Abstract
To utilize garbage fly ash (GFA) as a resource, this research proposes a method for preparing GFA with higher reactivity through carbonation and applies it to the production of foamed concrete. The effects of CO2-cured GFA substitution rate and foam volume on slump flow, rheological properties, mechanical strength, thermal conductivity, water absorption rate, and water resistance coefficient of foam concrete are clarified. The results show that an increase in the CO2-cured GFA substitution rate from 0 to 100% improves the slump flow by 10.8%~34.5% and decreases the plastic viscosity by 4.8%~36.4% and yield stress by 5.6%~28.1%. The higher carbonized GFA substitution rate can prolong the initial setting time with the largest amplitude of 30.4%. In addition, increasing the CO2-cured GFA substitution rate improves the mechanical strengths, water resistance, thermal conductivity, and solidification of heavy metals. When the CO2-cured GFA substitution rate is 100%, the 28-day compressive strength, 28-day flexural strength, water absorption rate, water resistance coefficient, thermal conductivity, leached Zn, and leached Cr of foam concrete are 18 MPa, 3.6 MPa, 20.7%, 0.46, 0.69 W·m−1·K−1, 9.4 × 10−5 mg/mL, and 8.6 × 10−5 mg/mL, respectively. Moreover, more foam volume improves the fresh-mixed performance of foam concrete while reducing the mechanical strength, water resistance property, thermal conductivity, and solidification of heavy metals. It is found that the technical approach for preparing foamed concrete containing CO2-cured GFA with 40% foam volume can achieve its large-scale use.
1. Introduction
Garbage fly ash, steel slag, secondary aluminum dross, and other similar materials are solid wastes that can inflict substantial environmental harm if left untreated [1,2]. Among these, garbage fly ash poses the greatest threat. It contains a high concentration of heavy metal elements, leading to air pollution during windy conditions [3]. Moreover, the accumulation of garbage fly ash significantly contaminates water sources [4]. Given these factors, it is imperative to employ multiple methods to mitigate the hazards associated with garbage fly ash [5,6].
Garbage fly ash is formed by the incineration of municipal solid waste at high temperatures [7]. Although garbage fly ash contains a large amount of toxic substances, this solid waste also contains a large amount of active substances [8]. Therefore, garbage fly ash is suitable for the production of cement-based materials [9]. Several researchers have used garbage fly ash for manufacturing cement concrete [10]. It has been reported that garbage fly ash increases the flexural strength and compressive strength of cement concrete up to 11.3% and 13.2%, respectively [11]. When cement concrete is cured in a high-temperature environment, the improvements in mechanical strength and resistance to chloride ion penetration, carbonation, and sulfate corrosion are higher [12]. Liao et al. [13] have demonstrated that garbage fly ash improves the corrosion resistance of steel-reinforced concrete by increasing its electrical and polarization resistances. Although garbage fly ash has been reported to increase the mechanical strengths and durability of cement concrete, toxic substances leach from cement concrete [14,15]. Garbage fly ash contains two main heavy metal elements, Cr and Zn. In the absence of timely treatment, these elements have the potential to leach out, posing a significant threat to human health [16]. However, a promising approach involves treating garbage fly ash with carbon dioxide, which leads to the generation of CaCO3 and other substances to enhance its compactness and effectively mitigate the leakage of toxic substances. The manufacturing of carbonized garbage fly ash with cement concrete can effectively solidify the elements of Cr and Zn. Solidified Cr and Zn are harmless to the environment [17].
Industrial production activities emit a large amount of CO2 gas, which accelerates the greenhouse effect [18]. However, CO2 is used in manufacturing certain building materials. The CO2 curing of cement concrete can significantly improve its mechanical strength by rates up to 31.6% and also enhance its durability [19,20]. Moreover, as pointed out in previous studies, CO2 curing of raw materials can improve the performance of cement-based materials [21]. CO2 curing on secondary aluminum ash, furnace ash, coal ash slag, etc., can enhance the mechanical strength and long-term durability of the cement-based material. Research shows that CO2-cured garbage fly ash can increase the compressive strength of UHPC by up to 14.2% [22]. CO2-cured coal gangue can increase the mechanical strength of bricks by up to 222.7%. The leached Pb and Zn are reduced to less than 3.5 × 10−5 mg/mL, while the thermal conductivity is reduced by up to 32.6%, after the specimens are immersed in deionized water for six months [23]. Using CO2-cured garbage fly ash as a partial replacement for cementitious materials can enhance the mechanical strength. At the same time, after six months of leaching, Cr and Zn are reduced to less than 8.64 × 10−5 mg/mL and 9.46 × 10−5 mg/mL. Consequently, the environmental risks associated with practical applications are rendered practically negligible [24,25]. However, little attention has been paid to the influence of CO2-cured garbage fly ash on the properties of foam concrete.
Foam concrete is usually used for thermal insulation. However, foam concrete possesses insufficient strength. Several methods have been used to improve the mechanical properties of foam concrete [26,27]. Increasing the amount of cementitious material and reducing the porosity are often used to improve the strength of foam concrete [28]. The cost of ordinary cementitious materials is relatively high. Therefore, the use of CO2-cured garbage fly ash to increase the mass ratio of cementitious materials presents a viable option for enhancing the mechanical properties of foam concrete [29,30].
This study investigates the rheological properties of fresh foam concrete, including slump flow, plastic viscosity, yield stress, and initial setting time, as a function of the mass ratio of CO2-cured garbage fly ash (ranging from 0% to 100% of the total fly ash content). Meanwhile, the mechanical strengths are determined. The water absorption rate and thermal conductivity are measured. Finally, the influence of the foam volume on the corresponding performances is assessed. This research aims to develop new materials for making foam concrete while also recycling garbage fly ash and reducing excess CO2 emissions and economic costs, thereby creating significant sustainable value.
