Overexpression of bmp4, dazl, nanos3 and sycp2 in Hu Sheep Leydig Cells Using CRISPR/dcas9 System Promoted Male Germ Cell Related Gene Expression
Abstract
:Simple Summary
Abstract
1. Introduction
2. Materials and Methods
2.1. Animals and Sample Collection
2.2. Total RNA Extraction and qPCR
2.3. Protein Isolation and Western Blot
2.4. Tissue Immunohistochemistry and Cellular Immunofluorescence
2.5. Plasmid Construction and Synthesis of bmp4, dazl, nanos3 and sycp2
2.6. Cell Isolation Culture and Transfection
2.7. Data Analysis
3. Results
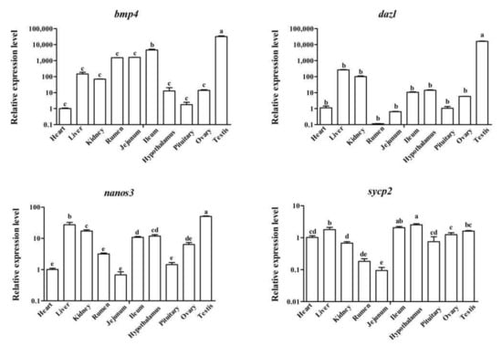
3.1. The Expression of bmp4, dazl, nanos3 and sycp2 in Sheep Testicular Development
3.2. Location Analysis of bmp4, dazl, nanos3 and sycp2 in Sheep Testis
3.3. The Expression of bmp4, dazl, nanos3 and sycp2 in Sheep Leydig Cells
3.4. sgRNA Transfection and Screening of bmp4, dazl, nanos3 and sycp2
3.5. In Vitro Overexpression of bmp4, dazl, nanos3 and sycp2 in Sheep Leydig Cells
4. Discussion
5. Conclusions
Supplementary Materials
Author Contributions
Funding
Institutional Review Board Statement
Informed Consent Statement
Data Availability Statement
Acknowledgments
Conflicts of Interest
References
- Pathak, U.I.; Gabrielsen, J.S.; Lipshultz, L.I. Cutting-edge evaluation of male infertility. Urol. Clin. N. Am. 2020, 47, 129–138. [Google Scholar] [CrossRef]
- Inhorn, M.C.; Patrizio, P. Infertility around the globe: New thinking on gender, reproductive technologies and global movements in the 21st century. Hum. Reprod. Update 2015, 21, 411–426. [Google Scholar] [CrossRef] [Green Version]
- Stukenborg, J.-B.; Kjartansdóttir, K.R.; Reda, A.; Colon, E.; Albersmeier, J.P.; Söder, O. Male germ cell development in humans. Horm. Res. Paediatr. 2014, 81, 2–12. [Google Scholar] [CrossRef]
- Li, L.; Yang, R.; Yin, C.; Kee, K. Studying human reproductive biology through single-cell analysis and in vitro differentiation of stem cells into germ cell-like cells. Hum. Reprod. Update 2020, 26, 670–688. [Google Scholar] [CrossRef]
- Zhao, N.; Sheng, M.; Wang, X.; Li, Y.; Farzaneh, M. Differentiation of human induced pluripotent stem cells into male germ cells. Curr. Stem Cell Res. Ther. 2021, 16, 622–629. [Google Scholar] [CrossRef]
- Sakai, Y.; Nakamura, T.; Okamoto, I.; Gyobu-Motani, S.; Ohta, H.; Yabuta, Y.; Tsukiyama, T.; Iwatani, C.; Tsuchiya, H.; Ema, M.; et al. Induction of the germ cell fate from pluripotent stem cells in cynomolgus monkeys. Biol. Reprod. 2020, 102, 620–638. [Google Scholar] [CrossRef]
- Zhou, Q.; Wang, M.; Yuan, Y.; Wang, X.; Fu, R.; Wan, H.; Xie, M.; Liu, M.; Guo, X.; Zheng, Y.; et al. Complete meiosis from embryonic stem cell-derived germ cells in vitro. Cell Stem Cell 2016, 18, 330–340. [Google Scholar] [CrossRef] [Green Version]
- Yu, Z.; Ji, P.; Cao, J.; Zhu, S.; Li, Y.; Zheng, L.; Chen, X.; Feng, L. Dazl promotes germ cell differentiation from embryonic stem cells. J. Mol. Cell Biol. 2009, 1, 93–103. [Google Scholar] [CrossRef] [Green Version]
