Mechanical Behavior and Modeling of Flax Fiber-Reinforced Geopolymers in Comparison with Other Natural Fiber Composites
Highlights
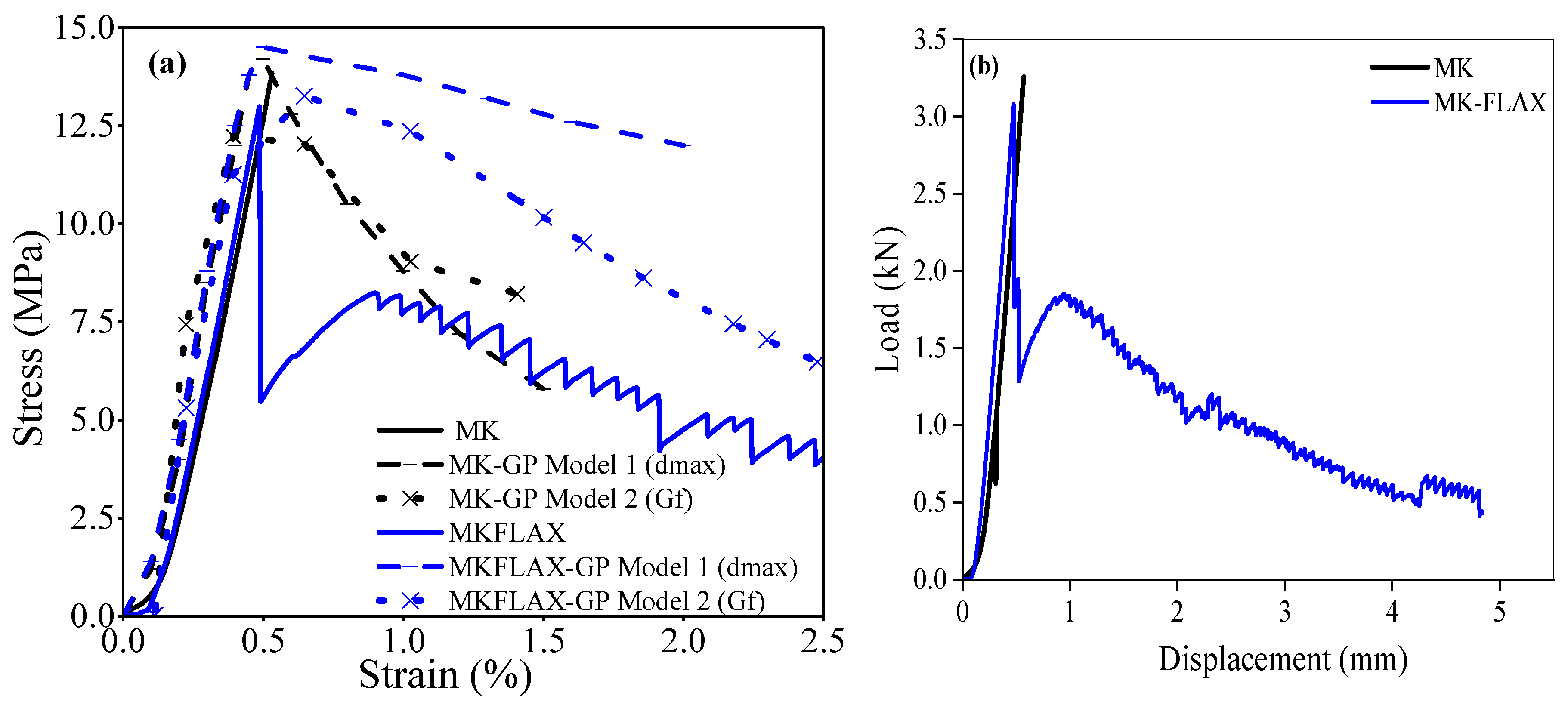
- Flax fiber as reinforcement in metakaolin-based geopolymers sustained compressive strength, while improving ductility and post-peak response under flexural and indirect tensile loading.
- Stress–strain-based concrete damaged plasticity (CDP) modeling reproduced the key experimental trends, with the fracture-energy-based model formulation providing a closer representation of post-peak behavior.
