The Influence of Glass Flake and Micaceous Iron Oxide on Electrochemical Corrosion Performance of Waterborne Silicate Coatings in 3.5% NaCl Solution
Abstract
1. Introduction
2. Experiment
2.1. Materials
2.2. Preparation of the Antirust Paint
2.2.1. Formulation
2.2.2. Preparation
2.3. Preparation of GF and MIO Anticorrosion Paint
2.3.1. Formulation
2.3.2. Preparation
2.4. Preparation of Studied Coatings
2.5. Preparation and Characterization of Specimens
2.5.1. Preparation of the Cross Section Specimens
2.5.2. Characterization
3. Results and Discussion
3.1. Curing Mechanism for Silicate Paints
3.2. Basic Mechanical Properties for GF and MIO Anticorrosion Coatings
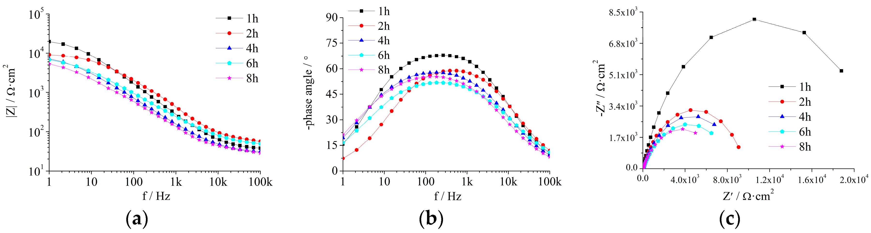
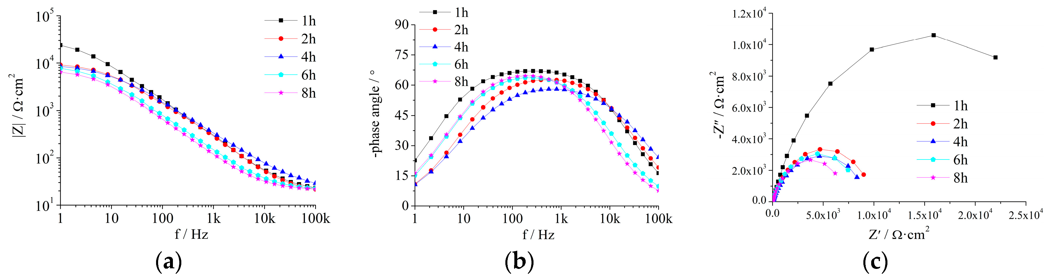
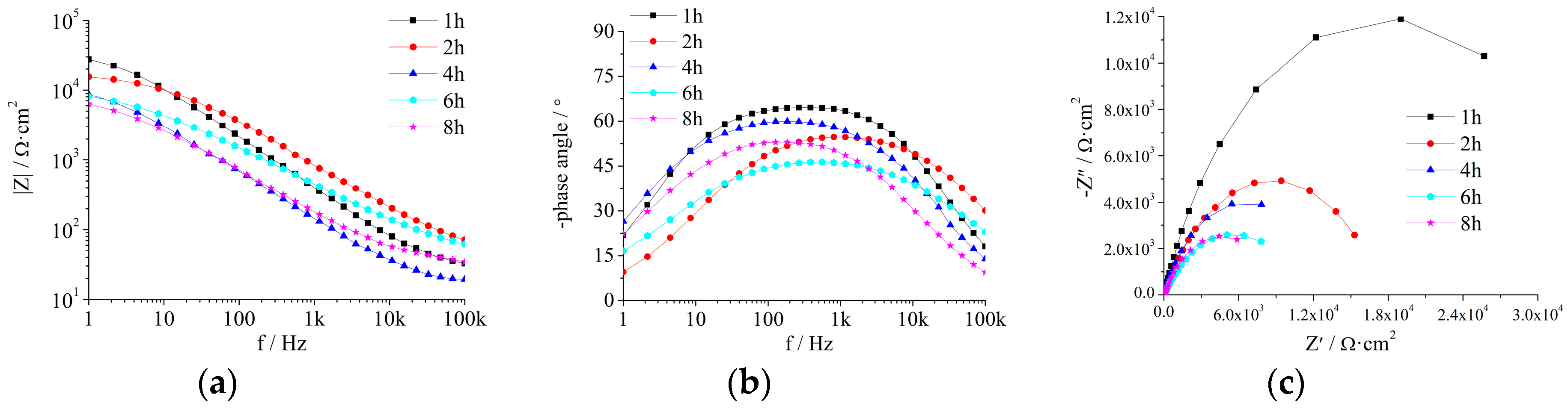