- Wang, M.; Liu, X.; Chang, G.; Chen, Y.; An, G.; Yan, L.; Gao, S.; Xu, Y.; Cui, Y.; Dong, J.; et al. Single-cell RNA sequencing analysis reveals sequential cell fate transition during human spermatogenesis. Cell Stem Cell 2018, 23, 599–614. [Google Scholar] [CrossRef] [Green Version]
- Hermann, B.P.; Cheng, K.; Singh, A.; Roa-De La Cruz, L.; Mutoji, K.N.; Chen, I.C.; Gildersleeve, H.; Lehle, J.D.; Mayo, M.; Westernströer, B.; et al. The mammalian spermatogenesis single-cell transcriptome, from spermatogonial stem cells to spermatids. Cell Rep. 2018, 25, 1650–1667. [Google Scholar] [CrossRef] [Green Version]
- Yang, H.; Ma, J.; Wan, Z.; Wang, Q.; Wang, Z.; Zhao, J.; Wang, F.; Zhang, Y. Characterization of sheep spermatogenesis through single-cell rna sequencing. FASEB J. 2021, 35, e21187. [Google Scholar] [CrossRef]
- Zuo, Q.; Jin, K.; Wang, M.; Zhang, Y.; Chen, G.; Li, B. BMP4 activates the Wnt-Lin28A-Blimp1-Wnt pathway to promote primordial germ cell formation via altering H3K4me2. J. Cell Sci. 2021, 134, jcs249375. [Google Scholar] [CrossRef]
- Zuo, Q.; Jing, J.; Zhou, J.; Zhang, Y.; Wei, W.; Chen, G.; Li, B. Dual regulatory actions of LncBMP4 on BMP4 promote chicken primordial germ cell formation. EMBO Rep. 2021, 23, e52491. [Google Scholar] [CrossRef]
- Yuan, Z.; Luo, J.; Wang, L.; Li, F.; Li, W.; Yue, X. Expression of DAZL gene in selected tissues and association of its polymorphisms with testicular size in Hu sheep. Animals 2020, 10, 740. [Google Scholar] [CrossRef]
- Li, T.; Wang, X.; Zhang, H.; Chen, H.; Liu, N.; Xue, R.; Zhao, X.; Ma, Y. Gene expression patterns and protein cellular localization suggest a novel role for DAZL in developing Tibetan sheep testes. Gene 2020, 731, 144335. [Google Scholar] [CrossRef]
- Zhao, J.; Yang, H.; Deng, M.; Ma, J.; Wang, Z.; Meng, F.; Wang, F.; Zhang, Y.-L. Expression pattern and potential role of Nanos3 in regulating testosterone biosynthesis in Leydig cells of sheep. Theriogenology 2020, 154, 31–42. [Google Scholar]
- Sun, J.; Lin, Y.; Wu, J. Long non-coding RNA expression profiling of mouse testis during postnatal development. PLoS ONE 2013, 8, e75750. [Google Scholar] [CrossRef]
- Li, P.-Z.; Yan, G.-Y.; Han, L.; Pang, J.; Zhong, B.-S.; Zhang, G.-M.; Wang, F.; Zhang, Y.-L. Overexpression of STRA8, BOULE, and DAZL genes promotes goat bone marrow-derived mesenchymal stem cells in vitro transdifferentiation toward putative male germ cells. Reprod. Sci. 2017, 24, 300–312. [Google Scholar] [CrossRef]
- Zhang, Y.-L.; Li, P.-Z.; Pang, J.; Wan, Y.-J.; Zhang, G.-M.; Fan, Y.-X.; Wang, Z.-Y.; Tao, N.-H.; Wang, F. Induction of goat bone marrow mesenchymal stem cells into putative male germ cells using mRNA for STRA8, BOULE and DAZL. Cytotechnology 2019, 71, 563–572. [Google Scholar]
