Next Article in Journal
Design and Development of Oleoresins Rich in Carotenoids Coated Microbeads
Next Article in Special Issue
Influence of Laser Colour Marking on the Corrosion Properties of Low Alloyed Ti
Previous Article in Journal
Double-Gate Two-Step Source/Drain Poly-Si Thin-Film Transistor
Previous Article in Special Issue
Cyclic Hot Corrosion Failure Behaviors of EB-PVD TBC Systems in the Presence of Sulfate and Vanadate Molten Salts
 
 
Font Type:
Arial Georgia Verdana
Font Size:
Aa Aa Aa
Line Spacing:
Column Width:
Background:
Article

Deposition of SiOxCyHz Protective Coatings on Polymer Substrates in an Industrial-Scale PECVD Reactor

1
Elvez Ltd, Ulica Antona Tomšiča 35, 1294 Višnja Gora, Slovenia
2
Ecotechnologies, Jozef Stefan International Postgraduate School, Jamova cesta 39, 1000 Ljubljana, Slovenia
3
Department of Surface Engineering, Jozef Stefan Institute, Jamova cesta 39, 1000 Ljubljana, Slovenia
4
Plasmadis Ltd, Teslova ulica 30, 1000 Ljubljana, Slovenia
*
Author to whom correspondence should be addressed.
Coatings 2019, 9(4), 234; https://doi.org/10.3390/coatings9040234
Submission received: 6 March 2019 / Revised: 29 March 2019 / Accepted: 1 April 2019 / Published: 3 April 2019
(This article belongs to the Special Issue Anticorrosion Protection of Nonmetallic and Metallic Coatings)

Abstract

:
The deposition of protective coatings on aluminised polymer substrates by a plasma enhanced chemical vapour deposition PECVD technique in a plasma reactor with a volume of 5 m3 was studied. HMDSO was used as a precursor. Plasma was sustained in a capacitively coupled radiofrequency (RF) discharge powered by an RF generator operating at 40 kHz and having an adjustable output power up to 8 kW. Gaseous plasma was characterised by residual gas mass spectrometry and optical emission spectroscopy. Polymer samples with an average roughness of approximately 5 nm were mounted into the plasma reactor and subjected to a protocol for activation, metallisation and deposition of the protective coating. After depositing the protective coating, the samples were characterised by secondary ion mass spectrometry (SIMS) and X-ray photoelectron spectroscopy (XPS). The combination of various techniques for plasma and coating characterisation provided insight into the complex gas-phase and surface reactions upon deposition of the protective coatings in the industrial-size plasma reactor.

1. Introduction

Plasma-enhanced chemical vapour deposition (PECVD) is a popular technique for the deposition of thin films, including protective coatings. Over 8000 scientific papers with a keyword PECVD have been published, including 400 papers in 2018. Although the technique was commercialised decades ago, it is still of high scientific importance despite its simple basic concept: a gaseous precursor is introduced into a processing chamber where it is weakly ionised and partially radicalised under plasma conditions, and the resultant reactive species condense on the substrate and thus cause growth of a solid film. Traditionally, the processing takes place in a vacuum chamber, but the current trend is applying atmospheric-pressure discharges [1] due to their obvious advantage: they are much cheaper than their vacuum counterparts.
For the deposition of Si-containing films, various precursors can be used [2,3,4], one of the most popular of which is hexamethyldisiloxane (HMDSO). It is used for the deposition of various coatings ranging from polymers to almost pure SiOx films [5,6]. HMDSO is liquid at atmospheric pressure, but the vapour pressure is rather large (approximately 50 mbar at room temperature); therefore, it is suitable for introduction into a processing chamber via a leak valve or a gas flow controller. Non-equilibrium gaseous plasma is sustained in the processing chamber, and free electrons (whose temperature is on of the order of 10,000 K) cause radicalisation and ionisation of the precursor. Plasma is often sustained by high-frequency discharges of rather low power density. In a typical industrial reactor, the power density is on the order of kW/m3. The reactive species diffuse inside the chamber and eventually reach the surface, where they stick at a certain probability. The substrates are often activated prior to deposition to improve the adhesion of the coating. Depending on plasma parameters, coatings of various properties are deposited.
One extreme is a coating resembling polydimethylsiloxane. Such a coating is obtained at a very low power density (to preserve the original composition of HMDSO) and with almost no other gases present. The other extreme is a thin film of silicon dioxide that grows when an oxygen-containing gas is present in the chamber. Water vapour is usually in chambers, and, occasionally, a small amount of oxygen is intentionally added to favour the formation of almost pure SiOx. In between these two extremes, numerous types of coatings are obtainable depending on the processing parameters. The flux of radicals onto the surface (and thus the deposition rate) obviously increases with increasing pressure and power density. At elevated pressure (more than approximately 10 Pa), the radicals, however, start to agglomerate in the gas phase, so the coating becomes grainy, which is often regarded as detrimental in industrial systems. If the power density is elevated, the dissociation of the precursor is comprehensive; therefore, carbon atoms or even dimers may be incorporated into the SiOx film, making it less transparent, which is also a major obstacle in such systems. Another obstacle is plasma uniformity—the dissociation and ionisation events are more intensive next to the electrodes, so the SiOx film is deposited primarily onto the electrodes instead of on the substrates. The tuning of discharge and plasma parameters therefore represents a challenge that has been the focus of scientific study for decades. Only a recent literature survey is presented here.
Mitschker et al recently presented a good summary on the formation of protective coatings (see the references in paper [7]) and stressed the influence of oxygen admixture on the barrier properties of deposited films. He also reported beneficial results using HMDSN instead of HMDSO. Another rather complete paper on coatings prepared by PECVD using HMDSO was published recently by Prykril et al. [8]. They found an immeasurably low coefficient for oxygen permeation for a polymer foil coated with a SiO2 layer. They also investigated the brittleness of the glassy coating and stressed that SiOx must be deposited primarily on a low-swellability polymeric foil and that, due to its brittleness, it must immediately be laminated with another foil to prevent mechanical damage. M. Cavalcante dos Reis [9] reported interesting results on properties of coatings on dental materials. Various discharge parameters were used to obtain coatings with appropriate properties. This paper represents an interesting application in the niche characterised by a high value-added product. An interesting approach to the deposition of SiOx coatings was adopted by Brochhagen et al. [10]. Instead of using a continuous supply of precursor, they pulsed small doses of HMDSO into the reaction chamber and used oxygen or argon plasma for transformation of the extremely thin polymer film created on the surface at each HMDSO pulse into a silica-like protective coating. This approach led to the formation of SiOx films free from carbon or Si–OH groups with a very high (for industrial standards) deposition rate of approximately 1 nm/s. Scalability might be questionable since inductively coupled RF plasma in H-mode was applied. Pandiyaraj et al. [11] reported a DC plasma source for the rapid deposition (approximately 1 nm/s) of SiOx films using a mixture of HMDSO and oxygen at a total pressure of 20 Pa. They found an interesting evolution of the film morphology as a function of discharge parameters. The initial stages in the nucleation and growth of SiOx films on model substrates were elaborated by a team from Paderborn and Bochum [12]. Unlike most studies, they used oxygen as a major gas with a small admixture of HMDSO. Experiments were performed in a pulsed microwave plasma reactor at 25 Pa. The group also reported a numerical value of the O-atom flux onto the surface in order to explain the surface reactions in a rather quantitative manner. The key observation was a high density of defects, which was attributed to the incorporation of oxidised aliphatic fragments into the SiOx network and/or the deterioration of the plasma-induced crosslinking of adsorbed HMDSO fragments.
Atmospheric pressure discharges have also been used for deposition of such coatings from HMDSO. Gas-phase and surface effects were studied both theoretically and experimentally. Among recent papers, D. Loffhagen et al. [13] applied a time-dependent, spatially one-dimensional fluid-Poisson model to analyse the impact of HMDSO admixtures on the discharge characteristics of DBDs in argon at atmospheric pressure. They considered a limited number of collision processes relevant for HMDSO but obtained reasonable consistency with available experimental data. They found that Penning ionisation due to collisions of HMDSO with metastable and resonance argon atoms becomes the main source of electron production already for HMDSO fractions ≥5 ppm. Some attempts have also been made to coat materials immersed into liquid HMDSO and apply atmospheric-pressure plasma next to the liquid surface. The most recent paper was published by Pavlinak et al. [14], who created plasma above liquid HMDSO and successfully coated Teflon tubes with a thin film resembling polydimethylsiloxane. Obviously, such treatments cannot be used for the deposition of SiOx coatings.
Thin films containing Si, O, C and H are suitable for numerous applications. Traditionally, these films have been used as hydrophobic and flexible protective coatings on products exposed to harsh environments. A thin PDMS film is an effective coating to prevent corrosion of metals [15]. It is also a classic textile coating able to ensure the super-hydrophilic properties of textiles [16]. More recently, it has been used as a scaffold for tissue engineering and similar biomedical applications [17,18,19], including microfluidic systems [20,21]. A comprehensive review of recent applications was reported by Edouk et al. [22].
Only recent achievements have been cited above. The literature on the PECVD deposition of protective coatings is extensive, and various authors have reported results obtained in different experimental setups. Although the technique was commercialised decades ago, the scientific literature on the kinetics of deposition with HMDSO in industrial-scale reactors is very scarce. The present paper fills this niche since we report a thorough investigation of film deposition using PECVD with HMDSO as a precursor in a large-scale reactor that is used for the deposition of protective coatings on car lamps. Unlike most other authors, we performed experiments under conditions typical for industrial reactors. In such reactors, the residual atmosphere always plays an important role due to extensive desorption of gaseous molecules from the surfaces of numerous components mounted inside the system. Nitrogen, oxygen, carbon dioxide and argon (air constituents) are quickly pumped from the system by powerful pumps, but water molecules slowly desorb from the polymer components. The consequence is a rather substantial amount of water vapour in the system throughout the process; therefore, one should always take into account the effect of water vapour when studying processing parameters and explaining the interaction of gaseous plasma with solid materials. Another important difference between experimental systems and large reactors is the power density (discharge power per unit plasma volume). While it is not feasible to operate experimental reactors at powers below few 10 W per litre (few 10 kW/m−3), the industrial reactors suitable for coating components with a thin film resembling polydimethylsiloxane operate at power densities below 1 kW/m−3.