- Flax fibers can contribute to enhanced damage tolerance and toughness of geopolymer composites at the material scale.
- The combined experimental–numerical approach supports trend-level calibration of the CDP material model and can provide reference information for further sustainable studies, with additional validation required before structural applications.
Abstract
1. Introduction
2. Natural Fibers
3. Materials and Methods
4. Results
4.1. Experimental–Numerical Correlation of Damage and Failure Modes
4.2. Compression Tests
4.3. Flexural Strength Test (Three-Point Bending Tests)
4.4. Indirect Tensile Tests
5. Discussion and Comparison of Sisal- and Flax Fiber-Reinforced Composites
6. Conclusions
- Flax fiber as reinforcement kept compressive strength (32 MPa) close to that of plain metakaolin-based geopolymers (33–34 MPa) and resulted in a more gradual post-peak response under flexural and indirect tensile loading versus plain metakaolin-based geopolymers.
- The CDP model reproduces the main experimental trends in compressive, flexure and indirect tensile responses, with reasonable effectiveness in capturing damage localization patterns.
- Adoption of the stress–strain-based CDP models (dmax and Gf) in ABAQAUS for modeling of experimental results showed reasonable agreement with experimental results in the elastic stage and slight overestimates of stiffness in the inelastic stage and is therefore suitable for trend-level material-scale simulations.
- For both MK- and MKFLAX-based geopolymers, the fracture-energy-based CDP model (Gf) showed a closer representation of the experimental post-peak response than the aggregate-size-based model (dmax).
- The literature data indicates that binder type influences geopolymer performance, with metakaolin- and GGBS-based material showing better strength than FA-/brick-based powder at similar fiber content, although direct comparisons are limited.
- Sisal fibers/jute fibers with brick powder and fly ash mixes showed lower strength, but a more gradual post-peak response in the literature, while fiber surface treatment is reported to enhance fiber–matrix interaction.
- Overall, natural fiber reinforcing was found to enhance the post-cracking response and damage tolerance of geopolymer composites in the investigated material system and under laboratory-scale testing conditions. Further studies on structural scale aspects are required before extending these findings to structural applications.
Author Contributions
Funding
Data Availability Statement
Conflicts of Interest
References
- Guo, R.; Wang, J.; Bing, L.; Tong, D.; Ciais, P.; Davis, S.J.; Andrew, R.M.; Xi, F.; Liu, Z. Global CO2 uptake by Cement from 1930 to 2019. Earth Syst. Sci. Data 2021, 13, 1791–1805. [Google Scholar] [CrossRef]
- Scrivener, K.L.; John, V.M.; Gartner, E.M. Eco-Efficient Cements: Potential Economically Viable Solutions for a Low-CO2 Cement-Based Materials Industry. Cem. Concr. Res. 2018, 114, 2–26. [Google Scholar] [CrossRef]
- Ahmad, J.; Kontoleon, K.J.; Majdi, A.; Naqash, M.T.; Deifalla, A.F.; Ben Kahla, N.; Isleem, H.F.; Qaidi, S.M.A. A Comprehensive Review on the Ground Granulated Blast Furnace Slag (GGBS) in Concrete Production. Sustainability 2022, 14, 8783. [Google Scholar] [CrossRef]
- Giergiczny, Z. Fly Ash and Slag. Cem. Concr. Res. 2019, 124, 105826. [Google Scholar] [CrossRef]
