Next Article in Journal
Influence of Cooling Methods on the Behavior of Reactive Powder Concrete Exposed to Fire Flame Effect
Next Article in Special Issue
Original Solution of Coupled Nonlinear Schrödinger Equations for Simulation of Ultrashort Optical Pulse Propagation in a Birefringent Fiber
Previous Article in Journal
The Effect of Air, Ar and O2 Plasmas on the Electrical Resistivity and Hand-Feel Properties of Polyester/Cotton Blend Fabric
 
 
Font Type:
Arial Georgia Verdana
Font Size:
Aa Aa Aa
Line Spacing:
Column Width:
Background:
Article

New Silica Laser-Optimized Multimode Optical Fibers with Extremely Enlarged 100-μm Core Diameter for Gigabit Onboard and Industrial Networks

by
Vladimir A. Burdin
1,
Michael V. Dashkov
1,
Vladimir V. Demidov
2,
Konstantin V. Dukelskii
2,
Alexander S. Evtushenko
1,
Artem A. Kuznetsov
3,
Alexandra S. Matrosova
2,
Oleg G. Morozov
3,
Egishe V. Ter-Nersesyants
2,
Alexander A. Vasilets
4,
Elena S. Zaitseva
1,
Alexander E. Zhukov
1 and
Anton V. Bourdine
1,2,5,*
1
Department of Communication Lines, Povozhskiy State University of Telecommunications and Informatics, 23, Lev Tolstoy street, Samara 443010, Russia
2
Research and Manufacturing Complex “Fiber”, JSC “Scientific Production Association State Optical Institute Named after Vavilov S.I.”, 36/1, Babushkin street, Saint Petersburg 192171, Russia
3
Department of Radiophotonics and Microwave Theory, Kazan National Research State University named after A.N. Tupolev-KAI, 31/7, Karl Marx street, Kazan, Rep. Tatarstan 420111, Russia
4
Department of Information Technology and Security, Kazan Innovative University named after V.G. Timiryasov, 42, Moscovskaya street, Kazan, 420111, Rep., Tatarstan 420111, Russia
5
“OptoFiber Lab” LLC, #9, build. 4, Lugovaya street, Skolkovo Innovation Center, Moscow 143026, Russia
*
Author to whom correspondence should be addressed.
Fibers 2020, 8(3), 18; https://doi.org/10.3390/fib8030018
Submission received: 17 January 2020 / Revised: 3 March 2020 / Accepted: 9 March 2020 / Published: 17 March 2020
(This article belongs to the Special Issue Optical Fibers as a Key Element of Distributed Sensor Systems)

Abstract

We present new type of silica graded index laser-optimized multimode optical fibers (LOMF) with extremely enlarged core diameter up to 100 μm and “typical” “telecommunication” cladding diameter 125 μm. This optical fiber was designed for harsh environment Gigabit onboard cable systems and industrial networks. It differs by special optimized graded refractive index profile, providing low differential mode delay (DMD) for selected guided modes. We present some results of tests, performed for manufactured pilot 520 m length of described LOMF 100/125, concerned with its geometry properties as well as key transmission parameters—attenuation and DMD map.