2. Experimental Sections
2.1. Raw Materials
In this study, garbage fly ash (GFA), supplied by Zhongjielan Environmental Protection Technology Co., Ltd., Beijing, China, was utilized as a supplementary cementitious material. The garbage fly ash mainly contained SiO2, CaO, Al2O3, and other minor components. Ordinary Portland cement, obtained from Fushun Cement Co., Fushun, China, served as another cementitious material, with a compressive strength of 42.5 MPa, a density of 3.1 g/cm3, and initial/final setting times of 114 and 346 min, respectively. The aggregates used in this study were river sand (fine aggregate) with a fineness modulus of 2.35. A plant-based foaming agent, Type JD-2 (99% vegetable proteins), produced by Shanghai Fangbao Building Materials Technology Co., Ltd., Shanghai, China, was employed. This light-yellow liquid agent has a gas production capacity of 10,000 mL/g, and decomposes at 80 °C. A high-range water-reducing agent, produced by Jiangsu Subote New Materials Co., Ltd., Suzhou, China, and exhibiting a 40% water-reduction rate, was used in this study. In this study, the foam volume ranged from 0% to 60%, while the water-to-binder (w/b) ratio was maintained at 1.0. Table 1 and Table 2 show the chemical compositions and the particle size distribution of the cementitious materials and river sand.
Table 1.
Chemical compositions of the cementitious materials/wt.%.
Table 2.
Particle size distribution of the cementitious materials and river sand/wt.%.
2.2. Sample Preparation and Measurement
The foaming agent was blended with water at a 1:20 ratio to prepare a foam solution, which was subsequently fed into a foaming machine to produce foam. The garbage fly ash was thoroughly blended with water and agitated for 1 min to yield a uniform fresh paste, which was subsequently combined with the foam to produce foamed garbage fly ash cement concrete. The carbonation process was performed by exposing garbage fly ash to pressurized CO2 (atmospheric pressure of 0.4 MPa and temperature of 60 °C) for 24 h. Reactive Ca/Mg oxides were converted into stable carbonates (e.g., CaCO3/MgCO3), enabling simultaneous CO2 sequestration and heavy metal immobilization. Table 3 shows the mixture design of foamed concrete per cubic meter. The proportion of GFA (carbonated GPA + uncarbonated GPA) in the cementitious materials (cement and GFA) was 33.3%. The CO2-cured GFA accounted for 0%, 20%, 40%, 60%, 80%, and 100%, respectively, of the GFA.
Table 3.
Mixture design of foamed concrete per cubic meter (kg).
2.3. The Measurement of Workability
The flowability was tested according to the GB/T 50080-2016 standard [31]. Each set of specimens was placed in a truncated conical circular mold and compacted. The mold was gently lifted vertically, at which point the jumping table was activated 25 times at a frequency of once per second. The flowability was recorded as the average values of the change in diameter vertically in both directions. All specimens were conditioned at 20 °C prior to measuring their plastic viscosity. A Brookfield RST-SST rheometer (Beijing Boying Technology Co., Ltd., Beijing, China) was used for measurement. The plastic yield shear stress was determined using a Lamy DSR500 CP-4000 Plus machine (Bihai International Trade Co., Ltd., Shanghai, China). All specimens were placed in the rheometer, and the maximum torque was recorded.
2.4. Determination of Thermal Conductivity and Water Resistance Coefficient
The foamed garbage fly ash was cast into oiled molds to produce specimens with dimensions of 100 × 100 × 400 mm3 and 100 × 100 × 100 mm3. Three specimens were selected for each test, ensuring a standard deviation within ±10%.
After demolding, all specimens were dried in a DHG-9030 electrothermal drying oven (Suzhou Double Blue Environmental Technology Co., Ltd., Suzhou, China), with a maximum drying temperature of 400 °C, at 140 °C for 9 h. Subsequently, specimens were cured in a controlled room environment (40% relative humidity, 20 °C) for 28 days. Thermal conductivity was measured using 100 × 100 × 100 mm3 specimens with an MP-2 portable thermal conductivity tester supplied by Cymotes Technology Co., Ltd., Shenzhen, China with a measurement range of 0.001~10 W/(m·K).
These specimens were also used to evaluate the water resistance coefficient. For this purpose, the selected specimens were immersed in water until their mass stabilized. The water resistance coefficient was determined as the ratio of the compressive strength measured before water saturation to that measured after saturation.
2.5. Measurement of Mechanical Properties
Mechanical properties were evaluated in compliance with the Chinese national standard GB/T 50081-2019 [32] using an automated universal testing machine provided by Shanghai Songdun Instrument Manufacturing Co., Ltd., Shanghai, China, integrated with a humidity-controlled environmental chamber. Specimens incorporating 10%, 20%, and 30% cement by mass, combined with 30% foam agent (by volume), were tested under a controlled relative humidity of 40%. All specimens were cured for 28 days and maintained under the same environmental conditions for 6 hours prior to testing. The microstructure and crystalline phases of the hydration products were examined using an Axia-Chemi scanning electron microscope–energy spectrum analysis (SEM-EDS) (Shenzhen Shanshi Instrument Co., Ltd., Shenzhen, China). The measuring procedure is shown in Figure 1.
Figure 1.
The measuring procedure.