- Poloju, K.K.; Annadurai, S.; Manchiryal, R.K.; Goriparthi, M.R.; Baskar, P.; Prabakaran, M.; Kim, J. Analysis of Rheological Characteristic Studies of Fly-Ash-Based Geopolymer Concrete. Buildings 2023, 13, 811. [Google Scholar] [CrossRef]
- Mustakim, S.M.; Das, S.K.; Mishra, J.; Aftab, A.; Alomayri, T.S.; Assaedi, H.S.; Kaze, C.R. Improvement in Fresh, Mechanical and Microstructural Properties of Fly Ash- Blast Furnace Slag Based Geopolymer Concrete by Addition of Nano and Micro Silica. Silicon 2021, 13, 2415–2428. [Google Scholar] [CrossRef]
- Mudgal, M.; Singh, A.; Chouhan, R.K.; Acharya, A.; Srivastava, A.K. Fly Ash Red Mud Geopolymer with Improved Mechanical Strength. Clean. Eng. Technol. 2021, 4, 100215. [Google Scholar] [CrossRef]
- Zhao, Y.; Chen, B.; Duan, H. Effect of Rice Husk Ash on Properties of Slag Based Geopolymer Pastes. J. Build. Eng. 2023, 76, 107035. [Google Scholar] [CrossRef]
- He, J.; Zhang, J.; Yu, Y.; Zhang, G. The Strength and Microstructure of Two Geopolymers Derived from Metakaolin and Red Mud-Fly Ash Admixture: A Comparative Study. Constr. Build. Mater. 2012, 30, 80–91. [Google Scholar] [CrossRef]
- Ullah, S.; Alam, M.; Faisal, S.; Hayat, S. Study of recycled aggregate as a partial replacement of virgin aggregate in concrete. In Proceedings of the 3rd International Conference on Emerging Trends in Engineering, Management and Sciences, Peshawar, Pakistan, 18–20 October 2018. ICETEMS-2018. [Google Scholar]
- Faisal, S.; Hayat, S.; Pakistan, P.; Ullah, S.; Khan, B. Effect of nano silica on the durability of concrete. In Proceedings of the 3rd International Conference on Emerging Trends in Engineering, Management and Sciences, Peshawar, Pakistan, 18–20 October 2018. ICETEMS-2018. [Google Scholar]
- Mahmood, A.; Noman, M.T.; Pechočiaková, M.; Amor, N.; Petrů, M.; Abdelkader, M.; Militký, J.; Sozcu, S.; Ul Hassan, S.Z. Geopolymers and Fiber-reinforced Concrete Composites in Civil Engineering. Polymers 2021, 13, 2099. [Google Scholar] [CrossRef]
- Ullah, S.; Ullah, E.S. Use of Pet Bottles (Fibers) as a Partial Replacement of Fine Aggregates in Concrete. In Proceedings of the 2nd International Conference on Emerging Trends in Engineering, Management and Sciences, Peshawar, Pakistan, 28–29 December 2016. ICETEMS-2016. [Google Scholar]
- Mokhtari, P.; Ozer, A.; de Sá Ribeiro, R.A.; Samuel, D.; Kriven, W.M. Investigation of Geopolymer Efflorescence Durability Problems: Causes and Possible Solutions. J. Am. Ceram. Soc. 2024, 107, 5364–5382. [Google Scholar] [CrossRef]
- Jang, J.G.; Lee, N.K.; Lee, H.K. Fresh and Hardened Properties of Alkali-Activated Fly Ash/Slag Pastes with Superplasticizers. Constr. Build. Mater. 2014, 50, 169–176. [Google Scholar] [CrossRef]
- Shahrajabian, F.; Behfarnia, K. The Effects of Nano Particles on Freeze and Thaw Resistance of Alkali-Activated Slag Concrete. Constr. Build. Mater. 2018, 176, 172–178. [Google Scholar] [CrossRef]
- Coppola, L.; Coffetti, D.; Crotti, E.; Gazzaniga, G.; Pastore, T. An Empathetic Added Sustainability Index (EASI) for Cementitious Based Construction Materials. J. Clean. Prod. 2019, 220, 475–482. [Google Scholar] [CrossRef]
- Coppola, L.; Coffetti, D.; Crotti, E. Pre-Packed Alkali Activated Cement-Free Mortars for Repair of Existing Masonry Buildings and Concrete Structures. Constr. Build. Mater. 2018, 173, 111–117. [Google Scholar] [CrossRef]