- Li, B.; Liu, W.; Zhuang, M.; Li, N.; Wu, S.; Pan, S.; Hua, J. Overexpression of CD61 promotes hUC-MSC differentiation into male germ-like cells. Cell Prolif. 2016, 49, 36–47. [Google Scholar]
- Zhang, M.; Ji, J.; Wang, X.; Zhang, X.; Zhang, Y.; Li, Y.; Wang, X.; Li, X.; Ban, Q.; Ye, S.-D. The transcription factor Tfcp2l1 promotes primordial germ cell-like cell specification of pluripotent stem cells. J. Biol. Chem. 2021, 297, 101217. [Google Scholar] [CrossRef]
- Panula, S.; Medrano, J.V.; Kee, K.; Bergström, R.; Nguyen, H.N.; Byers, B.; Wilson, K.D.; Wu, J.C.; Simon, C.; Hovatta, O.; et al. Human germ cell differentiation from fetal- and adult-derived induced pluripotent stem cells. Hum. Mol. Genet. 2011, 20, 752–762. [Google Scholar] [CrossRef]
- Kee, K.; Angeles, V.T.; Flores, M.; Nguyen, H.N.; Reijo Pera, R.A. Human DAZL, DAZ and BOULE genes modulate primordial germ-cell and haploid gamete formation. Nature 2009, 462, 222–225. [Google Scholar] [CrossRef]
- Nayernia, K.; Nolte, J.; Michelmann, H.W.; Lee, J.H.; Rathsack, K.; Drusenheimer, N.; Dev, A.; Wulf, G.; Ehrmann, I.E.; Elliott, D.J.; et al. In vitro-differentiated embryonic stem cells give rise to male gametes that can generate offspring mice. Dev. Cell 2006, 11, 125–132. [Google Scholar] [CrossRef] [Green Version]
- Murakami, K.; Günesdogan, U.; Zylicz, J.J.; Tang, W.W.C.; Sengupta, R.; Kobayashi, T.; Kim, S.; Butler, R.; Dietmann, S.; Surani, M.A. NANOG alone induces germ cells in primed epiblast in vitro by activation of enhancers. Nature 2016, 529, 403–407. [Google Scholar] [CrossRef] [Green Version]
- Yang, S.; Yuan, Q.; Niu, M.; Hou, J.; Zhu, Z.; Sun, M.; Li, Z.; He, Z. BMP4 promotes mouse iPS cell differentiation to male germ cells via Smad1/5, Gata4, Id1 and Id2. Reproduction 2017, 153, 211–220. [Google Scholar] [CrossRef]
- Makoolati, Z.; Movahedin, M.; Forouzandeh-Moghadam, M. Bone morphogenetic protein 4 is an efficient inducer for mouse embryonic stem cell differentiation into primordial germ cell. In Vitro Cell Dev. Biol. Anim. 2011, 47, 391–398. [Google Scholar] [CrossRef]
- Makoolati, Z.; Movahedin, M.; Forouzandeh-Moghadam, M.; Naghdi, M.; Koruji, M. Embryonic stem cell derived germ cells induce spermatogenesis after transplantation into the testes of an adult mouse azoospermia model. Clin. Sci. 2017, 131, 2381–2395. [Google Scholar] [CrossRef]
- Pellegrini, M.; Grimaldi, P.; Rossi, P.; Geremia, R.; Dolci, S. Developmental expression of BMP4/ALK3/SMAD5 signaling pathway in the mouse testis: A potential role of BMP4 in spermatogonia differentiation. J. Cell Sci. 2003, 116, 3363–3372. [Google Scholar] [CrossRef] [Green Version]
- Hu, J.; Chen, Y.-X.; Wang, D.; Qi, X.; Li, T.-G.; Hao, J.; Mishina, Y.; Garbers, D.L.; Zhao, G.-Q. Developmental expression and function of Bmp4 in spermatogenesis and in maintaining epididymal integrity. Dev. Biol. 2004, 276, 158–171. [Google Scholar] [CrossRef] [Green Version]
