A Brief Review of Nanocellulose Based Hybrid Membranes for CO2 Separation
Abstract
1. Introduction
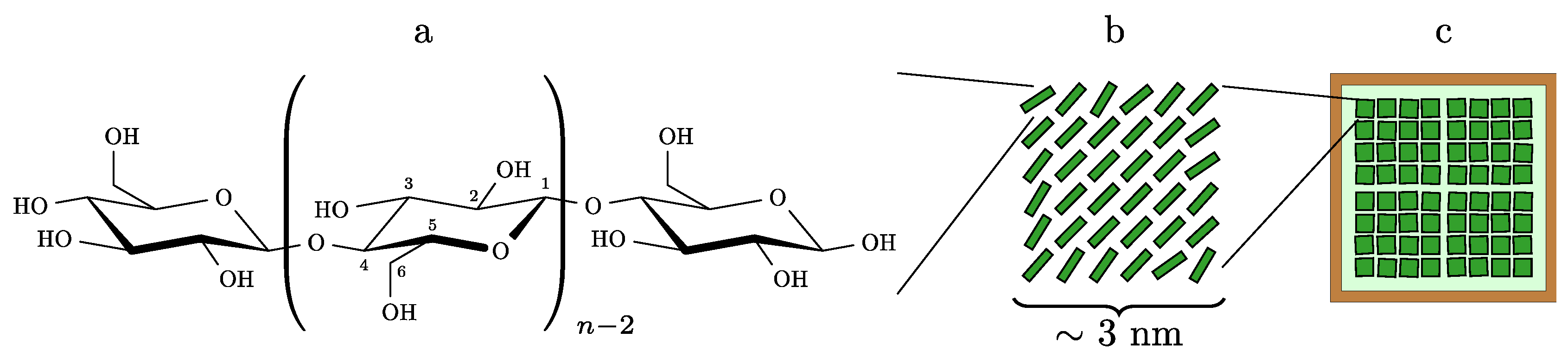
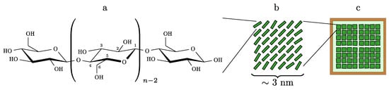
1.1. Chemistry and Structure of Nanocellulose
1.2. Fabrication of Different Nanocelluloses
1.2.1. CNF
1.2.2. CNC
1.2.3. BNC
1.3. Nanocellulose Applications
2. Nanocellulose Hybrid Membranes
2.1. Nanocellulose Based Membrane Fabrication
2.1.1. Vacuum Filtration
2.1.2. Casting Evaporation and Coating
2.1.3. Electrospinning
2.2. Nanocellulose Hybrid Membrane Applications
3. Nanocellulose Hybrid Membranes for Gas Separation
3.1. Facilitated Transport Membranes
3.2. Nanocellulose/Polymeric Hybrid Membranes Based on Solution-Diffusion Mechanism
3.3. Nanocellulose/Metal Organic Frameworks Hybrid Membranes
3.4. Comparison of Gas Separation Performances and Transport Mechanisms
4. Conclusion and Perspectives
Author Contributions
Funding
Conflicts of Interest
References
- Moon, R.J.; Martini, A.; Nairn, J.; Simonsen, J.; Youngblood, J. Cellulose nanomaterials review: Structure, properties and nanocomposites. Chem. Soc. Rev. 2011, 40, 3941–3994. [Google Scholar] [CrossRef] [PubMed]
- Plackett, D.; Letchford, K.; Jackson, J.; Burt, H. A review of nanocellulose as a novel vehicle for drug delivery. Nordic Pulp Pap. Res. J. 2014, 29, 105–118. [Google Scholar] [CrossRef]
- Bodin, A.; Concaro, S.; Brittberg, M.; Gatenholm, P. Bacterial cellulose as a potential meniscus implant. J. Tissue Eng. Regen. Med. 2007, 1, 406–408. [Google Scholar] [CrossRef]
- Stark, N.M. Opportunities for cellulose nanomaterials in packaging films: A review and future trends. J. Renew. Mater. 2016, 4, 313–326. [Google Scholar] [CrossRef]
- Hubbe, M.A.; Rojas, O.J.; Lucia, L.A.; Sain, M. Cellulosic nanocomposites: A review. BioResources 2008, 3, 929–980. [Google Scholar]
- Brodin, F.W.; Gregersen, Ø.W.; Syverud, K. Cellulose nanofibrils: Challenges and possibilities as a paper additive or coating material–A review. Nordic Pulp Pap. Res. J. 2014, 29, 156–166. [Google Scholar] [CrossRef]
- Hubbe, M.A.; Tayeb, P.; Joyce, M.; Tyagi, P.; Kehoe, M.; Dimic-Misic, K.; Pal, L. Rheology of nanocellulose-rich aqueous suspensions: A review. BioResources 2017, 12, 9556–9661. [Google Scholar]
- Giese, M.; Spengler, M. Cellulose nanocrystals in nanoarchitectonics–towards photonic functional materials. Mol. Syst. Des. Eng. 2019, 4, 29–48. [Google Scholar] [CrossRef]
- Lindman, B.; Karlström, G.; Stigsson, L. On the mechanism of dissolution of cellulose. J. Mol. Liq. 2010, 156, 76–81. [Google Scholar] [CrossRef]
- Medronho, B.; Romano, A.; Miguel, M.G.; Stigsson, L.; Lindman, B. Rationalizing cellulose (in)solubility: Reviewing basic physicochemical aspects and role of hydrophobic interactions. Cellulose 2012, 19, 581–587. [Google Scholar] [CrossRef]
- Glasser, W.G.; Atalla, R.H.; Blackwell, J.; Brown, R.M., Jr.; Burchard, W.; French, A.D.; Klemm, D.O.; Nishiyama, Y. About the structure of cellulose: Debating the Lindman hypothesis. Cellulose 2012, 19, 589–598. [Google Scholar] [CrossRef]
- French, A.D. Glucose, not cellobiose, is the repeating unit of cellulose and why that is important. Cellulose 2017, 24, 4605–4609. [Google Scholar] [CrossRef]
