Exogenous Albumin Is Crucial for Pig Sperm to Elicit In Vitro Capacitation Whereas Bicarbonate Only Modulates Its Efficiency
Abstract
Simple Summary
Abstract
1. Introduction
2. Materials and Methods
2.1. Reagents
2.2. Semen Samples
2.3. In Vitro Capacitation and Progesterone-Induced Acrosome Exocytosis
2.4. Sperm Motility
2.5. Flow Cytometry Analyses
2.5.1. Evaluation of Sperm Membrane Integrity
2.5.2. Evaluation of Sperm Membrane Lipid Disorder
2.5.3. Evaluation of Acrosome Integrity
2.5.4. Evaluation of Intracellular Calcium Levels
2.5.5. Evaluation of Mitochondrial Membrane Potential
2.6. Sodium Dodecyl Sulfate Polyacrylamide Gel Electrophoresis (SDS–PAGE)
2.7. Immunoblotting of Tyr-P-GSK3
2.8. Immunoblotting of DARPP-32 (PKA)
2.9. Determination of O2 Consumption Rate
2.10. Statistical Analyses
3. Results
3.1. Effects of Different Concentrations of Bicarbonate and BSA on Plasma Membrane Integrity
3.2. Effects of Different Concentrations of Bicarbonate and BSA on Membrane Lipid Disorder
3.3. Effects of Different Concentrations of Bicarbonate and BSA on Acrosome Integrity
3.4. Effects of Different Concentrations of Bicarbonate and BSA on Intracellular Calcium Levels
3.5. Effects of Different Concentrations of Bicarbonate and BSA on Mitochondrial Membrane Potential
3.6. Effects of Different Concentrations of Bicarbonate and BSA on Sperm Motility
3.7. Effects of Different Concentrations of Bicarbonate and BSA on DARPP-32 Phosphorylation Levels
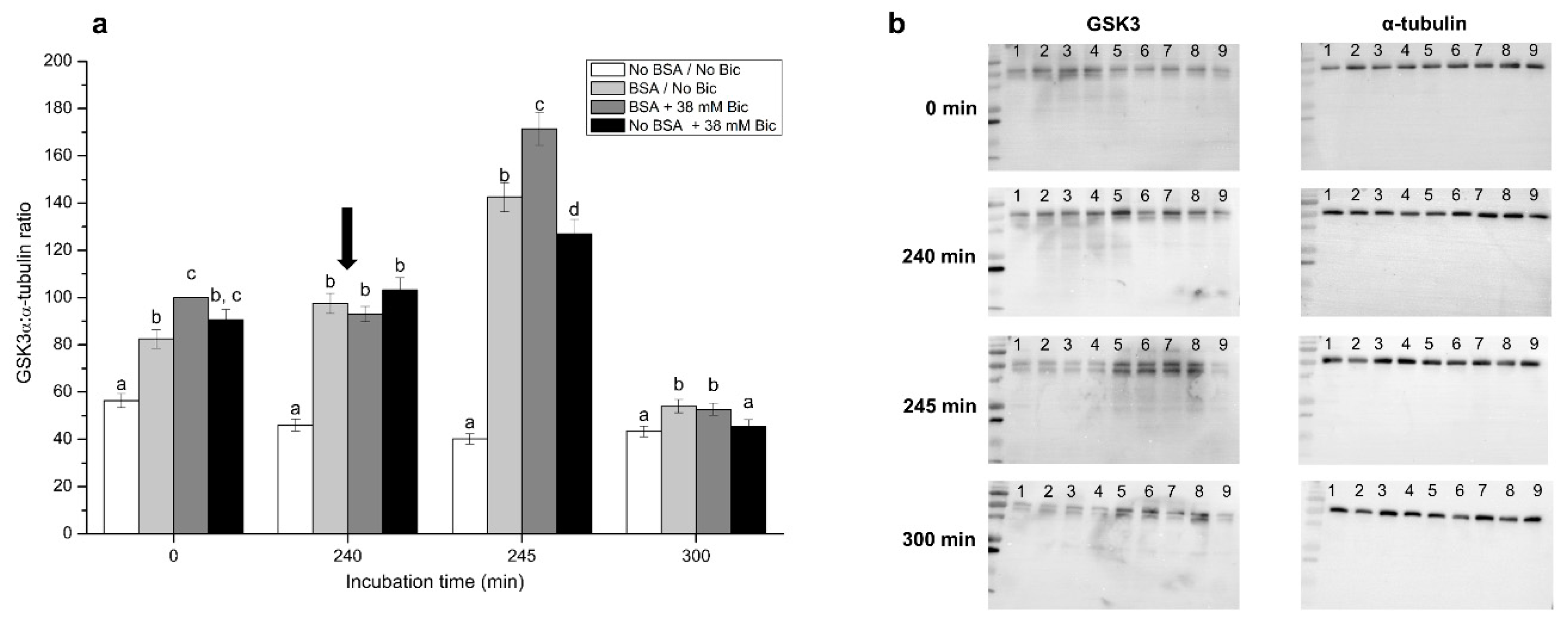
3.8. Effects of Different Concentrations of Bicarbonate and BSA on Tyrosine Phosphorylation Levels of GSK3α
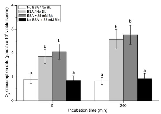
3.9. Effects of Bicarbonate and BSA on O2 Consumption Rate
4. Discussion
5. Conclusions
Supplementary Materials
Author Contributions
Funding
Institutional Review Board Statement
Informed Consent Statement
Data Availability Statement
Acknowledgments
Conflicts of Interest
References
- Gervasi, M.G.; Visconti, P.E. Chang’s meaning of capacitation: A molecular perspective. Mol. Reprod. Dev. 2016, 83, 860–874. [Google Scholar] [CrossRef]
- Austin, C. Observations on the penetration of the sperm into the mammalian egg. Aust. J. Biol. Sci. 1951, 4, 581–596. [Google Scholar] [CrossRef]
- Chang, M.C. Fertilizing capacity of spermatozoa deposited into the fallopian tubes. Nature 1951, 168, 697–698. [Google Scholar] [CrossRef]
- Buffone, M.G.; Wertheimer, E.V.; Visconti, P.E.; Krapf, D. Central role of soluble adenylyl cyclase and cAMP in sperm physiology. Biochim. Biophys. Acta 2014, 1842, 2610–2620. [Google Scholar] [CrossRef]
- Visconti, P.E. Understanding the molecular basis of sperm capacitation through kinase design. Proc. Natl. Acad. Sci. USA 2009, 106, 667–668. [Google Scholar] [CrossRef] [PubMed]
- Ferramosca, A.; Zara, V. Bioenergetics of mammalian sperm capacitation. Biomed Res. Int. 2014, 902953. [Google Scholar] [CrossRef]
- Yeste, M.; Fernández-Novell, J.M.; Ramió-Lluch, L.; Estrada, E.; Rocha, L.G.; Cebrián-Pérez, J.A.; Muiño-Blanco, T.; Concha, I.I.; Ramírez, A.; Rodríguez-Gil, J.E. Intracellular calcium movements of boar spermatozoa during ‘in vitro’ capacitation and subsequent acrosome exocytosis follow a multiple-storage place, extracellular calcium-dependent model. Andrology 2015, 3, 729–747. [Google Scholar] [CrossRef]
- Betarelli, R.P.; Rocco, M.; Yeste, M.; Fernández-Novell, J.M.; Placci, A.; Azevedo-Pereira, B.; Castillo-Martín, M.; Estrada, E.; Peña, A.; Zangeronimo, M.G.; et al. The achievement of boar sperm in vitro capacitation is related to an increase of disrupted disulphide bonds and intracellular reactive oxygen species levels. Andrology 2018, 6, 781–797. [Google Scholar] [CrossRef]
- Rocco, M.; Betarelli, R.; Placci, A.; Fernández-Novell, J.M.; Spinaci, M.; Casao, A.; Muiño-Blanco, T.; Cebrián-Pérez, J.A.; Peña, A.; Rigau, T.; et al. Melatonin affects the motility and adhesiveness of in vitro capacitated boar spermatozoa via a mechanism that does not depend on intracellular ROS levels. Andrology 2018, 6, 720–736. [Google Scholar] [CrossRef]