- Julaton, V.T.A.; Reijo Pera, R.A. NANOS3 function in human germ cell development. Hum. Mol. Genet. 2011, 20, 2238–2250. [Google Scholar] [CrossRef] [PubMed] [Green Version]
- Lee, M.-H.; Lin, C.-C.; Thomas, J.L.; Li, J.-A.; Lin, H.-Y. Cellular reprogramming with multigene activation by the delivery of CRISPR/dCas9 ribonucleoproteins via magnetic peptide-imprinted chitosan nanoparticles. Mater. Today Bio 2021, 9, 100091. [Google Scholar] [CrossRef] [PubMed]
- Agne, M.; Blank, I.; Emhardt, A.J.; Gäbelein, C.G.; Gawlas, F.; Gillich, N.; Gonschorek, P.; Juretschke, T.J.; Krämer, S.D.; Louis, N.; et al. Modularized CRISPR/dCas9 effector toolkit for target-specific gene regulation. ACS Synth. Biol. 2014, 3, 986–989. [Google Scholar] [CrossRef] [PubMed]
- Huang, H.; Zhong, L.; Zhou, J.; Hou, Y.; Zhang, Z.; Xing, X.; Sun, J. Leydig-like cells derived from reprogrammed human foreskin fibroblasts by CRISPR/dCas9 increase the level of serum testosterone in castrated male rats. J. Cell. Mol. Med. 2020, 24, 3971–3981. [Google Scholar] [CrossRef]
- Shi, L.; Song, R.; Yao, X.; Ren, Y. Effects of selenium on the proliferation, apoptosis and testosterone production of sheep Leydig cells in vitro. Theriogenology 2017, 93, 24–32. [Google Scholar] [CrossRef]
- Wen, L.; Liu, Q.; Xu, J.; Liu, X.; Shi, C.; Yang, Z.; Zhang, Y.; Xu, H.; Liu, J.; Yang, H.; et al. Recent advances in mammalian reproductive biology. Sci. China Life Sci. 2020, 63, 18–58. [Google Scholar] [CrossRef]
- Park, S.; Shimada, K.; Fujihara, Y.; Xu, Z.; Shimada, K.; Larasati, T.; Pratiwi, P.; Matzuk, R.M.; Devlin, D.J.; Yu, Z.; et al. CRISPR/Cas9-mediated genome-edited mice reveal 10 testis-enriched genes are dispensable for male fecundity. Biol. Reprod. 2020, 103, 195–204. [Google Scholar] [CrossRef]
- Lu, Y.; Oura, S.; Matsumura, T.; Oji, A.; Sakurai, N.; Fujihara, Y.; Shimada, K.; Miyata, H.; Tobita, T.; Noda, T.; et al. CCRISPR/Cas9-mediated genome editing reveals 30 testis-enriched genes dispensable for male fertility in mice. Biol. Reprod. 2019, 101, 501–511. [Google Scholar] [CrossRef]
- Tan, K.; Wilkinson, M.F. A single-cell view of spermatogonial stem cells. Curr. Opin. Cell Biol. 2020, 67, 71–78. [Google Scholar] [CrossRef]
- Wen, L.; Tang, F. Human germline cell development: From the perspective of single-cell sequencing. Mol. Cell 2019, 76, 320–328. [Google Scholar] [CrossRef]
- Suzuki, S.; Diaz, V.D.; Hermann, B.P. What has single-cell RNA-seq taught us about mammalian spermatogenesis? Biol. Reprod. 2019, 101, 617–634. [Google Scholar] [CrossRef] [PubMed]
- Rossi, P.; Dolci, S. Paracrine mechanisms involved in the control of early stages of Mammalian spermatogenesis. Front. Endocrinol. 2013, 4, 181. [Google Scholar] [CrossRef] [PubMed] [Green Version]
- Khanehzad, M.; Abbaszadeh, R.; Holakuyee, M.; Modarressi, M.H.; Nourashrafeddin, S.M. FSH regulates RA signaling to commit spermatogonia into differentiation pathway and meiosis. Reprod. Biol. Endocrinol. 2021, 19, 4. [Google Scholar] [CrossRef]