- Fengel, D.; Wegener, G. Wood: Chemistry, Ultrastructure, Reactions; Walter de Gruyter: Berlin, Germany, 1983. [Google Scholar]
- Ottesen, V. Cellulose Nanofibrils as Paper Additive and Coating Material: Properties, Distribution and Interaction Effects; Norwegian University of Science and Technology Trondheim: Trondheim, Norway, 2018. [Google Scholar]
- Klemm, D.; Kramer, F.; Moritz, S.; Lindström, T.; Ankerfors, M.; Gray, D.; Dorris, A. Nanocelluloses: A new family of nature-based materials. Angew. Chem. Int. Ed. 2011, 50, 5438–5466. [Google Scholar] [CrossRef]
- Dufresne, A. Nanocellulose: From Nature to High Performance Tailored Materials; Walter de Gruyter GmbH & Co. KG: Berlin, Germany, 2017. [Google Scholar]
- Nechyporchuk, O.; Belgacem, M.N.; Bras, J. Production of cellulose nanofibrils: A review of recent advances. Ind. Crops Prod. 2016, 93, 2–25. [Google Scholar] [CrossRef]
- Klemm, D.; Cranston, E.D.; Fischer, D.; Gama, M.; Kedzior, S.A.; Kralisch, D.; Kramer, F.; Kondo, T.; Lindström, T.; Nietzsche, S.; et al. Nanocellulose as a natural source for groundbreaking applications in materials science: Today’s state. Mater. Today 2018, 21, 720–748. [Google Scholar] [CrossRef]
- Turbak, A.F.; Snyder, F.W.; Sandberg, K.R. Microfibrillated cellulose, a new cellulose product: Properties, uses, and commercial potential. In Journal of Applied Polymer Science: Applied Polymer Symposia; ITT Rayonier Inc.: Shelton, WA, USA, 1983. [Google Scholar]
- Czaja, W.K.; Young, D.J.; Kawecki, M.; Brown, R.M. The future prospects of microbial cellulose in biomedical applications. Biomacromolecules 2007, 8, 1–12. [Google Scholar] [CrossRef]
- Eriksen, Ø.; Syverud, K.; Gregersen, Ø. The use of microfibrillated cellulose produced from kraft pulp as strength enhancer in TMP paper. Nordic Pulp Pap. Res. J. 2008, 23, 299. [Google Scholar] [CrossRef]
- Saito, T.; Kimura, S.; Nishiyama, Y.; Isogai, A. Cellulose Nanofibers Prepared by TEMPO-Mediated Oxidation of Native Cellulose. Biomacromolecules 2007, 8, 2485–2491. [Google Scholar] [CrossRef]
- Saito, T.; Isogai, A. Introduction of aldehyde groups on surfaces of native cellulose fibers by TEMPO-mediated oxidation. Colloids Surf. A Physicochem. Eng. Asp. 2006, 289, 219–225. [Google Scholar] [CrossRef]
- Ottesen, V.; Kumar, V.; Toivakka, M.; Carrasco, G.C.; Syverud, K.; Gregersen, Ø.W. Viability and properties of roll-to-roll coating of cellulose nanofibrils on recycled paperboard. Nordic Pulp Pap. Res. J. 2017, 32, 179–188. [Google Scholar] [CrossRef]
- Hirota, M.; Tamura, N.; Saito, T.; Isogai, A. Water dispersion of cellulose II nanocrystals prepared by TEMPO-mediated oxidation of mercerized cellulose at pH 4.8. Cellulose 2010, 17, 279–288. [Google Scholar] [CrossRef]
- Dong, X.M.; Revol, J.-F.; Gray, D.G. Effect of microcrystallite preparation conditions on the formation of colloid crystals of cellulose. Cellulose 1998, 5, 19–32. [Google Scholar] [CrossRef]
- Saïd Azizi Samir, M.A.; Alloin, F.; Paillet, M.; Dufresne, A. Tangling Effect in Fibrillated Cellulose Reinforced Nanocomposites. Macromolecules 2004, 37, 4313–4316. [Google Scholar] [CrossRef]
- Brown, A.J. XLIII.—On an acetic ferment which forms cellulose. J. Chem. Soc. Trans. 1886, 49, 432–439. [Google Scholar] [CrossRef]