- Yeste, M.; Llavanera, M.; Scornik, F.; Pérez, G.; Puig-Parri, J.; Brugada, R.; Bonet, S.; Pinart, E. Elucidating the role of K+ channels during in vitro capacitation of boar spermatozoa: Do SLO1 channels play a crucial role? Int. J. Mol. Sci. 2019, 20, 6330. [Google Scholar] [CrossRef]
- Yeste, M. Boar spermatozoa within the oviductal environment (II): Sperm capacitation. In Boar Reproduction; Bonet, S., Casas, I., Holt, W.V., Yeste, M., Eds.; Springer: Heidelberg, Germany, 2013; pp. 347–405. [Google Scholar]
- Salicioni, A.M.; Platt, M.D.; Wertheimer, E.V.; Arcelay, E.; Allaire, A.; Sosnik, J.; Visconti, P.E. Signalling pathways involved in sperm capacitation. Soc. Reprod. Fertil. Suppl. 2007, 65, 245–259. [Google Scholar]
- Stival, C.; Molina, L.D.C.P.; Paudel, B.; Buffone, M.G.; Visconti, P.E.; Krapf, D. Sperm capacitation and acrosome reaction in mammalian sperm. Adv. Anat. Embryol. Cell. Biol. 2016, 220, 93–106. [Google Scholar]
- Visconti, P.E.; Kopf, G.S. Regulation of protein phosphorylation during sperm capacitation. Biol. Reprod. 1998, 59, 1–6. [Google Scholar] [CrossRef]
- Flesch, F.M.; Wijnand, E.; van de Lest, C.H.; Colenbrander, B.; van Golde, L.M.; Gadella, B.M. Capacitation dependent activation of tyrosine phosphorylation generates two sperm head plasma membrane proteins with high primary binding affinity for the zona pellucida. Mol. Reprod. Dev. 2001, 60, 107–115. [Google Scholar] [CrossRef]
- Gadella, B.M.; Van Gestel, R.A. Bicarbonate and its role in mammalian sperm function. Anim. Reprod. Sci. 2004, 82–83, 307–319. [Google Scholar] [CrossRef]
- Gangwar, D.K.; Atreja, S.K. Signalling events and associated pathways related to the mammalian sperm capacitation. Reprod. Domest. Anim. 2015, 50, 705–711. [Google Scholar] [CrossRef]
- Naz, R.K.; Rajesh, P.B. Role of tyrosine phosphorylation in sperm capacitation/acrosome reaction. Reprod. Biol. Endocrinol. 2004, 2, 75. [Google Scholar] [CrossRef][Green Version]
- Rodriguez-Martinez, H. Role of the oviduct in sperm capacitation. Theriogenology 2007, 68 (Suppl. 1), S138–S146. [Google Scholar] [CrossRef]
- Tsai, P.S.; De Vries, K.J.; De Boer-Brouwer, M.; Garcia-Gil, N.; Van Gestel, R.A.; Colenbrander, B.; Gadella, B.M.; Van Haeften, T. Syntaxin and VAMP association with lipid rafts depends on cholesterol depletion in capacitating sperm cells. Mol. Membr. Biol. 2007, 24, 313–324. [Google Scholar] [CrossRef]
- Rodriguez-Martinez, H.; Ekstedt, E.; Einarsson, S. Acidification of epididymal fluid in the boar. Int. J. Androl. 1990, 13, 238–243. [Google Scholar] [CrossRef]
- Soriano-Úbeda, C.; Romero-Aguirregomezcorta, J.; Matás, C.; Visconti, P.E.; García-Vázquez, F.A. Manipulation of bicarbonate concentration in sperm capacitation media improvesin vitro fertilisation output in porcine species. J. Anim. Sci. Biotechnol. 2019, 10, 19. [Google Scholar] [CrossRef]
- Tardif, S.; Dubé, C.; Chevalier, S.; Bailey, J.L. Capacitation is associated with tyrosine phosphorylation and tyrosine kinase-like activity of pig sperm proteins. Biol. Reprod. 2001, 65, 784–792. [Google Scholar] [CrossRef]
- Holt, W.V.; Harrison, R.A. Bicarbonate stimulation of boar sperm motility via a protein kinase A-dependent pathway: Between-cell and between-ejaculate differences are not due to deficiencies in protein kinase A activation. J. Androl. 2002, 23, 557–565. [Google Scholar]
- Fàbrega, A.; Puigmulé, M.; Yeste, M.; Casas, I.; Bonet, S.; Pinart, E. Impact of epididymal maturation, ejaculation and in vitro capacitation on tyrosine phosphorylation patterns exhibited of boar (Sus domesticus) spermatozoa. Theriogenology 2001, 76, 1356–1366. [Google Scholar] [CrossRef] [PubMed]
- Puigmulé, M.; Fàbrega, A.; Yeste, M.; Bonet, S.; Pinart, E. Study of the proacrosin–acrosin system in epididymal, ejaculated and in vitro capacitated boar spermatozoa. Reprod. Fertil. Dev. 2011, 23, 837–845. [Google Scholar] [CrossRef] [PubMed]
