Simple Summary
Body fat has been reported to be related to a higher risk of fatty liver disease (FLD). However, few studies have explored the mediating roles of inflammatory biomarkers or adipokines on the relationships. This study examined the potential mediating effects of high sensitivity C-reactive protein (hsCRP), tumor necrosis factor-α (TNF-α) and adiponectin (APN) in relationships between body fat and FLD in overweight and obese adults. Additionally, gender and age differences were demonstrated. It was concluded that hsCRP has a significant mediating effect on the association between body fat percentage and FLD in females independent of potential covariates. It was also demonstrated that the mediation effect of hsCRP was only significant and more profound in relatively older adults (36–56 years, 38.3%), not significant in the young ones (19–35 years). TNF-α and APN were not significantly associated with body fat percentage or FLD, with no mediating effect on the association between body fat percentage and FLD observed in either gender. In conclusion, hsCRP was a potential mediator on the association between adiposity and FLD, and this mediation is gender-specific and age-specific. The authors hope that the findings could contribute to the further exploration of the inflammatory-related mechanism of obesity-associated FLD.
Abstract
Body fat has been reported to be associated with a higher risk of fatty liver disease (FLD). However, few studies have explored the mediating roles of an inflammatory biomarker or adipokine on the relationships. Here, we examined the potential mediating roles of high sensitivity C-reactive protein (hsCRP), tumor necrosis factor-α (TNF-α) and adiponectin (APN) in relationships between body fat and FLD in overweight and obese adults. Additionally, gender differences will be investigated. In total, 1221 participants aged 19–56 years were included in our study. Body fat percentage was measured with Dual Energy X-ray Absorptiometry (DEXA) and FLD by abdominal ultrasound. Mediation analysis was performed to assess the mediating effect of hsCRP, TNF-α and APN on the associations between BF (%) and FLD by gender differences. We found that hsCRP was significantly associated with body fat percentage in both genders (b = 0.2014, p < 0.0001 and b = 0.1804, p < 0.0001 for male and female, respectively), while hsCRP was associated with FLD only in the female group (b = 0.1609, p = 0.0109) but not in male group (b = 0.4800, p = 0.0603). We observed that hsCRP has a significant mediating effect on the association between body fat percentage and FLD (b = 0.0290, p = 0.0201, mediation ratio: 13.6%) in the female group independent of potential covariates (age, smoking, alcohol drinking and physical activity). TNF-α was not significantly associated with body fat percentage or FLD, with no mediating effect on the association between body fat percentage and FLD in either gender. In conclusion, there is a gender-specific mediation role of hsCRP in the association between body fat and FLD. HsCRP was a potential mediator on the association between adiposity and FLD in the female gender, but not in the male gender. Higher body fat was associated with a higher risk of FLD, and the inflammation level might play a potential mediating role in the association between body fat and FLD among female overweight and obese adults.
1. Introduction
Fatty liver disease (FLD), which is defined as lipid accumulation exceeding the normal range of 5% of liver wet weight, often occurs in patients with other conditions, such as obesity and type 2 diabetes []. FLD is usually classified as nonalcoholic fatty liver disease (NAFLD) and alcoholic liver disease (ALD) [,]. A previous study suggests that being overweight plays an even greater role in liver fat accumulation than heavy drinking []. From the global perspective, it was estimated in 2018 that about 25% of the world population had NAFLD []. The prevalence of FLD in China was estimated to be 16.73% (95%CI: 13.92–19.53%) in a systematic review in 2015 []. Notably, a recent meta-analysis reported that the prevalence of NAFLD in China was 29.2% in 2018 [], much higher than even the same year global prevalence of NAFLD (25%) []. In recent years, with changes in lifestyle and dietary habits, the incidence of FLD has risen sharply. The prevalence of FLD ranged from 12.5% to 27.3% [,], becoming the most common chronic liver disease in China []. Therefore, it is important to identify risk factors or correlates for FLD in Chinese populations.
Accumulating evidence has shown that FLD is closely related to obesity and fat accumulation, especially for NAFLD [,,,]. Numerous epidemiology and animal studies have indicated that a higher body fat percentage is significantly associated with an elevated risk of FLD [,,,]. However, until now, the pathogenesis of obesity-related FLD remains unclear. Previous researchers speculated several hypotheses of mechanisms of obesity-related FLD progression, including insulin resistance, low-grade inflammation and intestinal microbiota, etc. [,,,]. Among these mechanisms, one important potential mechanism is chronic low-grade inflammation status induced by abnormal or excessive body fat accumulation [,]. In reality, adipose tissue is not only a main place to store excessive energy but also an important but usually neglected endocrine organ []. It can secrete a number of adipokines, including pro-inflammatory biomarkers (tumor necrosis factor-α, TNF-α, etc.) and anti-inflammatory biomarkers (Adiponectin, APN, etc.), and also it can indirectly regulate the inflammation status (C-reaction protein, CRP) []. Pro-inflammatory cytokines/chemokines are considered to be important biomarkers of adipose inflammation. Tumor necrosis factor-α (TNF-α) is an effective pro-inflammatory cytokine secreted by the macrophages and adipocytes, especially visceral adipose tissue. These cytokines are directly involved in insulin and glucose metabolism, and induce insulin resistance and stimulate lipolysis []. The liver is an important secretion organ for biomarkers of inflammation and endothelial dysfunction. TNF-α can induce the expression of high sensitivity C-reactive protein (hsCRP), fibrinogen and other acute-phase proteins [,]. It has been demonstrated that patients with NAFLD have elevated levels of fibrinogen and hsCRP []. In addition, previous studies have shown that TNF-α plays an important role in the development and progress of FLD [,]. Adiponectin is an anti-inflammatory adipocytokine. In the liver, adiponectin acts by activating 5-AMP-activated protein kinases and peroxisome proliferator-activated receptor-α pathways, as well as inhibiting Toll-like receptor-4 mediated signaling []. There is evidence that adiponectin decreases hepatic and systemic IR and attenuates liver inflammation and fibrosis [,].
The adipose tissue depots of overweight and obese participants are usually expanded, coupled with hyperplasia and hypertrophy []. When adipose tissue expands, there is a sustained inflammatory response, accompanied by adipokine dysregulation, leading to chronic subclinical inflammation and insulin resistance []. On the other hand, the relationships between TNF-α, APN, hs-CRP and FLD are also demonstrated in epidemiology studies and animal studies [,,,,,]. However, inflammation status as a potentially important link between obesity and FLD and the specific mediation role or effect of key inflammatory biomarkers (hs-CRP, TNF-α and APN) between the association of obesity and FLD have not been explored.