- Jonas, R.; Farah, L.F. Production and application of microbial cellulose. Polym. Degradat. Stab. 1998, 59, 101–106. [Google Scholar] [CrossRef]
- Brown, R.M., Jr.; Willison, J.H.; Richardson, C.L. Cellulose biosynthesis in Acetobacter xylinum: Visualization of the site of synthesis and direct measurement of the in vivo process. Proc. Natl. Acad. Sci. USA 1976, 73, 4565–4569. [Google Scholar] [CrossRef]
- Zugenmaier, P. Crystalline Cellulose and Derivatives: Characterization and Structures; Springer: Berlin/Heidelberg, Germazny, 2008. [Google Scholar]
- Klemm, D.; Heublein, B.; Fink, H.P.; Bohn, A. Cellulose: Fascinating biopolymer and sustainable raw material. Angew. Chem. Int. Ed. 2005, 44, 3358–3393. [Google Scholar] [CrossRef]
- Ankerfors, M.; Ström, G.; Öhgren, C.J.I.A.S. Nanocellulose as an additive in foodstuff; Inneventia AB: Stockholm, Sweden, 2013. [Google Scholar]
- Gómez, H.C.; Serpa, A.; Velásquez-Cock, J.; Gañán, P.; Castro, C.; Vélez, L.; Zuluaga, R. Vegetable nanocellulose in food science: A review. Food Hydrocoll. 2016, 57, 178–186. [Google Scholar] [CrossRef]
- Li, F.; Mascheroni, E.; Piergiovanni, L. The Potential of NanoCellulose in the Packaging Field: A Review. Packag. Technol. Sci. 2015, 28, 475–508. [Google Scholar] [CrossRef]
- Azeredo, H.M.C.; Rosa, M.F.; Mattoso, L.H.C. Nanocellulose in bio-based food packaging applications. Ind. Crops Prod. 2017, 97, 664–671. [Google Scholar] [CrossRef]
- Khan, A.; Huq, T.; Khan, R.A.; Riedl, B.; Lacroix, M. Nanocellulose-Based Composites and Bioactive Agents for Food Packaging. Crit. Rev. Food Sci. Nutr. 2014, 54, 163–174. [Google Scholar] [CrossRef] [PubMed]
- Khalil, H.A.; Davoudpour, Y.; Saurabh, C.K.; Hossain, M.S.; Adnan, A.; Dungani, R.; Paridah, M.; Sarker, M.Z.I.; Fazita, M.N.; Syakir, M. A review on nanocellulosic fibres as new material for sustainable packaging: Process and applications. Renew. Sustain. Energy Rev. 2016, 64, 823–836. [Google Scholar] [CrossRef]
- Ferrer, A.; Pal, L.; Hubbe, M. Nanocellulose in packaging: Advances in barrier layer technologies. Ind. Crops Prod. 2017, 95, 574–582. [Google Scholar] [CrossRef]
- Mahfoudhi, N.; Boufi, S. Nanocellulose as a novel nanostructured adsorbent for environmental remediation: A review. Cellulose 2017, 24, 1171–1197. [Google Scholar] [CrossRef]
- Puglia, D.; Fortunati, E.; Kenny, J.M. Multifunctional Polymeric Nanocomposites Based on Cellulosic Reinforcements; William Andrew: Norwich, NY, USA, 2016. [Google Scholar]
- Dufresne, A. Cellulose nanomaterial reinforced polymer nanocomposites. Curr. Opin. Colloid Interface Sci. 2017, 29, 1–8. [Google Scholar] [CrossRef]
- Kargarzadeh, H.; Mariano, M.; Huang, J.; Lin, N.; Ahmad, I.; Dufresne, A.; Thomas, S. Recent developments on nanocellulose reinforced polymer nanocomposites: A review. Polymer 2017, 132, 368–393. [Google Scholar] [CrossRef]
- Du, X.; Zhang, Z.; Liu, W.; Deng, Y. Nanocellulose-based conductive materials and their emerging applications in energy devices—A review. Nano Energy 2017, 35, 299–320. [Google Scholar] [CrossRef]
- Turbak, A.F.; Snyder, F.W.; Sandberg, K.R. Microfibrillated Cellulose. Google Patents US4374702A, 22 February 1983. [Google Scholar]