3. Results and Discussions
3.1. The Influence of CO2-Cured Garbage Fly Ash
The slump flow of fresh foamed concrete is presented in Figure 2. As shown in Figure 2, the slump flow increases in the form of cubic functions with an increased mass ratio of CO2-cured garbage fly ash. The slump flow is increased by rates of 10.8%~34.5%. This effect is attributed to the pore refinement induced by the CO2 curing of garbage fly ash-based materials, which promotes the release of entrapped free water and consequently enhances the slump flow of the fresh concrete [33,34]. Moreover, as depicted in Figure 2, the slump flow of fresh foamed concrete exhibits a time-dependent reduction, with the placing time by rates of 3.1%~27.5%. This reduction is primarily attributed to the evaporation of free water, which progressively diminishes the fluidity of the mixture. The goodness-of-fit (R2 >0.9) of the fitted equations validates the accuracy of the predictive model for fluidity decay.
Figure 2.
The slump flow of fresh foamed concrete with CO2-cured garbage fly ash.
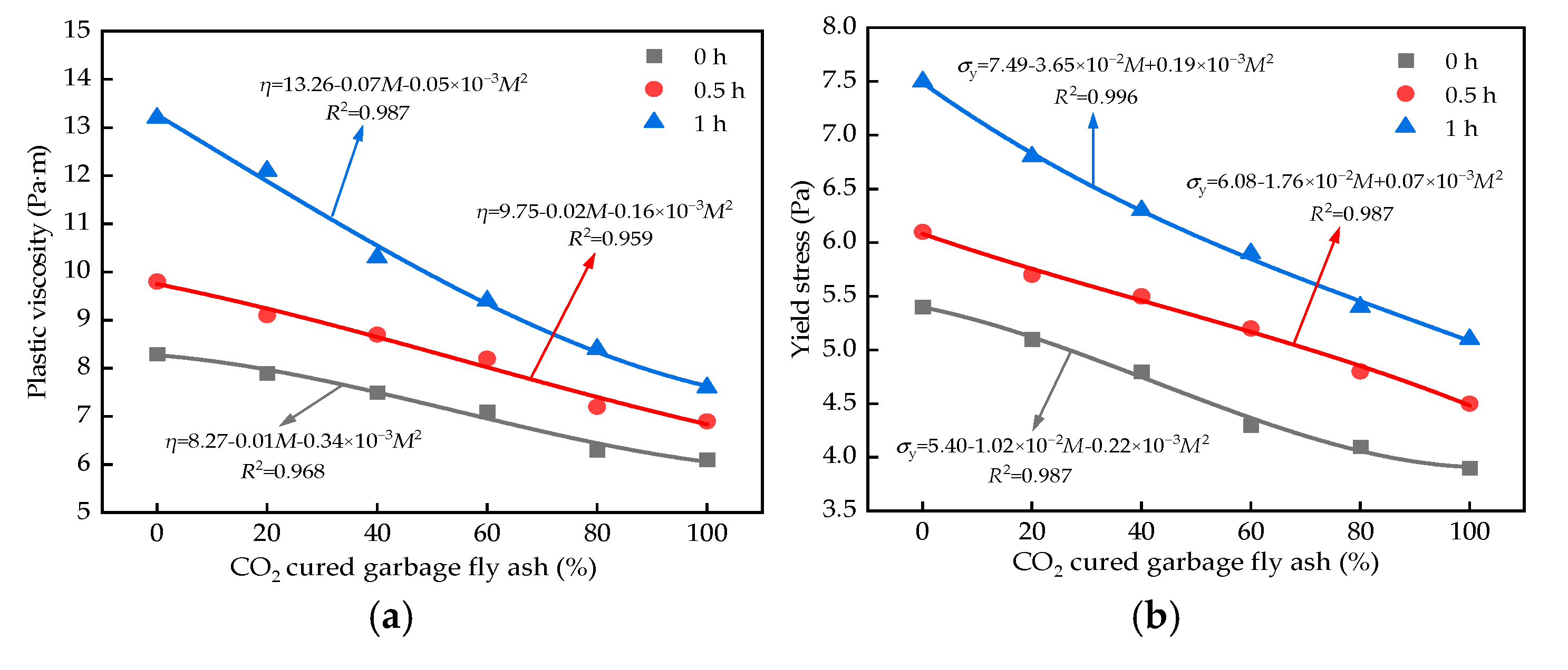
The plastic viscosity and the yield stress of fresh foamed concrete with CO2-cured garbage fly ash are shown in Figure 3. The plastic viscosity and yield stress decrease quadratically with an increasing mass ratio of CO2-cured garbage fly ash. The decreasing rates of the plastic viscosity and yield stress induced by the CO2-cured garbage fly ash are 4.8%~36.4% and 5.6%~28.1%. The placing time demonstrates an increasing effect on the fresh foamed concrete’s plastic viscosity and yield shear stress. The fresh foamed concrete’s plastic viscosity and yield stress are increased by rates of 13.1%~59.0% and 11.8%~37.2% with placing time. As reported in prior studies, the relationships between plastic viscosity, the yield shear stress, and the mass ratio of CO2-cured garbage fly ash confirm the anti-correlation [35]. Therefore, the plastic viscosity and yield stress decrease with the mass ratio of CO2-cured garbage fly ash, while placing time elevates both parameters.
Figure 3.
The plastic viscosity and yield stress of fresh foamed concrete with CO2-cured garbage fly ash. (a) The plastic viscosity; (b) The yield stress.
The initial setting time (IST) of fresh foamed concrete with CO2-cured garbage fly ash is shown in Figure 4. As illustrated in Figure 4, the initial setting time extends with an increasing mass ratio of CO2-cured garbage fly ash. The relationship between the mass ratio of CO2-cured garbage fly ash and the initial setting time fits the cubic function. This can be explained by the fact that CO2-cured garbage fly ash can decrease the early hydration degree of cement and increase the content of free water [36]. Therefore, the initial setting time increases with the mass ratio of CO2-cured garbage fly ash. The fitting degree of the equation is 0.996, which confirms the fitting accuracy. CO2-cured garbage fly ash can extend the initial setting time up to 30.4%.
Figure 4.