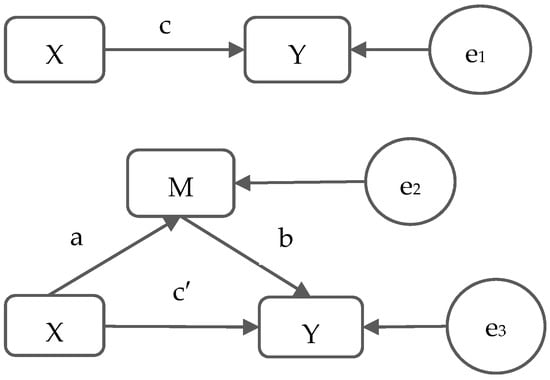
Therefore, we hypothesize that hsCRP, TNF-α and APN might function as mediation factors in the association between adiposity and risk of FLD (Figure 1), and considering the sex difference of fat distribution and risk of FLD [,], we speculate that the mediating effect might be gender-specific. To test the hypothesis, this present study aimed to demonstrate the mediation roles of APN, TNF-α and hsCRP on the relationships between body fat and FLD, as well as the possible gender differences.

Figure 1.
The relationship between obesity and fatty liver disease.
2. Materials and Methods
2.1. Participants
Chinese residents living in Beijing for ≥1 year, aged 19–56 years old, and categorized as overweight or obese were invited to participate in this study. In relation to the inclusion and exclusion criteria, finally, one thousand and two hundred twenty-one participants were included (Figure 2) []. This study complied with the Institutional Review Board Statement: The study was conducted according to the guidelines of the Declaration of Helsinki and approved by the Peking University Medical Ethics Committee (IRB00001052-13086). All subjects signed and provided informed consent forms. Date of birth, physical activity level, alcohol consumption and cigarette smoking status were investigated using a questionnaire []. Moderate-intensity physical activity was categorized as no (exercise less than once per week) and yes (exercise more than once per week); high-intensity physical activity was categorized as no (exercise less than once per week) and yes (exercise more than once per week) [].

Figure 2.
Flowchart of the study sample selection (dual-energy X-ray absorptiometry, DEXA; hsCRP, high sensitivity C-reactive protein; TNF-α, tumor necrosis factor-α; APN, adiponectin; FLD, Fatty liver disease).
2.2. Anthropometric Measurements
Height and weight were measured by trained and experienced investigators (all were senior medical students) with standardized protocols, which have been described previously []. We measured weight using a standard lever scale to the nearest 0.1 kg; height by a stadiometer to the nearest 0.1 cm. The participants were required to wear light clothing, be barefoot and stand upright, daily calibration of the instrument was performed prior to use. All measurements were conducted twice, and the mean value was used for the final analysis.
2.3. Laboratory Measurements
Blood samples from participants after 8 h of fasting were collected and separated into serum for further analysis. The serum hsCRP levels were measured using immune-turbidimetric assay (Automatic biochemical analyzer AU400, OLYMPUS, Tokyo, Japan) and TNF-α was quantified via enzyme-linked immunosorbent assay (ELISA) reagent kits (R&D Systems Inc., Minneapolis, MI, USA) following the manufacturer’s instructions. Intra-class correlation coefficients [ICC] for the tests are all >0.75, indicating the laboratory tests are relatively stable and reliable. The reference values of hsCRP, TNF-a and adiponectin were 0.02–156 mg/L, 1.6–1000 pg/mL and 10–20,000 ng/mL.
2.4. Body Fat Percentage Measurement
Body fat percentage was measured by dual-energy X-ray absorptiometry (DEXA) method (GE Healthcare, Lunar iDXAME +210205, Madison, WI, USA). The measurement was conducted by a professional and experienced clinical doctor in the hospital according to a standardized protocol.
2.5. Diagnostic Criteria of FLD
The diagnosis of fatty liver was based on the results of real-time ultrasonography (Logiq 180, GE, Wauwatosa, WI, USA) with standard criteria measured by experienced sonographers. The images of the liver were assessed to be normal if the liver exhibited fine level echoes, and was oechoic compared with renal cortex, adequate visualization of the hepatic vessels and diaphragm, and also the texture of liver was homogenous. Fatty liver was diagnosed according to the criteria of the presence of at least 2 of 3 abnormal findings in the abdominal area: (1) diffusely increased echogenicity liver (bright liver with its echogenicity greater than the kidney); (2) vascular blurring; (3) gradual attenuation of ultrasound echo [].
Specifically, hepatorenal echo contrast was diagnosed with the evidence of sonographic contrast between the right kidney cortex along the midaxillary line and the liver. Bright liver was diagnosed by abnormally high-level and intense echoes from the liver parenchyma, and gradual or even deep attenuation was identified by evident attenuation of echo penetration into the deep liver part and impaired or abnormal diaphragm visualization25. Vascular blurring was diagnosed by an impaired or abnormal visualization of the intrahepatic vessels borders and their lumen getting narrow [].
The sensitivity and specificity of abdominal ultrasonography in the diagnosis of FLD were 92% and 100%, respectively [].