- Markstedt, K.; Mantas, A.; Tournier, I.; Martínez Ávila, H.C.; Hägg, D.; Gatenholm, P. 3D bioprinting human chondrocytes with nanocellulose–Alginate bioink for cartilage tissue engineering applications. Biomacromolecules 2015, 16, 1489–1496. [Google Scholar] [CrossRef]
- Hoeng, F.; Denneulin, A.; Bras, J. Use of nanocellulose in printed electronics: A review. Nanoscale 2016, 8, 13131–13154. [Google Scholar] [CrossRef]
- Golmohammadi, H.; Morales-Narvaez, E.; Naghdi, T.; Merkoci, A. Nanocellulose in sensing and biosensing. Chem. Mater. 2017, 29, 5426–5446. [Google Scholar] [CrossRef]
- Liu, C.; Du, H.; Dong, L.; Wang, X.; Zhang, Y.; Yu, G.; Li, B.; Mu, X.; Peng, H.; Liu, H. Properties of Nanocelluloses and Their Application as Rheology Modifier in Paper Coating. Ind. Eng. Chem. Res. 2017, 56, 8264–8273. [Google Scholar] [CrossRef]
- Shi, Z.; Phillips, G.O.; Yang, G. Nanocellulose electroconductive composites. Nanoscale 2013, 5, 3194–3201. [Google Scholar] [CrossRef]
- Jorfi, M.; Foster, E.J. Recent advances in nanocellulose for biomedical applications. J. Appl. Polym. Sci. 2015, 132. [Google Scholar] [CrossRef]
- Karim, Z.; Claudpierre, S.; Grahn, M.; Oksman, K.; Mathew, A.P. Nanocellulose based functional membranes for water cleaning: Tailoring of mechanical properties, porosity and metal ion capture. J. Membr. Sci. 2016, 514, 418–428. [Google Scholar] [CrossRef]
- Malakhov, A.O.; Anokhina, T.S.; Petrova, D.A.; Vinokurov, V.A.; Volkov, A.V. Nanocellulose as a Component of Ultrafiltration Membranes. Pet. Chem. 2018, 58, 923–933. [Google Scholar] [CrossRef]
- Dai, Z.; Ansaloni, L.; Deng, L. Recent advances in multi-layer composite polymeric membranes for CO2 separation: A review. Green Energy Environ. 2016, 1, 102–128. [Google Scholar] [CrossRef]
- Baker, R.W. Membrane Technology and Applications; Wiley Online Library: Hoboken, NJ, USA, 2012. [Google Scholar]
- Cheng, Q.; Ye, D.; Chang, C.; Zhang, L. Facile fabrication of superhydrophilic membranes consisted of fibrous tunicate cellulose nanocrystals for highly efficient oil/water separation. J. Membr. Sci. 2017, 525, 1–8. [Google Scholar] [CrossRef]
- Mautner, A.; Lee, K.-Y.; Tammelin, T.; Mathew, A.P.; Nedoma, A.J.; Li, K.; Bismarck, A. Cellulose nanopapers as tight aqueous ultra-filtration membranes. React. Funct. Polym. 2015, 86, 209–214. [Google Scholar] [CrossRef]
- Metreveli, G.; Wågberg, L.; Emmoth, E.; Belák, S.; Strømme, M.; Mihranyan, A. A Size-Exclusion Nanocellulose Filter Paper for Virus Removal. Adv. Healthc. Mater. 2014, 3, 1546–1550. [Google Scholar] [CrossRef]
- Ansaloni, L.; Salas-Gay, J.; Ligi, S.; Baschetti, M.G. Nanocellulose-based membranes for CO2 capture. J. Membr. Sci. 2017, 522, 216–225. [Google Scholar] [CrossRef]
- Venturi, D.; Ansaloni, L.; Baschetti, M.G. Nanocellulose based facilitated transport membranes for CO2 separation. Chem. Eng. Trans. 2016, 47, 349–354. [Google Scholar]
- Wang, P.-X.; Hamad, W.Y.; MacLachlan, M.J. Structure and transformation of tactoids in cellulose nanocrystal suspensions. Nat. Commun. 2016, 7, 11515. [Google Scholar] [CrossRef]
- Dai, Z.; Deng, J.; Yu, Q.; Helberg, R.M.L.; Janakiram, S.; Ansaloni, L.; Deng, L. Fabrication and Evaluation of Bio-Based Nanocomposite TFC Hollow Fiber Membranes for Enhanced CO2 Capture. ACS Appl. Mater. Interfaces 2019. [Google Scholar] [CrossRef] [PubMed]