- Zinkaah, O.H.; Ashour, A. Load Capacity Predictions of Continuous Concrete Deep Beams Reinforced with GFRP Bars. Structures 2019, 19, 449–462. [Google Scholar] [CrossRef]
- Palizzolo, L.; Sanfilippo, C.; Ullah, S.; Benfratello, S. Strengthening of Masonry Structures by Sisal-Reinforced Geopolymers. Sustainability 2024, 16, 9181. [Google Scholar] [CrossRef]
- Benfratello, S.; Palizzolo, L.; Sanfilippo, C.; Valenza, A.; Ullah, S. The Structural Performance of Fiber-Reinforced Geopolymers: A Review. Eng 2025, 6, 159. [Google Scholar] [CrossRef]
- Sa Ribeiro, R.A.; Sa Ribeiro, M.G.; Samuel, D.M.; Ozer, A.; Numkiatsakul, P.; Kriven, W.M. Metakaolin-Based Geopolymer Mineral Particulate Composite Design for Higher Strength and Thermal Stability. Int. J. Appl. Ceram. Technol. 2025, 22, e15155. [Google Scholar] [CrossRef]
- Dwibedy, S.; Panigrahi, S.K. Factors Affecting the Structural Performance of Geopolymer Concrete Beam Composites. Constr. Build. Mater. 2023, 409, 134129. [Google Scholar] [CrossRef]
- Akduman, S.; Aktepe, R.; Aldemir, A.; Ozcelikci, E.; Yildirim, G.; Sahmaran, M.; Ashour, A. Structural Performance of Construction and Demolition Waste-Based Geopolymer Concrete Columns under Combined Axial and Lateral Cyclic Loading. Eng. Struct. 2023, 297, 116973. [Google Scholar] [CrossRef]
- Marvila, M.T.; de Azevedo, A.R.G.; de Oliveira, L.B.; de Castro Xavier, G.; Vieira, C.M.F. Mechanical, Physical and Durability Properties of Activated Alkali Cement Based on Blast Furnace Slag as a Function of %Na2O. Case Stud. Constr. Mater. 2021, 15, e00723. [Google Scholar] [CrossRef]
- Guo, X.; Pan, X. Mechanical Properties and Mechanisms of Fiber Reinforced Fly Ash–Steel Slag Based Geopolymer Mortar. Constr. Build. Mater. 2018, 179, 633–641. [Google Scholar] [CrossRef]
- Longo, F.; Lassandro, P.; Moshiri, A.; Phatak, T.; Aiello, M.A.; Krakowiak, K.J. Lightweight Geopolymer-Based Mortars for the Structural and Energy Retrofit of Buildings. Energy Build 2020, 225, 110352. [Google Scholar] [CrossRef]
- Abulencia, A.B.; Villoria, M.B.D.; Libre, R.G.D.; Quiatchon, P.R.J.; Dollente, I.J.R.; Guades, E.J.; Promentilla, M.A.B.; Garciano, L.E.O.; Ongpeng, J.M.C. Geopolymers as Sustainable Material for Strengthening and Restoring Unreinforced Masonry Structures: A Review. Buildings 2021, 11, 532. [Google Scholar] [CrossRef]
- Ranjbar, N.; Zhang, M. Fiber-Reinforced Geopolymer Composites: A Review. Cem. Concr. Compos. 2020, 107, 103498. [Google Scholar] [CrossRef]
- Mo, K.H.; Alengaram, U.J.; Jumaat, M.Z. Structural Performance of Reinforced Geopolymer Concrete Members: A Review. Constr. Build. Mater. 2016, 120, 251–264. [Google Scholar] [CrossRef]
- Sukontasukkul, P.; Pongsopha, P.; Chindaprasirt, P.; Songpiriyakij, S. Flexural performance and toughness of hybrid steel and polypropylene fibre reinforced geopolymer. Constr. Build. Mater. 2018, 161, 37–44. [Google Scholar] [CrossRef]
- Muhammad, F.; Bhutta, A.; Banthia, N. Tensile performance of eco-friendly ductile geopolymer composites (EDGC) incorporating different micro-fibers. Cem. Concr. Compos. 2019, 103, 183–192. [Google Scholar] [CrossRef]
- Asil, M.B.; Ranjbar, M.M. Hybrid Effect of Carbon Nanotubes and Basalt Fibers on Mechanical, Durability, and Microstructure Properties of Lightweight Geopolymer Concretes. Constr. Build. Mater. 2022, 357, 129352. [Google Scholar] [CrossRef]