2.6. Statistical Analysis
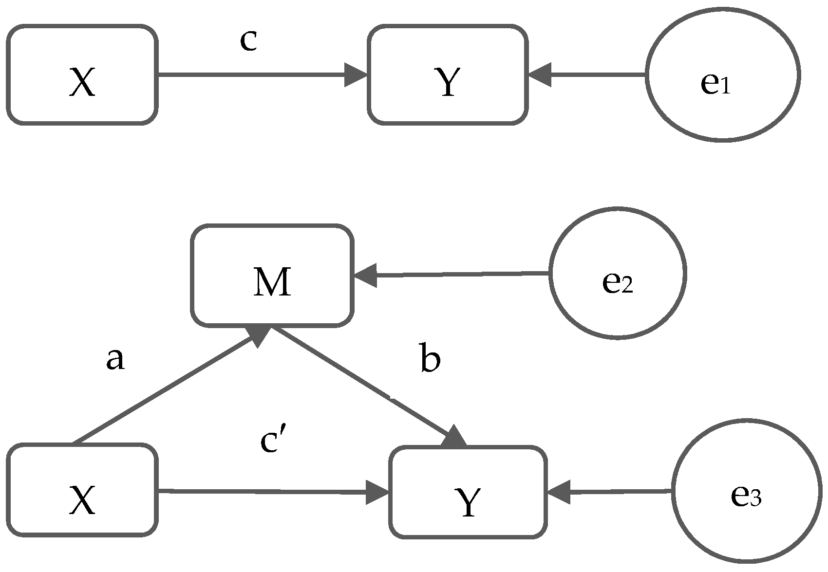
SPSS for Windows (version 20.0, SPSS Inc., Chicago, IL, USA) was used for statistical analysis. The basic characteristics of the participants were described with median (interquartile ranges, IQR), including age, height, weight, BMI, fat mass, skeletal muscle mass, BF (%), hsCRP, TNF-a, and APN. For the continuous variables Mann–Whitney U tests were performed for between-group comparisons. We conducted chi-square tests to compare the categorical variables. The mediating effects of serum hsCRP, TNF-α or APN on the relationship between body fat percentage and FLD were analyzed by SPSS mediating analysis procedures provided by Andrew F. Hayes (http://www.afhayes.com/, accessed on 23 May 2015) []. The proposed mediator (M), independent variable (X) and dependent variable (Y) were standardized to make comparisons. The process of mediation effect analysis was developed according to the mediation theory of Baron R.M. and Kenny D.A. []. Firstly, we used logistic regression analysis to test the total effect (c) of the independent variable X on the dependent variable Y, and then tested the effect (a) of X on the potential mediator M. Subsequently, the effect of M on Y after controlling X (b) and the effect of X and Y after controlling M (c′) were analyzed. If the three coefficients (a, b and c) were statistically significant, then we calculated the product of a and b (indirect effect, a × b) as the mediating effect of M, and performed the Sobel test to test the statistical significance of mediating effect (a × b). The ratio or proportion of mediation effect is the percentage of potential mediation effect in the total effect (a × b/c). The statistical model of mediation analysis is shown in Figure 3. Additionally, we conducted the mediation analysis with further adjustment of skeletal muscle mass as the sensitivity analysis.

Figure 3.
Model of mediation analysis. X means the independent variable (BF(%)), M means the potential mediator (hsCRP or TNF-α), and Y means the dependent variable (FLD). Association c: association between the independent variable (X) and dependent variable (Y). Association a: association between X and potential mediation variable (M). Association b: association between M and Y after controlling for X. Association c′: association between X and Y after controlling for M.
3. Results
3.1. Basic Characteristics of Participants
One thousand and two hundred twenty-one subjects who were overweight or obese were involved in the current study. Table 1 outlines the basic characteristics of the subjects in this study. The median of age, body mass index (BMI) and BF (%) was 33 years vs. 37 years, 29.4 kg/m2 vs. 28.0 kg/m2, 33.8% vs. 41.5% for male and female participants, respectively. Significant gender differences in age, body fat percentage, weight, skeletal muscle mass and BF (%) than the males (p < 0.001). Men had higher weight, height, skeletal muscle mass and BMI than women (p < 0.001). The age, APN and body fat percentage levels of women were higher than men (p < 0.001).

Table 1.
Basic Characteristics of Subjects.
3.2. Relation between Body Fat and Proposed Mediators (a)
Associations between body fat percentage, proposed mediators (including hsCRP, TNF-α and APN), and FLD are shown in Table 2. For hsCRP, both in males and females, hsCRP were significantly associated with BF (%) (a = 0.2014, SE = 0.0439 and a = 0.1804, SE = 0.0295 for males and females, respectively, p < 0.0001). In both males and females, TNF-α and APN were not significantly associated with BF (%) (p > 0.05).

Table 2.
Mediation Analysis in the total population and stratified by genders.
3.3. Relation between Proposed Mediators and FLD (b)
With adjustment of the potential covariates, hsCRP level was significantly related with FLD in the total population (b = 0.1812, SE = 0.0625, p = 0.0037). This association was not statistically significant in males (p > 0.05), while in females, hsCRP was significantly related with FLD (b = 0.1609, SE = 0.0632, p = 0.0109). In both males and females, TNF-α and APN was not significantly related with FLD (p > 0.05).
3.4. Mediation Effect of Proposed Mediators (Indirect Effect, a × b)
We performed mediating analysis to test the mediating effect (indirect effect, a × b) of hsCRP, TNF-α and APN. The results of the mediation analysis of hsCRP, TNF-α and APN are shown in Table 2. In the total population, we found hsCRP had a significant mediating effect on the association between body fat percentage and FLD (c′ = 0.0335, SE = 0.0125, p = 0.0072, mediation ratio: 14.8%). When stratified by gender, we found that the mediating effect was only significant in female participants (c′ = 0.0290, SE = 0.0125, p = 0.0201, mediation ratio: 13.6%) but not significant in males (p > 0.05). When stratified by age group, the significant mediating effect was observed only in participants 36–56 years (c′ = 0.0778, SE = 0.0288, p = 0.0069, mediation ratio: 38.3%, Table 3).

Table 3.
Results of Mediation Analysis stratified by age group.
For TNF-α and APN, no significant mediating effect on the association between body fat percentage and FLD were found in males or females, young adults or older adults (Table 2 and Table 3). Additionally, in the sensitivity analysis with further adjustment of skeletal muscle mass, similar results were observed for the mediation effect of hsCRP on the relationship between BF (%) and risk of FLD (data not shown).
4. Discussion
Our study found significant gender differences regarding the association between hsCRP and risk of FLD in overweight or obese adults; with adjustment of body fat, only in female participants was hsCRP significantly associated with FLD. Subsequently, we observed a significant mediation effect of hsCRP on the association between body fat and FLD which existed only in female subjects, and no significant mediation effects of TNF-α or APN were observed in both genders. However, hsCRP explains only a small proportion of the relationship between body fat and FLD (Total population: 14.8%, Female: 13.6%, 36–56 years: 38.3%). These findings imply hsCRP as a potential pro-inflammatory factor contributing to the development of obesity-related FLD in females and the underlying mechanisms for adiposity-related FLD are likely to be different between females and males.