- Schiffman, J.D.; Schauer, C.L. A Review: Electrospinning of Biopolymer Nanofibers and their Applications. Polym. Rev. 2008, 48, 317–352. [Google Scholar] [CrossRef]
- Wang, R.; Guan, S.; Sato, A.; Wang, X.; Wang, Z.; Yang, R.; Hsiao, B.S.; Chu, B. Nanofibrous microfiltration membranes capable of removing bacteria, viruses and heavy metal ions. J. Membr. Sci. 2013, 446, 376–382. [Google Scholar] [CrossRef]
- Ma, H.; Burger, C.; Hsiao, B.S.; Chu, B. Nanofibrous Microfiltration Membrane Based on Cellulose Nanowhiskers. Biomacromolecules 2012, 13, 180–186. [Google Scholar] [CrossRef]
- Baker, M. The Quest for Pure Water: The History of Water Purification from the Earliest Records to the Twentieth Century; American Water Works Association: Washington, DC, USA, 1949. [Google Scholar]
- Voisin, H.; Bergström, L.; Liu, P.; Mathew, A. Nanocellulose-based materials for water purification. Nanomaterials 2017, 7, 57. [Google Scholar] [CrossRef] [PubMed]
- Mansouri, J.; Harrisson, S.; Chen, V. Strategies for controlling biofouling in membrane filtration systems: Challenges and opportunities. J. Mater. Chem. 2010, 20, 4567–4586. [Google Scholar] [CrossRef]
- Karim, Z.; Mathew, A.P.; Grahn, M.; Mouzon, J.; Oksman, K. Nanoporous membranes with cellulose nanocrystals as functional entity in chitosan: Removal of dyes from water. Carbohydr. Polym. 2014, 112, 668–676. [Google Scholar] [CrossRef]
- Hassan, M.; Abou-Zeid, R.; Hassan, E.; Berglund, L.; Aitomäki, Y.; Oksman, K. Membranes based on cellulose nanofibers and activated carbon for removal of Escherichia coli bacteria from water. Carbohydr. Polym. 2017, 9, 335. [Google Scholar] [CrossRef]
- Li, Y.; Zhu, L.; Grishkewich, N.; Tam, K.C.; Yuan, J.; Mao, Z.; Sui, X. CO2-Responsive Cellulose Nanofibers Aerogels for Switchable Oil–Water Separation. ACS Appl. Mater. Interfaces 2019, 11, 9367–9373. [Google Scholar] [CrossRef] [PubMed]
- Zhang, Z.; Sèbe, G.; Rentsch, D.; Zimmermann, T.; Tingaut, P. Ultralightweight and Flexible Silylated Nanocellulose Sponges for the Selective Removal of Oil from Water. Chem. Mater. 2014, 26, 2659–2668. [Google Scholar] [CrossRef]
- Jiang, G.-P.; Zhang, J.; Qiao, J.-L.; Jiang, Y.-M.; Zarrin, H.; Chen, Z.; Hong, F. Bacterial nanocellulose/Nafion composite membranes for low temperature polymer electrolyte fuel cells. J. Power Sources 2015, 273, 697–706. [Google Scholar] [CrossRef]
- Bayer, T.; Cunning, B.V.; Selyanchyn, R.; Nishihara, M.; Fujikawa, S.; Sasaki, K.; Lyth, S.M. High temperature proton conduction in nanocellulose membranes: Paper fuel cells. Chem. Mater. 2016, 28, 4805–4814. [Google Scholar] [CrossRef]
- Gadim, T.D.O.; Vilela, C.; Loureiro, F.J.A.; Silvestre, A.J.D.; Freire, C.S.R.; Figueiredo, F.M.L. Nafion® and nanocellulose: A partnership for greener polymer electrolyte membranes. Ind. Crops Prod. 2016, 93, 212–218. [Google Scholar] [CrossRef]
- Vilela, C.; Sousa, N.; Pinto, R.J.B.; Silvestre, A.J.D.; Figueiredo, F.M.L.; Freire, C.S.R. Exploiting poly(ionic liquids) and nanocellulose for the development of bio-based anion-exchange membranes. Biomass Bioenergy 2017, 100, 116–125. [Google Scholar] [CrossRef]
