in Europe. Sci. Total Environ. 2016, 557, 838–850. [Google Scholar] [CrossRef] [PubMed]
- Ferreira, C.S.; Seifollahi-Aghmiuni, S.; Destouni, G.; Ghajarnia, N.; Kalantari, Z. Soil degradation in the European Mediterranean region: Processes, status and consequences. Sci. Total Environ. 2022, 805, 150106. [Google Scholar] [CrossRef] [PubMed]
- Stolte, J.; Tesfai, M.; Oygarden, L.; Kvaerno, S.; Keizer, J.; Verheijen, F.; Panagos, P.; Ballabio, C.; Hessel, R. Soil Threats in Europe: Status, Methods, Drivers and Effects on Ecosystem Services: Deliverable 2.1 RECARE Project; 9279540181; European Commission DG Joint Research Centre: Brussels, Belgium, 2016. [Google Scholar]
- Barthes, B.G.; Chotte, J.L. Infrared spectroscopy approaches support soil organic carbon estimations to evaluate land degradation. Land Degrad. Dev. 2021, 32, 310–322. [Google Scholar] [CrossRef]
- Saha, P.; Nath, A.; Nath, A.J. Land degradation evaluation based on SDG indicators in the eastern Himalayan region: A case study from Nagaland state. In Climate Change in the Himalayas; Elsevier: Amsterdam, The Netherlands, 2023; pp. 141–160. [Google Scholar]
- Oldfield, E.E.; Bradford, M.A.; Wood, S.A. Global meta-analysis of the relationship between soil organic matter and crop yields. Soil 2019, 5, 15–32. [Google Scholar] [CrossRef]
- Lal, R. Soil organic matter content and crop yield. J. Soil Water Conserv. 2020, 75, 27A–32A. [Google Scholar] [CrossRef]
- Ghaley, B.B.; Wösten, H.; Olesen, J.E.; Schelde, K.; Baby, S.; Karki, Y.K.; Børgesen, C.D.; Smith, P.; Yeluripati, J.; Ferrise, R. Simulation of soil organic carbon effects on long-term winter wheat (Triticum aestivum) production under varying fertilizer inputs. Front. Plant Sci. 2018, 9, 1158. [Google Scholar] [CrossRef]
- Liu, Z.; Ma, L.; Liu, T.; Qiao, Z.; Chen, Y. Influence of Key Climate Factors on Desertification in Inner Mongolia. Atmosphere 2023, 14, 1404. [Google Scholar] [CrossRef]
- Xu, W.; Cui, K.; Xu, A.; Nie, L.; Huang, J.; Peng, S. Drought stress condition increases root to shoot ratio via alteration of carbohydrate partitioning and enzymatic activity in rice seedlings. Acta Physiol. Plant. 2015, 37, 9. [Google Scholar] [CrossRef]
- Zhang, R.; Zheng, D.; Feng, N.; Qiu, Q.-S.; Zhou, H.; Liu, M.; Li, Y.; Meng, F.; Huang, X.; Huang, A. Prohexadione calcium enhances rice growth and tillering under NaCl stress. PeerJ 2023, 11, e14804. [Google Scholar] [CrossRef]
- Chen, G.; Zheng, D.; Feng, N.; Zhou, H.; Mu, D.; Zhao, L.; Shen, X.; Rao, G.; Meng, F.; Huang, A. Physiological mechanisms of ABA-induced salinity tolerance in leaves and roots of rice. Sci. Rep. 2022, 12, 8228. [Google Scholar] [CrossRef] [PubMed]
- Huang, X.; Zheng, D.; Feng, N.; Huang, A.; Zhang, R.; Meng, F.; Jie, Y.; Mu, B.; Mu, D.; Zhou, H. Effects of prohexadione calcium spraying during the booting stage on panicle traits, yield, and related physiological characteristics of rice under salt stress. PeerJ 2023, 11, e14673. [Google Scholar] [CrossRef]
- Yan, F.; Wei, H.; Ding, Y.; Li, W.; Liu, Z.; Chen, L.; Tang, S.; Ding, C.; Jiang, Y.; Li, G. Melatonin regulates antioxidant strategy in response to continuous salt stress in rice seedlings. Plant Physiol. Biochem. 2021, 165, 239–250. [Google Scholar] [CrossRef] [PubMed]
- Bao, S. Soil Agrochemical Analysis 3; China Agriculture Press: Beijing, China, 2000. (In Chinese) [Google Scholar]
- Abogadallah, G.M. Antioxidative defense under salt stress. Plant Signal. Behav. 2010, 5, 369–374. [Google Scholar] [CrossRef] [PubMed]
- You, J.; Chan, Z. ROS regulation during abiotic stress responses in crop plants. Front. Plant Sci. 2015, 6, 1092. [Google Scholar] [CrossRef]