Our results provided strong positive associations between the pro-inflammatory biomarker (hsCRP) and body fat in both females and males, which is consistent with previous studies [,]. In our study, we used DEXA to measure body fat, which is more precise and accurate than BMI [] or waist-to-height ratio [] as used in previous studies. Therefore, this study would potentially provide a more accurate and better assessment of the associations. Adipocytes are not only fat deposits, but also act as unignorable sites of endocrine secretion, production or regulation, and are substantially involved in the development of low-grade chronic inflammatory status [,]. Adiposity is characterized by lipid accumulation, including triacylglycerol and LDL, which will subsequently trigger cellular stress responses and activate inflammation signaling pathways []. In addition, abnormal lipid accumulation in obesity is usually accompanied by elevated levels of free fatty acids, this can also trigger a pro-inflammatory cascade, which in turn leads to increased secretion of cytokines, thereby promoting an inflammatory environment []. Chronic inflammation status is quite common in the development and persistence of obesity [,]. A recent study found that moderate weight gain was also associated with activation of inflammation []. Several studies have shown that people with higher BMI have higher CRP levels [,], CRP being a typical marker of systemic inflammation, while weight loss reduces CRP levels [,].
We also found that gender differences in the associations between the inflammation biomarkers and FLD with adiposity, age, smoking, and physical activity were adjusted. Irrespective of body fat percentage, hsCRP level was significantly associated with FLD in female subjects. However, we did not observe significant associations between hsCRP and FLD in males. Gender differences in the association between hsCRP and FLD may be related to sex hormones and different dietary habits between men and women []. Previous studies have shown that higher androgen levels in women increase the risk of abdominal obesity and metabolic disorders, while androgen levels in men reduce abdominal obesity, which reduces the risk of FLD []. A recent study showed that the protective effect of high blood copper levels on FLD is limited to men and not women and that the body can supplement blood copper by eating meat, seafood, nuts, seeds, and cereals []. It is possible that the protective effects of androgens and copper on FLD in men mask the association between hsCRP and FLD, which causes the association between hsCRP and FLD to only be observed in women. For the underlying mechanism of the relationship between hsCRP and FLD, it is still unclear. To date, there has been no evidence that hsCRP can directly lead to hepatocyte steatosis. However, a study conducted in America found that patients subjected to biopsy analysis with confirmed nonalcoholic steatohepatitis had significantly higher plasma hsCRP levels than non-obese healthy subjects and overweight individuals without fatty liver []. Additionally, an epidemiology study also showed that NAFLD patients had elevated levels of hsCRP, independent of other metabolic factors []. However, a large number of studies have revealed that CRP plays a direct pathogenic role in vascular injury and acts as an important pro-inflammatory factor in the process of atherosclerosis []. Therefore, the increase in hsCRP level is likely to promote the occurrence of FLD by promoting the injury of sinusoidal endothelial cells. Another potential mechanism for the CRP response in FLD is the increase in cytokines in the acute phase. For example, IL-6 is an effective stimulator of CRP synthesis. Previous studies reported that compared with healthy individuals, patients with simple steatosis and steatohepatitis had significantly higher serum IL-6 [].
For the direct association of TNF-α with BF (%) and FLD, no significant associations were observed in the present study, which is inconsistent with previous studies [,]. There are several possible reasons: first, there is no association between TNF-α with BF (%) and FLD in the current population; second, the sample size was not large enough to provide enough statistical power for us to detect the potential association. Although this result does not necessarily mean that TNF-α is not a mediator between BF (%) and FLD, future larger sample size studies are needed to clarify their associations.
There are several limitations in the current study. Firstly, physical fitness is an important factor for both obesity and fatty liver diseases [,,], which is not investigated in the present study; however, we added physical activity level [] as a covariate in the mediation analysis. Secondly, the present study is a cross-sectional study, and as such only association can be concluded, not causal inference. Future cohort or intervention studies should be conducted to verify the findings. Thirdly, osteocalcin produces a widespread increase in insulin sensitivity, and it could be a potential mediator in the production of adiponectin by adipose tissue []. This could be a potential research direction for our future studies, but unfortunately, we did not have the data of osteocalcin in the present study. Fourthly, because moderate-intensity/high-intensity physical activity was investigated by questionnaires, this could lead to a recall bias, which needs to be defined more accurately in further studies.
5. Conclusions
To conclude, we found that body fat measured by DEXA was significantly associated with a higher risk of FLD in both men and women. Notably, serum hsCRP is a significant mediator in the association between body fat percentage and FLD in females but not in males. These findings provide new research directions for exploring the underlying mechanisms of obesity-related FLD and imply that an anti-inflammatory diet or medicine could be a possible future research direction for overweight or obese women to prevent/control the development or progression of FLD. Additionally, our findings have the potential to improve sex-specific prevention and control strategies for FLD among overweight and obese adults.
Author Contributions
M.X. and Y.Y. conceived and designed the study; Y.Y., Y.D. and H.T. carried the study, collected the data and contributed to data curation; J.M. supervised the field survey; M.X. and Y.Y. analyzed the data; M.X. wrote the manuscript; Y.Y., F.L., S.W. and J.S.B. revised the manuscript. All authors have read and agreed to the published version of the manuscript.
Funding
This study was supported by the National Natural Science Foundation of China (No.81903336, Yide Yang and 82103865, Yanhui Dong), the Hunan Provincial Natural Science Foundation of China (No.2019JJ50376, Yide Yang), Scientific Research Project of Hunan Provincial Health Commission (No.202112031516, Yide Yang), Hunan province college students research learning and innovative experiment project (No. S202110542057, Haokai Tang) and the China Postdoctoral Science Foundation (National Postdoctoral Program for Innovative Talent (BX20200019 and 2020M680266, Yanhui Dong). The funders had no role in the design, analysis or writing of this article.
Institutional Review Board Statement
The study was conducted according to the guidelines of the Declaration of Helsinki and approved by Peking University Medical Ethics Committee (IRB00001052-13086).
Informed Consent Statement
Informed consent was obtained from all subjects involved in the study.
Data Availability Statement
The data generated for this study are available upon reasonable request to the corresponding author (yangyide@hunnu.edu.cn).
Acknowledgments
We want to thank all the participants, as well as the study nurses and clinical doctors who had assisted with recruitment and data collection for our study. There is no conflict of interest for any of the authors.
Conflicts of Interest
The authors declare no conflict of interest.