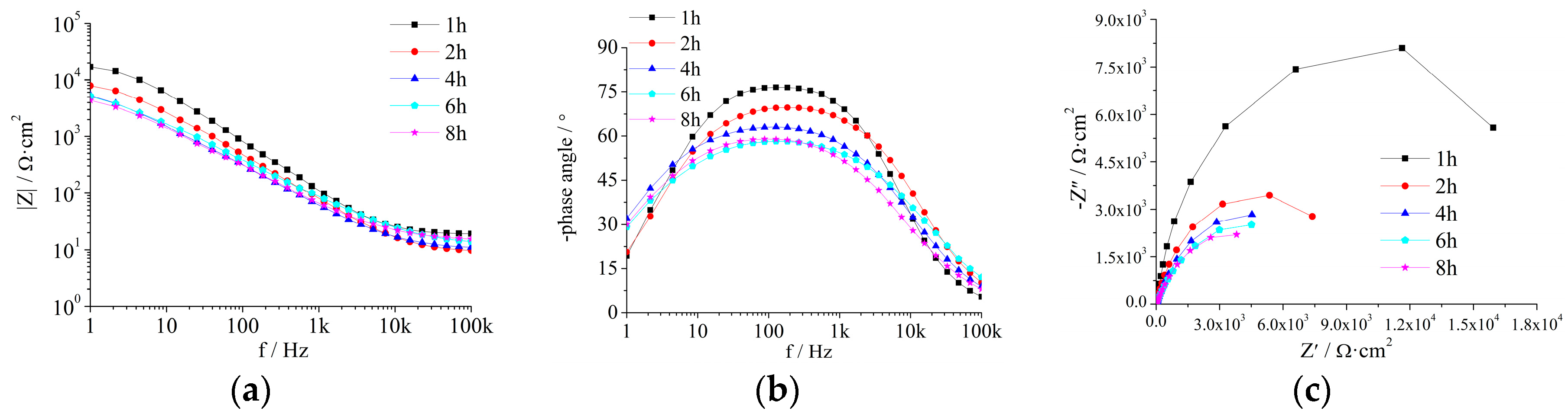
3.3. Anticorrosion Performance of Composite Coatings
4. Conclusions
- For waterborne silicate paints the curing mechanism was modified. Silicate paints form orthosilicates rather than silicates during the curing process.
- For anticorrosion coatings, the adhesion and impact strength reached Grade 1 and 50 kg·cm, and the pencil hardness could reach 4H—properties which meet the application requirements of marine anticorrosion coatings.
- There was only one time constant during the EIS tests and no corrosion was observed for the 168 h salt spray, which indicates that the composite coatings possess good corrosion resistance. Due to the large radius–thickness ratio and low density of GF, the GF composite coatings have better corrosion resistance than the MIO composite coatings.