- Yeste, M.; Codony, F.; Estrada, E.; Lleonart, M.; Balasch, S.; Peña, A.; Bonet, S.; Rodríguez-Gil, J.E. Specific LED-based red light photo-stimulation procedures improve overall sperm function and reproductive performance of boar ejaculates. Sci. Rep. 2016, 6, 22569. [Google Scholar] [CrossRef]
- Breininger, E.; Dubois, D.; Pereyra, V.E.; Rodriguez, P.C.; Satorre, M.M.; Cetica, P.D. Participation of phosphofructokinase, malate dehydrogenase and isocitrate dehydrogenase in capacitation and acrosome reaction of boar spermatozoa. Reprod. Domest. Anim. 2017, 52, 731–740. [Google Scholar] [CrossRef]
- Ramió-Lluch, L.; Fernández-Novell, J.M.; Peña, A.; Colás, C.; Cebrián-Pérez, J.A.; Muiño-Blanco, T.; Ramírez, A.; Concha, I.I.; Rigau, T.; Rodríguez-Gil, J.E. ‘In vitro’ capacitation and acrosome reaction are concomitant with specific changes in mitochondrial activity in boar sperm: Evidence for a nucleated mitochondrial activation and for the existence of a capacitation-sensitive subpopulational structure. Reprod. Domest. Anim. 2011, 46, 664–673. [Google Scholar] [CrossRef] [PubMed]
- Ramió-Lluch, L.; Yeste, M.; Fernández-Novell, J.M.; Estrada, E.; Rocha, L.; Cebrián-Pérez, J.A.; Muiño-Blanco, T.; Concha, I.I.; Ramírez, A.; Rodríguez-Gil, J.E. Oligomycin A-induced inhibition of mitochondrial ATP-synthase activity suppresses boar sperm motility and in vitro capacitation achievement without modifying overall sperm energy levels. Reprod. Fertil. Dev. 2014, 26, 883–897. [Google Scholar] [CrossRef] [PubMed]
- Jiménez, I.; González-Márquez, H.; Ortiz, R.; Herrera, J.A.; García, A.; Betancourt, M.; Fierro, R. Changes in the distribution of lectin receptors during capacitation and acrosome reaction in boar spermatozoa. Theriogenology 2003, 59, 1171–1180. [Google Scholar] [CrossRef]
- Ramió, L.; Rivera, M.M.; Ramírez, A.; Concha, I.I.; Peña, A.; Rigau, T.; Rodríguez-Gil, J.E. Dynamics of motile-sperm subpopulation structure in boar ejaculates subjected to “in vitro” capacitation and further “in vitro” acrosome reaction. Theriogenology 2008, 69, 501–512. [Google Scholar] [CrossRef]
- Yeste, M.; Lloyd, R.E.; Badia, E.; Briz, M.; Bonet, S.; Holt, W.V. Direct contact between boar spermatozoa and porcine oviductal epithelial cell (OEC) cultures is needed for optimal sperm survival in vitro. Anim. Reprod. Sci. 2009, 113, 263–278. [Google Scholar] [CrossRef]
- Lee, J.A.; Spidlen, J.; Boyce, K.; Cai, J.; Crosbie, N.; Dalhin, M.; Furlong, J.; Gasparetto, M.; Goldberg, M.; Goralczyk, E.M.; et al. MIFlowCyt: The minimum information about a flow cytometry experiment. Cytometry A 2008, 73, 926–930. [Google Scholar] [CrossRef] [PubMed]
- Yeste, M.; Flores, E.; Estrada, E.; Bonet, S.; Rigau, T.; Rodríguez-Gil, J.E. Reduced glutathione and procaine hydrochloride protect the nucleoprotein structure of boar spermatozoa during freeze thawing by stabilising disulfide bonds. Reprod. Fertil. Dev. 2013, 25, 1036–1050. [Google Scholar] [CrossRef] [PubMed][Green Version]
- Petrunkina, A.M.; Waberski, D.; Bollwein, H.; Sieme, H. Identifying non-sperm particles during flow cytometric physiological assessment: A simple approach. Theriogenology 2010, 73, 995–1000. [Google Scholar] [CrossRef] [PubMed]
- Garner, D.L.; Johnsons, L.A. Viability assessment of mammalian sperm using SYBR-14 and propidium iodide. Biol. Reprod. 1995, 53, 276–284. [Google Scholar] [CrossRef]
- Harrison, R.A.P.; Ashworth, P.J.C.; Miller, N.G.A. Bicarbonate/CO2, an effector of capacitation, induces a rapid and reversible change in the lipid architecture of boar sperm plasma membranes. Mol. Reprod. Dev. 1996, 45, 378–391. [Google Scholar] [CrossRef]
- Guthrie, H.D.; Welch, G.R. Determination of intracellular reactive oxygen species and high mitochondrial membrane potential in Percoll treated viable boar sperm using fluorescence-activated flow cytometry. J. Anim. Sci. 2006, 84, 2089–2100. [Google Scholar] [CrossRef] [PubMed]