1. Introduction

At the present time, high bit rate networks are based not only on single-mode optical fibers. Nowadays, laser-excited optical signal transmission technique over large core silica optical fibers is widely applied in various applications. It should be noted that this technique, combined with special launching conditions, provides a few-mode regime. Here laser-excited optical emission is transferred over large core optical fiber by some limited number of guided modes, while under the multimode regime, transmitted optical signal contains almost all guided modes, satisfying cut-off conditions. In 1998 [1,2], IEEE 802.3z standard was ratified, which declared for the first time laser-based 1 Gbps data transmission over silica graded-index multimode optical fibers (MMFs) with conventional core diameters 62.5 μm and 50 μm (ANSI/TIA Cat. OM1 and OM2). As a result, this technique started to be widely used for short-range and in-premises multi-Gigabit networks, based on mentioned above MMFs with core/cladding diameter 62.5/125 and 50/125 μm [1,2,3,4,5,6]. Structural cable systems of data and computation centers and storage and local area networks became the main customers of described technique [1,2,3,4,5,6]. At the same time, leading worldwide optical fiber manufacturers started to develop and successfully implemented several generations of MMFs of Cat. OM2+…OM4 known as “LOMFs” (Laser-Optimized-Multimode-Fibers) with core diameter 50 μm, which were further ratified by IEEE for Gigabit and multi-Gigabit networks with laser-based transceivers and multimode fiber optic links, operating in a few-mode regime [2,3,4,6].
Today, laser-based data transmission starts to be in demand for on-board and industrial networks. Nowadays, such networks also require 1 Gbps and even more higher bit rates [7,8,9]. Onboard and industrial cable systems operate in harsh environmental conditions: high-dense mounting space, vibrations, dust suspending in the air, etc., therefore, the greater fiber core diameter, the more total network reliability. From this point of view, silica optical fibers with extremely enlarged great core diameter have some advantages: (a) large core optical fiber provides immunity to bend loss (especially in comparison with standard single-mode optical fibers of ITU-T Rec. G.652) [1,3,6,7,8,9] while (b) fiber optic connections of this type MMFs are less insensitive to vibrations and (c) to contamination of fiber optic connector ferrule end; (d) silica core an silica cladding provide lower loss (more than 1 order) in comparison with polymer or plastic core/cladding optical fibers. Therefore, ratified MMFs with enlarged core diameter up to 100 μm (100/125 and 100/140) can be considered as the optimal solution for cable systems of described short-range networks. At the same time, the most of commercially available MMFs with 100-μm core diameter are targeted to low bit rate (10…100 Mbps) networks with fiber optic systems, based on multimode light emitting diodes (LEDs) transceivers, e.g., they are suitable only for multimode regime of data transmission. In the earlier on published works [10,11,12], we presented an alternative fast and simple method for the design of special graded refractive index profile of large core silica LOMFs. Here, we demonstrated some results of profile optimization performed for 100-μm core LOMF by proposed solution. These samples of designed graded refractive index profiles were targeted on differential mode delay (DMD) decreasing for selected guided modes over the “O”-band under particular launching conditions. This work presents manufactured new type of silica LOMF 100/125—with extremely enlarged core diameter up to 100 μm and “typical” “telecommunication” cladding diameter 125 μm and low DMD, provided by earlier on developed samples of special optimized graded refractive index profiles [10,11,12]. We demonstrate some results of tests, performed for manufactured pilot 520 m length of described LOMF 100/125, concerned with its geometry properties as well as key transmission parameters—attenuation and DMD map.