- Navid, R.; Talebian, S.; Mehrali, M.; Kuenzel, C.; Metselaar, H.S.C.; Jumaat, M.Z. Mechanisms of interfacial bond in steel and polypropylene fiber reinforced geopolymer composites. Compos. Sci. Technol. 2016, 122, 73–81. [Google Scholar] [CrossRef]
- Laetitia, M.; Rossi, P.; Roussel, N. Rheology of fiber reinforced cementitious materials: Classification and prediction. Cem. Concr. Res. 2010, 40, 226–234. [Google Scholar] [CrossRef]
- Noushini, A.; Hastings, M.; Castel, A.; Aslani, F. Mechanical and Flexural Performance of Synthetic Fibre Reinforced Geopolymer Concrete. Constr. Build. Mater. 2018, 186, 454–475. [Google Scholar] [CrossRef]
- Farhan, K.Z.; Johari, M.A.M.; Demirboğa, R. Impact of Fiber Reinforcements on Properties of Geopolymer Composites: A Review. J. Build. Eng. 2021, 44, 102628. [Google Scholar] [CrossRef]
- Corradi, M.; Mustafaraj, E.; Speranzini, E. Sustainability Considerations in Remediation, Retrofit, and Seismic Upgrading of Historic Masonry Structures. Environ. Sci. Pollut. Res. 2023, 30, 25274–25286. [Google Scholar] [CrossRef]
- Huang, Y.; Tan, J.; Xuan, X.; Liu, L.; Xie, M.; Liu, H.; Yu, S.; Zheng, G. Study on Untreated and Alkali Treated Rice Straw Reinforced Geopolymer Composites. Mater. Chem. Phys. 2021, 262, 124304. [Google Scholar] [CrossRef]
- Malenab, R.A.J.; Ngo, J.P.S.; Promentilla, M.A.B. Chemical Treatment of Waste Abaca for Natural Fiber-Reinforced Geopolymer Composite. Materials 2017, 10, 579. [Google Scholar] [CrossRef] [PubMed]
- Jabbar, A.; Militký, J.; Wiener, J.; Usman Javaid, M.; Rwawiire, S. Tensile, Surface and Thermal Characterization of Jute Fibres after Novel Treatments. Indian J. Fibre Text. Res. 2016, 41, 249–254. [Google Scholar]
- Majumder, A.; Stochino, F.; Frattolillo, A.; Valdes, M.; Gatto, G.; Martinelli, E. Sustainable Retrofitting Solutions: Evaluating the Performance of Jute Fiber Nets and Composite Mortar in Natural Fiber Textile Reinforced Mortars. Sustainability 2024, 16, 1175. [Google Scholar] [CrossRef]
- Sanfilippo, C.; Fiore, V.; Calabrese, L.; Megna, B.; Valenza, A. Impact of Surface Treatment on the Strengthening of Geopolymer Composites Reinforced with Short Sisal Fibers. JOM 2024, 76, 4514–4525. [Google Scholar] [CrossRef]
- Gu, H. Tensile Behaviours of the Coir Fibre and Related Composites after NaOH Treatment. Mater. Des. 2009, 30, 3931–3934. [Google Scholar] [CrossRef]
- Awwad, E.; Mabsout, M.; Hamad, B.; Farran, M.T.; Khatib, H. Studies on Fiber-Reinforced Concrete Using Industrial Hemp Fibers. Constr. Build. Mater. 2012, 35, 710–717. [Google Scholar] [CrossRef]
- Abdalla, J.A.; Hawileh, R.A.; Bahurudeen, A.; Jyothsna, G.; Sofi, A.; Shanmugam, V.; Thomas, B.S. A Comprehensive Review on the Use of Natural Fibers in Cement/Geopolymer Concrete: A Step towards Sustainability. Case Stud. Constr. Mater. 2023, 19, e02244. [Google Scholar] [CrossRef]
- Ye, H.; Zhang, Y.; Yu, Z.; Mu, J. Effects of Cellulose, Hemicellulose, and Lignin on the Morphology and Mechanical Properties of Metakaolin-Based Geopolymer. Constr. Build. Mater. 2018, 173, 10–16. [Google Scholar] [CrossRef]
- Joseph, K.; Thomast, S.; Pavithran, C. Effect of Chemical Treatment on the Tensile Properties of Short Sisal Fibre-Reinforced Polyethylene Composites. Polymer 1996, 37, 5139–5149. [Google Scholar] [CrossRef]