- Fu, X.-F.; Cheng, S.-F.; Wang, L.-Q.; Yin, S.; De Felici, M.; Shen, W. DAZ family proteins, key players for germ cell development. Int. J. Biol. Sci. 2015, 11, 1226–1235. [Google Scholar] [CrossRef] [Green Version]
- Niu, Z.; Hu, Y.; Liao, M.; Yu, M.; Zhu, H.; Wang, L.; Wu, J.; Bai, C.; Li, G.; Hua, J. Conservation and function of Dazl in promoting the meiosis of goat male germline stem cells. Mol. Biol. Rep. 2014, 41, 2697–2707. [Google Scholar] [CrossRef]
- Suzuki, H.; Tsuda, M.; Kiso, M.; Saga, Y. Nanos3 maintains the germ cell lineage in the mouse by suppressing both Bax-dependent and -independent apoptotic pathways. Dev. Biol. 2008, 318, 133–142. [Google Scholar] [CrossRef] [Green Version]
- Han, K.; Chen, S.; Cai, M.; Jiang, Y.; Zhang, Z.; Wang, Y. Nanos3 not nanos1 and nanos2 is a germ cell marker gene in large yellow croaker during embryogenesis. Comp. Biochem. Physiol. B Biochem. Mol. Biol. 2018, 218, 13–22. [Google Scholar] [CrossRef]
- Lolicato, F.; Marino, R.; Paronetto, M.P.; Pellegrini, M.; Dolci, S.; Geremia, R.; Grimaldi, P. Potential role of Nanos3 in maintaining the undifferentiated spermatogonia population. Dev. Biol. 2008, 313, 725–738. [Google Scholar] [CrossRef]
- Fraune, J.; Alsheimer, M.; Redolfi, J.; Brochier-Armanet, C.; Benavente, R. Protein SYCP2 is an ancient component of the metazoan synaptonemal complex. Cytogenet. Genome Res. 2014, 144, 299–305. [Google Scholar] [CrossRef]
- Yoshimatsu, S.; Sato, T.; Yamamoto, M.; Sasaki, E.; Nakajima, M.; Nakamura, M.; Shiozawa, S.; Noce, T.; Okano, H. Generation of a male common marmoset embryonic stem cell line DSY127-BV8VT1 carrying double reporters specific for the germ cell linage using the CRISPR-Cas9 and PiggyBac transposase systems. Stem Cell Res. 2020, 44, 101740. [Google Scholar] [CrossRef]
- Mulder, C.L.; Zheng, Y.; Jan, S.Z.; Struijk, R.B.; Repping, S.; Hamer, G.; van Pelt, A.M.M. Spermatogonial stem cell autotransplantation and germline genomic editing: A future cure for spermatogenic failure and prevention of transmission of genomic diseases. Hum. Reprod. Update 2016, 22, 561–573. [Google Scholar] [CrossRef] [PubMed]
- Zuo, Q.; Jin, K.; Wang, Y.; Song, J.; Zhang, Y.; Li, B. CRISPR/Cas9-mediated deletion of C1EIS inhibits chicken embryonic stem cell differentiation into male germ cells (Gallus gallus). J. Cell. Biochem. 2017, 118, 2380–2386. [Google Scholar] [CrossRef] [PubMed]
- Zhang, Y.; Wang, Y.; Zuo, Q.; Li, D.; Zhang, W.; Wang, F.; Ji, Y.; Jin, J.; Lu, Z.; Wang, M.; et al. CRISPR/Cas9 mediated chicken Stra8 gene knockout and inhibition of male germ cell differentiation. PLoS ONE 2017, 12, e0172207. [Google Scholar] [CrossRef] [PubMed]
- Liu, Z.; Liao, Z.; Chen, Y.; Han, L.; Yin, Q.; Xiao, H. Application of various delivery methods for CRISPR/dCas9. Mol. Biotechnol. 2020, 62, 355–363. [Google Scholar] [CrossRef] [PubMed]