- Xin, X.; Qian, Z.; Jinxia, W. Research of Reactive Oxygen Species in Plants and Its Application on Stress Tolerance. Biotechnol. Bull. 2013, 36, 6–11. [Google Scholar]
- Guo, W.; Xing, Y.; Luo, X.; Li, F.; Ren, M.; Liang, Y. Reactive oxygen species: A crosslink between plant and human eukaryotic cell systems. Int. J. Mol. Sci. 2023, 24, 13052. [Google Scholar] [CrossRef]
- Pang, C.-H.; Wang, B.-S. Oxidative stress and salt tolerance in plants. In Progress in Botany; Springer: Berlin/Heidelberg, Germany, 2008; pp. 231–245. [Google Scholar]
- Wang, S.; Sun, J.; Li, S.; Lu, K.; Meng, H.; Xiao, Z.; Zhang, Z.; Li, J.; Luo, F.; Li, N. Physiological, genomic and transcriptomic comparison of two Brassica napus cultivars with contrasting cadmium tolerance. Plant Soil 2019, 441, 71–87. [Google Scholar] [CrossRef]
- Wang, Y.; Zhao, L.-m.; Feng, N.; Zheng, D.; Shen, X.F.; Zhou, H.; Jiang, W.; Du, Y.; Zhao, H.; Lu, X. Plant growth regulators mitigate oxidative damage to rice seedling roots by NaCl stress. PeerJ 2024, 12, e17068. [Google Scholar] [CrossRef]
- Cai, Q.; Zou, Y.; Zhong, N.; Jia, G. Effects of nutritional stress on soil fertility and antioxidant enzymes of rice in different growth periods. Front. Plant Sci. 2024, 15, 1471682. [Google Scholar]
- Hasanuzzaman, M.; Bhuyan, M.H.M.B.; Anee, T.I.; Parvin, K.; Nahar, K.; Mahmud, J.A.; Fujita, M. Regulation of Ascorbate-Glutathione Pathway in Mitigating Oxidative Damage in Plants under Abiotic Stress. Antioxidants 2019, 8, 384. [Google Scholar] [CrossRef] [PubMed]
- Bartold, M.; Kluczek, M. Estimating of chlorophyll fluorescence parameter Fv/Fm for plant stress detection at peatlands under Ramsar Convention with Sentinel-2 satellite imagery. Ecol. Inform. 2024, 81, 102603. [Google Scholar] [CrossRef]
- Murchie, E.H.; Lawson, T. Chlorophyll fluorescence analysis: A guide to good practice and understanding some new applications. J. Exp. Bot. 2013, 64, 3983–3998. [Google Scholar] [CrossRef]
- Butler, W.L. Energy distribution in the photochemical apparatus of photosynthesis. Annu. Rev. Plant Physiol. 1978, 29, 345–378. [Google Scholar] [CrossRef]
- Murata, N. Research in Photosynthesis. In Proceedings of the IXth International Congress on Photosynthesis, Nagoya, Japan, 30 August–4 September 1992; Springer Science & Business Media: Berlin/Heidelberg, Germany, 1992; Volume 2. [Google Scholar]
- Shin, Y.K.; Bhandari, S.R.; Jo, J.S.; Song, J.W.; Lee, J.G. Effect of Drought Stress on Chlorophyll Fluorescence Parameters, Phytochemical Contents, and Antioxidant Activities in Lettuce Seedlings. Horticulturae 2021, 7, 238. [Google Scholar] [CrossRef]
- Demmig-Adams, B.; Adams III, W.W. Antioxidants in photosynthesis and human nutrition. Science 2002, 298, 2149–2153. [Google Scholar] [CrossRef]
- Niyogi, K.K.; Li, X.-P.; Rosenberg, V.; Jung, H.-S. Is PsbS the site of non-photochemical quenching in photosynthesis? J. Exp. Bot. 2005, 56, 375–382. [Google Scholar] [CrossRef]
- Nishiyama, Y.; Allakhverdiev, S.I.; Murata, N. A new paradigm for the action of reactive oxygen species in the photoinhibition of photosystem II. Biochim. Biophys. Acta (BBA)-Bioenerg. 2006, 1757, 742–749. [Google Scholar] [CrossRef]




| Rapidly Available Potassium (mg·kg−1) | Alkaline Nitrogen (mg·kg−1) | pH | Organic Matter (g·kg−1) | Organic Carbon (g·kg−1) | Total Nitrogen (g·kg−1) | C/N Ratio | |
|---|---|---|---|---|---|---|---|
| S | 4.63 | 2.45 | 8.54 | 2.11 | 1.22 | 0.11 | 10.78 |
| T | 11.92 | 20.30 | 7.72 | 25.80 | 14.96 | 1.36 | 11.03 |
| TT | 30.14 | 40.25 | 6.97 | 55.36 | 32.11 | 2.88 | 11.16 |
| RAP | AN | pH | OM | OC | TN | CN | |