- Miettunen, K.; Vapaavuori, J.; Tiihonen, A.; Poskela, A.; Lahtinen, P.; Halme, J.; Lund, P. Nanocellulose aerogel membranes for optimal electrolyte filling in dye solar cells. Nano Energy 2014, 8, 95–102. [Google Scholar] [CrossRef]
- Leitch, M.E.; Li, C.; Ikkala, O.; Mauter, M.S.; Lowry, G.V. Bacterial Nanocellulose Aerogel Membranes: Novel High-Porosity Materials for Membrane Distillation. Environ. Sci. Technol. Lett. 2016, 3, 85–91. [Google Scholar] [CrossRef]
- Mautner, A.; Lee, K.Y.; Lahtinen, P.; Hakalahti, M.; Tammelin, T.; Li, K.; Bismarck, A. Nanopapers for organic solvent nanofiltration. Chem. Commun. 2014, 50, 5778–5781. [Google Scholar] [CrossRef] [PubMed]
- Ferraz, N.; Leschinskaya, A.; Toomadj, F.; Fellström, B.; Strømme, M.; Mihranyan, A. Membrane characterization and solute diffusion in porous composite nanocellulose membranes for hemodialysis. Cellulose 2013, 20, 2959–2970. [Google Scholar] [CrossRef]
- Baker, R.W.; Low, B.T. Gas separation membrane materials: A perspective. Macromolecules 2014, 47, 6999–7013. [Google Scholar] [CrossRef]
- Torstensen, J.Ø.; Helberg, R.M.L.; Deng, L.; Gregersen, Ø.W.; Syverud, K. PVA/nanocellulose nanocomposite membranes for CO2 separation from flue gas. Int. J. Greenh. Gas Control 2019, 81, 93–102. [Google Scholar] [CrossRef]
- Wu, C.-N.; Saito, T.; Fujisawa, S.; Fukuzumi, H.; Isogai, A. Ultrastrong and High Gas-Barrier Nanocellulose/Clay-Layered Composites. Biomacromolecules 2012, 13, 1927–1932. [Google Scholar] [CrossRef] [PubMed]
- Minelli, M.; Baschetti, M.G.; Doghieri, F.; Ankerfors, M.; Lindström, T.; Siró, I.; Plackett, D. Investigation of mass transport properties of microfibrillated cellulose (MFC) films. J. Membr. Sci. 2010, 358, 67–75. [Google Scholar] [CrossRef]
- Wang, J.; Gardner, D.J.; Stark, N.M.; Bousfield, D.W.; Tajvidi, M.; Cai, Z. Moisture and Oxygen Barrier Properties of Cellulose Nanomaterial-Based Films. ACS Sustain. Chem. Eng. 2018, 6, 49–70. [Google Scholar] [CrossRef]
- Venturi, D.; Grupkovic, D.; Sisti, L.; Baschetti, M.G. Effect of humidity and nanocellulose content on Polyvinylamine-nanocellulose hybrid membranes for CO2 capture. J. Membr. Sci. 2018, 548, 263–274. [Google Scholar] [CrossRef]
- Zhang, X.-F.; Hou, T.; Chen, J.; Feng, Y.; Li, B.; Gu, X.; He, M.; Yao, J. Facilitated Transport of CO2 Through the Transparent and Flexible Cellulose Membrane Promoted by Fixed-Site Carrier. ACS Appl. Mater. Interfaces 2018, 10, 24930–24936. [Google Scholar] [CrossRef]
- Hosakun, Y.; Halász, K.; Horváth, M.; Csóka, L.; Djoković, V. ATR-FTIR study of the interaction of CO2 with bacterial cellulose-based membranes. Chem. Eng. J. 2017, 324, 83–92. [Google Scholar] [CrossRef]
- Uribe, H.A. Effects of Bark Derived Nanocellulose on Gas Separation Membranes; University of Toronto: Toronto, ON, USA, 2018. [Google Scholar]
- Jahan, Z.; Niazi, M.B.K.; Hägg, M.-B.; Gregersen, Ø.W. Decoupling the effect of membrane thickness and CNC concentration in PVA based nanocomposite membranes for CO2/CH4 separation. Sep. Purif. Technol. 2018, 204, 220–225. [Google Scholar] [CrossRef]
- Jahan, Z.; Niazi, M.B.K.; Hägg, M.-B.; Gregersen, Ø.W. Cellulose nanocrystal/PVA nanocomposite membranes for CO2/CH4 separation at high pressure. J. Membr. Sci. 2018, 554, 275–281. [Google Scholar] [CrossRef]