- Hsu, M.-N.; Chang, Y.-H.; Truong, V.A.; Lai, P.-L.; Nguyen, T.K.N.; Hu, Y.-C. CRISPR technologies for stem cell engineering and regenerative medicine. Biotechnol. Adv. 2019, 37, 107447. [Google Scholar] [CrossRef] [PubMed]






| Primer Name | Primer Sequence | Product Length/bp |
|---|---|---|
| gapdh | F: GTCAAGGCAGAGAACGGGAA | |
| R: GGTTCACGCCCATCACAAAC | 232 | |
| bmp4 | F: CACCTCCATCAGACACGGAC | |
| R: CCAGTCATTCCAGCCCACAT | 258 | |
| dazl | F: GAGACTCCAAACTCAGCCGT | |
| R: TAGCCTTTGGACACACCAGT | 227 | |
| nanos3 | F: GACCTTCAACCTGTGGACAGAC | |
| R: CGGTTCTGGCACTGCTTCT | 258 | |
| sycp2 | F: TTGGAAAGGGCACAACCAAG | |
| R: TGCTCTTCGTGGAAGTCTGG | 105 |
| Antibody Name | Catalog No. | Dilution | Source |
|---|---|---|---|
| Gapdh | Proteintech-1E6D9 | 1:10,000 | Mouse |
| Bmp4 | Affinity-DF6461 | 1:500 | Rabbit |
| Dazl | Abcam-ab215718 | 1:1000 | Rabbit |
| Nanos3 | Abcam-ab70001 | 1:500 | Rabbit |
| Sycp2 | Affinity-DF2578 | 1:500 | Rabbit |
| Gene Name | sgRNA Sequence |
|---|---|
| bmp4 | Target 1: TTTCACCGCCCGCCTCGGGG |
| Target 2: TATGAGTCACGTGAGCGCAG | |
| Target 3: CTCTGGATGGCACTACGGAA | |
| dazl | Target 1: TCAGCGTCCCGGCCACCCCA |
| Target 2: GCCGCGCTTGCCTGTCCTGG | |
| nanos3 | Target 1: TCTTGGAGGACCGGCTTAGG |
| Target 2: GCTCTAGAGGGAGGGTCCTA | |
| sycp2 | Target 1: AGTAATAAAGACTTTCTCCT |
| Target 2: TGAATGAAGTTCCAATTCCA |
Publisher’s Note: MDPI stays neutral with regard to jurisdictional claims in published maps and institutional affiliations. |
© 2022 by the authors. Licensee MDPI, Basel, Switzerland. This article is an open access article distributed under the terms and conditions of the Creative Commons Attribution (CC BY) license (https://creativecommons.org/licenses/by/4.0/).
Share and Cite
Yang, H.; Deng, M.; Lv, W.; Wei, Z.; Cai, Y.; Cheng, P.; Wang, F.; Zhang, Y. Overexpression of bmp4, dazl, nanos3 and sycp2 in Hu Sheep Leydig Cells Using CRISPR/dcas9 System Promoted Male Germ Cell Related Gene Expression. Biology 2022, 11, 289. https://doi.org/10.3390/biology11020289
Yang H, Deng M, Lv W, Wei Z, Cai Y, Cheng P, Wang F, Zhang Y. Overexpression of bmp4, dazl, nanos3 and sycp2 in Hu Sheep Leydig Cells Using CRISPR/dcas9 System Promoted Male Germ Cell Related Gene Expression. Biology. 2022; 11(2):289. https://doi.org/10.3390/biology11020289
Chicago/Turabian StyleYang, Hua, Mingtian Deng, Wenli Lv, Zongyou Wei, Yu Cai, Peiyong Cheng, Feng Wang, and Yanli Zhang. 2022. "Overexpression of bmp4, dazl, nanos3 and sycp2 in Hu Sheep Leydig Cells Using CRISPR/dcas9 System Promoted Male Germ Cell Related Gene Expression" Biology 11, no. 2: 289. https://doi.org/10.3390/biology11020289
APA StyleYang, H., Deng, M., Lv, W., Wei, Z., Cai, Y., Cheng, P., Wang, F., & Zhang, Y. (2022). Overexpression of bmp4, dazl, nanos3 and sycp2 in Hu Sheep Leydig Cells Using CRISPR/dcas9 System Promoted Male Germ Cell Related Gene Expression. Biology, 11(2), 289. https://doi.org/10.3390/biology11020289