2. Experimental

The plasma reactor used in this study is intended for coating polymer components of rather complex shapes and typical dimensions on the order of 10 cm. The coating procedure is shown in Figure 1. The reactor was first pumped to a pressure of approximately 1 Pa to evacuate air. After pumping for approximately 4 min, argon was introduced upon continuous pumping so that a pressure of approximately 6 Pa was achieved. Plasma was sustained for approximately 3 min to ensure appropriate activation of the polymer components. Argon was then pumped away, and high-vacuum pumps were used to establish high-vacuum conditions. As the pressure dropped to approximately 0.02 Pa, aluminium was evaporated, so the polymer components were coated with a thin metal film. As soon as evaporation was accomplished, HMDSO was introduced, and the plasma was ignited to deposit a thin film resembling polydimethylsiloxane (PDMS).
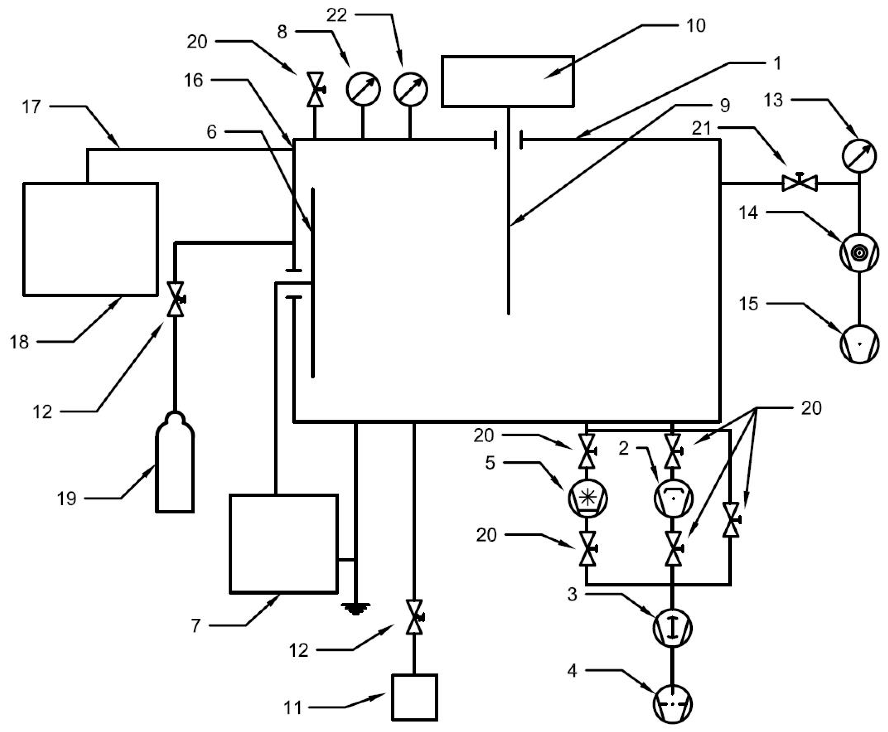
The experimental system is shown in detail in Figure 2. The plasma reactor was a large chamber of a cylindrical shape made from steel. The diameter of the plasma reactor was 1.9 m, and the height was 1.8 m. The volume of the reactor was thus approximately 5 m3. The reactor was pumped with a couple of diffusion pumps with a total nominal pumping speed of approximately 40 m3/s. The fore-pumps were large one-stage oil rotary pumps with a nominal pumping speed of 1260 m3/h. In between these pumps, there were a couple of roots blowers with a combined nominal pumping speed of 8800 m3/h to ensure pre-compression of gas before entering the large rotary pump and thus enable an appropriately low pressure at the exhaust from the diffusion pumps. A cold trap was cooled down to a temperature of approximately 130 K and represents an extremely powerful pump for pumping water vapour from the plasma reactor. The nominal pumping speed of the cold trap was 140 m3/s. HMDSO was introduced into the plasma reactor via a flow controller. The HMDSO container was kept at a constant temperature of approximately 310 K. There was also an argon flask connected to the plasma reactor via a flow controller. Plasma was ignited and sustained with an RF generator. The generator operated at a frequency of 40 kHz and an adjustable output power up to approximately 10 kW. The generator was connected to the RF electrode, which was placed asymmetrically in the plasma reactor. The dimensions of the electrode were 150 cm × 27 cm, so the electrode area was much smaller than the area of the grounded plasma reactor. The discharge coupling was almost purely capacitive. The asymmetry caused preferential power dissipation in front of the powered electrode. The electrode was subjected to ion bombardment, while the bombardment of the grounded housing was regarded marginal. Samples were mounted on fixtures and kept at floating potential during plasma treatment. Typical samples were polymeric components. There was a holder of small aluminium sheets that were heated under high-vacuum conditions by resistive heating to allow rapid deposition of a thin aluminium film onto the surface of the polymeric samples. Plasma was characterised by a residual atmosphere gas analyser (RGA, PrismaPlus QMG 220, Pfeiffer Vacuum, Asslar, Germany, sometimes referred to as mass spectrometry) and optical spectroscopy. The RGA was differentially pumped using a turbomolecular pump HiPace 700 (Pfeiffer Vacuum, Asslar, Germany) with a nominal pumping speed of 0.7 m3/s backed with a small two-stage rotary pump with a nominal pumping speed of 5 m3/h. There was a glass window on the plasma reactor, which was made from steel. An optical fibre was mounted onto the glass window and connected to an optical spectrometer AvaSpec-3648 (Avantes, Apeldoorn, The Netherlands) to allow the sampling of optical spectra from gaseous plasma in the wavelength range between approximately 200 and 1100 nm. The transmission of the glass window was negligible in both the UV and IR ranges.
Samples were commercial plastic components made from polycarbonate. The samples were made by injection moulding, and the surface of each sample was approximately 200 cm2. Several samples were cut into small pieces with a surface area of approximately 1–2 cm2 to enable characterisation. The samples were taken directly from the production line, so no pre-cleaning was performed. Some samples were first characterised by atomic force microscopy (AFM, Solver PRO, NT-MDT, Moscow, Russia) to determine their roughness. The average roughness (Sa), as determined by AFM, over an area of 20 µm × 20 µm was approximately 5 nm or, in terms of root-mean-square height, Sq = 6.5 nm. An AFM image is presented in Figure S1 in the Supplementary Materials. The samples were then mounted into the plasma reactor. The reactor was pumped to a reasonable pressure using the roots and large rotary pumps. Then, some argon was introduced into the reactor during continuous pumping, and plasma was sustained in the mixture of argon and residual atmosphere for a couple of minutes. This treatment was necessary for surface activation of the polymer samples prior to deposition of any coating. After plasma activation, the valve between the plasma reactor and the diffusion pumps was opened to reach high-vacuum conditions. The final pumping before depositing an aluminium coating was also performed with the cold trap. Once a suitable vacuum level was achieved, a thin film of aluminium was deposited in a short time to prevent significant contamination of the Al film due to the residual atmosphere. As soon as the Al coating was prepared, the cold trap and diffusion pumps were separated from the plasma reactor, HMDSO was introduced through the flow controller, and discharge was turned on to deposit the protective coating. During the introduction of the precursor, the reactor was pumped only with the roots and large rotary pumps. After depositing the protective coating, the pumps were separated, the reactor was vented, and the samples were taken for characterisation.
Samples with protective coatings were characterised by time-of-flight secondary ion mass spectrometry (SIMS) and X-ray photoelectron spectroscopy (XPS). In both cases, we used ion guns for removal of surface layers to obtain depth profiles. We used a ToF–SIMS 5 instrument (ION-TOF, Münster, Germany) equipped with a bismuth liquid metal ion gun with a kinetic energy of 30 keV. SIMS spectra were measured by scanning a Bi3+ cluster ion beam over an area of 100 × 100 µm2. The beam current was 0.6 pA and the total measurement time to acquire the SIMS spectra was 30 s. The dose of primary ions during the measurements was in the static regime. The SIMS spectra were processed with the software SurfaceLab 6.3 (ION TOF).
Some samples were also characterised by XPS. We used a PHI-TFA XPS spectrometer produced by Physical Electronics Inc. (Chanhassen, MN, USA). The analysed area was 0.4 mm in diameter, and the analysed depth was approximately 3–5 nm. The sample surface was excited by X-ray radiation from a monochromatic Al source at a photon energy of 1486.6 eV. High-energy resolution spectra were acquired with an energy analyser operating at a resolution of approximately 0.6 eV and a pass energy of 29 eV. During data processing, the spectra acquired from the surface were aligned by setting the C 1s peak at 284.8 eV, characteristic of C–C bonds. Quantification of surface composition was performed on XPS peak intensities taking into account relative sensitivity factors provided by the instrument manufacturer.