- Serna, P.; Llano-Torre, A.; Martí-Vargas, J.R.; Navarro-Gregori, J. (Eds.) RILEM Bookseries Fibre Reinforced Concrete: Improvements and Innovations II X RILEM-Fib International Symposium on Fibre Reinforced Concrete (BEFIB) 2021; Springer Nature: Berlin/Heidelberg, Germany, 2021. [Google Scholar]
- Qu, W.; Niu, B.; Lv, C.; Liu, J. A Review of Sisal Fiber-Reinforced Geopolymers: Preparation, Microstructure, and Mechanical Properties. Molecules 2024, 29, 2401. [Google Scholar] [CrossRef] [PubMed]
- Elfaleh, I.; Abbassi, F.; Habibi, M.; Ahmad, F.; Guedri, M.; Nasri, M.; Garnier, C. A Comprehensive Review of Natural Fibers and Their Composites: An Eco-Friendly Alternative to Conventional Materials. Results Eng. 2023, 19, 101271. [Google Scholar] [CrossRef]
- Lazorenko, G.; Kasprzhitskii, A.; Yavna, V.; Mischinenko, V.; Kukharskii, A.; Kruglikov, A.; Kolodina, A.; Yalovega, G. Effect of Pre-Treatment of Flax Tows on Mechanical Properties and Microstructure of Natural Fiber Reinforced Geopolymer Composites. Environ. Technol. Innov. 2020, 20, 101105. [Google Scholar] [CrossRef]
- Assaedi, H.; Shaikh, F.U.A.; Low, I.M. Characterizations of Flax Fabric Reinforced Nanoclay-Geopolymer Composites. Compos. B Eng. 2016, 95, 412–422. [Google Scholar] [CrossRef]
- Bąk, A.; Mikuła, J.; Oliinyk, I.; Łach, M. Basic Research on Layered Geopolymer Composites with Insulating Materials of Natural Origin. Sci. Rep. 2024, 14, 12576. [Google Scholar] [CrossRef]
- Benfratello, S.; Cirello, A.; Palizzolo, L.; Sanfilippo, C.; Valenza, A. Experimental Analysis and Numerical Modelling of the Mechanical Behavior of a Sisal-Fiber-Reinforced Geopolymer. Appl. Sci. 2024, 14, 5216. [Google Scholar] [CrossRef]
- EN 1015-11:2019; Methods of Test for Mortar for Masonry—Part 11: Determination of Flexural and Compressive Strength of Hardened Mortar. European Committee for Standardization: Brussels, Belgium, 2019.
- Elkady, A. ABAQUS_CDP_Generator: A Tool for Generating Concrete Damage Parameters for ABAQUS; Version v23 4; Zenodo: Geneva, Switzerland, 2023. [Google Scholar]
- Lei, B.; Qi, T.; Li, Y.; Jin, Z.; Qian, W. An Enhanced Damaged Plasticity Model for Concrete under Cyclic and Monotonic Triaxial Compression. Eur. J. Mech. A/Solids 2023, 100, 104999. [Google Scholar] [CrossRef]
- Fakeh, M.; Jawdhari, A.; Fam, A. Recommended Concrete Damage Plasticity Parameters and Constitutive Models for UHPC in ABAQUS. Eng. Struct. 2025, 333, 120154. [Google Scholar] [CrossRef]
- Le Minh, H.; Khatir, S.; Abdel Wahab, M.; Cuong-Le, T. A Concrete Damage Plasticity Model for Predicting the Effects of Compressive High-Strength Concrete under Static and Dynamic Loads. J. Build. Eng. 2021, 44, 103239. [Google Scholar] [CrossRef]
- Silva, G.; Kim, S.; Bertolotti, B.; Nakamatsu, J.; Aguilar, R. Optimization of a Reinforced Geopolymer Composite Using Natural Fibers and Construction Wastes. Constr. Build. Mater. 2020, 258, 119697. [Google Scholar] [CrossRef]
- Wongsa, A.; Kunthawatwong, R.; Naenudon, S.; Sata, V.; Chindaprasirt, P. Natural Fiber Reinforced High Calcium Fly Ash Geopolymer Mortar. Constr. Build. Mater. 2020, 241, 118143. [Google Scholar] [CrossRef]