2. Laser Optimized Multimode Optical Fibers with 100-μm Core Diameter

Laser-excited optical pulse propagation over MMF with large core (in comparison with standard telecommunication single-mode optical fibers) differs from a multimode regime by the appearance of the DMD effect [1,2,3,4,5,6] due to here optical signal is transferred by not the almost all guided modes that satisfy to cut-off conditions but only the limited number of them. The main reason of DMD appearance is the launch of laser-excited optical emission with small spot size to MMF with large core diameter. This great distinction leads to the excitation of just a limited number of particular order modes differing by their delays, while during the propagation in MMF, the amplitudes of these selected mode components, containing in the optical signal, are non-equal. It is mainly defined by the launching conditions of the laser-excited optical signal into the optical fiber core end, by using the typical fiber optic adaptor with uncontrolled radial or angular misalignments, or by utilizing the special device like matching optical fiber or lens system, etc., providing centralized connection or vice versa, pre-set precision angular or radial misalignment. During laser-excited optical signal propagation over MMF, some new guided modes may be excited by mode mixing and power diffusion (e.g., mode coupling effects) occurring due to optical fiber irregularities and micro-/macro-bends. However their number is also limited, as well as their amplitudes also may be weak and neglected with normalized values to less 0.1. Therefore, at the transmitter end of the fiber optic link, the optical pulse contains several modes with non-equal amplitudes and differing mode delays (e.g., mode group velocities), while at the receiver end it comes with spread of both amplitudes and delays relative each other that causes to pulse splitting and may strongly distort it: from the initial typical quasi-Gaussian to inappropriate “glove” form at the receiver end. Moreover, for each particular “laser–MMF” couple DMD may strong differ from other. It depends on random factors of launching conditions and launching uncertainty provided by the variations of sources, connections, and fiber parameters. That is why DMD is a main issue for short-range multi-Gigabit optical networks based on MMFs.
Unlike known solutions (detailed overview is presented in the earlier on published papers [10,11,12] and monograph [13]), we proposed to take into account the following outlined factors during the design refractive index profile for LOMF with extremely large core diameter [10,11,12]:
  • Real and approved commercially available LOMFs of Cat. OM2+...OM5 parameters (geometry, refractive index profile, etc.), taken from the measurement reports/data sheets/specifications, should be used initially, but neither parameters of model optical fibers with the ideal graded refractive index profiles described by just one or a set of simple power-law α-functions nor the first generation MMFs of Cat. OM1 and OM2, should be targeted to only multimode regime;
  • The development or modification of a fiber structure/refractive index profile during each step of optimization procedure has to be based on results of comparison between the desired DMD diagram and DMD diagram, obtained in the previous iteration;
  • The laser source type and its parameters—especially initial number and order of transverse modes containing in the laser-generated emission as well as the launching conditions—should be taken into account;
  • DMD should be decreased not only at particular wavelengths but over the desired spectral range (for example, conventional telecommunication “O”-band with a reference wavelength λ = 1300–1310 nm).
Proposed method for design of special graded refractive index profile, providing of selected guided mode delay equalization around some reference mode delay value tREF, is described in details in the earlier on published papers [10,11,12]. We consider typical silica optical fiber geometry containing fused silica core doped by Germanium and Fluorine bounded by single pure fused silica outer solid cladding. It satisfies weakly guiding optical waveguide approximation. Here, unlike to the most known solutions, we apply stratification method [14] approach to describe complicated graded index refractive index profile. Therefore, in the core region, designed refractive index profile for large core LOMF with equalized selected mode delays is represented in the form of multilayered optical fiber. It contains finite set on N layers, where refractive index value stays constant. Desired refractive index profile form should satisfy minimization of some objective function F, which is described by the following proposed simple formula:
F = j = 1 M ( t d ( j ) t R E F ) 2
where td(j) is desired value of delay for j-th guided mode LPlm(j) been computed at corresponding optimization step; tREF is some reference value of mode delay, which is utilized for DMD diagram equalization; M is the total number of selected guided modes transferring laser-excited optical signal with normalized amplitude not less than Aj > 0.1 and core power (known also as optical confinement factor) not less than P c o ( j ) 0.5 . Objective function arguments are an array of local parameters hk, completely describing optical fiber refractive index profile under the stratification method approach:
h k = n m a x 2 n k 2 n m a x 2 n N 2
where nk is refractive index of k layer (k = 0…N); nmax is the maximal core refractive index; nN is outer cladding refractive index.