- Caro, J. Are MOF membranes better in gas separation than those made of zeolites? Curr. Opin. Chem. Eng. 2011, 1, 77–83. [Google Scholar] [CrossRef]
- Rezakazemi, M.; Amooghin, A.E.; Montazer-Rahmati, M.M.; Ismail, A.F.; Matsuura, T. State-of-the-art membrane based CO2 separation using mixed matrix membranes (MMMs): An overview on current status and future directions. Prog. Polym. Sci. 2014, 39, 817–861. [Google Scholar] [CrossRef]
- Matsumoto, M.; Kitaoka, T. Ultraselective Gas Separation by Nanoporous Metal−Organic Frameworks Embedded in Gas-Barrier Nanocellulose Films. Adv. Mater. 2016, 28, 1765–1769. [Google Scholar] [CrossRef] [PubMed]
- Dai, Z.; Løining, V.; Deng, J.; Ansaloni, L.; Deng, L. Poly(1-trimethylsilyl-1-propyne)-Based Hybrid Membranes: Effects of Various Nanofillers and Feed Gas Humidity on CO2 Permeation. Membranes 2018, 8, 76. [Google Scholar] [CrossRef]
- Rowe, B.W.; Freeman, B.D.; Paul, D.R. Physical aging of ultrathin glassy polymer films tracked by gas permeability. Polymer 2009, 50, 5565–5575. [Google Scholar] [CrossRef]
- Zhang, X.-F.; Feng, Y.; Wang, Z.; Jia, M.; Yao, J. Fabrication of cellulose nanofibrils/UiO-66-NH2 composite membrane for CO2/N2 separation. J. Membr. Sci. 2018, 568, 10–16. [Google Scholar] [CrossRef]
- Robeson, L.M. The upper bound revisited. J. Membr. Sci. 2008, 320, 390–400. [Google Scholar] [CrossRef]

), hemicellulose is light green (
) lignin is brown (
). Figure adapted from Reference [14]. Used with permission.
), hemicellulose is light green (
) lignin is brown (
). Figure adapted from Reference [14]. Used with permission.







| Material | CO2 Permeability (Barrer) | CO2/CH4 Selectivity | CO2/N2 Selectivity | Operation Condition | References |
|---|---|---|---|---|---|
| CNF | 0.45 | 262.4 | - | Single gas, 1 bar, 35 °C, 65% RH | [59] |
| 0.94 | 332.0 | - | Single gas, 1 bar, 35 °C, 70% RH | ||
| 2.64 | 428.6 | 614.59 | Single gas, 1 bar, 35 °C, 75% RH | ||
| 7.39 | 424.9 | 591.11 | Single gas, 1 bar, 35 °C, 80% RH | ||
| 17.66 | 363.7 | 515.79 | Single gas, 1 bar, 35 °C, 85% RH | ||
| CNF Lup | 0.82 | 46.07 | Single gas, 1 bar, 35 °C, 40% RH | [59] | |
| 12.82 | 58.42 | Single gas, 1 bar, 35 °C, 50% RH | |||
| 49.22 | 73.98 | 214.75 | Single gas, 1 bar, 35 °C, 60% RH | ||
| 100.55 | 59.12 | 154.23 | Single gas, 1 bar, 35 °C, 70% RH | ||
| 143.56 | 36.99 | 74.31 | Single gas, 1 bar, 35 °C, 80% RH | ||
| 182.86 | 25.52 | 50.83 | Single gas, 1 bar, 35 °C, 90% RH | ||
| CNF G2 | 0.03 | 3.01 | - | Single gas, feed pressure of 1 bar, 35 °C | [60] |
| 0.09 | 6.08 | - | |||
| 0.42 | 23.24 | - | |||
| 3.42 | 143.32 | - | |||
| 36.19 | 480.09 | - | |||
| CNF/PVAm | 1.31 | 263.54 | - | Single gas, feed pressure of 1 bar, 35 °C | [60] |
| 12.88 | 432.00 | - | |||
| 38.33 | 211.72 | - | |||
| 83.33 | 111.73 | - | |||
| 243.70 | 36.63 | - | |||
| CNF pure | 4.84 | 105.12 | 223.37 | Single gas, feed pressure of 1 bar, 35 °C | [86] |
| 8.15 | 109.01 | 200.43 | |||
| 23.13 | 93.41 | 100.00 | |||
| 53.89 | 66.75 | 79.08 | |||
| 127.07 | 48.13 | 64.25 | |||
| L30NFC70 | 7.01 | 89.27 | 81.25 | Single gas, feed pressure of 1 bar, 35 °C | [86] |
| 28.82 | 100.46 | 137.17 | |||