The initial setting time of fresh foamed concrete with CO2-cured garbage fly ash.
Figure 5 presents the flexural and compressive strengths of foamed concrete incorporating CO2-cured garbage fly ash. The flexural and compressive strengths increase with the mass ratio of CO2-cured garbage fly ash, following a quadratic relationship. This can be attributed to the fact that the CO2 curing of garbage fly ash can reduce the pores on the surface of garbage fly ash and decrease the early hydration heat of cement [37,38]. Consequently, the compactness of foamed concrete is improved and the inner cracks induced by hydration heat are reduced. Therefore, the mechanical strengths are increased by the addition of CO2-cured garbage fly ash. The CO2-cured garbage fly ash increases the flexural and compressive strengths by 3.4%~35.6% and 4.2%~40.8%.
Figure 5.
The mechanical strengths of foamed concrete with CO2-cured garbage fly ash. (a) The flexural strength; (b) The compressive strength.
The water absorption rate of foamed concrete with CO2-cured garbage fly ash is exhibited in Figure 6. The water absorption rate decreases quadratically with an increasing mass ratio of CO2-cured garbage fly ash, exhibiting reductions ranging from 3.5% to 10.4%. This can be explained by the fact that CO2-cured garbage fly ash can improve the compactness of foamed concrete and reduce internal cracks [39]. Therefore, the water absorption of the foamed concrete declines. The fitting degree of the equation is 0.990, ensuring the accuracy of the fitting function.
Figure 6.
The water absorption of foamed concrete with CO2-cured garbage fly ash.
The water resistance coefficient of foamed concrete with CO2-cured garbage fly ash is shown in Figure 7. As depicted in Figure 7, the water resistance coefficient of the foamed concrete exhibits a cubic increase with the mass ratio of CO2-cured garbage fly ash, with a fitting coefficient of 0.991, ensuring precision. The coefficient rises by 8.6%~31.4% as the garbage fly ash mass ratio increases. CO2 curing can reduce pores in the garbage fly ash and early cracking of cement hydration, thereby enhancing the water resistance of foamed concrete.
Figure 7.
The water resistance coefficient of foamed concrete with CO2-cured garbage fly ash.
Figure 8 illustrates the thermal conductivity of foamed concrete with CO2-cured garbage fly ash. The thermal conductivity exhibits a linear increasing trend with the mass ratio of CO2-cured garbage fly ash, rising by 2.5%~7.8% as the mass ratio increases. CO2-cured garbage fly ash can improve the compactness, which increases the thermal conductivity of foamed concrete. The fitting degree of the function is 0.970, ensuring fitting accuracy. Although thermal conductivity is increased by 2.5%~7.8% through CO2 curing of garbage fly ash, the mechanical strength is enhanced by up to 40.8%. The elevated thermal conductivity exerts minimal impacts on insulation performance, while the strength improvement enables reduced transportation damage, extended service life, decreased material loss, and improved economic efficiency.
Figure 8.
The thermal conductivity of foamed concrete with CO2-cured garbage fly ash.
Figure 9 shows the leached Zn and Cr from the foamed concrete with CO2-cured garbage fly ash. As observed in Figure 9, the leached Zn and Cr decrease in the form of a cubic function with the mass ratio of CO2-cured garbage fly ash. The CO2-cured garbage fly ash decreases the leached Zn and Cr by rates of 1.7%~11.7% and 2.0%~9.3%. This can be attributed to the fact that the CO2 curing of garbage fly ash can decrease the pores on the surface of garbage fly ash, reducing the leached Zn and Cr [40,41]. Moreover, the incorporation of CO2-cured garbage fly ash reduces the early-age hydration heat of cement, thereby enhancing the compactness of the foamed concrete. Therefore, the leached Zn and Cr are decreased by CO2-cured garbage fly ash.
Figure 9.
The leached Zn and Cr of foamed concrete with CO2-cured garbage fly ash.
3.2. The Influence of Foam Volume
Figure 10 displays the slump flow of fresh foamed concrete with different foam volumes. As shown in Figure 10, the slump flow increases in the form of a cubic function with the increasing volume of foam, rising by 4.9%~16.7%. The increased volume of foam can increase the free water and gas, enhancing the fluidity of fresh foamed concrete [42]. The fitting degree of the fitted equation is 0.998, indicating the equation’s fitting accuracy.
Figure 10.
The slump flow of fresh foamed concrete with different foam volumes.
Figure 11 illustrates the plastic viscosity and yield stress of fresh foamed concrete with different foam volumes. As depicted in Figure 11, the plastic viscosity and yield stress decrease in the form of cubic functions. The decreasing rates of plastic viscosity and yield stress with foam volume are 4.2%~16.9% and 9.3%~32.6%, due to the fact that the plastic viscosity and yield stress of fresh cement matrix satisfy an inverse correlation with the slump flow [43]. Consequently, the increased slump flow results in reduced plastic viscosity and yield stress of fresh foamed concrete. The equations’ fitting degrees are 0.998 and 0.993, respectively, ensuring high fitting precision.
Figure 11.
The plastic viscosity and yield stress of fresh foamed concrete with different foam volumes. (a) The plastic viscosity; (b) The yield stress.
The mechanical strengths of foamed concrete with different foam volumes are shown in Figure 12. The mechanical strengths decrease in the form of cubic functions with the foam volume. The flexural and compressive strengths decrease by 4.6%~22.1% and 3.1%~25.3%. This can be explained by the fact that the added foam increases the pores in the concrete, leading to a decrease in the mechanical strengths of cement concrete [44,45]. The fitting degrees of the equations are 0.958 and 0.978, ensuring the fitting precision.
Figure 12.
The mechanical strengths of foamed concrete with different foam volumes.