During objective function (1) minimization, a direct problem of analysis of optical fiber with current refractive index profile should be solved at the each optimization iteration. For this purpose, we utilize earlier on developed modified [15] Gaussian approximation [16], extended for analysis and computation of arbitrary order guided mode transmission parameters in weakly guiding optical fibers with arbitrary axially symmetrical refractive index profile [15,17,18] (EMGA—Extended Modified Gaussian Approximation), under the following corresponding modification for 100-μm core, which is described in detail in the publications mentioned above [10,11,12].
In the first step, we utilized LOMF 50/125 refractive index profile, taken from measurement report and further scaled up to 100-μm core diameter, as the reference profile to define boundary values of the reference mode delay tREF range by computing of selected guide mode DMD diagram. These measurements of refractive index profile mentioned above were performed by certified optical fiber analyzer for the sample of commercially available LOMF of Cat. OM2+/OM3 [19]. By using EMGA, we performed analysis of the reference 100-μm core MMF over “O”-band, which included computation of mode field radius, propagation constant (with following test on satisfaction to cut-off condition) and optical confinement factor. According to computational results, the reference graded-index 100-μm core MMF supports propagation of 145 modes LPlm (l = 0...24; m = 1…11) satisfying to the cut-off conditions with optical confinement factor more Pco > 0.5. By taking into account described above features of laser-excited optical signal propagation over MMF in a few-mode regime, we do not need to equalize mode delays over all guided modes unlike to multimode regime. Here only guided modes LPlm with normalized amplitudes more Aj > 0.1 and optical confinement more P c o ( j ) 0.5 should be considered under particular launching conditions.
Therefore, during the next step, we proposed to consider centralized launching of the optical signal generated by conventional Fabry–Perot laser diode (LD) at the wavelength λ =1310 to the reference MMF core end via standard single mode optical fiber (ITU-T rec. G.652). Here, in the “worst case”, launched optical emission may contain two transversal modes LP01 and LP11 at the mentioned above wavelength. By using earlier on developed model for simulation of piece-wise regular multimode fiber optic link operating in a few-mode regime [17], we performed computation of normalized amplitude distribution dynamics over all guided modes, supported by the reference MMF, under centralized launching of modes LP01 and LP11, and further mode power redistribution due to bends for several regular spans of piece-wise regular fiber optic link representation.
We noticed that only 21 guided modes LPlm (l = 0…7; m = 1…5) transfer the most part of optical signal during its propagation along the reference 100-μm core MMF, while normalized amplitudes of other components are less 0.1. Their delays vary from 4.922 up to 4.924 ns/km, that defines the boundaries of the range for the mode delay reference value tREF setting, while after some preliminary optimization attempts, boundary values for range of α-parameter of the first iteration graded profile were also evaluated: α = 1.75...2.15. We performed more 100 optimizations under various combinations between particular values of α-parameter and the reference mode delay tREF, taken from the described above ranges. As a result, we obtained a set of optimized refractive index profile samples providing DMD decreasing over all “O”-band from 5.0 up to 9.0 times in comparison with the reference 100-μm core MMF.
During the next step we selected the simplest profile form for the following implementation. It corresponds tREF = 4923.08 ns/km and α = 1.890 combination, and it is represented in Figure 1.
Computed DMD diagram of mentioned above 21 guided modes for the selected sample of LOMF is shown on Figure 2, while theoretical spectral curve of DMD regarding to the fundamental mode DMDLP01 (λ) calculated over “O”-band is represented on Figure 3. According to computed results, we predict the worst case effective modal bandwidth at least 2500 MHz·km.
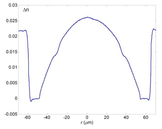
During the next step, optical fiber preform was manufactured by FCVD (Flame Chemical Vapor Deposition) technique with outer diameter 28.730 mm and “core” diameter 23.138 mm. Written refractive index profile of preform is shown on Figure 4. Here “cladding” is pure silica, while desired graded refractive index profile in “core” region was formed by Ge/F dopants. Then, a pilot 520 m length of designed LOMF 100/125 was drawn. Refractive index profile, measured by optical fiber analyzer on the sample of drawn LOMF 100/125 is demonstrated on Figure 5. Here, unwanted central dip was successfully collapsed during the drawing process and transformed to desired weak peak, while profile peculiarities in the periphery core region were also reconstructed almost according to optimized form.
Results of measurements of manufactured LOMF 100/125 cladding to core diameter ratio (CCDR), performed at the beginning and the end of drawn 520 m length, are presented on Figure 6a,b. Here CCDR at the start point is 60.88/50.68 = 1.198, while at the end it is 60.49/50.13 = 1.207.
Report of outer cladding variation measurements, performed during optical fiber length drawing, and histogram of its statistic distribution are presented on Figure 7a,b. Here maximal deviation of the reference diameter value 125 μm is not more 3.00 μm.