| 34.30 | 62.64 | 98.21 | |||
| 42.74 | 35.67 | 63.10 | |||
| 79.00 | 20.31 | 32.93 | |||
| L70NFC30 | 67.95 | 120.47 | 186.46 | Single gas, feed pressure of 1 bar, 35 °C | [86] |
| 91.85 | 133.13 | 221.36 | |||
| 118.53 | 105.12 | 195.07 | |||
| 156.54 | 58.25 | 133.50 | |||
| 209.16 | 29.21 | 86.55 | |||
| CM-0 | 155 | - | 27.2 | Single gas, feed pressure 2 bar at 25 °C | [87] |
| CM-10 | 93.5 | - | 17.4 | ||
| CM-20 | 42.4 | - | 8.4 | ||
| CM-30 | 39.3 | - | 8 | ||
| basic BC membrane | 2.73 | - | - | Single gas, feed pressure of 480 Pa at room temperature | [88] |
| silk fibroin-modified BC membrane | 2.69 | - | - | ||
| ZnO nanoparticles-modified BC | 2.66 | - | - | ||
| PEI | 2.48 | - | 36.37 | Single gas, feed pressure 100 psig, room temperature | [89] * |
| PEI U 0.05% | 6.41 | - | 7.03 | ||
| PEIU 0.1% | 9.31 | - | 14.48 | ||
| PEIU 0.07% | 9.65 | - | 15.57 | ||
| PEIB0.05% | 11.74 | - | 3.06 | ||
| PEIB0.07% | 31.69 | - | 31.48 | ||
| PEIB 0.1% | 50.21 | - | 9.91 | ||
| CA | 0.26 | - | 66.17 | ||
| CAU 0.05% | 0.32 | - | 14.35 | ||
| CAU0.07% | 0.30 | - | 67.38 | ||
| CAU 0.1% | 0.42 | - | 12.95 | ||
| CAB 0.05% | 0.39 | - | 62.93 | ||
| CAB 0.07% | 0.52 | - | 3.84 | ||
| CAB 0.1% | 1.95 | - | 1.51 | ||
| PCNC 0.5% | 69.92 | 31.18 | - | Mixed gas, feed pressure of 5 bar at 100RH% and RT | [90] * |
| PCNC1% | 92.60 | 33.98 | - | ||
| PCNC 1.5% | 100.28 | 39.16 | - | ||
| PCNC 2% | 86.06 | 32.02 | - | ||
| PCNC 4% | 77.60 | 29.08 | - | ||
| PVA | 105 | - | 36 | Mixed gas, feed pressure of 1.2 bar, 100 RH% and 23 °C | [82] * |
| PVA/L-CNF | 92.6 | - | 37.5 | ||
| PVA/H-CNF | 90.7 | - | 42 | ||
| PVA/P-CNF | 100 | - | 42 | ||
| PVA/CNC | 128 | - | 39 | ||
| MOF-TOCN | 3000 | 123 | - | - | [94] * |
| CNF/UiO-66-NH2 | 139 | - | 46 | Single gases, 25 °C | [97] |
| PVA | 407.16 | - | 33.74 | Mixed gas, feed pressure of 2 bar at 100 RH% and RT | [62] * |
| PVA 20CNC | 480.99 | - | 39.94 | ||
| PVA 40CNC | 549.78 | - | 36.16 | ||
| PVA 60CNC | 616.20 | - | 42.84 | ||
| PVA 80CNC | 671.95 | - | 43.60 | ||
| PVA 20CNF | 408.46 | - | 41.93 | ||
| PVA 40CNF | 412.85 | - | 32.61 | ||
| PVA 80CNF | 470.79 | - | 34.57 |
© 2019 by the authors. Licensee MDPI, Basel, Switzerland. This article is an open access article distributed under the terms and conditions of the Creative Commons Attribution (CC BY) license (http://creativecommons.org/licenses/by/4.0/).
Share and Cite
Dai, Z.; Ottesen, V.; Deng, J.; Helberg, R.M.L.; Deng, L. A Brief Review of Nanocellulose Based Hybrid Membranes for CO2 Separation. Fibers 2019, 7, 40. https://doi.org/10.3390/fib7050040
Dai Z, Ottesen V, Deng J, Helberg RML, Deng L. A Brief Review of Nanocellulose Based Hybrid Membranes for CO2 Separation. Fibers. 2019; 7(5):40. https://doi.org/10.3390/fib7050040
Chicago/Turabian StyleDai, Zhongde, Vegar Ottesen, Jing Deng, Ragne M. Lilleby Helberg, and Liyuan Deng. 2019. "A Brief Review of Nanocellulose Based Hybrid Membranes for CO2 Separation" Fibers 7, no. 5: 40. https://doi.org/10.3390/fib7050040
APA StyleDai, Z., Ottesen, V., Deng, J., Helberg, R. M. L., & Deng, L. (2019). A Brief Review of Nanocellulose Based Hybrid Membranes for CO2 Separation. Fibers, 7(5), 40. https://doi.org/10.3390/fib7050040