Figure 13 presents the water absorption rate of foamed concrete with different foam volumes. As depicted, the water absorption rate of foam concrete increases cubically with foam volume, exhibiting an increasing rate ranging from 3.2% to 12.4%. This trend is attributed to the enhanced porosity induced by higher foam volumes in foam concrete [46]. As a result, water penetrates more readily into foam concrete, resulting in an elevated water absorption rate. The fitted function’s fitting degree is 0.999, which ensures the fitting precision.
Figure 13.
The water absorption of foamed concrete with different foam volumes.
The water resistance coefficient of foamed concrete with the foam volume ranging from 20% to 60% is shown in Figure 14. As shown in Figure 14, the water resistance coefficient decreases in the form of a cubic function at rates ranging from 16.2% to 43.2%. The corresponding fitting degree is 0.989, ensuring the fitting accuracy. This can be attributed to the fact that higher foam volumes increase the porosity of concrete, thereby reducing its water resistance [47].
Figure 14.
The water resistance coefficient of foamed concrete with different foam volumes.
The thermal conductivity of foamed concrete with different foam volumes is exhibited in Figure 15. As found in Figure 15, the foamed concrete’s thermal conductivity displays the relationship of cubic functions with the foam volume. With the increasing foam volume, the thermal conductivity decreases by 32.0%~69.7%. The observed reduction in thermal conductivity results from increased foam volume, which expands the pore structure in foamed concrete, thereby impeding heat transfer [48]. The fitting degree of the function is 0.989, ensuring the fitting accuracy. A foam volume ratio of 40% is recommended for foamed concrete. At this ratio, the flexural and compressive strengths decrease by 13.19% and 6.79%, respectively, and the thermal conductivity decreases by up to 44.04%. When the foam content increases from 40% to 60%, these three parameters decrease by 18.51%, 8.9%, and 16.21%, respectively. This demonstrates optimal cost performance at the 40% foam volume ratio.
Figure 15.
The thermal conductivity of foamed concrete with different foam volumes.
The leached Zn and Cr of the foamed concrete specimens with foam volumes ranging from 20% to 60% (by volume) are plotted in Figure 16. The specimens with a size of 100 mm × 100 mm × 100 mm were immersed in deionized water for 6 months. As shown, both Zn and Cr exhibit a cubic-trend increase with foam volume, with Zn leaching rising by 5.0%~27.7% and Cr leaching by 3.4%~22.8%. This trend is attributed to the foam, which can increase the pores in the cement concrete [49]. Moreover, the foam increases the permeability of foamed concrete, thereby increasing the leached Zn and Cr.
Figure 16.
The leached heavy metals.
3.3. Microscopic Research Results
Figure 17 shows the scanning electron microscopy–energy spectrum analysis (SEM-EDS) of specimens with 20% un-carbonized garbage fly ash and 20% carbonized garbage fly ash. The specimens were cured under controlled conditions for 28 days. As observed in Figure 17, cracks are found in the specimen with un-carbonized garbage fly ash, while the hydration products in the specimen with carbonized garbage fly ash are more compact. The CO2-cured garbage fly ash can decrease the early hydration cracks by reducing the early hydration heat. Additionally, the EDS results show the presence of the elements C, O, Al, Si, Ca, and Fe. The specimen with CO2-cured garbage fly ash shows a higher C concentration than that with un-carbonized garbage fly ash.
Figure 17.
The SEM-EDS of foamed concrete. (a) With un-carbonized garbage fly ash; (b) With carbonized garbage fly ash.
4. Conclusions
In this study, Garbage fly ash (GFA) modified through carbonation was prepared, and foam concretes with CO2-cured GFA were formed. The effects of CO2-cured GFA substitution rate and foam volume on the slump flow, rheological properties, mechanical strength, thermal conductivity, water absorption rate, and water resistance coefficient of foam concrete are clarified. The main conclusions are drawn as follows:
(1) The increases in CO2-cured GFA substitution rate and foam volume are conducive to the improvement of fresh-mixed properties. A higher CO2-cured GFA substitution rate and foam volume increase the slump flow and initial setting time and decrease the plastic viscosity, yield stress, and loss of liquidity of foam concrete over time. When the CO2-cured GFA substitution rate is 100%, the slump flow is increased by 34.5%, the plastic viscosity and yield stress are reduced by 59.0% and 37.2%, and the initial setting time is prolonged by 30.4%. When the foam volume is 60%, the slump flow is increased by 16.7%, and the plastic viscosity and yield stress are reduced by 16.9% and 32.6%.
(2) The increased substitution rate of CO2-cured GFA significantly enhances the mechanical strength, demonstrating 35.6% and 40.8% improvements in flexural and compressive strength respectively, while concurrently increasing the thermal conductivity of foam concrete. However, an increase in foam volume (20%~60%) is conducive to decreasing the thermal conductivity of foam concrete, but will reduce the flexural and compressive strengths by 4.6%~22.1% and 3.1%~25.3%, respectively.
(3) A higher CO2-cured GFA substitution rate reduces the water absorption rate and improves the water resistance coefficient, but a higher foam volume (20%~60%) increases the water absorption rate and reduces the water resistance coefficient. When the CO2-cured GFA substitution rate is 100%, the water absorption rate is decreased by 10.4% and the water resistance coefficient is increased by 31.4%. When the foam volume is 60%, the water absorption rate is decreased by 12.4% and the water resistance coefficient is increased by 43.2%.
(4) A higher CO2-cured GFA substitution rate and lower foam volume are conducive to improving the solidification of heavy metals (Zn and Cr). When the CO2-cured GFA substitution rate is 100%, the leached Zn and Cr are decreased by 11.7% and 9.3%. When the foam volume is 60%, the leached Zn and Cr are decreased by 27.7% and 22.8%.
