High-Power and Fiber-Solid Hybrid MOPA Nanosecond Laser for High-Efficiency 4H-SiC Wafers Slicing
Abstract
1. Introduction
2. Experimental Setup
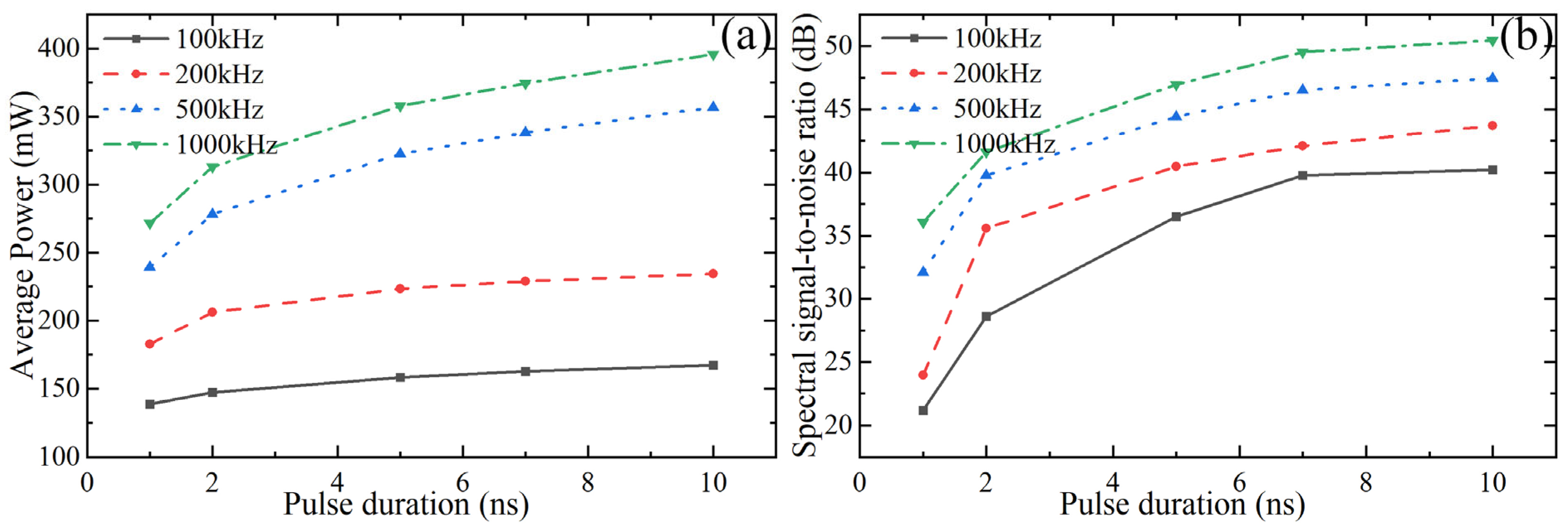
3. Results and Discussion
4. Conclusions
Author Contributions
Funding
Data Availability Statement
Conflicts of Interest
References
- Rouhani, M.; Metla, S.B.S.; Hobley, J.; Karnam, D.; Hung, C.-H.; Lo, Y.-L.; Jeng, Y.-R. A complete phase distribution map of the laser affected zone and ablation debris formed by nanosecond laser-cutting of SiC. J. Mater. Process. Technol. 2025, 338, 118782. [Google Scholar] [CrossRef]
- Kling, R.; Washio, K.; Klotzbach, U.; Hirata, K. New laser slicing technology named KABRA process enables high speed and high efficiency SiC slicing. In Laser-Based Micro- and Nanoprocessing XII; SPIE: Bellingham, WA, USA, 2018; Volume 10520, p. 1052003. [Google Scholar] [CrossRef]
- Zhang, Y.; Xie, X.; Huang, Y.; Hu, W.; Long, J. Internal modified structure of silicon carbide prepared by ultrafast laser for wafer slicing. Ceram. Int. 2023, 49, 5249–5260. [Google Scholar] [CrossRef]
- Yu, X.; Wu, W.; Li, B.; Xiu, X.; Zheng, Y.; Zhang, R. Crack control for efficient nanosecond-laser slicing of large-size 4H-SiC crystals. Appl. Surf. Sci. 2025, 697, 163014. [Google Scholar] [CrossRef]
- Youn, H.; Kang, D.H.; Lim, J.; Han, S.; Lee, J.-H.; Jeong, J.; Kim, S. Scanning direction dependence on crystal orientations of a femtosecond laser-assisted 4H-SiC wafer slicing. Manuf. Lett. 2025, 44, 466–472. [Google Scholar] [CrossRef]
- Yao, Y.; Chen, Q.; Li, B.; Zhang, J.; Wang, R.; Bai, M.; Liang, R.; Ma, L.; Ma, T.; Zhang, J.; et al. Influence of crystal orientation and incident plane on n-type 4H-SiC wafer slicing by using picosecond laser. Opt. Laser Technol. 2025, 182, 112174. [Google Scholar] [CrossRef]
- Xie, X.; Xiong, H.; Lv, K.; He, Z.; Zeng, H.; Huang, Y. Low-damage precision slicing of SiC by simultaneous dual-beam laser-driven crack expansion of silicon carbide. Opt. Laser Technol. 2025, 192, 113960. [Google Scholar] [CrossRef]
- Liu, X.; Hong, M. Micro-cracks generation and growth manipulation by all-laser processing for low kerf-loss and high surface quality SiC slicing. Opt. Express 2024, 32, 38758–38767. [Google Scholar] [CrossRef]
- Wu, W.; Yu, X.; Li, B.; Xiu, X.; Zheng, Y.; Zhang, R. Stress and crack dynamics in nanosecond laser slicing of silicon carbide. Appl. Surf. Sci. 2025, 697, 163052. [Google Scholar] [CrossRef]
- Wang, H.; Cao, Q.; Wu, T.; Yu, L.; Wang, Z.; Peng, S.; Wang, D. Crack propagation mechanisms in laser slicing of 4° off-axis 4H-SiC and separation strength regulation via multi-beam processing. Mater. Sci. Semicond. Process. 2026, 201, 110100. [Google Scholar] [CrossRef]
- Wang, H.; Cao, Q.; Wu, T.; Wang, Z.; Hou, Y.; Peng, S.; Wang, D. Experimental investigation on crack evolution and separation strength in 4H-SiC slicing by sub-nanosecond laser. Opt. Laser Technol. 2025, 187, 112826. [Google Scholar] [CrossRef]