References
- Baumeister, S.E.; Völzke, H.; Marschall, P.; John, U.; Schmidt, C.O.; Flessa, S.; Alte, D. Impact of fatty liver disease on health care utilization and costs in a general population: A 5-year observation. Gastroenterology 2008, 134, 85–94. [Google Scholar] [CrossRef] [PubMed]
- Stefan, N.; Häring, H.U.; Cusi, K. Non-alcoholic fatty liver disease: Causes, diagnosis, cardiometabolic consequences, and treatment strategies. Lancet Diabetes Endocrinol. 2019, 7, 313–324. [Google Scholar] [CrossRef]
- O’Shea, R.S.; Dasarathy, S.; McCullough, A.J. Alcoholic liver disease. Hepatology 2010, 51, 307–328. [Google Scholar] [CrossRef]
- Bellentani, S.; Saccoccio, G.; Masutti, F.; Crocè, L.S.; Brandi, G.; Sasso, F.; Cristanini, G.; Tiribelli, C. Prevalence of and risk factors for hepatic steatosis in Northern Italy. Ann. Intern. Med. 2000, 132, 112–117. [Google Scholar] [CrossRef]
- Younossi, Z.M.; Koenig, A.B.; Abdelatif, D.; Fazel, Y.; Henry, L.; Wymer, M. Global epidemiology of nonalcoholic fatty liver disease-Meta-analytic assessment of prevalence, incidence, and outcomes. Hepatology 2016, 64, 73–84. [Google Scholar] [CrossRef] [Green Version]
- Zhu, J.Z.; Zhou, Q.Y.; Wang, Y.M.; Dai, Y.N.; Zhu, J.; Yu, C.H.; Li, Y.M. Prevalence of fatty liver disease and the economy in China: A systematic review. World J. Gastroenterol. 2015, 21, 5695–5706. [Google Scholar] [CrossRef]
- Zhou, F.; Zhou, J.; Wang, W.; Zhang, X.J.; Ji, Y.X.; Zhang, P.; She, Z.G.; Zhu, L.; Cai, J.; Li, H. Unexpected Rapid Increase in the Burden of NAFLD in China From 2008 to 2018: A Systematic Review and Meta-Analysis. Hepatology 2019, 70, 1119–1133. [Google Scholar] [CrossRef] [PubMed]
- Younossi, Z.; Tacke, F.; Arrese, M.; Chander Sharma, B.; Mostafa, I.; Bugianesi, E.; Wai-Sun Wong, V.; Yilmaz, Y.; George, J.; Fan, J.; et al. Global Perspectives on Nonalcoholic Fatty Liver Disease and Nonalcoholic Steatohepatitis. Hepatology 2019, 69, 2672–2682. [Google Scholar] [CrossRef] [PubMed] [Green Version]
- Li, H.; Wang, Y.J.; Tan, K.; Zeng, L.; Liu, L.; Liu, F.J.; Zhou, T.Y.; Chen, E.Q.; Tang, H. Prevalence and risk factors of fatty liver disease in Chengdu, Southwest China. Hepatobiliary Pancreat. Dis. Int. HBPD INT 2009, 8, 377–382. [Google Scholar]
- Wong, V.W.; Chu, W.C.; Wong, G.L.; Chan, R.S.; Chim, A.M.; Ong, A.; Yeung, D.K.; Yiu, K.K.; Chu, S.H.; Woo, J.; et al. Prevalence of non-alcoholic fatty liver disease and advanced fibrosis in Hong Kong Chinese: A population study using proton-magnetic resonance spectroscopy and transient elastography. Gut 2012, 61, 409–415. [Google Scholar] [CrossRef]
- Fan, J.G. Epidemiology of alcoholic and nonalcoholic fatty liver disease in China. J. Gastroenterol. Hepatol. 2013, 28 (Suppl. S1), 11–17. [Google Scholar] [CrossRef]
- Henao-Mejia, J.; Elinav, E.; Jin, C.; Hao, L.; Mehal, W.Z.; Strowig, T.; Thaiss, C.A.; Kau, A.L.; Eisenbarth, S.C.; Jurczak, M.J.; et al. Inflammasome-mediated dysbiosis regulates progression of NAFLD and obesity. Nature 2012, 482, 179–185. [Google Scholar] [CrossRef] [PubMed] [Green Version]
- Nier, A.; Brandt, A.; Conzelmann, I.B.; Özel, Y.; Bergheim, I. Non-Alcoholic Fatty Liver Disease in Overweight Children: Role of Fructose Intake and Dietary Pattern. Nutrients 2018, 10, 1329. [Google Scholar] [CrossRef] [PubMed] [Green Version]
- Arslan, N. Obesity, fatty liver disease and intestinal microbiota. World J. Gastroenterol. 2014, 20, 16452–16463. [Google Scholar] [CrossRef] [PubMed]
- Dietrich, P.; Hellerbrand, C. Non-alcoholic fatty liver disease, obesity and the metabolic syndrome. Best Pract. Res. Clin. Gastroenterol. 2014, 28, 637–653. [Google Scholar] [CrossRef] [PubMed]
- Liu, J.; Ayada, I.; Zhang, X.; Wang, L.; Li, Y.; Wen, T.; Ma, Z.; Bruno, M.J.; de Knegt, R.J.; Cao, W.; et al. Estimating global prevalence of metabolic dysfunction-associated fatty liver disease in overweight or obese adults. Clin. Gastroenterol. Hepatol. Off. Clin. Pract. J. Am. Gastroenterol. Assoc. 2021, in press. [Google Scholar] [CrossRef]
- Wu, S.J.; Huang, W.C.; Yu, M.C.; Chen, Y.L.; Shen, S.C.; Yeh, K.W.; Liou, C.J. Tomatidine ameliorates obesity-induced nonalcoholic fatty liver disease in mice. J. Nutr. Biochem. 2021, 91, 108602. [Google Scholar] [CrossRef]
- Ramírez-Vélez, R.; González-Ruíz, K.; González-Jiménez, E.; Schmidt-RioValle, J.; Correa-Rodríguez, M.; García-Hermoso, A.; Palomino-Echeverría, S.; Izquierdo, M. Serum leptin as a mediator of the influence of insulin resistance on hepatic steatosis in youths with excess adiposity. Nutr. Metab. Cardiovasc. Dis. 2021, 31, 1308–1316. [Google Scholar] [CrossRef] [PubMed]
- Yki-Järvinen, H. Fat in the liver and insulin resistance. Ann. Med. 2005, 37, 347–356. [Google Scholar] [CrossRef]