(5) The foam concrete technology with internal addition of GFA proposed in this study significantly expands GFA resource utilization, though further research is still required in the future.
In conclusion, CO2-cured garbage fly ash can significantly improve the strength of foam concrete and reduce the harmful substances exuded by foam concrete. Therefore, this treatment method can prepare environmentally friendly foam concrete and deal with harmful substances (garbage fly ash).
Author Contributions
Conceptualization, F.S. and Y.Y.; methodology, D.W.; software, Z.X.; validation, H.W., C.L., and Z.X.; formal analysis, X.T.; investigation, Y.Y.; resources, X.T.; data curation, N.X.; writing—original draft preparation, D.W.; writing—review and editing, D.W.; visualization, H.W.; supervision, K.X.; project administration, D.W.; funding acquisition, H.W. and D.W. All authors have read and agreed to the published version of the manuscript.
Funding
This research was funded by the 2023 Liaoning Provincial Science and Technology Programme Joint Programme Projects, grant number 2023JH2/101700001; the 2023 Liaoning Provincial Science and Technology Programme Joint Programme Projects, grant number 2023JH2/101700002; the 2024 Liaoning Provincial Department of Education Basic Research Project, grant number LJ212411779037; and the Collaborative Education Project of the Ministry of Education-Construction of Civil Engineering Materials Course Based on Job Guidance, grant number 2407134702.
Institutional Review Board Statement
Not applicable.
Informed Consent Statement
Not applicable.
Data Availability Statement
The data used to support the findings of this study are available on request.
Conflicts of Interest
The authors declare no conflicts of interest.
References
- Li, Z.; Wu, Z.; Long, Q.; Feng, W.; Liu, S.; Yuan, X. Preparation of municipal waste incineration fly ash artificial aggregate using CO2 curing and its properties. J. CO2 Util. 2025, 93, 103042. [Google Scholar] [CrossRef]
- Suescum-Morales, D.; Silva, R.V.; Bravo, M.; Jiménez, J.R.; Fernández-Rodríguez, J.M.; Brito, J. Effect of incorporating municipal solid waste incinerated bottom ash in alkali-activated fly ash concrete subjected to accelerated CO2 curing. J. Clean. Prod. 2022, 370, 133533. [Google Scholar] [CrossRef]
- Alamri, M.; Ali, T.; Ahmed, H.; Qureshi, M.Z.; Elmagarhe, A.; Khan, M.A.; Ajwad, A.; Mahmood, M.S. Enhancing the engineering characteristics of sustainable recycled aggregate concrete using fly ash, metakaolin and silica fume. Heliyon 2024, 10, e29014. [Google Scholar] [CrossRef] [PubMed]
- Lee, J.; Jeon, D.; Kim, S.; Lim, A.; Moon, J. Enhancement of fly ash reactivity through triethanolamine addition and CO2 curing. Cem. Concr. Compos. 2025, 157, 105874. [Google Scholar] [CrossRef]
- Wu, M.; Zhang, Y.; Liu, Z.; Liu, C.; She, W.; Wu, Z. Experimental study on eco-friendly one-part alkali-activated slag-fly ash-lime composites under CO2 environment: Reaction mechanism and carbon capture capacity. Constr. Build. Mater. 2024, 421, 135779. [Google Scholar] [CrossRef]
- Song, B.; Shi, C.; Hu, X.; Ouyang, K.; Ding, Y.; Ke, G. Effect of early CO2 curing on the chloride transport and binding behaviors of fly ash-blended Portland cement. Constr. Build. Mater. 2021, 288, 123113. [Google Scholar] [CrossRef]
- Chen, J.; Zhang, Z.; Shen, Y.; Li, H.; Lin, X.; Li, X.; Yan, J. A novel insight into CO2-cured cement modified by ultrasonic carbonated waste incineration fly ash: Mechanical properties, carbon sequestration, and heavy metals immobilization. Carbon Capture Sci. Technol. 2025, 14, 100368. [Google Scholar] [CrossRef]
- Wi, K.; Sahin, O.; Wang, K.; Lee, Y. Characterization and evaluation of cement-based systems containing solution-treated municipal solid-waste incineration fly ash. Constr. Build. Mater. 2024, 416, 135230. [Google Scholar] [CrossRef]
- Gao, S.; Chu, H.; Shi, W.; Wang, F.; Jiang, J. Utilization of municipal solid waste incineration fly ash in ecological concrete and pavement bricks: Mechanical properties and environmental impact. Case Stud. Constr. Mater. 2024, 21, e03999. [Google Scholar] [CrossRef]
- Fan, D.; Lu, J.; Lv, X.; Noguchi, T.; Yu, R.; Sun, C. Carbon capture and storage CO2 foam concrete towards higher performance: Design, preparation and characteristics. Cem. Concr. Compos. 2025, 157, 105925. [Google Scholar] [CrossRef]
- Xu, J.; Zhao, D.; Wang, S.; Chen, X.; Wu, X.; Han, Z.; Liu, Y. Quantitative analysis of pore structure’s impact on early mechanical properties and durability of foam concrete: Macroscopic and mesoscopic insights. Constr. Build. Mater. 2025, 459, 139775. [Google Scholar] [CrossRef]
- Huang, X.; Yu, H.; Wang, H.; Xie, X.; Qi, C.; Xue, F.; Zhao, X. Recycle sludge incineration ash for efficient preparation of foam concrete: Performance, microstructure, and mechanisms. Next Sustain. 2025, 6, 100125. [Google Scholar]