Author Contributions
Funding
Conflicts of Interest
Appendix A








References
- Fotovvati, B.; Namdari, N.; Dehghanghadikolaei, A. On coating techniques for surface protection: A review. J. Manuf. Mater. Process. 2019, 3, 28. [Google Scholar] [CrossRef]
- Schuerz, S.; Fleischanderl, M.; Luckeneder, G.H.; Preis, K.; Haunschmied, T.; Mori, G.; Kneissl, A.C. Corrosion behaviour of Zn–Al–Mg coated steel sheet in sodium chloride-containing environment. Corros. Sci. 2009, 51, 2355–2363. [Google Scholar] [CrossRef]
- Nishimura, K.; Shindo, H.; Kato, K.; Morimoto, Y. Microstructure and Corrosion Behavior of Zn–Mg–Al hot-dip Galvanized Steel Sheet. In Proceedings of the Galvatech ’98, Chiba, Japan, 20–23 September 1998; pp. 437–442. [Google Scholar]
- Schürz, S.; Luckeneder, G.H.; Fleischanderl, M.; Mack, P.; Gsaller, H.; Kneissl, A.C.; Mori, G. Chemistry of corrosion products on Zn–Al–Mg alloy coated steel. Corros. Sci. 2010, 52, 3271–3279. [Google Scholar] [CrossRef]
- Keppert, T.A.; Luckeneder, G.; Stellnberger, K.H.; Mori, G.; Antrekowitsch, H. Investigation of the corrosion behavior of Zn–Al–Mg hot-dip galvanized steel in alternating climate tests. Corrosion 2014, 70, 1238–1248. [Google Scholar] [CrossRef]
- Keppert, T.A.; Luckeneder, G.; Stellnberger, K.H.; Mori, G.; Antrekowitsch, H. The effect of sulphate, phosphate, nitrate and acetate on the corrosion behaviour of ZnAl–Mg hot-dip galvanised steel. Mater. Corros. 2014, 65, 560–568. [Google Scholar] [CrossRef]
- Lebozec, N.; Thierry, D.; Peltola, A.; Luxem, L.; Luckeneder, G.; Marchiaro, G.; Rohwerder, M. Corrosion performance of Zn–Mg–Al coated steel in accelerated corrosion tests used in the automotive industry and field exposures Mater. Mater. Corros. 2013, 64, 969–978. [Google Scholar] [CrossRef]
- Bobzin, K.; Oete, M.; Linke, T.F.; Schulz, C. Corrosion of wire arc sprayed ZnMgAl. Mater. Corros. 2015, 66, 520–526. [Google Scholar] [CrossRef]
- Duchoslav, J.; Truglas, T.; Groiß, H.; Riener, C.K.; Stifter, D. Structure and chemistry of surface oxides on ZnMgAl corrosion protection coatings with varying alloy composition. Surf. Coat. Technol. 2019, 368, 51–58. [Google Scholar] [CrossRef]
- Li, Z.W.; Wang, H.P. Analysis on the situation and prospect of china anticorrosion coatings industry. China Paint 2012, 27, 17–20. (In Chinese) [Google Scholar]
- Cheng, L.H.; Liu, C.L.; Han, D.J.; Ma, S.H.; Guo, W.H.; Cai, H.F.; Wang, X.H. Effect of graphene on corrosion resistance of waterborne inorganic zinc-rich coatings. J. Alloys Compd. 2019, 774, 255–264. [Google Scholar] [CrossRef]
- Jolin, W.C.; Oster, C.; Kaminski, M.D. Silicate coating to prevent leaching from radiolabeled surrogate far-field fallout in aqueous environments. Chemosphere 2019, 222, 106–113. [Google Scholar] [CrossRef]
- Castro, Y.; Duran, A. Control of degradation rate of Mg alloys using silica sol-gel coatings for biodegradable implant materials. J. Sol-Gel Sci. Technol. 2019, 90, 198–208. [Google Scholar] [CrossRef]