3. Results and Discussion

The pressure in the plasma reactor presented schematically in Figure 2 during the entire procedure for deposition of protective coatings is shown in Figure 3. The reactor was first pumped with the large rotary pump. When a pressure of approximately 5000 Pa was reached, the roots pump was turned on, resulting in a knee in the curve at 1 min. The second knee was at approximately 50 Pa when cold trap was turned on, and the third knee was at approximately 5 Pa when valves to the diffusion pumps were opened. When the pressure dropped to approximately 1 Pa, argon was introduced, so the pressure increased to approximately 6 Pa. Gaseous plasma was created in the mixture of Ar and residual atmosphere to ensure appropriate surface activation. This treatment was accomplished in minute 6, as indicated in Figure 3. Then, the reactor was pumped with the cold trap and diffusion pumps for approximately 6 min. When the pressure inside the reactor dropped to a level of approximately 0.02 Pa, the Al heater was turned on (13 min). Once the Al coating was obtained, the cold trap and the diffusion pumps were separated, causing an almost instantaneous increase in pressure. HMDSO was then introduced, so the pressure increased to approximately 6 Pa. After that, the three cycles of the PECVD process were performed.
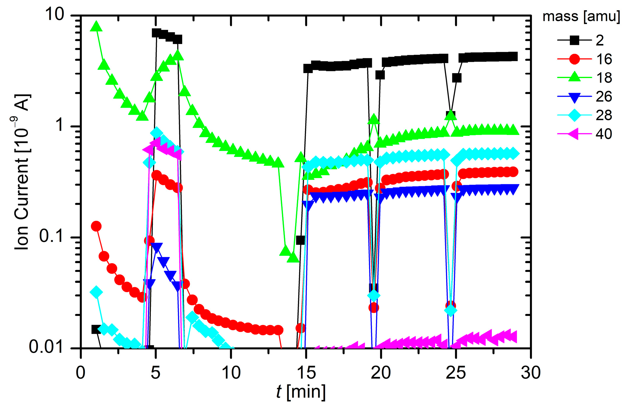
During the upper procedure, mass spectra were measured continuously. Figure 4 presents the behaviour of different masses versus time in terms of the ion currents. The gaseous molecules were partially ionised in the residual gas analyser, and the positively charged ions entered the ion detector and caused ion currents. Comparison of Figure 3 and Figure 4 reveals important observations that were crucial for deposition of the protective coatings. During initial pumping, there were essentially ion currents at only masses 18 and 16. These masses correspond to water and methane, respectively. The absence of currents at masses 28 and 32 indicated the lack of nitrogen and oxygen, respectively, in the vacuum chamber, which was explained by two facts: first, the plasma reactor was hermetically tight, and second, air was pumped much more efficiently than water vapour. The latter was due to extensive release of water vapour from the polymer samples. The intensity of water was considerably larger than that of methane, so the residual atmosphere in the plasma reactor practically consists of water vapour only.
When argon was introduced into the reactor, there was an appearance of mass 40 in the spectrum presented in Figure 4. Simultaneously, as the discharge was turned on, one can observe the appearance of mass 2, which was attributed to hydrogen. The water vapour was partially dissociated under plasma conditions to H and OH radicals. H2 molecules were probably formed by heterogeneous surface recombination of H atoms on the wall of the discharge chamber as well on the polymer samples. Extensive recombination also appeared on the path between plasma and the RGA—this connection was narrow, thus numerous collisions of gaseous species with the surface of the steel tube appeared. The recombination coefficients for polymeric materials were rather low [23], but for H atoms on stainless steel, the probability of surface recombination was close to 0.1 [24]; thus, very few H atoms created in plasma could enter the RGA. As a result, the H2 signal prevails in Figure 4. Here, it is also worth mentioning that the sensitivity of the RGA for hydrogen was particularly large, thus no quantification of results in terms of partial pressure was possible.
During the activation of polymer substrates with argon plasma, a continuous increase in the intensity of mass 18 (water vapour) was observed (Figure 4). This effect is explained by the heating of all materials facing the plasma and consequent temperature-stimulated desorption of water vapour. All other masses in the time range from minute 5 to minute 7 decreased with time. The masses 16, 26, and 28 were attributed to methane, acetylene and ethylene, respectively, rather than other molecules. As already mentioned, the reactor was tightly sealed, thus mass 28 could not be attributed to N2 molecules, let alone Si atoms (the vapour pressure of Si was negligible at room or slightly elevated temperature).
Argon was introduced into the plasma reactor for 2 min only. When the Ar valve was closed and the discharge was turned off, mass 40 decreased almost instantly. Features other than mass 18 also vanished. One conclusion that could be drawn on the basis of this observation is that measurable etching of the polymer samples occurred inside the reactor under plasma conditions. Although the power density was rather small (in the case of Figure 4, the power was 3.5 kW), it was large enough to cause etching and thus formation of molecules that were not observed during pumping down and before the plasma was ignited.
Once the discharge was turned off, the mass spectrum showed only water vapour (mass 18). During operation of the diffusion pumps, the RGA signal of mass 18 decreased by almost an order of magnitude (note the logarithmic scale of the y-axis in Figure 4). Once the cold trap was open, the intensity of the RGA peak decreased by another order of magnitude (at 13 min in Figure 4), which was correlated with the instant pressure drop indicated in Figure 3.
After 14 min, the cold trap and diffusion pumps were hermetically separated from the reactor, HMDSO was introduced, and the discharge was turned on again. As a result, the RGA spectra became extremely rich (Figure S2). There were features corresponding to masses 2, 16, 18, 26, 28, 45, 52, 59, 66, 73, etc. The appearance of the peaks at large masses was attributed to various fragments of the HMDSO molecule. The precursor was thus partially decomposed both in the plasma reactor and in the RGA ionisation chamber. Any detailed analyses of RGA spectra was impossible since any heavy mass could be attributed to various molecules. The richness of the spectrum only indicated complex gas-phase chemistry. The discharge was turned off twice during deposition of the protective coating to prevent formation of dusty plasma. As explained in the Introduction, radicals tended to interact with each other in the gas phase, forming clusters that were negatively charged in plasma, thus could not escape to the surfaces that were also negative against plasma due to differences in mobility between electrons and ions. The net charge flow on the surface of any object facing plasma should be zero under steady conditions, thus the plasma should be positive against the walls to compensate for the very large electron mobility compared to ion mobility.
Mass spectrometry was therefore useful for monitoring the evolution of various molecules that were either created in gaseous plasma and stable enough to enter the RGA or created in the ionisation chamber of the RGA itself. An insight into the rather short-lived radicals that were created in the plasma was, however, obtainable from Figure 5, which presents optical spectra arising from the plasma during deposition.
Figure 5 presents a typical optical spectrum during introduction of HMDSO (from minute 15 onward). Unlike the mass spectra in Figure 4, the optical spectrum in Figure 5 is extremely simple. One can observe lines that corresponded to radiative transitions from excited hydrogen atoms to the first excited state—the Balmer series, where the most intensive emission lines were the alpha and beta lines at 656 and 486 nm, respectively. There was also a peak corresponding to the CH radical. This observation was consistent with the mass spectrometry results (Figure 4), which indicate the presence of a variety of molecular fragments. Optical spectroscopy cannot reveal many-atom molecules since the radiative transitions from such molecules form a continuum. Nevertheless, the appearance of the CH peak at 431 nm revealed fragmentation of the original precursor to CHx radicals under plasma conditions. This result is consistent with the generally accepted theory that weakly ionised plasma causes decomposition of HMDSO by subtracting methyl radicals. The large intensity of radiation arising from H atoms can be attributed to either dissociation of water vapour or subtraction of H atoms from the original precursor. The oxygen line at 777 nm was absent, which could be explained by either the poor density of O atoms in the deposition phase or low electron temperature. Both explanations are feasible, as became evident by monitoring the properties of the films deposited on sample surfaces upon performing PECVD with HMDSO.
Figure 6 presents a typical XPS depth profile of a polymer sample characterised after completing the entire production cycle, i.e., activation, metallisation and deposition of the protective coating. The substrate was composed of carbon only (XPS is not sensitive to hydrogen). There was a broad interface between pure carbon in the rightmost part of the depth profile and aluminium. The rather large concentration of oxygen at this interface was explained by successful functionalisation of the polymer surface during the activation phase (minute 5 to minute 7 in Figure 4). This functionalisation could not occur due to any interaction of argon or water vapour with the surface of the polymer material. Formation of the oxygen-rich interface between the polymer substrate and aluminium film was obviously due to plasma conditions, but a detailed explanation is not straightforward, as one should take into account various mechanisms.
One method for functionalisation of a polymer surface with oxygen functional groups is irradiation with hard UV radiation and subsequent exposition to an oxygen-containing gas. A review of such a method is published recently [25]. Radiation causes bond breaking in the surface layer of the polymer, thus increasing the affinity for oxidation. The radiation in our case arose predominantly from hydrogen. There were two H lines in the optical spectrum marked as Hα and Hβ arising from transitions from the second and third excited state, respectively, to the first excited state. The transitions to the ground state (which appear in the hard UV range of spectrum) were not visible, but they were much more intense than the transitions to the first excited state. According to Fanz et al. [26], the transitions to the ground state are at least an order of magnitude more intensive than those to the first excited state. The radiation arising from the transition from the first H-atom excited state to the ground state appeared at a photon energy just over 10 eV, and such photons were effectively absorbed by the surface film of the polymer, thus breaking bonds. The dangling bonds then interacted with the water vapour, which was, according to Figure 4, the major component of the residual atmosphere. The water partial pressure could not be determined accurately from the measured ion currents, but, in a rough approximation, we could account for the pressure inside the reactor before introducing argon into the system. Figure 3 reveals that the pressure was approximately 1 Pa at this stage of the process. At a pressure of 1 Pa, the density of water molecules in the reactor was as high as 1020 m−3, which was calculated using a general gas equation:
