Fiber Microsphere Coupled in a Taper for a Large Curvature Range
Abstract
1. Introduction
2. Materials and Methods
- Microsphere (apply an electric arc for at least 5 s; for this study, we use the “Sumitomo Electric Type-72C” splice machine with a power of 100 u.a.);
- Taper (Figure 1a) (splice between two fibers with an electric arc equal to or greater than 20 s and intensity of 50 u.a.; at the same time, stretch the fibers by varying the point of electric arc’s application)
- Cleave the taper and fuse the microsphere and the tip (Figure 1b) (intensity electric arc of 20 u.a. and duration of 1 s)
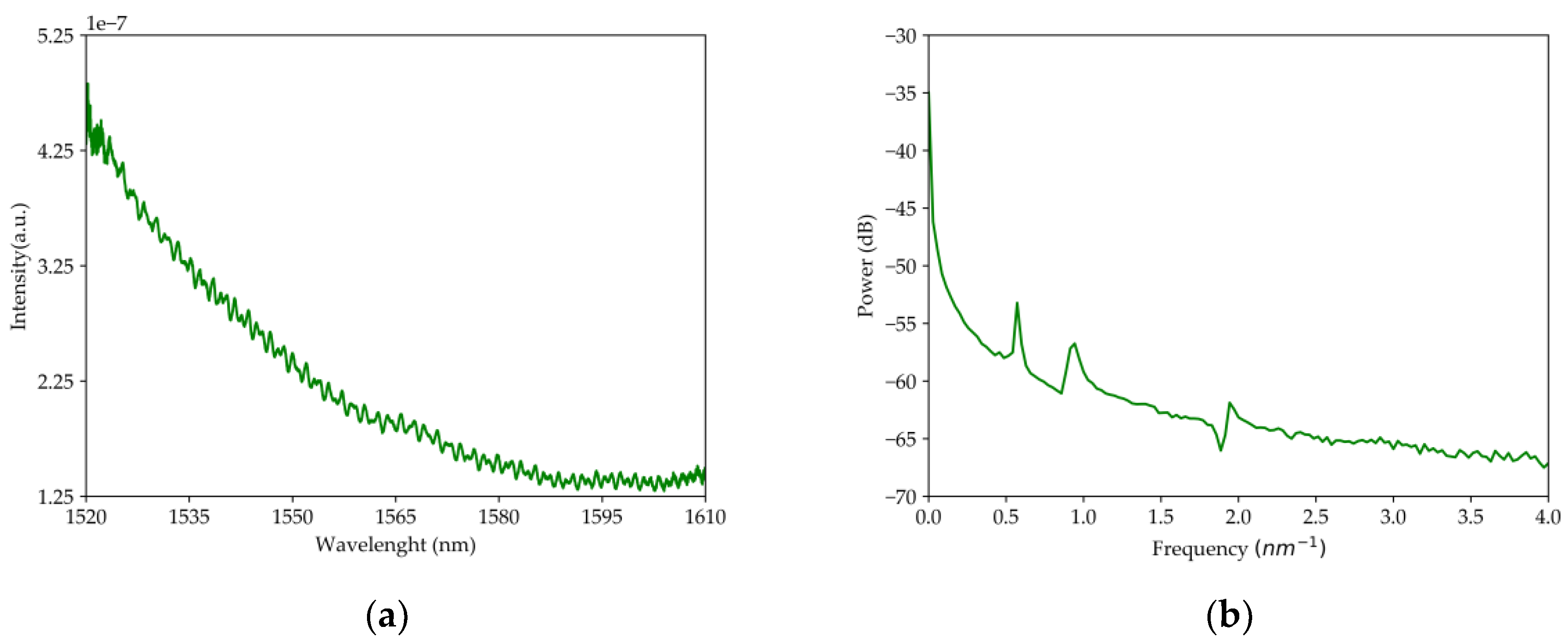
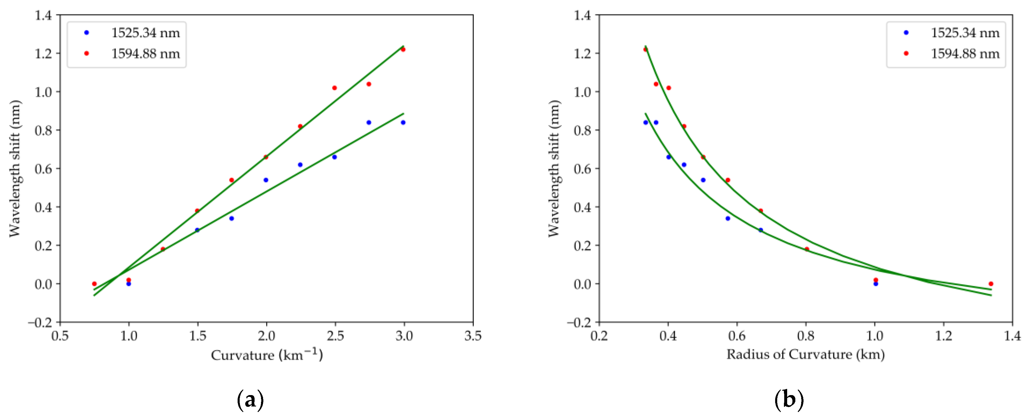
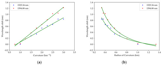
3. Results
4. Discussion and Conclusions
Author Contributions
Funding
Conflicts of Interest
References
- Ferreira, M.S.; Santos, J.L.; Frazão, O. Silica microspheres array strain sensor. Opt. Lett. 2014, 39, 5937–5940. [Google Scholar] [CrossRef] [PubMed]
- Murphy, R.; Lei, F.; Ward, J.; Yang, Y.; Chormaic, S. All-optical nanopositioning of high-Q silica microspheres. Opt. Express 2017, 25, 13101–13106. [Google Scholar] [CrossRef] [PubMed]
- Kieu, Q.K.; Veiko, V.P. Laser fabrication of optical microspheres. In Proceedings of the Laser-Assisted Micro and Nanotechnologies 2003, St. Petersburg, Russia, 2 April 2004. [Google Scholar]
- Yu, H.; Huang, Q.; Zhao, J. Fabrication of an Optical Fiber microsphere with a Diameter of Several Tens of Micrometers. Materials 2014, 7, 4878–4895. [Google Scholar] [CrossRef] [PubMed]
- Foreman, M.R.; Swaim, J.D.; Vollmer, F. Whispering gallery mode sensors. Adv. Opt. Photonics 2015, 7, 168–240. [Google Scholar] [CrossRef] [PubMed]
- Soria, S.; Berneschi, S.; Brenci, M.; Cosi, F.; Conti, G.N.; Pelli, S.; Righini, G.C. Optical Microspherical Resonators for Biomedical Sensing. Sensor 2012, 11, 785–805. [Google Scholar] [CrossRef] [PubMed]
- Ali, A.R.; Afifia, A.N.; Tahaa, H. Optical signal processing and tracking of whispering gallery modes in real-time for sensing applications. In Proceedings of the Integrated Photonics: Materials, Devices, and Applications IV, SPIE Microtechnologies, Barcelona, Spain, 30 May 2017; Volume 10249. [Google Scholar] [CrossRef]
- Pöllinger, M.; Rauschenbeutel, A. All-optical signal processing at ultra-low powers in bottle microresonators using the Kerr effect. Opt. Express 2010, 18, 17764–17775. [Google Scholar] [CrossRef] [PubMed]
- Ward, J.; Benson, O. WGM microresonators: Sensing, lasing and fundamental optics with microspheres. Laser Photonics Rev. 2011, 5, 553–570. [Google Scholar] [CrossRef]