|---|---|---|---|---|---|---|---|
| Shoot1 | 0.934 | 0.988 | −0.995 | 0.983 | 0.983 | 0.984 | 0.998 * |
| Root1 | 0.929 | 0.986 | −0.994 | 0.98 | 0.98 | 0.982 | 0.999 * |
| RS1 | −0.855 | −0.944 | 0.962 | −0.933 | −0.933 | −0.936 | −0.992 |
| Shoot2 | 0.897 | 0.97 | −0.982 | 0.961 | 0.961 | 0.963 | 0.999 * |
| Root2 | 0.903 | 0.973 | −0.984 | 0.965 | 0.965 | 0.967 | 1.000 * |
| RS2 | −0.815 | −0.918 | 0.939 | −0.905 | −0.905 | −0.908 | −0.981 |
| RAP | AN | pH | OM | OC | TN | CN | |
|---|---|---|---|---|---|---|---|
| POD | 0.245 | 0.442 | −0.493 | 0.414 | 0.414 | 0.421 | 0.621 |
| CAT | 0.908 | 0.975 | −0.987 | 0.968 | 0.968 | 0.97 | 1.000 ** |
| APX | 0.327 | 0.518 | −0.566 | 0.49 | 0.49 | 0.497 | 0.686 |
| SOD | 0.64 | 0.787 | −0.821 | 0.767 | 0.767 | 0.771 | 0.899 |
| AsA | 0.713 | 0.55 | −0.501 | 0.576 | 0.577 | 0.57 | 0.362 |
| GSH | −0.8 | −0.658 | 0.613 | −0.681 | −0.681 | −0.676 | −0.484 |
| RAP | AN | pH | OM | OC | TN | CN | |
|---|---|---|---|---|---|---|---|
| Fv/Fm | 0.877 | 0.958 | −0.973 | 0.949 | 0.949 | 0.951 | 0.997 * |
| Fo | 0.989 | 0.998 * | −0.992 | 0.999 * | 0.999 * | 0.999 * | 0.962 |
| Fm | 0.959 | 0.997 * | −1.000 * | 0.994 | 0.994 | 0.995 | 0.991 |
| F | 0.994 | 0.995 | −0.988 | 0.998 * | 0.998 * | 0.997 * | 0.953 |
| Fo’ | 0.997 | 0.958 | −0.94 | 0.967 | 0.967 | 0.965 | 0.877 |
| Fm’ | 1.000 ** | 0.978 | −0.964 | 0.984 | 0.984 | 0.983 | 0.912 |
| ~Fo’ | 1.000 ** | 0.977 | −0.963 | 0.983 | 0.983 | 0.982 | 0.91 |
| Y(II) | 0.879 | 0.76 | −0.721 | 0.78 | 0.78 | 0.776 | 0.606 |
| Y(NPQ) | −0.45 | −0.253 | 0.197 | −0.284 | −0.284 | −0.277 | −0.044 |
| Y(NO) | −0.632 | −0.78 | 0.815 | −0.76 | −0.76 | −0.765 | −0.894 |
| NPQ | 0.032 | 0.24 | −0.296 | 0.21 | 0.21 | 0.217 | 0.44 |
| qN | −0.747 | −0.591 | 0.544 | −0.616 | −0.616 | −0.61 | −0.408 |
| qP | 0.622 | 0.445 | −0.392 | 0.473 | 0.473 | 0.466 | 0.246 |
| qL | 0.563 | 0.378 | −0.324 | 0.407 | 0.407 | 0.4 | 0.174 |
| ETR | 0.879 | 0.761 | −0.722 | 0.781 | 0.781 | 0.776 | 0.607 |
Disclaimer/Publisher’s Note: The statements, opinions and data contained in all publications are solely those of the individual author(s) and contributor(s) and not of MDPI and/or the editor(s). MDPI and/or the editor(s) disclaim responsibility for any injury to people or property resulting from any ideas, methods, instructions or products referred to in the content. |
© 2025 by the authors. Licensee MDPI, Basel, Switzerland. This article is an open access article distributed under the terms and conditions of the Creative Commons Attribution (CC BY) license (https://creativecommons.org/licenses/by/4.0/).
Share and Cite
Zhou, H.; Zhao, L.; Song, Y.; Du, X.; Huo, J.; Mei, W.; Wang, X.; Feng, N.; Zheng, D.; Wu, Z. Changes in Antioxidant and Photosynthetic Capacity in Rice Under Different Substrates. Biology 2025, 14, 34. https://doi.org/10.3390/biology14010034
Zhou H, Zhao L, Song Y, Du X, Huo J, Mei W, Wang X, Feng N, Zheng D, Wu Z. Changes in Antioxidant and Photosynthetic Capacity in Rice Under Different Substrates. Biology. 2025; 14(1):34. https://doi.org/10.3390/biology14010034
Chicago/Turabian StyleZhou, Hang, Liming Zhao, Yiwen Song, Xiaole Du, Jingxin Huo, Wanqi Mei, Xi Wang, Naijie Feng, Dianfeng Zheng, and Zhaohui Wu. 2025. "Changes in Antioxidant and Photosynthetic Capacity in Rice Under Different Substrates" Biology 14, no. 1: 34. https://doi.org/10.3390/biology14010034
APA StyleZhou, H., Zhao, L., Song, Y., Du, X., Huo, J., Mei, W., Wang, X., Feng, N., Zheng, D., & Wu, Z. (2025). Changes in Antioxidant and Photosynthetic Capacity in Rice Under Different Substrates. Biology, 14(1), 34. https://doi.org/10.3390/biology14010034