3. Attenuation

We researched wavelength band λ = 960...1700 nm. Spectral curve of manufactured LOMF 100/125 loss is represented on Figure 8. Here the minimum attenuation 3.94 dB/km is obtained at wavelength λ = 1300 nm. It grows up near the both tested band boundaries, however, the maximal loss are mot more 5.26 dB/km, while it is less 4.20 dB/km over “O”-band.

4. Bandwidth

During the next step, we performed DMD map measurement of manufactured 520 m pilot length of LOMF 100/125 by DMD analyzer workstation lab kit R2D2 [20,21], according to ratified standards TIA-455-220-A/FOTP-220 and IEC 60793-2-10, concerned with laser-excited optical pulse response measurements at the tested MMF receiving end under precision offset launching conditions. Simplified block-scheme of the experimental setup for DMD map measurement under control of launching conditions is shown on Figure 9; workstation and software R2D2 screenshot are shown on Figure 10 and Figure 11.
The Fabry–Perot LD “2” generates quasi-Gaussian optical pulse at wavelength λ = 1310 nm with width at a half maximum (FWHM) about 340 ps. It is pigtailed by standard single-mode (SM) optical fiber ITU-T Rec. G.652 terminated by FC/PC connector “3”. Emission from the LD output is launched to MMF via single-mode pigtail (ITU-T Rec. G.652) “5”, which is spliced with tested MMF under precision offset by fusion splicer via program “Attenuator”. Here parameter “Attenuation” is set to 0, “offset”—to particular value, and “ECF factor” (surface tension compensation factor) also is set to 0 to avoid deformations in the heat zone of the offset fusion splice. Measured spectrum of DMD analyzer laser source is shown on Figure 12. Reference optical signal (measured via short SM patch-cord) with overlapped Gaussian pulse is represented on Figure 13.
Results of DMD map measurement with 1.0 μm interval of the offset launching over range 0…25.0 μm are represented on Figure 14. Here, optical pulse keeps its envelope without any DMD distortions over all the researched offset ranges up to 25 μm misalignment under corresponding spreading that also demonstrate potential survivability of developed LOMF 100/125 to the launching conditions.
Therefore, during the next stage, we performed estimation of pulse dispersion in relation to initial its FWHM 340 ps by the well-known method for signal with arbitrary form spreading estimation (for example, it is described in details in the textbook [22]). Results of dispersion evaluation are shown on Figure 15. The minimal dispersion (150...175 ps) corresponds not to only centralized and low offset launching conditions, but also, it is achieved under the great radial misalignment between cores of matching SM and tested LOMF 100/125 optical fibers with value up to 10 μm. We computed approximate acceptable values of dispersion for 1000Base-LX and 10GBase-LX specifications and 520 m MMF link by “the worst case” link model, developed by IEEE 802.3z Task Force for the first time, declared and ratified ability of laser based data transmission over MMFs with 1 Gbps bit rate [23,24], by taking into account typical transceiver power budget parameters [25]. As a result, the maximal measured pulse dispersion corresponds to offset 25 μm, and it is not more than 300 ps, while estimated acceptable values for 1000Base-LX and 10GBase-LX specifications for 520 m MMF link are 874.5 ps and 87.1 ps, respectively, which demonstrates good bandwidth potentiality of proposed designed and manufactured LOMF 100/125 for applications on the short range onboard and industrial multi-Gigabit network cable systems.
Finally, during the next stage, we directly measured bit error rate (BER) of IEEE 802.3z 1000Base-LX data transmission channel over 520 m link with presented LOMF 100/125 by certified interface analyzer. For this purpose, we terminated both ends of LOMF 100/125 by conventional FC fiber optic connector with an adhesive and polishing ferrules and utilized MMF 50/125 LC patch-cords via fiber optic adapter FC/LC for connection to analyzer transceivers. During typical 70 h measurements, no errors were detected, and BER stayed zero (BER = 0). Therefore, first time we demonstrated guaranteed successful laser-based 1 Gbps bit rate data transmission over 520 m MMF link with proposed LOMF 100/125 under 1000Base-LX interface without any special launching conditions.

5. Conclusions

This work reported new type of designed and manufactured MMFs with extremely enlarged core diameter up to 100 μm and typical “telecommunication” cladding diameter 125 μm with specially optimized graded index refractive index profile providing ability of laser-based Gigabit data transmission. Some results of tests, performed for pilot 520 m length of proposed LOMF 100/125 and concerned with key optical fiber parameters—attenuation and bandwidth—are represented. Here, optical fiber loss is not more 4.20 dB/km over “O”-band, while analysis of measured DMD map, performed according to ratified standards TIA-455-220-A/FOTP-220 and IEC 60793-2-10 showed only pulse spreading without DMD distortions under total dispersion 150...300 ps over whole researched offset launching conditions range 0...25 μm. By comparing with estimated acceptable dispersion values for 1000Base-LX and 10GBase-LX specifications for 520 m MMF link 874.5 ps and 87.1 ps, computed according to “the worst case” link model, developed by IEEE 802.3z Task Force, a good bandwidth potentiality of presented LOMF 100/125 should be noticed. Moreover, for the first time we demonstrated guaranteed successful laser-based 1 Gbps bit rate data transmission over 520 m link with proposed LOMF 100/125 under 1000Base-LX interface without any special launching conditions under 70 h testing by certified channel analyzer and total BER = 0.