- Li, Y.; Zhang, Z.; Song, Q.; Shi, H.; Hou, Y.; Yue, S.; Wang, R.; Cai, S.; Zhang, Z. Surface micromorphology and nanostructures evolution in hybrid laser processes of slicing and polishing single crystal 4H-SiC. J. Mater. Sci. Technol. 2024, 184, 235–244. [Google Scholar] [CrossRef]
- Wang, L.; Zhang, C.; Liu, F.; Zheng, H.; Cheng, G.J. Ultrafast pulsed laser stealth dicing of 4H-SiC wafer: Structure evolution and defect generation. J. Manuf. Process. 2022, 81, 562–570. [Google Scholar] [CrossRef]
- Du, J.; Lu, X.; Jiang, L.; Han, S.; Li, X.; Yu, H.; Zhao, S.; Lin, X. Suppressing kerf loss based on multi-focal approach for 4H-SiC laser slicing. Opt. Express 2025, 33, 34267–34280. [Google Scholar] [CrossRef] [PubMed]
- Jiang, L.; Zhao, S.; Han, S.; Liang, H.; Du, J.; Yu, H.; Lin, X. CW laser-assisted splitting of SiC wafer based on modified layer by picosecond laser. Opt. Laser Technol. 2024, 174, 110700. [Google Scholar] [CrossRef]
- Wang, H.; Chen, Q.; Yao, Y.; Che, L.; Zhang, B.; Nie, H.; Wang, R. Influence of Surface Preprocessing on 4H-SiC Wafer Slicing by Using Ultrafast Laser. Crystals 2022, 13, 15. [Google Scholar] [CrossRef]
- Kim, E.; Shimotsuma, Y.; Sakakura, M.; Miura, K. 4H-SiC wafer slicing by using femtosecond laser double-pulses. Opt. Mater. Express 2017, 7, 2450–2460. [Google Scholar] [CrossRef]
- Han, S.; Yu, H.; He, C.; Zhao, S.; Ning, C.; Jiang, L.; Lin, X. Laser slicing of 4H-SiC wafers based on picosecond laser-induced micro-explosion via multiphoton processes. Opt. Laser Technol. 2022, 154, 108323. [Google Scholar] [CrossRef]
- Desurvire, E. Analysis of gain difference between forward-and backward-pumped erbium-doped fiber amplifiers in the saturation regime. IEEE Photonics Technol. Lett. 1992, 4, 711–714. [Google Scholar] [CrossRef]
- Cai, Y.; Zhu, Q.; Shi, J.; Li, C.; Yan, D.; Li, J.; Xing, Y. High-Power Yb-Doped and All Fiber-Based Nanosecond MOPA Laser. IEEE Photonics J. 2022, 14, 1533705. [Google Scholar] [CrossRef]
- Limpert, J.; Roser, F.; Schimpf, D.N.; Seise, E.; Eidam, T.; Hadrich, S.; Rothhardt, J.; Misas, C.J.; Tunnermann, A. High Repetition Rate Gigawatt Peak Power Fiber Laser Systems: Challenges, Design, and Experiment. IEEE J. Sel. Top. Quantum Electron. 2009, 15, 159–169. [Google Scholar] [CrossRef]
- Sun, Q.; Mao, Q.H.; Chen, X.D.; Feng, S.J.; Liu, W.Q.; Lit, J.W.Y. Influences of ASE on the performances of Q-switched ytterbium-doped fiber lasers. Laser Phys. 2010, 20, 1438–1448. [Google Scholar] [CrossRef]
- Glick, Y.; Sintov, Y.; Zuitlin, R.; Pearl, S.; Shamir, Y.; Feldman, R.; Horvitz, Z.; Shafir, N. Single-mode 230 W output power 1018 nm fiber laser and ASE competition suppression. J. Opt. Soc. Am. B 2016, 33, 1392–1398. [Google Scholar] [CrossRef]
- Geng, J.; Wang, Q.; Jiang, Z.; Luo, T.; Jiang, S.; Czarnecki, G. Kilowatt-peak-power, single-frequency, pulsed fiber laser near 2 μm. Opt. Lett. 2011, 36, 2293–2295. [Google Scholar] [CrossRef]