- Soderborg, T.K.; Clark, S.E.; Mulligan, C.E.; Janssen, R.C.; Babcock, L.; Ir, D.; Young, B.; Krebs, N.; Lemas, D.J.; Johnson, L.K.; et al. The gut microbiota in infants of obese mothers increases inflammation and susceptibility to NAFLD. Nat. Commun. 2018, 9, 4462. [Google Scholar] [CrossRef] [Green Version]
- Jung, U.J.; Choi, M.S. Obesity and its metabolic complications: The role of adipokines and the relationship between obesity, inflammation, insulin resistance, dyslipidemia and nonalcoholic fatty liver disease. Int. J. Mol. Sci. 2014, 15, 6184–6223. [Google Scholar] [CrossRef] [PubMed] [Green Version]
- Ouchi, N.; Parker, J.L.; Lugus, J.J.; Walsh, K. Adipokines in inflammation and metabolic disease. Nat. Rev. Immunol. 2011, 11, 85–97. [Google Scholar] [CrossRef] [PubMed]
- Gaggini, M.; Saponaro, C.; Gastaldelli, A. Not all fats are created equal: Adipose vs. ectopic fat, implication in cardiometabolic diseases. Horm. Mol. Biol. Clin. Investig. 2015, 22, 7–18. [Google Scholar] [CrossRef]
- Moller, D.E. Potential role of TNF-alpha in the pathogenesis of insulin resistance and type 2 diabetes. Trends Endocrinol. Metab. 2000, 11, 212–217. [Google Scholar] [CrossRef]
- Van Gaal, L.F.; Mertens, I.L.; De Block, C.E. Mechanisms linking obesity with cardiovascular disease. Nature 2006, 444, 875–880. [Google Scholar] [CrossRef] [PubMed]
- Shoelson, S.E.; Lee, J.; Goldfine, A.B. Inflammation and insulin resistance. J. Clin. Investig. 2006, 116, 1793–1801. [Google Scholar] [CrossRef]
- Lee, J.; Yoon, K.; Ryu, S.; Chang, Y.; Kim, H.R. High-normal levels of hs-CRP predict the development of non-alcoholic fatty liver in healthy men. PLoS ONE 2017, 12, e0172666. [Google Scholar] [CrossRef]
- Feldstein, A.E.; Werneburg, N.W.; Canbay, A.; Guicciardi, M.E.; Bronk, S.F.; Rydzewski, R.; Burgart, L.J.; Gores, G.J. Free fatty acids promote hepatic lipotoxicity by stimulating TNF-alpha expression via a lysosomal pathway. Hepatology 2004, 40, 185–194. [Google Scholar] [CrossRef]
- Hui, J.M.; Hodge, A.; Farrell, G.C.; Kench, J.G.; Kriketos, A.; George, J. Beyond insulin resistance in NASH: TNF-alpha or adiponectin? Hepatology 2004, 40, 46–54. [Google Scholar] [CrossRef]
- Yamauchi, T.; Kamon, J.; Minokoshi, Y.; Ito, Y.; Waki, H.; Uchida, S.; Yamashita, S.; Noda, M.; Kita, S.; Ueki, K.; et al. Adiponectin stimulates glucose utilization and fatty-acid oxidation by activating AMP-activated protein kinase. Nat. Med. 2002, 8, 1288–1295. [Google Scholar] [CrossRef]
- Guo, Q.; Chang, B.; Yu, Q.L.; Xu, S.T.; Yi, X.J.; Cao, S.C. Adiponectin treatment improves insulin resistance in mice by regulating the expression of the mitochondrial-derived peptide MOTS-c and its response to exercise via APPL1-SIRT1-PGC-1α. Diabetologia 2020, 63, 2675–2688. [Google Scholar] [CrossRef] [PubMed]
- Tsochatzis, E.; Papatheodoridis, G.V.; Archimandritis, A.J. The evolving role of leptin and adiponectin in chronic liver diseases. Am. J. Gastroenterol. 2006, 101, 2629–2640. [Google Scholar] [CrossRef] [PubMed] [Green Version]
- Piya, M.K.; McTernan, P.G.; Kumar, S. Adipokine inflammation and insulin resistance: The role of glucose, lipids and endotoxin. J. Endocrinol. 2013, 216, T1–T15. [Google Scholar] [CrossRef] [PubMed] [Green Version]
- Kawai, T.; Autieri, M.V.; Scalia, R. Adipose tissue inflammation and metabolic dysfunction in obesity. Am. J. Physiol. Cell Physiol. 2021, 320, C375–C391. [Google Scholar] [CrossRef] [PubMed]
- Boutari, C.; Mantzoros, C.S. Adiponectin and leptin in the diagnosis and therapy of NAFLD. Metab. Clin. Exp. 2020, 103, 154028. [Google Scholar] [CrossRef]
- Ezquerro, S.; Mocha, F.; Frühbeck, G.; Guzmán-Ruiz, R.; Valentí, V.; Mugueta, C.; Becerril, S.; Catalán, V.; Gómez-Ambrosi, J.; Silva, C.; et al. Ghrelin Reduces TNF-α-Induced Human Hepatocyte Apoptosis, Autophagy, and Pyroptosis: Role in Obesity-Associated NAFLD. J. Clin. Endocrinol. Metab. 2019, 104, 21–37. [Google Scholar] [CrossRef]
- Liu, H.K.; Yang, M.C.; Su, Y.T.; Tai, C.M.; Wei, Y.F.; Lin, I.C.; Tsai, C.C. Novel Ultrasonographic Fatty Liver Indicator Can Predict Hepatitis in Children With Non-alcoholic Fatty Liver Disease. Front. Pediatr. 2018, 6, 416. [Google Scholar] [CrossRef]
- Oruc, N.; Ozutemiz, O.; Yuce, G.; Akarca, U.S.; Ersoz, G.; Gunsar, F.; Batur, Y. Serum procalcitonin and CRP levels in non-alcoholic fatty liver disease: A case control study. BMC Gastroenterol. 2009, 9, 16. [Google Scholar] [CrossRef] [Green Version]
- Pan, X.; Wen, S.W.; Kaminga, A.C.; Liu, A. Gut metabolites and inflammation factors in non-alcoholic fatty liver disease: A systematic review and meta-analysis. Sci. Rep. 2020, 10, 8848. [Google Scholar] [CrossRef]
- Yang, Y.; Xie, M.; Yuan, S.; Zeng, Y.; Dong, Y.; Wang, Z.; Xiao, Q.; Dong, B.; Ma, J.; Hu, J. Sex differences in the associations between adiposity distribution and cardiometabolic risk factors in overweight or obese individuals: A cross-sectional study. BMC Public Health 2021, 21, 1232. [Google Scholar] [CrossRef]