Author Contributions

Conceptualization, A.V.B.; methodology, A.V.B., V.A.B., O.G.M.; optical fiber fabricating, V.V.D., K.V.D., A.S.M., E.V.T.-N.; measurements of geometry parameters and attenuation, V.V.D., A.S.M., E.V.T.-N., A.A.V.; measurements of bandwidth parameters, M.V.D., A.S.E., A.A.K., E.S.Z., A.E.Z.; writing—review and editing, A.V.B.; visualization, A.V.B., M.V.D., V.V.D., V.A.B.; supervision, A.V.B.; project administration, A.V.B. All authors have read and agreed to the published version of the manuscript.

Funding

This research was funded by RFBR, DST, NSFC and NRF according to the research project 19-57-80006 BRICS_t.

Acknowledgments

The authors would like to specially thank to JSC “Leningrad Laser Systems” (LLS) team for help, support and assistance in optical fiber preform manufacturing process, especially to the following engineers: Vasilisa Romashova, Nataliya Sosnina and Vasiliy Yur’ev.

Conflicts of Interest

The authors declare no conflict of interest. The funders had no role in the design of the study; in the collection, analyses, or interpretation of data; in the writing of the manuscript; or in the decision to publish the results.

References

  1. Bottacchi, S. Multi-Gigabit Transmission over Multimode Optical Fibre: Theory and Design Methods for 10GbE Systems; JohnWiley & Sons Ltd.: New York, NY, USA, 2008. [Google Scholar]
  2. Kamino, J. It’s Time for OM5! BICSI Presentation Materials. 2017. Available online: https://www.bicsi.org/docs/default-source/conference-presentations/2017-fall/it’s-time-for-om5.pdf?sfvrsn=ecb46305_2 (accessed on 25 December 2019).
  3. Mazzarese, D. Optical fiber choice for data centers. Commun. Technol. Equip. 2009, 4, 30–32. [Google Scholar]
  4. Casteel, R.; Montstream, C.; Neveux, P.; Irujo, T.; Heckle, D.; Reid, R. The Fabulous, Fast Moving, Fever Pitch, Forever Accelerating Fiber Frenzy. BICSI Winter Conference and Exhibition 2018, Presentation Materials. Available online: https://www.bicsi.org/docs/default-source/conference-presentations/2018-winter/fiber-frenzy.pdf?sfvrsn=e61e8edf_2 (accessed on 25 December 2019).
  5. Freund, R.E.; Bunge, C.-A.; Ledentsov, N.N.; Molin, D.; Caspar, C. High-speed transmission in multimode fibers. IEEE J. Lightware Technol. 2010, 28, 569–586. [Google Scholar] [CrossRef]
  6. Roberts, C.; Ellis, R. Fiber Selection and Standards Guide for Premises Networks; Corning White Paper: New York, NY, USA, 2013. [Google Scholar]
  7. Indra, A. Industrial Fiber Optics in Train Transportation Systems; Avago Technologies White Paper: San Jose, CA, USA, 2012. [Google Scholar]
  8. Liu, S.; Xing, B.; Li, B.; Gu, M. Ship information system: Overview and research trends. Int. J. Naval Arch. Ocean Eng. 2014, 6, 670–684. [Google Scholar] [CrossRef]
  9. Olson, E. The Case for Fiber in Commercial Aircraft: Solving the Bandwidth/Distance Challenge. Military & Aerospace Electronics. 2016. Available online: https://www.militaryaerospace.com/sponsored/te-connectivity/article/16728327/the-case-for-fiber-in-commercial-aircraft-solving-the-bandwidthdistance-challenge (accessed on 25 December 2019).
  10. Zhukov, A.E.; Burdin, V.A.; Bourdine, A.V. Design of silica optical fibers with enlarged core diameter for a few-mode fiber optic links of onboard and industrial multi-Gigabit networks. Procedia Eng. 2017, 201, 105–116. [Google Scholar] [CrossRef]
  11. Bourdine, A.V.; Burdin, V.A.; Janyani, V.; Ghunawat, A.K.; Singh, G.; Zhukov, A.E. Design of silica multimode optical fibers with extremely enlarged core diameter for laser-based multi-Gigabit short-range optical networks. Photonics 2018, 5, 37. [Google Scholar] [CrossRef]
  12. Bourdine, A.V.; Burdin, V.A.; Zhukov, A.E.; Singh, G.; Janyani, V. Simulation-based prediction of 100-μm-core multimode optical fiber bandwidth for 10GBase-LX systems. In 2019 Systems of Signals Generating and Processing in the Field of on Board Communications; IEEE: Moscow, Russia, 2019; pp. 1–5. [Google Scholar]
  13. Bourdine, A.V. Few-Mode Regime of Optical Signal Transmission over Multimode Optical Fibers: Applications in Modern Infocommunications; PSUTI: Samara, Russia, 2011. [Google Scholar]
  14. Adams, M.J. An Introduction to Optical Waveguides; John Wiley & Sons Ltd.: New York, NY, USA, 1981. [Google Scholar]
  15. Bourdine, A.V. Method for chromatic dispersion estimation of high-order guided modes in graded index single-cladding fibers. Proc. SPIE 2006, 6605, 1–13. [Google Scholar]
  16. Snyder, A.W.; Love, J. Optical Waveguide Theory; Chapman & Hall: London, UK, 1983. [Google Scholar]