- Guo, L.L.; Tao, X.; Gong, Z.; Guo, A.R.; Du, H.Y.; Liu, J.C. Preparation of MoSi2–SiC–Al2O3–SiO2 coating on mullite fibrous insulation with silica sol as binder by non-firing process. Ceram. Int. 2019, 45, 2602–2611. [Google Scholar] [CrossRef]
- Sayyedan, F.S.; Enayati, M.H. On structure and oxidation behaviour of non-stoichiometric amorphous aluminium phosphate coating. Surf. Eng. 2019, 35, 670–676. [Google Scholar] [CrossRef]
- Mokabber, T.; Zhou, Q.; Vakis, A.I.; van Rijn, P.; Pei, Y.T. Mechanical and biological properties of electrodeposited calcium phosphate coatings. Mater. Sci. Eng. C Mater. Biol. Appl. 2019, 100, 475–484. [Google Scholar] [CrossRef]
- Zheng, S.X.; Li, J.H. Inorganic–organic sol gel hybrid coatings for corrosion protection of metals. J. Sol-Gel Sci. Technol. 2010, 54, 174–187. [Google Scholar] [CrossRef]
- Narita, T.; Kikuchi, N.; Kawasaki, K.; Ozaki, Y. Preparation and characterization of phenol resin coatings containing silica. J Ceram. Soc. Jpn. 1996, 104, 504–509. [Google Scholar] [CrossRef][Green Version]
- Peng, G.Y. Preparation and Properties of Waterborne Inorganic Coatings with Potassium Silicate/Silica Sol as Film-Forming Substance. Master’s Thesis, South China University of Technology, Guangzhou, China, 2012. (In Chinese). [Google Scholar]
- Zhang, S.M. Application of silica sol in environmentally friendly coatings. Urban Roads Bridges Flood Control 2011, 248–249. (In Chinese) [Google Scholar]
- Feng, L.; Liu, N.X.; Duan, S.X.; Liu, H. Research on inorganic heat-resisting coating with water solubility. Jiangsu Coal 2002, 3, 28–29. (In Chinese) [Google Scholar]
- Zhang, F. Study on Preparation, Performance and Corrosion Mechanism of Anticorrosive Coatings. Ph.D. Thesis, Beijing University of Chemical Technology, Beijing, China, 2007. (In Chinese). [Google Scholar]
- Zhao, X.; Zhang, Z.Z.; Zhang, J.T.; Ding, G.Q. Research and development trend of environmentally friendly anticorrosive and antifouling coatings for hulls. Shanghai Coat. 2017, 55, 24–28. (In Chinese) [Google Scholar]
- Haas, K.H.; Ambergschwab, S.; Rose, K. Functionalized coating materials based on inorganic-organic polymers. Thin Solid Films 1999, 351, 198–203. [Google Scholar] [CrossRef]
- Sang, I.S.; Kim, J.H.; Choi, K.H.; Hwang, Y.Y. Preparation of corrosion protective coatings on galvanized iron from aqueous inorganic–organic hybrid sols by sol–gel method. Surf. Coat. Technol. 2006, 200, 3468–3472. [Google Scholar]
- Rosero-Navarro, N.C.; Pellice, S.A.; Castro, Y.; Aparicio, M.; Durán, A. Improved corrosion resistance of AA2024 alloys through hybrid organic–inorganic sol–gel coatings produced from sols with controlled polymerisation. Surf. Coat. Technol. 2009, 203, 1897–1903. [Google Scholar] [CrossRef]