- Ramió-Lluch, L.; Blanco Prieto, O.; Ramírez, A.; Fernández-Novell, J.M.; Peña, A.; Rodríguez-Gil, J.E. “In vitro” capacitation and further progesterone-induced acrosome exocytosis are linked to specific changes in the expression and location of threonine phosphorylation of boar spermatozoa. Reprod. Domest. Anim. 2019, 54, 1085–1094. [Google Scholar] [CrossRef]
- Boatman, D.E.; Robbins, R.S. Bicarbonate: Carbon-dioxide regulation of sperm capacitation, hyperactivated motility, and acrosome reactions. Biol. Reprod. 1991, 44, 806–813. [Google Scholar] [CrossRef]
- Leahy, T.; Rickard, J.P.; Aitken, R.J.; de Graaf, S.P. Penicillamine prevents ram sperm agglutination in media that support capacitation. Reproduction 2016, 151, 167–177. [Google Scholar] [CrossRef]
- Leemans, B.; Gadella, B.M.; Stout, T.A.; Sostaric, E.; De Schauwer, C.; Nelis, H.; Hoogewijs, M.; Van Soom, A. Combined albumin and bicarbonate induces head-to-head sperm agglutination which physically prevents equine sperm-oviduct binding. Reproduction 2016, 151, 313–330. [Google Scholar] [CrossRef]
- Alonso, C.A.I.; Osycka-Salut, C.E.; Castellano, L.; Cesari, A.; Di Siervi, N.; Mutto, A.; Johannisson, A.; Morrell, J.M.; Davio, C.; Perez-Martinez, S. Extracellular cAMP activates molecular signalling pathways associated with sperm capacitation in bovines. Mol. Hum. Reprod. 2017, 23, 521–534. [Google Scholar] [CrossRef] [PubMed]
- Kerns, K.; Zigo, M.; Drobnis, E.Z.; Sutovsky, M.; Sutovsky, P. Zinc ion flux during mammalian sperm capacitation. Nat. Commun. 2018, 9, 2061. [Google Scholar] [CrossRef]
- Ded, L.; Dostalova, P.; Zatecka, E.; Dorosh, A.; Komrskova, K.; Peknicova, J. Fluorescent analysis of boar sperm capacitation process in vitro. Reprod. Biol. Endocrinol. 2019, 17, 109. [Google Scholar] [CrossRef] [PubMed]
- Hamilton, L.E.; Zigo, M.; Mao, J.; Xu, W.; Sutovsky, P.; O’Flaherty, C.; Oko, R. GSTO2 Isoforms Participate in the Oxidative Regulation of the Plasmalemma in Eutherian Spermatozoa during Capacitation. Antioxidants 2019, 8, 601. [Google Scholar] [CrossRef] [PubMed]
- Waberski, D.; Luther, A.M.; Grünther, B.; Jäkel, H.; Henning, H.; Vogel, C.; Peralta, W.; Weitze, K.F. Sperm function in vitro and fertility after antibiotic-free, hypothermic storage of liquid preserved boar semen. Sci. Rep. 2019, 9, 14748. [Google Scholar] [CrossRef] [PubMed]
- Zapata-Carmona, H.; Soriano-Úbeda, C.; París-Oller, E.; Matás, C. Periovulatory oviductal fluid decreases sperm PKA activity, tyrosine phosphorylation and in vitro fertilization in pig. Andrology 2019, 8, 756–768. [Google Scholar] [CrossRef] [PubMed]
- Harrison, R.A.; Gadella, B.M. Bicarbonate-induced membrane processing in sperm capacitation. Theriogenology 2005, 63, 342–351. [Google Scholar] [CrossRef]
- Gadella, B.M.; Harrison, R.A. The capacitating agent bicarbonate induces protein kinase A-dependent changes in phospholipid transbilayer behavior in the sperm plasma membrane. Development 2000, 127, 2407–2420. [Google Scholar] [CrossRef]
- Lee, S.H.; Park, C.K. Antioxidative effects of magnetized extender containing bovine serum albumin on sperm oxidative stress during long-term liquid preservation of boar semen. Biochem. Biophys. Res. Commun. 2015, 464, 467–472. [Google Scholar] [CrossRef]
- Parks, J.E.; Lynch, D.V. Lipid composition and thermotropic phase behavior of boar, bull, stallion, and rooster sperm membranes. Cryobiology 1992, 29, 255–266. [Google Scholar] [CrossRef]
- Waterhouse, K.E.; Hofmo, P.O.; Tverdal, A.; Miller, R.R., Jr. Within and between breed differences in freezing tolerance and plasma membrane fatty acid composition of boar sperm. Reproduction 2006, 131, 887–894. [Google Scholar] [CrossRef]
- Martínez-Soto, J.C.; Landeras, J.; Gadea, J. Spermatozoa and seminal plasma fatty acids as predictors of cryopreservation success. Andrology 2013, 1, 365–375. [Google Scholar] [CrossRef]
- Mandal, R.; Badyakar, D.; Chakrabarty, J. Role of membrane lipid fatty acids in sperm cryopreservation. Adv. Androl. 2014, 2014, 190542. [Google Scholar] [CrossRef]
- Gallon, F.; Marchetti, C.; Jouy, N.; Marchetti, P. The functionality of mitochondria differentiates human spermatozoa with high and low fertilizing capability. Fertil. Steril. 2006, 86, 1526–1530. [Google Scholar] [CrossRef] [PubMed]