- Chu, Q.; Shu, Q.; Chen, Z.; Li, F.; Yan, D.; Guo, C.; Lin, H.; Wang, J.; Jing, F.; Tang, C.; et al. Experimental study of mode distortion induced by stimulated Raman scattering in high-power fiber amplifiers. Photonics Res. 2020, 8, 595–600. [Google Scholar] [CrossRef]
- Li, C.; Song, J.; Shen, D.; Xu, J.; Ueda, K. Diode-pumped CW and passively Q-switched solid-state lasers with an ultra-thin Nd: YVO4 crystal as the gain medium. Opt. Commun. 2000, 186, 245–250. [Google Scholar] [CrossRef]
- Dipold, J.; Kassab, L.R.P.; Wetter, N.U. Nd:YVO4 Random Laser with Preferential Emission at 1340 nm over 1064 nm. Photonics 2024, 11, 898. [Google Scholar] [CrossRef]














| Researchers | Wavelength (nm) | Pulse Width (ns) | Beam Quality (M2) | Average Power (W) | Repetition Rate (kHz) | Pulse Energy (μJ) | Laser Type | Reference |
|---|---|---|---|---|---|---|---|---|
| Mehdi Rouhani et al. | 1064 | 4.0~200.0 | 30.00 | 2~1000 | ≤1000.0 | Fiber-based | [1] | |
| Xiangyu Yu et al. | 532 | 9.7 | <1.3 | 2.90 | 1~15 | Solid-state | [4] | |
| Xiaozhu Xie et al. | 532 | 1.0 | ≤0.06 | 1 | ≤60.0 | Solid-state | [7] | |
| Xiangfu Liu et al. | 1064 | 25.0 | 10 | Not specified | [8] | |||
| Wenxiao Wu et al. | 532 | 10.0 | 1.76 | 15 | 117.0 | Not specified | [9] | |
| Heng Wang et al. | 1064 | 1.0 | <1.3 | 0.45 | 50 | 350.0 | Solid-state | [10] |
| Heng Wang et al. | 1064 | 1.0 | <1.3 | ≤0.31 | 5–100 | 3.1 | Solid-state | [11] |
| Yuhang Li et al. | 532 | 200.0 | 0.85 | 60 | 14.2 | Not specified | [12] |
Disclaimer/Publisher’s Note: The statements, opinions and data contained in all publications are solely those of the individual author(s) and contributor(s) and not of MDPI and/or the editor(s). MDPI and/or the editor(s) disclaim responsibility for any injury to people or property resulting from any ideas, methods, instructions or products referred to in the content. |
© 2026 by the authors. Licensee MDPI, Basel, Switzerland. This article is an open access article distributed under the terms and conditions of the Creative Commons Attribution (CC BY) license.
Share and Cite
Hong, C.; Wen, J.; Liu, H.; Wang, L.; Zhang, L.; Ma, X. High-Power and Fiber-Solid Hybrid MOPA Nanosecond Laser for High-Efficiency 4H-SiC Wafers Slicing. Fibers 2026, 14, 26. https://doi.org/10.3390/fib14020026
Hong C, Wen J, Liu H, Wang L, Zhang L, Ma X. High-Power and Fiber-Solid Hybrid MOPA Nanosecond Laser for High-Efficiency 4H-SiC Wafers Slicing. Fibers. 2026; 14(2):26. https://doi.org/10.3390/fib14020026
Chicago/Turabian StyleHong, Chunquan, Jincheng Wen, Huailiang Liu, Libo Wang, Lin Zhang, and Xiuquan Ma. 2026. "High-Power and Fiber-Solid Hybrid MOPA Nanosecond Laser for High-Efficiency 4H-SiC Wafers Slicing" Fibers 14, no. 2: 26. https://doi.org/10.3390/fib14020026
APA StyleHong, C., Wen, J., Liu, H., Wang, L., Zhang, L., & Ma, X. (2026). High-Power and Fiber-Solid Hybrid MOPA Nanosecond Laser for High-Efficiency 4H-SiC Wafers Slicing. Fibers, 14(2), 26. https://doi.org/10.3390/fib14020026