- Lonardo, A.; Nascimbeni, F.; Ballestri, S.; Fairweather, D.; Win, S.; Than, T.A.; Abdelmalek, M.F.; Suzuki, A. Sex Differences in Nonalcoholic Fatty Liver Disease: State of the Art and Identification of Research Gaps. Hepatology 2019, 70, 1457–1469. [Google Scholar] [CrossRef]
- Maylor, B.D.; Zakrzewski-Fruer, J.K.; Orton, C.J.; Bailey, D.P. Beneficial postprandial lipaemic effects of interrupting sedentary time with high-intensity physical activity versus a continuous moderate-intensity physical activity bout: A randomised crossover trial. J. Sci. Med. Sport 2018, 21, 1250–1255. [Google Scholar] [CrossRef] [PubMed]
- Yang, Y.D.; Zheng, C.J.; Dong, Y.H.; Zou, Z.Y.; Lv, Y.; Wang, Z.H.; Yang, Z.G.; Wang, S.; Dong, B.; Ma, J. Sex difference in the mediation roles of an inflammatory factor (hsCRP) and adipokines on the relationship between adiposity and blood pressure. Hypertens. Res. Off. J. Jpn. Soc. Hypertens. 2019, 42, 903–911. [Google Scholar] [CrossRef] [PubMed]
- Gao, X.; Fan, J.G. Diagnosis and management of non-alcoholic fatty liver disease and related metabolic disorders: Consensus statement from the Study Group of Liver and Metabolism, Chinese Society of Endocrinology. J. Diabetes 2013, 5, 406–415. [Google Scholar] [CrossRef] [PubMed] [Green Version]
- Dasarathy, S.; Dasarathy, J.; Khiyami, A.; Joseph, R.; Lopez, R.; McCullough, A.J. Validity of real time ultrasound in the diagnosis of hepatic steatosis: A prospective study. J. Hepatol. 2009, 51, 1061–1067. [Google Scholar] [CrossRef] [PubMed]
- Chalasani, N.; Younossi, Z.; Lavine, J.E.; Charlton, M.; Cusi, K.; Rinella, M.; Harrison, S.A.; Brunt, E.M.; Sanyal, A.J. The diagnosis and management of nonalcoholic fatty liver disease: Practice guidance from the American Association for the Study of Liver Diseases. Hepatology 2018, 67, 328–357. [Google Scholar] [CrossRef]
- Preacher, K.J.; Hayes, A.F. SPSS and SAS procedures for estimating indirect effects in simple mediation models. Behav. Res. Methods Instrum. Comput. 2004, 36, 717–731. [Google Scholar] [CrossRef] [Green Version]
- Baron, R.M.; Kenny, D.A. The moderator-mediator variable distinction in social psychological research: Conceptual, strategic, and statistical considerations. J. Personal. Soc. Psychol. 1986, 51, 1173–1182. [Google Scholar] [CrossRef]
- Gilbert-Diamond, D.; Baylin, A.; Mora-Plazas, M.; Villamor, E. Chronic inflammation is associated with overweight in Colombian school children. Nutr. Metab. Cardiovasc. Dis. 2012, 22, 244–251. [Google Scholar] [CrossRef]
- Cohen, E.; Margalit, I.; Shochat, T.; Goldberg, E.; Krause, I. Markers of Chronic Inflammation in Overweight and Obese Individuals and the Role of Gender: A Cross-Sectional Study of a Large Cohort. J. Inflamm. Res. 2021, 14, 567–573. [Google Scholar] [CrossRef]
- Choi, J.; Joseph, L.; Pilote, L. Obesity and C-reactive protein in various populations: A systematic review and meta-analysis. Obes. Rev. Off. J. Int. Assoc. Study Obes. 2013, 14, 232–244. [Google Scholar] [CrossRef] [PubMed]
- Thompson, A.L.; Adair, L.; Gordon-Larsen, P.; Zhang, B.; Popkin, B. Environmental, Dietary, and Behavioral Factors Distinguish Chinese Adults with High Waist-to-Height Ratio with and without Inflammation. J. Nutr. 2015, 145, 1335–1344. [Google Scholar] [CrossRef] [PubMed] [Green Version]
- Mendall, M.A.; Patel, P.; Ballam, L.; Strachan, D.; Northfield, T.C. C reactive protein and its relation to cardiovascular risk factors: A population based cross sectional study. BMJ 1996, 312, 1061–1065. [Google Scholar] [CrossRef] [PubMed] [Green Version]
- Zaki, M.E.; El-Bassyouni, H.T.; El-Gammal, M.; Kamal, S. Indicators of the metabolic syndrome in obese adolescents. Arch. Med. Sci. 2015, 11, 92–98. [Google Scholar] [CrossRef] [Green Version]
- Rocha, V.Z.; Libby, P. Obesity, inflammation, and atherosclerosis. Nat. Rev. Cardiol. 2009, 6, 399–409. [Google Scholar] [CrossRef]
- Christ, A.; Günther, P.; Lauterbach, M.A.R.; Duewell, P.; Biswas, D.; Pelka, K.; Scholz, C.J.; Oosting, M.; Haendler, K.; Baßler, K.; et al. Western Diet Triggers NLRP3-Dependent Innate Immune Reprogramming. Cell 2018, 172, 162–175.e14. [Google Scholar] [CrossRef] [Green Version]
- Piening, B.D.; Zhou, W.; Contrepois, K.; Röst, H.; Gu Urban, G.J.; Mishra, T.; Hanson, B.M.; Bautista, E.J.; Leopold, S.; Yeh, C.Y.; et al. Integrative Personal Omics Profiles during Periods of Weight Gain and Loss. Cell Syst. 2018, 6, 157–170.e8. [Google Scholar] [CrossRef]
- Timpson, N.J.; Nordestgaard, B.G.; Harbord, R.M.; Zacho, J.; Frayling, T.M.; Tybjærg-Hansen, A.; Smith, G.D. C-reactive protein levels and body mass index: Elucidating direction of causation through reciprocal Mendelian randomization. Int. J. Obes. 2011, 35, 300–308. [Google Scholar] [CrossRef] [Green Version]