- Reynolds, T.; Riesen, N.; Meldrum, A.; Fan, X.; Hall, J.M.; Monro, T.M.; François, A. Fluorescent and lasing whispering gallery mode microresonators for sensing applications. Laser Photonics Rev. 2017, 11, 1600265. [Google Scholar] [CrossRef]
- Yan, S.B.; Wang, X.Q.; Ma, K.Z.; Zhang, A.F.; Xue, C.Y.; Zhang, W.D. Fabrication and Analysis Optical Microsphere Cavity Based on High Q Erbium-doped. In Proceedings of the 8th IEEE International Conference Nano/Micro Engineered and Molecular Systems (NEMS), Suzhou, China, 7–10 April 2013. [Google Scholar] [CrossRef]
- Salceda-Delgado, G.; Martínez-Ríos, A.; Selvas-Aguilar, R.; Álvarez-Tamayo, R.I.; Castillo-Guzmán, A.; Ibarra-Escamilla, B.; Duran-Ramirez, V.M.; Enriquez-Gomez, L.F. Adaptable Optical Fiber Displacement-Curvature Sensor Based on a Modal Michelson Interferometer with a Tapered Single Mode Fiber. Sensors 2017, 17, 1259. [Google Scholar] [CrossRef] [PubMed]
- Gong, Y.; Zhao, T.; Rao, Y.; Wu, Y. All-Fiber Curvature Sensor Based on Multimode Interference. IEEE Photonics Technol. Lett. 2011, 23, 679–681. [Google Scholar] [CrossRef]
- Su, Y.; Wei, Y.; Zhang, Y.; Liu, C.; Nie, X.; Zhu, Z.; Liu, L. Surface-Plasmon-Resonance-Based Optical Fiber Curvature Sensor with Temperature Compensation by Means of Dual Modulation Method. Sensors 2018, 18, 2608. [Google Scholar] [CrossRef] [PubMed]
- Silva, S.; Pachon, E.G.; Franco, M.A.; Jorge, P.; Santos, J.L.; Malcata, F.X.; Cordeiro, C.M.; Frazão, O. Curvature and Temperature Discrimination Using Multimode Interference Fiber Optic Structures—A Proof of Concept. J. Lightwave Technol. 2012, 30, 3569–3575. [Google Scholar] [CrossRef]







© 2019 by the authors. Licensee MDPI, Basel, Switzerland. This article is an open access article distributed under the terms and conditions of the Creative Commons Attribution (CC BY) license (http://creativecommons.org/licenses/by/4.0/).
Share and Cite
Robalinho, P.; Frazão, O. Fiber Microsphere Coupled in a Taper for a Large Curvature Range. Fibers 2019, 7, 87. https://doi.org/10.3390/fib7100087
Robalinho P, Frazão O. Fiber Microsphere Coupled in a Taper for a Large Curvature Range. Fibers. 2019; 7(10):87. https://doi.org/10.3390/fib7100087
Chicago/Turabian StyleRobalinho, Paulo, and Orlando Frazão. 2019. "Fiber Microsphere Coupled in a Taper for a Large Curvature Range" Fibers 7, no. 10: 87. https://doi.org/10.3390/fib7100087
APA StyleRobalinho, P., & Frazão, O. (2019). Fiber Microsphere Coupled in a Taper for a Large Curvature Range. Fibers, 7(10), 87. https://doi.org/10.3390/fib7100087