p = n × k × T ,
where p is the pressure, n is the density of molecules, k is the Boltzmann constant and T is the absolute temperature. The flux of gas molecules onto the surface is
j = 1 4 × n × v ,
where <v> is the average velocity of thermal motion (approximately 600 m/s for H2O molecules). If all molecules interacted with dangling bonds on the polymer surface, a monolayer of oxygen would form in less than a second. Therefore, there were enough oxidative species to ensure rich functionalisation of the polymer surface prior to deposition of the aluminium film, even though the activation was performed under vacuum condition.
An alternative technique for functionalisation of a polymer surface is dissociation of water molecules into H and OH radicals. This technique is particularly useful for plasma activation of materials that release a large amount of water vapour, for example, textiles [27]. In fact, water vapour is always present in low-pressure reactors and significantly influences the surface finish of plasma-treated polymers [28]. OH radicals are renowned oxidants and interact with the polymer surface to form polar functional groups. Evidence for H2O dissociation under plasma conditions is shown in Figure 4. The mass spectra were rich in H2 molecules, and their appearance was attributed to the dissociation of water molecules and subsequent association of H radicals into H2 molecules. The dissociation may occur by either electron impact or interaction with a metastable Ar atom. Therefore, there were at least two mechanisms that ensured successful formation of oxygen-rich functional groups on the surface of the polymer: (1) formation of dangling bonds on the polymer surface due to irradiation with hard UV radiation and oxidation of this modified polymer with water vapour; and (2) dissociation of water molecules under plasma conditions and interaction of OH radicals with the polymer surface. Unfortunately, the techniques adopted in this study did not allow differentiation between the mechanisms, thus it was not possible to state the prevailing one. Regardless, the high concentration of oxygen at the interface between the polymer substrate and the aluminium film, as evidenced by the XPS depth profile (Figure 6) was explained by the presence of water vapour in the plasma reactor during the activation step.
The broadness of the interface was probably not due to penetration of oxygen deep into the polymer substrate but rather to its roughness. As mentioned above, the industrial polymer samples exhibit a roughness of approximately Sa = 5 nm (Sq = 6.5 nm), which is reflected in Figure 6 as the broad interface. The oxygen-rich layer spans between approximately 70 and 120 nm in Figure 6. On top of this layer, there is a film of aluminium. The aluminium film is almost free from other elements due to the rapid deposition. Nevertheless, one can observe a measurable amount of oxygen (perhaps 5 at.%) in the aluminium film in Figure 6, which was due to the water vapour-rich residual atmosphere. The water molecules absorb on the freshly deposited aluminium and form AlOx compounds. If the deposition occurred in a very short time or if the water concentration were negligible during aluminium deposition, the Al film would have been free from oxygen. These conditions, however, cannot be ensured in industrial reactors.
On top of the Al film in Figure 6, there is another layer rich in oxygen followed by a thin film of the protective coating. Again, the broad interface was attributed to the sample roughness. The rather large amount of oxygen in this interface was attributed to the fact that the deposition using HMDSO does not start immediately after completing Al deposition, so there is enough time for the formation of an oxide film on the freshly deposited aluminium surface (see the discussion on molecular fluxes above). Figure 7 shows the stack of Al 2p spectra obtained during XPS depth profiling of the layered structure of the sample. It can be seen that the spectra from the first Al-layer interface had a peak at a binding energy of 74.0 eV, meaning that Al-oxide was formed on the top of the Al-layer. The Al 2p spectra from the central part of the Al layer had a peak at a binding energy 71.8 eV related with Al in its metallic form. At the interface between the metallic Al and the polymer substrate, the Al 2p spectra again had peak at a binding energy of 74.0 eV, indicating that Al-oxide was formed in the first stage of deposition of the Al-film. The results presented in Figure 7 therefore clearly confirm partial oxidation of the Al film at both interfaces. This thin film of oxide on the surface of the aluminium coating was beneficial for adhesion of the protective coating since the surface energy (and thus wettability) of oxides is generally higher than that of pure metals.
The uppermost protective coating in Figure 6 contains silicon, oxygen and carbon. This observation was explained by partial dissociation of HMDSO under plasma conditions. Radicals were formed from the precursor, and the molecular fragments adsorbed onto the substrates, forming a layer composed of Si, C, H and O. The radicalisation led to formation of the CHx and H radicals, wich was evident from the optical spectrum shown in Figure 5. The mass spectra (Figure 4), however, revealed very rich plasma chemistry upon depositing the protective coating on freshly metallised polymer substrates. Since water vapour was present during the PECVD process (see Figure 4), the OH radicals might interact chemically with the freshly adsorbed layer of precursor radicals, forming SiOx, as explained above for the case of surface activation of the polymer substrate and oxidation of the topmost aluminium film.
The depth profile in Figure 6 shows only a rough composition of the silicon-rich film and does not reveal much about the structure. To obtain insight into the structure of the protective coating, we also acquired high-resolution XPS spectra and performed SIMS characterisation. Figure 8 shows high-resolution spectra acquired on the surface of a sample coated with the protective coating. The selected range of binding energies corresponded to silicon, oxygen and carbon. The silicon XPS peaks were at a binding energy of 102.3 eV. This binding energy was representative of C–Si–O bonds. The absence of a peak at 103.5 eV revealed that there was practically no SiO2 molecules; rather, the topmost layer was a plasma-polymerised film of C–Si–O, which should offer good corrosion protection to the Al-metallisation layer [29]. As mentioned above and elaborated by Prykril et al. [8], the carbon-free coating obtained by PECVD using HMDSO was extremely fragile and tended to crack. The polymer-like coating with an appropriate structure, as revealed in this work, was more flexible than the carbon-free coating and is thus useful in many applications. Figure 8 also shows the high-resolution oxygen O 1s spectrum with peaks at 532.7 eV. This binding energy is often related to C–Si–O bonds, thus the result is consistent with the position of the Si peak. Finally, the carbon C 1s XPS spectrum is also shown in Figure 8. The binding energy of this peak was at 284.8 eV, which was assigned to carbon bonded with hydrogen, silicon or another carbon rather than to oxidised carbon such as O–C=O, C=O, or C–O. The high-resolution XPS spectra therefore indicated a structure practically free from silica and carbon atoms bonded to silicon rather than oxygen.
Additional information about the structure of the deposited protective coating is available from an alternative technique for surface characterisation-ToF-SIMS. The spectrum of positively charged secondary ions emitted from the surface of a sample irradiated with energetic bismuth clusters is shown in Figure 9 in the mass range of 1–200 amu. The main peaks in this spectrum were at 27.97 (Si+), 42.99 (SiCH3+), 59.03 (SiC2H7+), 73.05 (SiC3H9+) and 147.05 amu (Si2C5H15+O). These peaks were actually clusters of the Si–C–H–O compound that forms the uppermost protective layer. The peaks were typical of polydimethylsiloxane [30]. The SIMS spectrum shown in Figure 9 is therefore consistent with the XPS spectra shown in Figure 8. The high concentration of hydrogen in the secondary ion clusters also indicated the polymer-like structure of the deposited protective coating.
A fundamental discrepancy between the processes of plasma activation and deposition of the protective coating might be observed. As explained above, the gaseous plasma was suitable for formation of oxygen-rich functional groups on the polymer surface during the activation process (5–7 min in Figure 3 and Figure 4), however no measurable oxidation of the protective polymer coating was revealed from the XPS and SIMS results, as shown in Figure 6, Figure 7, Figure 8 and Figure 9. This fundamental discrepancy was explained by the various gas-phase and surface reactions involved. The activation process was performed using argon plasma and taking advantage of the presence of water vapour to ensure appropriate surface activation of the polymer substrate. Although the power density was low, the irradiation with bond-breaking UV radiation and oxidation with OH or H2O molecules were sufficient to functionalise the substrate with polar groups rich in oxygen. During the plasma polymerisation step, however, HMDSO molecules were the predominant gaseous species. Compared to Ar molecules, HMDSO molecules had numerous channels for the loss of electron energy upon collision. The numerous dissociative collisions effectively lowered the electron temperature in HMDSO compared to Ar, thus the electrons were not energetic enough to atomise the molecules. The majority of the available electron energy in the HMDSO plasma was therefore spent on only partial radicalisation of these molecules. As a result, the main backbone of HMDSO was preserved, thus the protective coating grew from molecular fragments rather than atoms. Silicon in HMDSO therefore remained bonded to oxygen and carbon, and this material exhibited much less affinity for oxidation by OH radicals than the polymer substrate, let alone freshly deposited aluminium. Furthermore, as the electron energy was spent preferentially on radicalisation of HMDSO, the water vapour was not dissociated to reactive OH radicals as much as it was in argon plasma, thus the available flux of this highly oxidative radical was not large enough to cause complete oxidation of the Si–C–H–O coating and formation of SiOx within the protective coating.