  17. Bourdine, A.V. Modeling and simulation of piecewise regular multimode fiber links operating in a few-mode regime. Adv. Opt. Tech. 2013, 2013, 1–18. [Google Scholar] [CrossRef]
  18. Bourdine, A.V.; Delmukhametov, O.R. Calculation of transmission parameters of the launched higher-order modes based on the combination of a modified Gaussian approximation and a finite element method. Telecom. Radio Eng. 2013, 72, 111–123. [Google Scholar] [CrossRef]
  19. Bourdine, A.V.; Praporshchikov, D.E.; Yablochkin, K.A. Investigation of defects of refractive index profile of silica graded-index multimode fibers. Proc. SPIE 2011, 7992, 1–6. [Google Scholar]
  20. Bourdine, A.V. Differential mode delay of different generations of silica multimode optical fibers. Photon Express 2008, 5-6, 20–22. [Google Scholar]
  21. Bourdine, A.V. On multimode optical fiber DMD diagnostics. Infokommunikacionnye Tehnologii (Inforcomm. Tech.) 2008, 6, 33–38. [Google Scholar]
  22. Gowar, J. Optical Communication Systems; Prentice Hall / International / Radio i Svyaz (Radio and Communications): Moscow, Russia, 1989. [Google Scholar]
  23. Cunningham, D.; Nowell, M.; Hanson, D. Proposed Worst Case Link Model for Optical Physical Media Dependent Specification Development. IEEE 802.3z Task Force Presentation Materials, January 1997. Available online: http://www.ieee802.org/3/z/public/presentations/jan1997/dc_model.pdf (accessed on 25 December 2019).
  24. Cunningham, D.; Nowell, M.; Hanson, D.; Kazovsky, L. The IEEE 802.3z Worst Case Link Model for Optical Physical Media Dependent Specification. IEEE 802.3z Task Force Presentation Materials, March 1997. Available online: http://www.ieee802.org/3/z/public/presentations/mar1997/DCwpaper.pdf (accessed on 25 December 2019).
  25. Clarifying Optical Parameters, Power Budgets, and Fiber Plant Requirements for 10GBase-E and 10GBase-L. Cisco Systems White Papers 2005. Available online: https://www.cisco.com/c/en/us/products/collateral/interfaces-modules/10-gigabit-modules/prod_white_paper0900aecd8033fa80.pdf (accessed on 25 December 2019).
Figure 1. Selected sample of optimized graded refractive index profile for 100-μm core laser-optimized multimode optical fibers (LOMF).
Figure 1. Selected sample of optimized graded refractive index profile for 100-μm core laser-optimized multimode optical fibers (LOMF).
Fibers 08 00018 g001
Figure 2. Differential mode delay (DMD) diagram, computed for selected guided modes in 100-μm LOMF at wavelength λ = 1310 nm.
Figure 2. Differential mode delay (DMD) diagram, computed for selected guided modes in 100-μm LOMF at wavelength λ = 1310 nm.
Fibers 08 00018 g002
Figure 3. Computed spectral DMD (λ) curve over “O”-band with reference to the fundamental mode LP01 delay.
Figure 3. Computed spectral DMD (λ) curve over “O”-band with reference to the fundamental mode LP01 delay.
Fibers 08 00018 g003
Figure 4. LOMF 100/125 preform refractive index profile.
Figure 4. LOMF 100/125 preform refractive index profile.
Fibers 08 00018 g004
Figure 5. Drawn LOMF 100/125 refractive index profile.
Figure 5. Drawn LOMF 100/125 refractive index profile.
Fibers 08 00018 g005
Figure 6. LOMF 100/125 end (CCDR measurement): (a) beginning of the drawn length; (b) end point.
Figure 6. LOMF 100/125 end (CCDR measurement): (a) beginning of the drawn length; (b) end point.
Fibers 08 00018 g006
Figure 7. Variation of outer cladding LOMF diameter along length: (a) report; (b) statistics.
Figure 7. Variation of outer cladding LOMF diameter along length: (a) report; (b) statistics.
Fibers 08 00018 g007
Figure 8. Attenuation of manufactured 520 m length of LOMF 100/125.
Figure 8. Attenuation of manufactured 520 m length of LOMF 100/125.
Fibers 08 00018 g008
Figure 9. Simplified block scheme of DMD analyzer workstation R2D2.
Figure 9. Simplified block scheme of DMD analyzer workstation R2D2.
Fibers 08 00018 g009
Figure 10. Experimental setup.
Figure 10. Experimental setup.
Fibers 08 00018 g010
Figure 11. Software screenshot.
Figure 11. Software screenshot.
Fibers 08 00018 g011
Figure 12. Optical spectrum of DMD analyzer Fabry–Perot LD.
Figure 12. Optical spectrum of DMD analyzer Fabry–Perot LD.
Fibers 08 00018 g012
Figure 13. Reference optical pulse.
Figure 13. Reference optical pulse.
Fibers 08 00018 g013
Figure 14. LOMF 100/125 DMD map at wavelength λ = 1310 nm under the reference Gaussian pulse FWHM = 340 ps over 0…25.0 μm offset range via 1.0 μm interval.
Figure 14. LOMF 100/125 DMD map at wavelength λ = 1310 nm under the reference Gaussian pulse FWHM = 340 ps over 0…25.0 μm offset range via 1.0 μm interval.
Fibers 08 00018 g014
Figure 15. Results of dispersion evaluation.
Figure 15. Results of dispersion evaluation.
Fibers 08 00018 g015