- Wang, Z.; Han, E.; Liu, F.; Qian, Z.; Zhu, L. Waterborne epoxy nanocoatings modified by nanoemulsions and nanoparticles. J. Mater. Sci. Technol. 2014, 30, 1036–1042. [Google Scholar] [CrossRef]
- Sathiyanarayanan, S.; Azim, S.S.; Venkatachari, G. Corrosion protection coating containing polyaniline glass flake composite for steel. Electrochim. Acta 2008, 53, 2087–2094. [Google Scholar] [CrossRef]
- Yang, C.; Smyrl, W.H.; Cussler, E.L. Flake alignment in composite coatings. J. Membr. Sci. 2004, 231, 1–12. [Google Scholar] [CrossRef]
- González-Guzmán, J.; Santana, J.J.; González, S.; Souto, R.M. Resistance of metallic substrates protected by an organic coating containing glass flakes. Prog. Org. Coat. 2010, 68, 240–243. [Google Scholar] [CrossRef]
- Arman, S.Y.; Ramezanzadeh, B.; Farghadani, S.; Mehdipour, M.; Rajabi, A. Application of the electrochemical noise to investigate the corrosion resistance of an epoxy zinc-rich coating loaded with lamellar aluminum and micaceous iron oxide particles. Corros. Sci. 2013, 77, 118–127. [Google Scholar] [CrossRef]
- Wang, G.; Yang, J. Influences of glass flakes on fire protection and water resistance of waterborne intumescent fire resistive coating for steel structure. Prog. Org. Coat. 2011, 70, 150–156. [Google Scholar] [CrossRef]
- Giúdice, C.A.; Benítez, J.C. Optimising the corrosion protective abilities of lamellar micaceous iron oxide containing primers. Anticorros. Methods Mater. 2000, 47, 226–232. [Google Scholar] [CrossRef]
- Sørensen, P.A.; Kiil, S.; Dam-Johansen, K.; Weinell, C.E. Anticorrosive coatings: A review. J. Coat. Technol. Res. 2009, 6, 135–176. [Google Scholar] [CrossRef]
- Yan, G.; Wang, M.Y.; Sun, T.; Li, X.P. Anti-Corrosion property of glass flake reinforced chemically bonded phosphate ceramic coatings. Materials 2019, 12, 2082. [Google Scholar] [CrossRef] [PubMed]
- Naser Kakaei, M.; Danaee, I.; Zaarei, D. Evaluation of cathodic protection behavior of waterborne inorganic zinc-rich silicates containing various contents of MIO pigments. Anticorros. Methods Mater. 2013, 60, 37–44. [Google Scholar] [CrossRef]
- Dehghanghadikolaei, A.; Ibrahim, H.; Amerinatanzi, A.; Hashemi, M.; Moghaddam, N.S.; Elahinia, M. Improving corrosion resistance of additively manufactured nickel–titanium biomedical devices by micro-arc oxidation process. J. Mater. Sci. 2019, 54, 7333–7355. [Google Scholar] [CrossRef]
- GB/T 1720-1979. Method of Test for Adhesion of Paint Films; China Petroleum and Chemical Industry Federation: Beijing, China, 1980.
- GB/T 6739-2006. Paints and Varnishes-Determination of Film Hardness by Pencil Test; China Petroleum and Chemical Industry Federation: Beijing, China, 2007.
- GB/T 1732-1993. Determination of Impact Resistance of Film; China Petroleum and Chemical Industry Federation: Beijing, China, 1993.
- ASTM B117. Standard Practice for Operating Salt Spray (Fog) Apparatus; ASTM International: West Conshohocken, PA, USA, 2017.