- Liao, S.; Lu, W.; Chen, Y.; Shen, Y. Production of autoclaved aerated concrete by using municipal solid waste incinerator fly ash as an alternative raw material. Case Stud. Constr. Mater. 2024, 21, e03914. [Google Scholar] [CrossRef]
- Bayraktar, O.Y.; Özel, H.B.; Benli, A.; Yılmazoğlu, M.; Türkel, İ.; Dal, B.; Şevik, H.; Kaplan, G. Sustainable foam concrete development: Enhancing durability and performance through pine cone powder and fly ash incorporation in alkali-activated geopolymers. Constr. Build. Mater. 2024, 457, 139422. [Google Scholar] [CrossRef]
- Xue, Q.; Zhang, L.; Mei, K.; Li, X.; Wang, Y.; Cheng, X.; Fu, X. Thermal conductivity and pore structure analysis of alkali-activated foam cement with supercritical CO2 modified slag: Feasibility evaluation for geothermal applications. Constr. Build. Mater. 2022, 347, 128506. [Google Scholar] [CrossRef]
- Ruan, M.; Tian, Q.; Zhang, M.; Wang, C.; Xu, G.; Cai, J.; Fu, Q. Fabrication and characterization of foam ceramics from recycled waste concrete powder and waste glass powder. Constr. Build. Mater. 2024, 451, 138807. [Google Scholar] [CrossRef]
- Messina, F.; Ferone, C.; Colangelo, F.; Roviello, G.; Cioffi, R. Alkali activated waste fly ash as sustainable composite: Influence of curing and pozzolanic admixtures on the early-age physico-mechanical properties and residual strength after exposure at elevated temperature. Compos. Part B Eng. 2018, 132, 161–169. [Google Scholar] [CrossRef]
- Dong, K.; Chen, S.; Liu, J.; Shi, X.; Zhang, J.; Meng, J. Effect of nano- and micron-materials on the thermal properties behavior in wet environments and heat transfer mechanism of foam concrete. J. Build. Eng. 2025, 107, 112725. [Google Scholar] [CrossRef]
- Kim, J.; Kim, T.; Park, J.; Kang, J. Durability evaluation of structural performance based on CO2 curing conditions. J. Build. Eng. 2025, 105, 112465. [Google Scholar] [CrossRef]
- Du, Z.; Liu, P.; Wang, P.; Jiang, S.; Shi, Y.; Sun, M.; Gao, M.; Fu, H. CSH/PCE nanoparticle as a novel foam stabilizer: Highly efficient interfacial adsorption and enhanced performance in foam concrete. Constr. Build. Mater. 2025, 469, 140509. [Google Scholar] [CrossRef]
- Song, Q.; Zou, Y.; Zhang, P.; Xu, S.; Yang, Y.; Bao, J.; Xue, S.; Liu, J.; Gao, S.; Lin, L. Novel high-efficiency solid particle foam stabilizer: Effects of modified fly ash on foam properties and foam concrete. Cem. Concr. Compos. 2025, 155, 105818. [Google Scholar] [CrossRef]
- Gao, S.; Zhao, S.; Yang, L.; Wang, Y.; Guan, X.; Zhang, H.; Luo, S. Synergistic effects of fly ash-cement slurry and CO2 mineralization on coal gangue aggregate and its concrete properties. Constr. Build. Mater. 2025, 465, 140225. [Google Scholar] [CrossRef]
- Akbulut, Z.F.; Guler, S. Structural self-compacting lightweight concrete: Effects of fly ash and basalt fibers on workability, thermal and mechanical properties under ambient conditions and high temperatures. Constr. Build. Mater. 2025, 481, 141658. [Google Scholar] [CrossRef]
- Wang, Y.; Lu, B.; Hou, G. Preparation of a novel foam concrete for the carbonation of steel slag with low thermal conductivity and enhanced CO2 capture. Mater. Lett. 2025, 394, 138658. [Google Scholar] [CrossRef]
- Wu, C.; Jierula, A.; Fu, Z.; Chen, Y.; Kuang, Y.; Xia, J. Study on the mechanism of anti sulfate freeze-thaw, dry wet cycle of polypropylene fiber foam concrete. Constr. Build. Mater. 2025, 463, 140144. [Google Scholar] [CrossRef]
- Obaidat, Y.T.; Hijazi, Y.F. Performance of bond between carbon fiber-reinforced polymer sheets and thermally shocked damaged foam concrete. Int. J. Adhes. Adhes. 2025, 140, 104042. [Google Scholar] [CrossRef]
- Wen, C.; Li, J.; Meng, Q.; Yang, S.; Chen, Z.; Wang, X.; Li, Y.; Wang, X.; Sun, X.; Mu, L.; et al. Study of macro-/micro-properties and in-situ mineralization mechanism of CO2 foam concrete based on solid waste-derived SAC-gypsum composite. Constr. Build. Mater. 2025, 486, 141911. [Google Scholar] [CrossRef]
- Miah, M.J.; Pei, J.; Kim, H.; Jang, J.G. Flexural behavior, porosity, and water absorption of CO2-cured amorphous metallic-fiber-reinforced belite-rich cement composites. Constr. Build. Mater. 2023, 387, 131668. [Google Scholar] [CrossRef]
- Azevedo, A.G.S.; Baltazar, L.; Faria, P.; Savastano, H. Durability assessment of MgO-based fiber cement reinforced with lignocellulosic fibers and cured in a CO2-rich atmosphere. J. Build. Eng. 2025, 104, 112327. [Google Scholar] [CrossRef]
- Ser, M.; Hussin, A.E.; Said, A.; Kohail, M. Enhancing the sustainable production of Foamed Concrete by using different waste materials as a full sand replacement. Constr. Build. Mater. 2025, 462, 139890. [Google Scholar] [CrossRef]
- GB/T 50080-2016; Standard for Test Method of Performance on Ordinary Fresh Concrete. Ministry of Housing and Urban-Rural Development of the People’s Republic of China: Beijing, China, 2016.