Share and Cite

MDPI and ACS Style

Burdin, V.A.; Dashkov, M.V.; Demidov, V.V.; Dukelskii, K.V.; Evtushenko, A.S.; Kuznetsov, A.A.; Matrosova, A.S.; Morozov, O.G.; Ter-Nersesyants, E.V.; Vasilets, A.A.; et al. New Silica Laser-Optimized Multimode Optical Fibers with Extremely Enlarged 100-μm Core Diameter for Gigabit Onboard and Industrial Networks. Fibers 2020, 8, 18. https://doi.org/10.3390/fib8030018

AMA Style

Burdin VA, Dashkov MV, Demidov VV, Dukelskii KV, Evtushenko AS, Kuznetsov AA, Matrosova AS, Morozov OG, Ter-Nersesyants EV, Vasilets AA, et al. New Silica Laser-Optimized Multimode Optical Fibers with Extremely Enlarged 100-μm Core Diameter for Gigabit Onboard and Industrial Networks. Fibers. 2020; 8(3):18. https://doi.org/10.3390/fib8030018

Chicago/Turabian Style

Burdin, Vladimir A., Michael V. Dashkov, Vladimir V. Demidov, Konstantin V. Dukelskii, Alexander S. Evtushenko, Artem A. Kuznetsov, Alexandra S. Matrosova, Oleg G. Morozov, Egishe V. Ter-Nersesyants, Alexander A. Vasilets, and et al. 2020. "New Silica Laser-Optimized Multimode Optical Fibers with Extremely Enlarged 100-μm Core Diameter for Gigabit Onboard and Industrial Networks" Fibers 8, no. 3: 18. https://doi.org/10.3390/fib8030018

APA Style

Burdin, V. A., Dashkov, M. V., Demidov, V. V., Dukelskii, K. V., Evtushenko, A. S., Kuznetsov, A. A., Matrosova, A. S., Morozov, O. G., Ter-Nersesyants, E. V., Vasilets, A. A., Zaitseva, E. S., Zhukov, A. E., & Bourdine, A. V. (2020). New Silica Laser-Optimized Multimode Optical Fibers with Extremely Enlarged 100-μm Core Diameter for Gigabit Onboard and Industrial Networks. Fibers, 8(3), 18. https://doi.org/10.3390/fib8030018

Note that from the first issue of 2016, this journal uses article numbers instead of page numbers. See further details here.

Article Metrics

Back to TopTop