- Qi, Y.H.; Zhang, Z.P.; Miao, M.; Zhang, X.Z. Studies on estimating methods of polarization performance for coated steel in seawater. Mater. Sci. Forum 2010, 654–656, 2418–2421. [Google Scholar] [CrossRef]
- Zhao, X.; Qi, Y.H.; Zhang, Z.P.; Li, K.J. Electrochemical impedance spectroscopy investigation on the corrosive behaviour of waterborne silicate micaceous iron oxide coatings in seawater. Coatings 2019, 9, 415. [Google Scholar] [CrossRef]
- Wang, P.; Yang, Q.; Cheng, X.R. Study on the curing mechanism of sodium silicate inorganic zinc-rich coating. Appl. Chem. Ind. 2007, 36, 1076–1080. [Google Scholar]
- Zhou, C.J. Preparation of Silicate Waterborne Inorganic Zinc-Rich Anticorrosion Coatings and Studies on its Performance. Master’s Thesis, Shenyang University of Technology, Shenyang, China, 2014. (In Chinese). [Google Scholar]
- Ding, J.H.; Liu, S.; Gu, L.; Zhao, H.C.; Yu, H.B. Corrosion resistance of epoxy phosphate/waterborne epoxy coatings on steel. China Surf. Eng. 2015, 28, 126–131. (In Chinese) [Google Scholar]
- Li, Y.; Yang, Z.; Qiu, H.; Dai, Y.; Zheng, Q.; Li, J.; Yang, J. Self-aligned graphene as anticorrosive barrier in waterborne polyurethane composite coatings. J. Mater. Chem. A 2014, 2, 14139–14145. [Google Scholar] [CrossRef]
- Castela, A.S.; Simões, A.M. An impedance model for the estimation of water absorption in organic coatings. Part I: A linear dielectric mixture equation. Corros. Sci. 2003, 45, 1631–1646. [Google Scholar] [CrossRef]













| Powder | Radius–Thickness Ratio | Density (g/cm3) |
|---|---|---|
| MIO | 2.09 | 4.7–4.9 |
| GF | 5.47 | 2.5 |
| Raw Materials (wt.%) | Z5 |
|---|---|
| E777-2 | 30 |
| 500 mesh spherical zinc powder | 70 |
| Raw Materials/wt.% | G16/M16 | G14/M14 | G12/M12 | G10/M10 | G8/M8 |
|---|---|---|---|---|---|
| E777-2 | 64 | 64 | 64 | 64 | 64 |
| Talc | 4 | 4 | 4 | 4 | 4 |
| Composite calcium zinc phosphate | 5 | 5 | 5 | 5 | 5 |
| Titanium dioxide | 1 | 1 | 1 | 1 | 1 |
| Deionized water | 10 | 12 | 14 | 16 | 18 |
| GF/MIO | 16 | 14 | 12 | 10 | 8 |
| Sample | Pencil Hardness (H) | Adhesion (Grade) | Impact Resistance (kg·cm) |
|---|---|---|---|
| G16 | 3 | 1 | 50 |
| G14 | 2 | 1 | 50 |
| G12 | 2 | 1 | 50 |
| G10 | 2 | 1 | 50 |
| G8 | 2 | 1 | 50 |
| Sample | Pencil Hardness (H) | Adhesion (Grade) | Impact Resistance (kg·cm) |
|---|---|---|---|
| M16 | 4 | 1 | 50 |
| M14 | 3 | 1 | 50 |
| M12 | 3 | 1 | 50 |
| M10 | 3 | 1 | 50 |
| M8 | 2 | 1 | 50 |
| Sample | Time (h) | Qc (μF·cm−2·Hz1−n) | n | Rc (kΩ·cm2) |
|---|---|---|---|---|
| Z5 + G8 | 1 | 3.365 | 0.8018 | 22.29 |
| 2 | 3.572 | 0.7511 | 9.49 | |
| 4 | 14.62 | 0.7045 | 9.265 | |
| 6 | 15.44 | 0.65 | 8.672 | |
| 8 | 21.1 | 0.6857 | 7.024 | |
| Z5 + G10 | 1 | 3.975 | 0.779 | 29.97 |
| 2 | 5.208 | 0.7529 | 9.848 | |
| 4 | 6.87 | 0.6962 | 9.587 | |