- Visser, M.; Bouter, L.M.; McQuillan, G.M.; Wener, M.H.; Harris, T.B. Elevated C-reactive protein levels in overweight and obese adults. JAMA 1999, 282, 2131–2135. [Google Scholar] [CrossRef] [PubMed] [Green Version]
- Esposito, K.; Pontillo, A.; Di Palo, C.; Giugliano, G.; Masella, M.; Marfella, R.; Giugliano, D. Effect of weight loss and lifestyle changes on vascular inflammatory markers in obese women: A randomized trial. JAMA 2003, 289, 1799–1804. [Google Scholar] [CrossRef] [PubMed] [Green Version]
- Thompson, A.L.; Koehler, E.; Herring, A.H.; Paynter, L.; Du, S.; Zhang, B.; Popkin, B.; Gordon-Larsen, P. Weight Gain Trajectories Associated With Elevated C-Reactive Protein Levels in Chinese Adults. J. Am. Heart Assoc. 2016, 5, e003262. [Google Scholar] [CrossRef]
- Escobar-Morreale, H.F.; Alvarez-Blasco, F.; Botella-Carretero, J.I.; Luque-Ramírez, M. The striking similarities in the metabolic associations of female androgen excess and male androgen deficiency. Hum. Reprod. 2014, 29, 2083–2091. [Google Scholar] [CrossRef] [PubMed]
- Lan, Y.; Wu, S.; Wang, Y.; Chen, S.; Liao, W.; Zhang, X.; Pan, L.; Jiang, X.; Zhang, Y.; Wang, L. Association between blood copper and nonalcoholic fatty liver disease according to sex. Clin. Nutr. 2021, 40, 2045–2052. [Google Scholar] [CrossRef] [PubMed]
- Targher, G.; Bertolini, L.; Rodella, S.; Lippi, G.; Franchini, M.; Zoppini, G.; Muggeo, M.; Day, C.P. NASH predicts plasma inflammatory biomarkers independently of visceral fat in men. Obesity 2008, 16, 1394–1399. [Google Scholar] [CrossRef]
- Lizardi-Cervera, J.; Chavez-Tapia, N.C.; Pérez-Bautista, O.; Ramos, M.H.; Uribe, M. Association among C-reactive protein, Fatty liver disease, and cardiovascular risk. Dig. Dis. Sci. 2007, 52, 2375–2379. [Google Scholar] [CrossRef] [PubMed]
- de Maat, M.P.; Trion, A. C-reactive protein as a risk factor versus risk marker. Curr. Opin. Lipidol. 2004, 15, 651–657. [Google Scholar] [CrossRef]
- Haukeland, J.W.; Damås, J.K.; Konopski, Z.; Løberg, E.M.; Haaland, T.; Goverud, I.; Torjesen, P.A.; Birkeland, K.; Bjøro, K.; Aukrust, P. Systemic inflammation in nonalcoholic fatty liver disease is characterized by elevated levels of CCL2. J. Hepatol. 2006, 44, 1167–1174. [Google Scholar] [CrossRef] [PubMed]
- Chao, C.Y.; Battat, R.; Al Khoury, A.; Restellini, S.; Sebastiani, G.; Bessissow, T. Co-existence of non-alcoholic fatty liver disease and inflammatory bowel disease: A review article. World J. Gastroenterol. 2016, 22, 7727–7734. [Google Scholar] [CrossRef]
- Ajmal, M.R.; Yaccha, M.; Malik, M.A.; Rabbani, M.U.; Ahmad, I.; Isalm, N.; Abdali, N. Prevalence of nonalcoholic fatty liver disease (NAFLD) in patients of cardiovascular diseases and its association with hs-CRP and TNF-α. Indian Heart J. 2014, 66, 574–579. [Google Scholar] [CrossRef] [Green Version]
- Yang, Y.; Lau, P.W.; Wang, J.; Dong, B.; Wu, L.; Quach, B.; Wong, D.P.; Fu, L.; Ma, J.; Wang, H. Associations among cardiorespiratory endurance, body mass index and blood pressure in Han Chinese children: Results from the 2010 Chinese National Survey On Students’ Constitution and Health. Hypertens. Res. Off. J. Jpn. Soc. Hypertens. 2016, 39, 799–804. [Google Scholar] [CrossRef]
- Krasnoff, J.B.; Painter, P.L.; Wallace, J.P.; Bass, N.M.; Merriman, R.B. Health-related fitness and physical activity in patients with nonalcoholic fatty liver disease. Hepatology 2008, 47, 1158–1166. [Google Scholar] [CrossRef] [PubMed] [Green Version]
- Pälve, K.S.; Pahkala, K.; Suomela, E.; Aatola, H.; Hulkkonen, J.; Juonala, M.; Lehtimäki, T.; Rönnemaa, T.; Viikari, J.S.A.; Kähönen, M.; et al. Cardiorespiratory Fitness and Risk of Fatty Liver: The Young Finns Study. Med. Sci. Sports Exerc. 2017, 49, 1834–1841. [Google Scholar] [CrossRef] [PubMed]
- Li, Y.; He, F.; He, Y.; Pan, X.; Wu, Y.; Hu, Z.; Lin, X.; Xu, S.; Peng, X.E. Dose-response association between physical activity and non-alcoholic fatty liver disease: A case-control study in a Chinese population. BMJ Open 2019, 9, e026854. [Google Scholar] [CrossRef]
- El Amrousy, D.; El-Afify, D. Osteocalcin and osteoprotegerin levels and their relationship with adipokines and proinflammatory cytokines in children with nonalcoholic fatty liver disease. Cytokine 2020, 135, 155215. [Google Scholar] [CrossRef] [PubMed]
Publisher’s Note: MDPI stays neutral with regard to jurisdictional claims in published maps and institutional affiliations. |
© 2021 by the authors. Licensee MDPI, Basel, Switzerland. This article is an open access article distributed under the terms and conditions of the Creative Commons Attribution (CC BY) license (https://creativecommons.org/licenses/by/4.0/).