- Paoli, D.; Gallo, M.; Rizzo, F.; Baldi, E.; Francavilla, S.; Lenzi, A.; Lombardo, F.M.D.; Gandini, L. Mitochondrial membrane potential profile and its correlation with increasing sperm motility. Fertil. Steril. 2011, 95, 2315–2319. [Google Scholar] [CrossRef] [PubMed]
- Wang, M.J.; Ou, J.X.; Chen, G.W.; Wu, J.P.; Shi, H.J.; Wai-Sum, O.; Martin-DeLeon, P.A.; Chen, H. Does prohibitin expression regulate sperm mitochondrial membrane potential, sperm motility, and male fertility? Antioxid. Redox Signal. 2012, 17, 513–519. [Google Scholar] [CrossRef]
- Hurtado de Llera, A.; Martin-Hidalgo, D.; Rodriguez-Gil, J.E.; Gil, M.C.; Garcia-Marin, L.J.; Bragado, M.J. AMP-activated kinase, AMPK, is involved in the maintenance of plasma membrane organization in boar spermatozoa. Biochim. Biophys. Acta 2013, 1828, 2143–2151. [Google Scholar] [CrossRef]
- Sánchez-Cárdenas, C.; Montoya, F.; Navarrete, F.A.; Hernández-Cruz, A.; Corkidi, G.; Visconti, P.E.; Darszon, A. Intracellular Ca2+ threshold reversibly switches flagellar beat off and on. Biol. Reprod. 2018, 99, 1010–1021. [Google Scholar] [CrossRef]
- Singh, A.P.; Rajender, S. CatSper channel, sperm function and male fertility. Reprod. Biomed. Online 2015, 30, 28–38. [Google Scholar] [CrossRef]
- Lishko, P.V.; Kirichok, Y.; Ren, D.; Navarro, B.; Chung, J.J.; Clapham, D.E. The control of male fertility by spermatozoan ion channels. Annu. Rev. Physiol. 2012, 74, 453–475. [Google Scholar] [CrossRef] [PubMed]
- Brown, S.G.; Costello, S.; Kelly, M.C.; Ramalingam, M.; Drew, E.; Publicover, S.J.; Barratt, C.L.R.; Da Silva, S.M. Complex CatSper-dependent and independent [Ca2+]i signalling in human spermatozoa induced by follicular fluid. Hum. Reprod. 2017, 32, 1995–2006. [Google Scholar] [CrossRef]
- Gadella, B.M.; Boerke, A. An update on post-ejaculatory remodeling of the sperm surface before mammalian fertilization. Theriogenology 2016, 85, 113–124. [Google Scholar] [CrossRef] [PubMed]
- Espinosa, F.; López-González, I.; Muñoz-Garay, C.; Felix, R.; De la Vega-Beltrán, J.L.; Kopf, G.S.; Visconti, P.E.; Darszon, A. Dual regulation of the T-type Ca2+ current by serum albumin and β-estradiol in mammalian spermatogenic cells. FEBS Lett. 2000, 475, 251–256. [Google Scholar] [CrossRef]
- Flesch, F.M.; Gadella, B.M. Dynamics of the mammalian sperm plasma membrane in the process of fertilization. Biochim. Biophys. Acta 2000, 1469, 197–235. [Google Scholar] [CrossRef]
- Boerke, A.; van der Lit, J.; Lolicato, F.; Stout, T.A.; Helms, J.B.; Gadella, B.M. Removal of GPI-anchored membrane proteins causes clustering of lipid microdomains in the apical head area of porcine sperm. Theriogenology 2014, 81, 613–624. [Google Scholar] [CrossRef]
- Xia, J.; Ren, D. The BSA-induced Ca (2+) influx during sperm capacitation is CATSPER channel-dependent. Reprod. Biol. Endocrinol. 2009, 7, 119. [Google Scholar] [CrossRef]
- Tardif, S.; Lefièvre, L.; Gagnon, C.; Bailey, J.L. Implication of cAMP during porcine sperm capacitation and protein tyrosine phosphorylation. Mol. Reprod. Dev. 2004, 69, 428–435. [Google Scholar] [CrossRef]
- Puga Molina, L.C.; Pinto, N.A.; Torres Rodríguez, P.; Romarowski, A.; Vicens Sanchez, A.; Visconti, P.E.; Darszon, A.; Treviño, C.L.; Buffone, M.G. Essential Role of CFTR in PKA-Dependent Phosphorylation, Alkalinization, and Hyperpolarization During Human Sperm Capacitation. J. Cell. Physiol. 2017, 232, 1404–1414. [Google Scholar] [CrossRef]
- Córdova, A.; Strobel, P.; Ulloa, O.; Urra, J.; Contreras, C.; Valenzuela, P.; Carrillo, A.; Burgos, R.; Menarim, B.; Ratto, M.; et al. Development of stallion sperm cryopreservation extenders by analysis of semen quality and new cryocapacitation markers. Cryobiology 2012, 65, 352. [Google Scholar] [CrossRef]
- Nishi, A.; Bibb, J.A.; Matsuyama, S.; Hamada, M.; Higashi, H.; Nairn, A.C.; Greengard, P. Regulation of DARPP-32 dephosphorylation at PKA- and Cdk5-sites by NMDA and AMPA receptors: Distinct roles of calcineurin and protein phosphatase-2A. J. Neurochem. 2002, 81, 832–841. [Google Scholar] [CrossRef]