4. Conclusions

The combination of various techniques for plasma and surface characterisation adopted in this work provided insight into the mechanisms involved both in the gas phase and on the surfaces of materials facing plasma upon deposition of an appropriate protective coating onto polymer substrates in a large industrial plasma reactor. The reactor configuration enabled appropriate gas composition during all three production steps: surface functionalisation, aluminization and deposition of a protective coating resembling polydimethylsiloxane. The activation process was performed with argon plasma. The lack of electron energy loss mechanisms in argon plasma resulted in preferential dissociation of water vapour molecules present in the residual atmosphere. The resultant H atoms were excited to radiative states, providing UV radiation that caused bond breaking in the polymer surface. The OH radicals enhanced the oxidation of the polymer surface and thus the formation of oxygen-rich functional groups that endowed the polymer substrates with appropriate surface energy to ensure good adhesion of the aluminium coating. In the phase of plasma polymerisation of the protective coating, however, the electron energy was spent preferentially on partial dissociation of the HMDSO precursor. The nature of the deposited film and lack of highly reactive oxygen-containing radicals enabled preservation of the C–Si–O bonds and thus formation of a coating resembling polydimethylsiloxane rather than more extensive oxidation of the protective coating and consequent formation of SiOx clusters in the film, which was observed by several other authors upon intentionally adding oxygen to HMDSO upon plasma deposition of protective coatings [6,8,10,11,12].

Supplementary Materials

The following are available online at https://www.mdpi.com/2079-6412/9/4/234/s1, Figure S1: One of the AFM images of the untreated sample. Measurements with AFM were performed on 3 samples at different places. The average roughness was around Sa = 5 nm (Sq = 6.5 nm), Figure S2: Mass spectrometry of gaseous molecules of higher masses during all phases of the production process.

Author Contributions

Conceptualisation, Ž.G., M.M. and R.Z.; Methodology, A.V. and J.K.; Validation, G.P. and A.V.; Formal Analysis, R.Z. and J.K.; Investigation, R.Z., J.K. and Ž.G.; Resources, Ž.G., R.Z. and J.K.; Data Curation, J.K., R.Z. and G.P.; Writing—Original Draft Preparation, Ž.G. and M.M.; Writing—Review and Editing, Ž.G., M.M., A.V. and R.Z.; Visualisation, R.Z.; Supervision, Ž.G. and M.M.; Project Administration, A.V. and G.P.; Funding Acquisition, M.M.

Funding

This research was funded by the Slovenian Research Agency (research core funding No. P2-0082-Thin film structures and plasma surface engineering, as well as project No. L2-8179-Evaluation of the range of plasma parameters suitable for nanostructuring of polymers on industrial scale).

Acknowledgments

The authors thank the Elvez Company for allowing them to use one of their large industrial plasma reactor.

Conflicts of Interest

The authors declare no conflict of interest.