- Lazorenko, G.; Kasprzhitskii, A.; Kruglikov, A.; Mischinenko, V.; Yavna, V. Sustainable Geopolymer Composites Reinforced with Flax Tows. Ceram. Int. 2020, 46, 12870–12875. [Google Scholar] [CrossRef]
- Shcherban’, E.M.; Stel’makh, S.A.; Beskopylny, A.N.; Meskhi, B.; Efremenko, I.; Shilov, A.A.; Vialikov, I.; Ananova, O.; Chernil’nik, A.; Elshaeva, D. Composition, Structure and Properties of Geopolymer Concrete Dispersedly Reinforced with Sisal Fiber. Buildings 2024, 14, 2810. [Google Scholar] [CrossRef]
- Almeida, F.; Cunha, V.M.C.F.; Miranda, T.; Cristelo, N. Indirect Tensile Behaviour of Fibre Reinforced Alkali-Activated Composites. Fibers 2018, 6, 30. [Google Scholar] [CrossRef]













| Element | Symbol | Weight (%) |
|---|---|---|
| Carbon | C K | 2.20 |
| Oxygen | O K | 39.53 |
| Aluminum | Al K | 27.22 |
| Silicon | Si K | 29.71 |
| Titanium | Ti K | 1.34 |
| Parameter | Value | Description/Justification |
|---|---|---|
| Dilation angle (ψ) | 15° | Controls the volumetric expansion during plastic deformation, a value of 10–40° is recommended for quasi-brittle materials and concrete. |
| Eccentricity (ε) | 0.1 | Defines the shape of the plastic potential function; standard value from literature, controlling the ratio of biaxial to uniaxial plastic strain increments. |
| fb0/fbc0 | 1.16 | Ratio of biaxial to uniaxial compressive strength, typical for concrete and quasi-brittle materials, adopted to produce stable stress–strain behavior. |
| K | 0.666 | Defining the shape of the yield surface in the CDP model, influencing post-peak softening and plastic flow, adjusted value to match experimental softening trends without causing numerical instability. |
| Viscosity Parameter | 0.001 | Small damping value to improve numerical convergence of the nonlinear solutions without affecting stress–strain response. |
Disclaimer/Publisher’s Note: The statements, opinions and data contained in all publications are solely those of the individual author(s) and contributor(s) and not of MDPI and/or the editor(s). MDPI and/or the editor(s) disclaim responsibility for any injury to people or property resulting from any ideas, methods, instructions or products referred to in the content. |
© 2026 by the authors. Licensee MDPI, Basel, Switzerland. This article is an open access article distributed under the terms and conditions of the Creative Commons Attribution (CC BY) license.
Share and Cite
Ullah, S.; Benfratello, S.; Sanflippo, C.; Palizzolo, L. Mechanical Behavior and Modeling of Flax Fiber-Reinforced Geopolymers in Comparison with Other Natural Fiber Composites. Fibers 2026, 14, 27. https://doi.org/10.3390/fib14020027
Ullah S, Benfratello S, Sanflippo C, Palizzolo L. Mechanical Behavior and Modeling of Flax Fiber-Reinforced Geopolymers in Comparison with Other Natural Fiber Composites. Fibers. 2026; 14(2):27. https://doi.org/10.3390/fib14020027
Chicago/Turabian StyleUllah, Sana, Salvatore Benfratello, Carmelo Sanflippo, and Luigi Palizzolo. 2026. "Mechanical Behavior and Modeling of Flax Fiber-Reinforced Geopolymers in Comparison with Other Natural Fiber Composites" Fibers 14, no. 2: 27. https://doi.org/10.3390/fib14020027
APA StyleUllah, S., Benfratello, S., Sanflippo, C., & Palizzolo, L. (2026). Mechanical Behavior and Modeling of Flax Fiber-Reinforced Geopolymers in Comparison with Other Natural Fiber Composites. Fibers, 14(2), 27. https://doi.org/10.3390/fib14020027