- Lindskog, M.; Kim, M.; Wikström, M.A.; Blackwell, K.T.; Kotaleski, J.H. Transient calcium and dopamine increase PKA activity and DARPP-32 phosphorylation. PLoS Comput. Biol. 2006, 2, e119. [Google Scholar] [CrossRef] [PubMed]
- Aparicio, I.M.; Bragado, M.J.; Gil, M.C.; Garcia-Herreros, M.; Gonzalez-Fernandez, L.; Tapia, J.A.; Garcia-Marin, L.J. Phosphatidylinositol 3-kinase pathway regulates sperm viability but not capacitation on boar spermatozoa. Mol. Reprod. Dev. 2007, 74, 1035–1042. [Google Scholar] [CrossRef]
- Hurtado de Llera, A.; Martin-Hidalgo, D.; Gil, M.C.; Garcia-Marin, L.J.; Bragado, M.J. New insights into transduction pathways that regulate boar sperm function. Theriogenology 2016, 85, 12–20. [Google Scholar] [CrossRef]
- Reid, A.T.; Anderson, A.L.; Roman, S.D.; McLaughlin, E.A.; McCluskey, A.; Robinson, P.J.; Aitken, R.J.; Nixon, B. Glycogen synthase kinase 3 regulates acrosomal exocytosis in mouse spermatozoa via dynamin phosphorylation. FASEB J. 2015, 29, 2872–2882. [Google Scholar] [CrossRef]
- Belenky, M.; Breitbart, H. Role and regulation of Glycogen synthase kinase-3 beta in bovine spermatozoa. Mol. Reprod. Dev. 2017, 84, 8–18. [Google Scholar] [CrossRef] [PubMed]
- Jin, S.K.; Yang, W.X. Factors and pathways involved in capacitation: How are they regulated? Oncotarget 2017, 8, 3600–3627. [Google Scholar] [CrossRef]
- Stambolic, V.; Woodgett, J.R. Mitogen inactivation of glycogen synthase kinase-3 beta in intact cells via serine 9 phosphorylation. Biochem. J. 1994, 303, 701–704. [Google Scholar] [CrossRef] [PubMed]
- Frame, S.; Cohen, P.; Biondi, R.M. A common phosphate binding site explains the unique substrate specificity of GSK3 and its inactivation by phosphorylation. Mol. Cell 2001, 7, 1321–1327. [Google Scholar] [CrossRef]
- Somanath, P.R.; Jack, S.L.; Vijayaraghavan, S. Changes in sperm glycogen synthase kinase-3 serine phosphorylation and activity accompany motility initiation and stimulation. J. Androl. 2004, 25, 605–617. [Google Scholar] [CrossRef]
- Aparicio, I.M.; Bragado, M.J.; Gil, M.C.; Garcia-Herreros, M.; Gonzalez-Fernandez, L.; Tapia, J.A.; Garcia-Marin, L.J. Porcine sperm motility is regulated by serine phosphorylation of the glycogen synthase kinase-3α. Reproduction 2007, 134, 435–444. [Google Scholar] [CrossRef] [PubMed]
- Rival, C.M.; Xu, W.; Shankman, L.S.; Morioka, S.; Arandjelovic, S.; Lee, C.S.; Wheeler, K.M.; Smith, R.P.; Haney, L.B.; Isakson, B.E.; et al. Phosphatidylserine on viable sperm and phagocytic machinery in oocytes regulate mammalian fertilization. Nat. Commun. 2019, 10, 4456. [Google Scholar] [CrossRef] [PubMed]









| Media | 0 Min | 120 Min | 240 Min | 245 Min | 270 Min | 300 Min |
|---|---|---|---|---|---|---|
| VCL (µm/s) | ||||||
| No BSA/No Bic | 52.5 ± 3.1 a | 49.2 ± 2.8 a,b | 41.8 ± 2.5 a | 36.7 ± 2.1 a | 28.1 ± 1.6 a | 9.2 ± 0.6 a |
| BSA/No Bic | 63.4 ± 3.5 b | 56.1 ± 2.9 b,c | 54.3 ± 3.1 b | 51.2 ± 3.3 b | 49.5 ± 2.8 b | 47.8 ± 3.0 b |
| BSA + 5 mM Bic | 74.8 ± 3.7 c | 62.3 ± 3.5 c,d | 56.5 ± 3.1 b | 55.1 ± 3.0 b,c | 52.2 ± 3.2 b,c | 49.7 ± 2.8 b,c |
| No BSA + 5 mM Bic | 75.2 ± 4.2 c | 44.5 ± 2.8 a | 39.7 ± 2.4 a | 38.1 ± 2.1 a | 35.4 ± 2.3 a | 10.3 ± 0.4 a |
| BSA + 15 mM Bic | 76.2 ± 4.1 c | 63.7 ± 3.8 c,d | 58.5 ± 3.3 b | 57.8 ± 3.1 b,c | 54.0 ±3.3 b,c | 51.3 ± 2.9 b,c |
| No BSA + 15 mM Bic | 70.8 ± 4.6 b,c | 52.3 ± 2.9 a,b | 41.2 ± 2.2 a | 39.8 ± 2.3 a | 32.3 ±1.8 a | 8.9 ± 0.4 a |
| BSA + 38 mM Bic | 75.9 ± 4.3 c | 66.3 ± 4.0 d | 60.5 ± 3.8 b | 62.1 ± 3.5 c | 59.3 ±3.4 c | 55.6 ± 3.8 c |
| No BSA + 38 mM Bic | 67.4 ± 3.8 b,c | 54.2 ± 3.1 b | 34.8 ± 2.1 a | 32.2 ± 1.9 a | 19.1 ±1.1 d | 3.0 ± 0.2 c |
| VSL (µm/s) | ||||||
| No BSA/No Bic | 25.4 ± 1.6 a | 19.2 ± 1.1 a | 13.4 ± 0.9 a | 10.3 ± 0.6 a | 6.7 ± 0.4 a | 3.8 ± 0.1 a |
| BSA/No Bic | 33.8 ± 2.0 a | 27.5 ± 1.8 b | 25.6 ± 1.5 b | 25.1 ± 1.5 b | 23.2 ± 1.4 b | 20.9 ± 1.3 b |