References

  1. Hegemann, D.; Nisol, B.; Watson, S.; Wertheimer, M.R. Energy conversion efficiency in low- and atmospheric-pressure plasma polymerization processes, Part II: HMDSO. Plasma Chem. Plasma Process. 2017, 37, 257–271. [Google Scholar] [CrossRef]
  2. Zhang, J.; Ji, X.; Bao, J.; Zheng, X. Deposition and characterization of Si-doped diamond films using tetraethoxysilane onto a WC-Co substrate. Coatings 2016, 6, 39. [Google Scholar] [CrossRef]
  3. Esbayou, M.; Bentiss, F.; Casetta, M.; Nyassi, A.; Jama, C. Optimization of cold plasma process parameters for organosilicon films deposition on carbon steel: Study of the surface pretreatment effect on corrosion protection performance in 3 wt % NaCl medium. J. Alloy. Compd. 2018, 758, 148–161. [Google Scholar] [CrossRef]
  4. Lien, S.Y.; Lin, Y.S.; Cho, Y.S.; Wuu, D.S. Performance of flexible photovoltaic modules encapsulated by silicon oxide/organic silicon stacked layers. IEEE Trans. Electron Devices 2016, 63, 1615–1620. [Google Scholar] [CrossRef]
  5. Vautrin-Ul, C.; Boisse-Laporte, C.; Benissad, N.; Chausse, A.; Leprince, P.; Messina, R. Plasma-polymerized coatings using HMDSO precursor for iron protection. Prog. Org. Coat. 2000, 38, 9–15. [Google Scholar] [CrossRef]
  6. Chang, Y.; Liao, W.; Wei, H.; Liao, Y.; Chen, H.; Kuo, C. Fabrication of transparent very thin SiOx doped diamond-like carbon films on a glass substrate. Coatings 2018, 8, 240. [Google Scholar] [CrossRef]
  7. Mitschker, F.; Schücke, L.; Hoppe, C.; Jaritz, M.; Dahlmann, R.; de los Arcos, T.; Hopmann, C.; Grundmeier, G.; Awakowicz, P. Comparative study on the deposition of silicon oxide permeation barrier coatings for polymers using hexamethyldisilazane (HMDSN) and hexamethyldisiloxane (HMDSO). J. Phys. D Appl. Phys. 2018, 51, 235201. [Google Scholar] [CrossRef]
  8. Prikryl, R.; Otrisal, P.; Obsel, V.; Svorc, L.; Karkalic, R.; Buk, J. Protective properties of a microstructure composed of barrier nanostructured organics and SiOx layers deposited on a polymer matrix. Nanomaterials 2018, 8, 679. [Google Scholar] [CrossRef]
  9. Dos Reis, M.C.; Silva, V.R.M.; Sgura, R.; da Cruz, N.C.; Rangel, E.C.; Medeiros, I.S. Surface characteristics and optical properties of plasma deposited films on indirect aesthetic restorative dental materials. Surf. Coat. Technol. 2018, 348, 55–63. [Google Scholar] [CrossRef]
  10. Brochhagen, M.; Chur, S.; Layes, V.; Böke, M.; Benedikt, J. Deposition of SiOx coatings by inductively coupled plasma: Effect of pulsed hexamethyldisiloxan flow. Plasma Process. Polym. 2018, 15, 1700186. [Google Scholar] [CrossRef]
  11. Pandiyaraj, K.N.; Kumar, A.A.; Ramkumar, M.C.; Kumar, S.U.; Gopinath, P.; Cools, P.; De Geyter, N.; Morent, R.; Bah, M.; Shah, S.I.; et al. Effect of processing parameters on the deposition of SiOx-like coatings on the surface of polypropylene films using glow discharge plasma assisted polymerization for tissue engineering applications. Vacuum 2017, 143, 412–422. [Google Scholar] [CrossRef]
  12. Hoppe, C.; Mitschker, F.; Giner, I.; de los Arcos, T.; Awakowicz, P.; Grundmeier, G. Influence of organic surface chemistry on the nucleation of plasma deposited SiOx films. J. Phys. D Appl. Phys. 2017, 50, 204002. [Google Scholar] [CrossRef]
  13. Loffhagen, D.; Becker, M.M.; Czerny, A.K.; Philipp, J.; Klages, C.P. Impact of hexamethyldisiloxane admixtures on the discharge characteristics of a dielectric barrier discharge in argon for thin film deposition. Contrib. Plasma Phys. 2018, 58, 337–352. [Google Scholar] [CrossRef]
  14. Pavlinak, D.; Galmiz, O.; Zemanek, M.; Cernak, M. Design and evaluation of plasma polymer deposition on hollow objects by electrical plasma generated from the liquid surface. Plasma Process. Polym. 2018, 15, 1700183. [Google Scholar] [CrossRef]
  15. Cui, X.; Zhu, G.; Pan, Y.; Zhang, Y. Preparation and anticorrosion properties of Polydimethylsiloxane (PDMS) coating. In Proceedings of the 4th Annual International Conference on Material Engineering and Application (ICMEA 2017), Wuhan, China, 15–17 December 2017. [Google Scholar]
  16. Xue, C.H.; Bai, X.; Jia, S.T. Robust, self-healing superhydrophobic fabrics prepared by one-step coating of PDMS and octadecylamine. Sci. Rep. 2016, 6, 27262. [Google Scholar] [CrossRef]
  17. Park, J.Y.; Yoo, S.J.; Lee, E.J.; Lee, D.H.; Kim, J.Y.; Lee, S.H. Increased poly(dimethylsiloxane) stiffness improves viability and morphology of mouse fibroblast cells. BioChip J. 2010, 4, 230–236. [Google Scholar] [CrossRef]
  18. Palchesko, R.N.; Zhang, L.; Sun, Y.; Feinberg, A.W. Development of Polydimethylsiloxane substrates with tunable elastic modulus to study cell mechanobiology in muscle and nerve. PLoS ONE 2012, 7, e51499. [Google Scholar] [CrossRef]
  19. Chuah, Y.J.; Wu, Y.; Yang, Z.; Lee, E.H.; Kang, Y. Geometrical, topographical, and mechanical cues on stem cell fate in a micro-/nano-environment. In Encyclopedia of Microfluidics and Nanofluidics; Li, D., Ed.; Springer: Boston, MA, USA, 2015; pp. 1277–1284. [Google Scholar]