- GB/T 50081-2019; Standard for Test Methods of Concrete Physical and Mechanical Properties. Ministry of Housing and Urban-Rural Development of the People’s Republic of China: Beijing, China, 2019.
- Sun, X.; Zhong, J.; Zhang, W.; Li, G.; Cao, H.; Gao, P. Deformation and mechanical properties of foamed concrete under various components and pore structure. J. Build. Eng. 2024, 94, 109920. [Google Scholar] [CrossRef]
- He, S.; Lei, X.; Zhang, H.; Yu, P.; Zhou, Y.; Huang, X. Durability and heavy metals long-term stability of alkali-activated sintered municipal solid waste incineration fly ash concrete in acidic environments. Constr. Build. Mater. 2025, 462, 139990. [Google Scholar] [CrossRef]
- He, P.; Drissi, S.; Hu, X.; Liu, J.; Shi, C. Properties of CO2-cured cement incorporating fly ash and slag subjected to further water curing. Cem. Concr. Compos. 2024, 152, 105633. [Google Scholar] [CrossRef]
- Zhang, X.; Wu, K.; Yuan, Z.; Liu, S. Investigations into magnesium oxide carbon sequestration foamed concrete: Mechanical performance, microstructure and environmental benefits. Constr. Build. Mater. 2024, 421, 135679. [Google Scholar] [CrossRef]
- Zhou, Z.; Xiao, J.; Ye, T.; Wang, J.; Choi, D. Influence of recycled concrete powder and CO2 curing on the properties of thermal insulation mortars. Constr. Build. Mater. 2024, 414, 134907. [Google Scholar] [CrossRef]
- Yılmazoğlu, M.U.; Kara, H.O.; Benli, A.; Demirkıran, A.R.; Bayraktar, O.Y.; Kaplan, G. Sustainable alkali-activated foam concrete with pumice aggregate: Effects of clinoptilolite zeolite and fly ash on strength, durability, and thermal performance. Constr. Build. Mater. 2025, 464, 140160. [Google Scholar] [CrossRef]
- An, S.; Wang, B.; Chen, W. The cementitious properties of alkali-activated municipal solid waste incineration fly ash-phosphorus slag-secondary aluminum dross matrix composites and the mechanism of solidification of heavy metals. Constr. Build. Mater. 2024, 438, 137254. [Google Scholar]
- Kamisetty, A.; Gandhi, I.S.R.; Kumar, A. Combined effect of fly ash and fiber on spreadability, strength and water permeability of foam concrete. J. Build. Eng. 2023, 78, 107607. [Google Scholar] [CrossRef]
- Wang, T.; Gao, X.; Li, Y.; Liu, Y. An orthogonal experimental study on the influence of steam-curing on mechanical properties of foam concrete with fly ash. Case Stud. Constr. Mater. 2024, 20, e02665. [Google Scholar] [CrossRef]
- Cao, X.; Jiang, T.; Shimada, H.; Sasaoka, T.; Hamanaka, A. Influence of CO2 nano-bubble water concentration and curing time on the macroscopic and microscopic mechanical properties of cemented backfill materials. J. Build. Eng. 2024, 98, 111099. [Google Scholar] [CrossRef]
- Liu, Y.; Li, C.; Zhai, H.; Ahmad, M.R.; Guo, D.; Dai, J. Production and performance of CO2 modified foam concrete. Constr. Build. Mater. 2023, 389, 131671. [Google Scholar] [CrossRef]
- Gołaszewska, M.; Gołaszewski, J.; Klemczak, B.; Koenders, E.A.B. Effect of foaming agent and admixtures on hydration in ultralight foam concrete with cement-metakaolin binders. J. Build. Eng. 2025, 104, 112365. [Google Scholar] [CrossRef]
- Kam, E.; Yaraş, A.; Ustaoğlu, A.; Hekimoğlu, G.; Sarı, A.; Erdoğmuş, E.; Gencel, O. Properties of foam concrete containing phase change material impregnated pumice. Constr. Build. Mater. 2024, 446, 137915. [Google Scholar] [CrossRef]
- Chen, B.; Liu, B.; Yang, L.; Zaland, S.; Ye, H. Solidification of heavy metal in municipal solid waste incineration fly ash and performance evolution of alkali-activated foam concrete. Process Saf. Environ. Prot. 2024, 190 Pt A, 850–862. [Google Scholar] [CrossRef]
- Bersisa, A.; Moon, K.; Kim, G.M.; Cho, J.; Park, S. Microstructural characterization of CO2-cured calcium silicate cement. Dev. Built Environ. 2024, 19, 100518. [Google Scholar] [CrossRef]
- Wang, H.; Wen, B.; Xu, P.; Gao, G.; Zhang, L.; Niu, D. Effect of CO2 curing on the strength and microstructure of composite waste glass concrete. Constr. Build. Mater. 2025, 463, 140042. [Google Scholar] [CrossRef]
- Du, Z.; Liu, P.; Wang, P.; Gao, M.; Shi, Y.; Sun, M.; Jiang, S.; Cui, L.; Lv, S. Enhancing foam stability and performance in foam concrete using para-aramid nanofiber. J. Build. Eng. 2025, 103, 112139. [Google Scholar] [CrossRef]
Disclaimer/Publisher’s Note: The statements, opinions and data contained in all publications are solely those of the individual author(s) and contributor(s) and not of MDPI and/or the editor(s). MDPI and/or the editor(s) disclaim responsibility for any injury to people or property resulting from any ideas, methods, instructions or products referred to in the content. |
© 2025 by the authors. Licensee MDPI, Basel, Switzerland. This article is an open access article distributed under the terms and conditions of the Creative Commons Attribution (CC BY) license (https://creativecommons.org/licenses/by/4.0/).
