| BSA + 5 mM Bic | 32.5 ± 2.1 a | 29.8 ± 1.9 b | 28.3 ± 1.7 b | 26.4 ± 1.4 b | 22.3 ± 1.3 b | 19.5 ± 1.2 b |
| No BSA + 5 mM Bic | 30.1 ± 1.8 a | 23.2 ± 1.4 a,b | 18.4 ± 1.2 a | 15.6 ± 0.9 a | 9.6 ± 0.5 a | 3.2 ± 0.2 a |
| BSA + 15 mM Bic | 31.4 ± 2.1 a | 30.3 ± 1.9 b | 26.2 ± 1.7 b | 25.8 ± 1.8 b | 27.1 ± 1.5 b | 22.9 ± 1.3 b |
| No BSA + 15 mM Bic | 30.5 ± 2.2 a | 18.3 ± 1.2 a | 17.1 ± 1.0 a | 12.8 ± 0.8 a | 7.2 ± 0.5 a | 1.8 ± 0.1 a |
| BSA + 38 mM Bic | 33.5 ± 2.1 a | 31.8 ± 2.3 b | 25.6 ± 1.7 b | 23.4 ± 1.4 b | 20.2 ± 1.3 b | 18.3 ± 1.0 b |
| No BSA + 38 mM Bic | 29.2 ± 2.0 a | 26.7 ± 1.8 a,b | 15.4 ± 1.1 a | 11.3 ± 0.7 a | 9.6 ± 0.6 a | 1.4 ± 0.1 a |
| VAP (µm/s) | ||||||
| No BSA/No Bic | 40.3 ± 2.5 a | 34.8 ± 2.2 a | 26.2 ± 1.8 a | 27.1 ± 1.7 a | 19.2 ± 1.2 a | 5.6 ± 0.4 a |
| BSA/No Bic | 42.8 ± 2.8 a,b | 41.3 ± 2.7 a,b | 38.9 ± 2.5 b,c | 40.1 ± 2.8 b | 39.5 ± 2.5 b | 37.0 ± 2.6 b |
| BSA + 5 mM Bic | 46.1 ± 2.6 a,b | 43.5 ± 2.4 b | 40.6 ± 2.2 c | 48.2 ± 2.7 b | 42.5 ± 2.3 b | 43.4 ± 2.4 b |
| No BSA + 5 mM Bic | 44.1 ± 2.5 a,b | 39.2 ± 2.3 a,b | 30.1 ± 2.1 a | 21.4 ± 1.3 a | 18.5 ± 1.1 a | 7.6 ± 0.5 a |
| BSA + 15 mM Bic | 46.7 ± 2.8 a,b | 40.1 ± 2.5 a,b | 38.4 ± 2.3 b,c | 43.2 ± 2.6 b | 37.0 ± 2.2 b | 38.1 ± 2.0 b |
| No BSA + 15 mM Bic | 42.3 ± 2.6 a,b | 38.1 ± 2.4 a,b | 32.5 ± 2.2 a,b | 23.8 ± 1.5 a | 20.7 ± 1.3 a | 5.5 ± 0.3 a |
| BSA + 38 mM Bic | 49.5 ± 2.8 b | 43.3 ± 2.6 b | 42.8 ± 2.6 c | 48.7 ± 3.0 b | 45.2 ± 2.5 b | 35.8 ± 2.2 b |
| No BSA + 38 mM Bic | 44.6 ± 2.4 a,b | 40.8 ± 2.3 a,b | 29.1 ± 1.8 a | 22.4 ± 1.4 a | 15.6 ± 1.0 a | 2.2 ± 0.2 a |
| Media | 0 Min | 120 Min | 240 Min | 245 Min | 270 Min | 300 Min |
|---|---|---|---|---|---|---|
| LIN (%) | ||||||
| No BSA/No Bic | 48.4 ± 2.9 a,b | 39.0 ± 2.3 a,c | 32.1 ± 1.8 a | 28.1 ± 1.6 a | 23.8 ± 1.4 a | 41.3 ± 2.5 a |
| BSA/No Bic | 53.3 ± 3.1 a | 49.0 ± 2.8 b | 47.1 ± 2.7 b | 49.0 ± 2.8 b | 46.9 ± 2.7 b | 43.7 ± 2.6 a |
| BSA + 5 mM Bic | 43.4 ± 2.5 b | 47.8 ± 2.8 a,b | 50.1 ± 2.9 b | 47.9 ± 2.8 b | 42.7 ± 2.4 b,d | 39.2 ± 2.3 a,b |
| No BSA + 5 mM Bic | 40.0 ± 2.4 b | 52.1 ± 3.0 b | 46.3 ± 2.7 b | 40.9 ± 2.4 b,c | 27.1 ±1.6 a,c | 31.1 ± 1.8 b |
| BSA + 15 mM Bic | 41.2 ± 2.3 b | 47.6 ± 2.8 a,b | 44.8 ± 2.6 b | 44.6 ± 2.5 b,c | 50.2 ± 2.9 b | 44.6 ± 2.6 a |
| No BSA + 15 mM Bic | 43.1 ± 2.5 b | 35.0 ± 2.0 c | 41.5 ± 2.4 b | 32.2 ± 1.9 a | 22.3 ± 1.3 a | 20.2 ± 1.2 c |
| BSA + 38 mM Bic | 44. 1± 2.6 b | 48.0 ± 2.8 a,b | 42.3 ± 2.5 b | 37.7 ± 2.2 a,c | 34.1 ± 2.0 c,d | 32.9 ± 1.9 b |
| No BSA + 38 mM Bic | 43.3 ± 2.6 b | 49.3 ± 2.9 b | 44.3 ± 2.7 b | 35.1 ± 2.1 a,c | 50.3 ± 3.0 b | 46.7 ± 2.8 a |
| STR (%) | ||||||
| No BSA/No Bic | 63.0 ± 3.5 a | 55.2 ± 3.2 a,b | 51.1 ± 3.0 a | 38.0 ± 2.3 a | 34.9 ± 2.1 a | 67.9 ± 3.6 a |
| BSA/No Bic | 79.0 ± 4.4 b | 66.6 ± 3.8 c,d,e | 65.8 ± 3.7 b,c | 62.6 ± 3.6 b | 58.7 ± 3.5 b | 56.5 ± 3.2 b,e |
| BSA + 5 mM Bic | 70.5 ± 4.1 a,b | 68.5 ± 3.9 c,d,e | 69.7 ± 4.0 c | 54.8 ± 3.1 b | 52.5 ± 3.1 b,c | 44.9 ± 2.6 c |
| No BSA + 5 mM Bic | 68.3 ± 3.8 a | 59.2 ± 3.4 b,e | 61.1 ± 3.5 b,c | 72.9 ± 4.1 c | 51.9 ± 2.9 b,c | 42.1 ± 2.4 c |
| BSA + 15 mM Bic | 67.2 ± 3.8 a | 75.6 ± 4.2 c | 68.2 ± 3.8 b,c | 59.7 ± 3.4 b | 73.2 ± 4.1 d | 60.1 ± 3.5 a,b,e |
| No BSA + 15 mM Bic | 72.1 ± 4.2 a,b | 48.0 ± 2.8 a | 52.6 ± 3.1 a | 53.8 ± 3.0 b | 34.8 ± 2.0 a | 32.7 ± 1.9 d |
| BSA + 38 mM Bic | 67.7 ± 3.9 a | 73.4 ± 4.1 c,d | 59.8 ± 3.4 a,b | 48.0 ± 2.8 a,b | 44.7 ± 2.6 c | 51.1 ± 2.9 b,c |
| No BSA + 38 mM Bic | 65.5 ± 3.8 a | 65.4 ± 3.3 b,d,e | 52.9 ± 3.0 a | 50.4 ± 2.9 a,b | 61.5 ± 3.5 b | 63.6 ± 3.7 a,e |
| WOB (%) | ||||||
| No BSA/No Bic | 76.8 ± 4.2 a | 70.7 ± 4.1 a,b | 62.7 ± 3.5 a | 73.8 ± 4.3 a | 68.3 ± 3.8 a,b | 60.9 ± 3.4 a |
| BSA/No Bic | 67.5 ± 3.9 a | 73.6 ± 4.1 a | 71.6 ± 4.2 a,b | 78.3 ± 4.3 a,b | 79.8 ± 4.5 d | 77.4 ± 4.4 b |
| BSA + 5 mM Bic | 61.6 ± 3.4 b | 69.8 ± 3.9 a,b | 71.9 ± 4.1 a,b | 87.5 ± 4.8 b | 81.4 ± 4.7 d | 87.3 ± 4.8 c |
| No BSA + 5 mM Bic | 58.6 ± 3.3 b | 88.1 ± 4.8 c | 75.8 ± 4.2 b,c | 56.2 ± 3.1 c | 52.3 ± 2.9 c | 73.8 ± 4.2 b |