  20. Huh, D.; Hamilton, G.A.; Ingber, D.E. From 3D cell culture to organs-on-chips. Trends Cell Biol. 2011, 21, 745–754. [Google Scholar] [CrossRef] [PubMed]
  21. Menon, N.V.; Chuah, Y.J.; Cao, B.; Lim, M.; Kang, Y. A microfluidic co-culture system to monitor tumor-stromal interactions on a chip. Biomicrofluidics 2014, 8, 064118. [Google Scholar] [CrossRef] [PubMed]
  22. Eduok, U.; Faye, O.; Szpunar, J. Recent developments and applications of protective silicone coatings: A review of PDMS functional materials. Prog. Org. Coat. 2017, 111, 124–163. [Google Scholar] [CrossRef]
  23. Zaplotnik, R.; Vesel, A.; Mozetič, M. Atomic oxygen and hydrogen loss coefficient on functionalized polyethylene terephthalate, polystyrene, and polytetrafluoroethylene polymers. Plasma Process. Polym. 2018, 15, 1800021. [Google Scholar] [CrossRef]
  24. Mozetic, M.; Drobnic, M.; Zalar, A. Recombination of neutral hydrogen atoms on AISI 304 stainless steel surface. Appl. Surf. Sci. 1999, 144, 399–403. [Google Scholar] [CrossRef]
  25. Zhang, Y.; Ishikawa, K.; Mozetič, M.; Tsutsumi, T.; Kondo, H.; Sekine, M.; Hori, M. Polyethylene terephthalate (PET) surface modification by VUV and neutral active species in remote oxygen or hydrogen plasmas. Plasma Process. Polym. 2019, 1800175. [Google Scholar] [CrossRef]
  26. Fantz, U.; Briefi, S.; Rauner, D.; Wünderlich, D. Quantification of the VUV radiation in low pressure hydrogen and nitrogen plasmas. Plasma Sources Sci. Technol. 2016, 25, 045006. [Google Scholar] [CrossRef]
  27. Gorjanc, M.; Bukošek, V.; Gorenšek, M.; Vesel, A. The influence of water vapor plasma treatment on specific properties of bleached and mercerized cotton fabric. Text. Res. J. 2010, 80, 557–567. [Google Scholar] [CrossRef]
  28. Gorjanc, M.; Jazbec, K.; Šala, M.; Zaplotnik, R.; Vesel, A.; Mozetič, M. Creating cellulose fibres with excellent UV protective properties using moist CF4 plasma and ZnO nanoparticles. Cellulose 2014, 21, 3007–3021. [Google Scholar] [CrossRef]
  29. Grundmeier, G.; Thiemann, P.; Carpentier, J.; Barranco, V. Tailored thin plasma polymers for the corrosion protection of metals. Surf. Coat. Technol. 2003, 174, 996–1001. [Google Scholar] [CrossRef]
  30. Alexander, M.R.; Jones, F.R.; Short, R.D. Mass spectral investigation of the radio-frequency plasma deposition of hexamethyldisiloxane. J. Phys. Chem. B 1997, 101, 3614–3619. [Google Scholar] [CrossRef]
Figure 1. Schematic of the coating procedure.
Figure 1. Schematic of the coating procedure.
Coatings 09 00234 g001
Figure 2. Schematic of the experimental setup: 1, plasma reactor; 2, diffusion pumps; 3, roots pumps; 4, large rotary pumps; 5, cold trap; 6, RF electrode; 7, RF generator; 8, Pirani gauge; 9, Al holder; 10, power supply for Al evaporation; 11, HMDSO container; 12, flow controller; 13, residual gas analyser; 14, turbomolecular pump; 15, small rotary pump; 16, glass window; 17, optical fibre; 18, optical spectrometer; 19, Argon container; 20, valves; 21, dosing valve; 22, Penning gauge.
Figure 2. Schematic of the experimental setup: 1, plasma reactor; 2, diffusion pumps; 3, roots pumps; 4, large rotary pumps; 5, cold trap; 6, RF electrode; 7, RF generator; 8, Pirani gauge; 9, Al holder; 10, power supply for Al evaporation; 11, HMDSO container; 12, flow controller; 13, residual gas analyser; 14, turbomolecular pump; 15, small rotary pump; 16, glass window; 17, optical fibre; 18, optical spectrometer; 19, Argon container; 20, valves; 21, dosing valve; 22, Penning gauge.
Coatings 09 00234 g002
Figure 3. The vacuum levels in the plasma reactor at different stages.
Figure 3. The vacuum levels in the plasma reactor at different stages.
Coatings 09 00234 g003
Figure 4. Mass spectrometry of gaseous molecules during all phases of the production process.
Figure 4. Mass spectrometry of gaseous molecules during all phases of the production process.
Coatings 09 00234 g004
Figure 5. An optical spectrum of gaseous plasma during the deposition phase.
Figure 5. An optical spectrum of gaseous plasma during the deposition phase.
Coatings 09 00234 g005
Figure 6. The XPS depth profile of the protective coating on a polymer substrate.
Figure 6. The XPS depth profile of the protective coating on a polymer substrate.
Coatings 09 00234 g006
Figure 7. Al 2p spectra obtained during XPS depth profiling of the deposited sample.
Figure 7. Al 2p spectra obtained during XPS depth profiling of the deposited sample.
Coatings 09 00234 g007
Figure 8. High energy resolution XPS spectra obtained on the surface of the deposited sample of: (a) Si 2p; (b) O 1s; and (c) C 1s.
Figure 8. High energy resolution XPS spectra obtained on the surface of the deposited sample of: (a) Si 2p; (b) O 1s; and (c) C 1s.
Coatings 09 00234 g008
Figure 9. ToF-SIMS spectrum of positive secondary ions emitted from the surface of the deposited sample.
Figure 9. ToF-SIMS spectrum of positive secondary ions emitted from the surface of the deposited sample.
Coatings 09 00234 g009