| 6 | 8.918 | 0.7643 | 8.886 | |
| 8 | 9.851 | 0.7795 | 7.466 | |
| Z5 + G12 | 1 | 3.704 | 0.7574 | 33.86 |
| 2 | 3.786 | 0.7343 | 16.18 | |
| 4 | 3.845 | 0.6935 | 10.56 | |
| 6 | 15.71 | 0.678 | 9.344 | |
| 8 | 19.16 | 0.6294 | 8.579 | |
| Z5 + G14 | 1 | 3.591 | 0.7523 | 35.38 |
| 2 | 3.693 | 0.6584 | 17.38 | |
| 4 | 15.56 | 0.7038 | 12.91 | |
| 6 | 15.66 | 0.5714 | 10.96 | |
| 8 | 20.56 | 0.6527 | 8.898 | |
| Z5 + G16 | 1 | 1.639 | 0.7171 | 69.92 |
| 2 | 6.861 | 0.6543 | 19.46 | |
| 4 | 15.6 | 0.5545 | 13.82 | |
| 6 | 16.36 | 0.5421 | 11.91 | |
| 8 | 17.41 | 0.5278 | 9.319 |
| Sample | Time (h) | Qc (μF·cm−2·Hz1−n) | n | Rc (kΩ·cm2) |
|---|---|---|---|---|
| Z5 + M8 | 1 | 2.668 | 0.8705 | 17.81 |
| 2 | 6.725 | 0.82 | 9.349 | |
| 4 | 9.02 | 0.7831 | 6.051 | |
| 6 | 13.83 | 0.7384 | 5.753 | |
| 8 | 15.76 | 0.713 | 5.323 | |
| Z5 + M10 | 1 | 3.935 | 0.888 | 19.18 |
| 2 | 11.28 | 0.8077 | 9.495 | |
| 4 | 27.93 | 0.7375 | 8.614 | |
| 6 | 31.29 | 0.6843 | 8.412 | |
| 8 | 34.35 | 0.7067 | 7.178 | |
| Z5 + M12 | 1 | 3.311 | 0.8706 | 20.63 |
| 2 | 7.635 | 0.8054 | 13.45 | |
| 4 | 18.09 | 0.7432 | 9.883 | |
| 6 | 18.13 | 0.7113 | 9.317 | |
| 8 | 38.54 | 0.6806 | 7.686 | |
| Z5 + M14 | 1 | 2.352 | 0.8681 | 26.64 |
| 2 | 5.505 | 0.7937 | 17.2 | |
| 4 | 10.72 | 0.7794 | 12.51 | |
| 6 | 11.87 | 0.6689 | 10.03 | |
| 8 | 12.39 | 0.7099 | 8.872 | |
| Z5 + M16 | 1 | 3.181 | 0.8664 | 27.75 |
| 2 | 5.698 | 0.8255 | 18.16 | |
| 4 | 11.84 | 0.7499 | 13.48 | |
| 6 | 12.32 | 0.6824 | 10.55 | |
| 8 | 25.41 | 0.6776 | 8.98 |
© 2019 by the authors. Licensee MDPI, Basel, Switzerland. This article is an open access article distributed under the terms and conditions of the Creative Commons Attribution (CC BY) license (http://creativecommons.org/licenses/by/4.0/).
Share and Cite
Zhao, X.; Qi, Y.; Zhang, Z.; Li, K. The Influence of Glass Flake and Micaceous Iron Oxide on Electrochemical Corrosion Performance of Waterborne Silicate Coatings in 3.5% NaCl Solution. Coatings 2019, 9, 833. https://doi.org/10.3390/coatings9120833
Zhao X, Qi Y, Zhang Z, Li K. The Influence of Glass Flake and Micaceous Iron Oxide on Electrochemical Corrosion Performance of Waterborne Silicate Coatings in 3.5% NaCl Solution. Coatings. 2019; 9(12):833. https://doi.org/10.3390/coatings9120833
Chicago/Turabian StyleZhao, Xu, Yuhong Qi, Zhanping Zhang, and Kejiao Li. 2019. "The Influence of Glass Flake and Micaceous Iron Oxide on Electrochemical Corrosion Performance of Waterborne Silicate Coatings in 3.5% NaCl Solution" Coatings 9, no. 12: 833. https://doi.org/10.3390/coatings9120833
APA StyleZhao, X., Qi, Y., Zhang, Z., & Li, K. (2019). The Influence of Glass Flake and Micaceous Iron Oxide on Electrochemical Corrosion Performance of Waterborne Silicate Coatings in 3.5% NaCl Solution. Coatings, 9(12), 833. https://doi.org/10.3390/coatings9120833