| BSA + 15 mM Bic | 61.3 ± 3.3 b | 63.0 ± 3.6 b | 65.6 ± 3.7 a,b | 74.7 ± 4.2 a | 68.5 ± 3.8 a,b | 74.3 ± 4.1 b |
| No BSA + 15 mM Bic | 59.7 ± 3.4 b | 72.8 ± 4.1 a,b | 78.9 ± 4.4 c | 59.8 ± 3.4 c | 64.1 ± 3.7 a | 61.8 ± 3.6 a |
| BSA + 38 mM Bic | 65.2 ± 3.7 a,b | 65.3 ± 3.5 b | 70.7 ± 4.2 a,b | 78.4 ± 4.5 a,b | 76.2 ± 4.3 b,d | 64.4 ± 3.7 a |
| No BSA + 38 mM Bic | 66.2 ± 3.7 a,b | 75.3 ± 4.2 a | 83.6 ± 4.7 c | 69.6 ± 4.0 a | 81.7 ± 4.6 d | 73.3 ± 4.1 b |
| Media | 0 Min | 120 Min | 240 Min | 245 Min | 270 Min | 300 Min |
|---|---|---|---|---|---|---|
| ALH (µm) | ||||||
| No BSA/No Bic | 2.5 ± 0.1 a | 2.4 ± 0.1 a | 2.6 ± 0.1 a | 2.1 ± 0.1 a | 2.2 ± 0.1 a | 1.9 ± 0.1 a |
| BSA/No Bic | 2.7 ± 0.1 a | 3.2 ± 0.2 b | 3.7 ± 0.2 b | 3.9 ± 0.2 b | 4.1 ± 0.2 b | 3.8 ± 0.2 b |
| BSA + 5 mM Bic | 2.6 ± 0.1 a | 3.1 ± 0.2 b | 3.9 ± 0.2 b | 4.1 ± 0.2 b | 4.3 ± 0.2 b | 4.2 ± 0.2 b |
| No BSA + 5 mM Bic | 2.3 ± 0.1 a | 2.2 ± 0.1 a | 2.4 ± 0.1 a | 2.3 ± 0.1 a | 1.9 ± 0.1 a | 1.7 ± 0.1 a |
| BSA + 15 mM Bic | 2.5 ± 0.1 a | 3.3 ± 0.2 b | 3.4 ± 0.2 b | 3.6 ± 0.2 b | 4.0 ± 0.2 b | 3.9 ± 0.2 b |
| No BSA + 15 mM Bic | 2.2 ± 0.1 a | 2.4 ± 0.1 a | 2.6 ± 0.1 a | 2.5 ± 0.1 a | 2.3 ± 0.1 a | 2.0 ± 0.1 a |
| BSA + 38 mM Bic | 2.6 ± 0.1 a | 3.5 ± 0.2 b | 3.7 ± 0.2 b | 3.8 ± 0.2 b | 3.6 ± 0.2 b | 3.5 ± 0.2 b |
| No BSA + 38 mM Bic | 2.1 ± 0.1 a | 2.4 ± 0.1 a | 2.5 ± 0.1 a | 2.3 ± 0.1 a | 2.1 ± 0.1 a | 1.8 ± 0.1 a |
| BCF (Hz) | ||||||
| No BSA/No Bic | 6.8 ± 0.4 a,b | 5.1 ± 0.3 a | 4.9 ± 0.3 a | 5.2 ± 0.2 a | 4.7 ± 0.2 a | 3.8 ± 0.2 a |
| BSA/No Bic | 6.5 ± 0.3 a | 6.5 ± 0.3 b | 7.3 ± 0.4 b | 7.1 ± 0.4 b | 6.7 ± 0.3 b | 6.4 ± 0.3 b |
| BSA + 5 mM Bic | 6.1 ± 0.3 a | 6.7 ± 0.3 b,c | 7.6 ± 0.4 b | 7.2 ± 0.4 b | 6.7 ± 0.3 b | 6.5 ± 0.3 b |
| No BSA + 5 mM Bic | 6.2 ± 0.3 a | 5.9 ± 0.3 a,b | 5.5 ± 0.3 a,d | 5.3 ± 0.3 a | 5.1 ± 0.3 a | 4.9 ± 0.2 c |
| BSA + 15 mM Bic | 7.2 ± 0.4 b | 7.1 ± 0.4 c,d | 6.4 ± 0.3 c | 6.9 ± 0.3 b | 6.5 ± 0.3 b | 6.2 ± 0.3 b |
| No BSA + 15 mM Bic | 6.8 ± 0.4 a,b | 6.2 ± 0.3 b,c | 5.8 ± 0.3 c,d | 5.5 ± 0.3 a | 5.4 ± 0.3 a | 5.1 ± 0.3 c |
| BSA + 38 mM Bic | 7.4 ± 0.4 b | 7.7 ± 0.4 d | 7.5 ± 0.4 b | 7.2 ± 0.4 b | 6.3 ± 0.3 b | 6.0 ± 0.3 b |
| No BSA + 38 mM Bic | 7.1 ± 0.4 b | 6.4 ± 0.3 b,c | 5.9 ± 0.3 c,d | 5.6 ± 0.3 a | 5.3 ± 0.3 a | 5.2 ± 0.3 c |
Publisher’s Note: MDPI stays neutral with regard to jurisdictional claims in published maps and institutional affiliations. |
© 2021 by the authors. Licensee MDPI, Basel, Switzerland. This article is an open access article distributed under the terms and conditions of the Creative Commons Attribution (CC BY) license (https://creativecommons.org/licenses/by/4.0/).
Share and Cite
Chaves, B.R.; Pinoti Pavaneli, A.P.; Blanco-Prieto, O.; Pinart, E.; Bonet, S.; Zangeronimo, M.G.; Rodríguez-Gil, J.E.; Yeste, M. Exogenous Albumin Is Crucial for Pig Sperm to Elicit In Vitro Capacitation Whereas Bicarbonate Only Modulates Its Efficiency. Biology 2021, 10, 1105. https://doi.org/10.3390/biology10111105
Chaves BR, Pinoti Pavaneli AP, Blanco-Prieto O, Pinart E, Bonet S, Zangeronimo MG, Rodríguez-Gil JE, Yeste M. Exogenous Albumin Is Crucial for Pig Sperm to Elicit In Vitro Capacitation Whereas Bicarbonate Only Modulates Its Efficiency. Biology. 2021; 10(11):1105. https://doi.org/10.3390/biology10111105
Chicago/Turabian StyleChaves, Bruna Resende, Ana Paula Pinoti Pavaneli, Olga Blanco-Prieto, Elisabeth Pinart, Sergi Bonet, Márcio Gilberto Zangeronimo, Joan E. Rodríguez-Gil, and Marc Yeste. 2021. "Exogenous Albumin Is Crucial for Pig Sperm to Elicit In Vitro Capacitation Whereas Bicarbonate Only Modulates Its Efficiency" Biology 10, no. 11: 1105. https://doi.org/10.3390/biology10111105
APA StyleChaves, B. R., Pinoti Pavaneli, A. P., Blanco-Prieto, O., Pinart, E., Bonet, S., Zangeronimo, M. G., Rodríguez-Gil, J. E., & Yeste, M. (2021). Exogenous Albumin Is Crucial for Pig Sperm to Elicit In Vitro Capacitation Whereas Bicarbonate Only Modulates Its Efficiency. Biology, 10(11), 1105. https://doi.org/10.3390/biology10111105