Share and Cite

MDPI and ACS Style

Gosar, Ž.; Kovač, J.; Mozetič, M.; Primc, G.; Vesel, A.; Zaplotnik, R. Deposition of SiOxCyHz Protective Coatings on Polymer Substrates in an Industrial-Scale PECVD Reactor. Coatings 2019, 9, 234. https://doi.org/10.3390/coatings9040234

AMA Style

Gosar Ž, Kovač J, Mozetič M, Primc G, Vesel A, Zaplotnik R. Deposition of SiOxCyHz Protective Coatings on Polymer Substrates in an Industrial-Scale PECVD Reactor. Coatings. 2019; 9(4):234. https://doi.org/10.3390/coatings9040234

Chicago/Turabian Style

Gosar, Žiga, Janez Kovač, Miran Mozetič, Gregor Primc, Alenka Vesel, and Rok Zaplotnik. 2019. "Deposition of SiOxCyHz Protective Coatings on Polymer Substrates in an Industrial-Scale PECVD Reactor" Coatings 9, no. 4: 234. https://doi.org/10.3390/coatings9040234

APA Style

Gosar, Ž., Kovač, J., Mozetič, M., Primc, G., Vesel, A., & Zaplotnik, R. (2019). Deposition of SiOxCyHz Protective Coatings on Polymer Substrates in an Industrial-Scale PECVD Reactor. Coatings, 9(4), 234. https://doi.org/10.3390/coatings9040234

Note that from the first issue of 2016, this journal uses article numbers instead of page numbers. See further details here.

Article Metrics

Back to TopTop