Experimental and Numerical Study of Low-Cycle Fatigue Performance of Bolted Drum-Shaped Spherical Shell Joints
Abstract
1. Introduction
2. Design and Composition of Joints
3. Fatigue Test Loading Device and Scheme
3.1. Test Loading Device
3.2. Loading Program
4. Results and Analysis
4.1. Experimental Phenomenon
4.2. Damage Patterns
- (a)
- Damage patterns of two sets of specimens under loading regime II
- (b)
- Damage patterns of two sets of specimens under loading regime III
- (c)
- Damage patterns of two sets of specimens under loading regime IV
- (d)
- Damage patterns of two sets of specimens under loading regime I
4.3. Fatigue Life
4.4. Fatigue Life Evaluation
5. Numerical Simulation
5.1. Finite Element Modeling
5.2. Material Properties
5.3. Loading System
5.4. Finite Element Simulation Results
5.4.1. Characteristics of Damage and Forces
5.4.2. Hysteresis Curve
5.4.3. Skeleton Curve
5.5. Nodal Hysteresis Performance Parameter Analysis
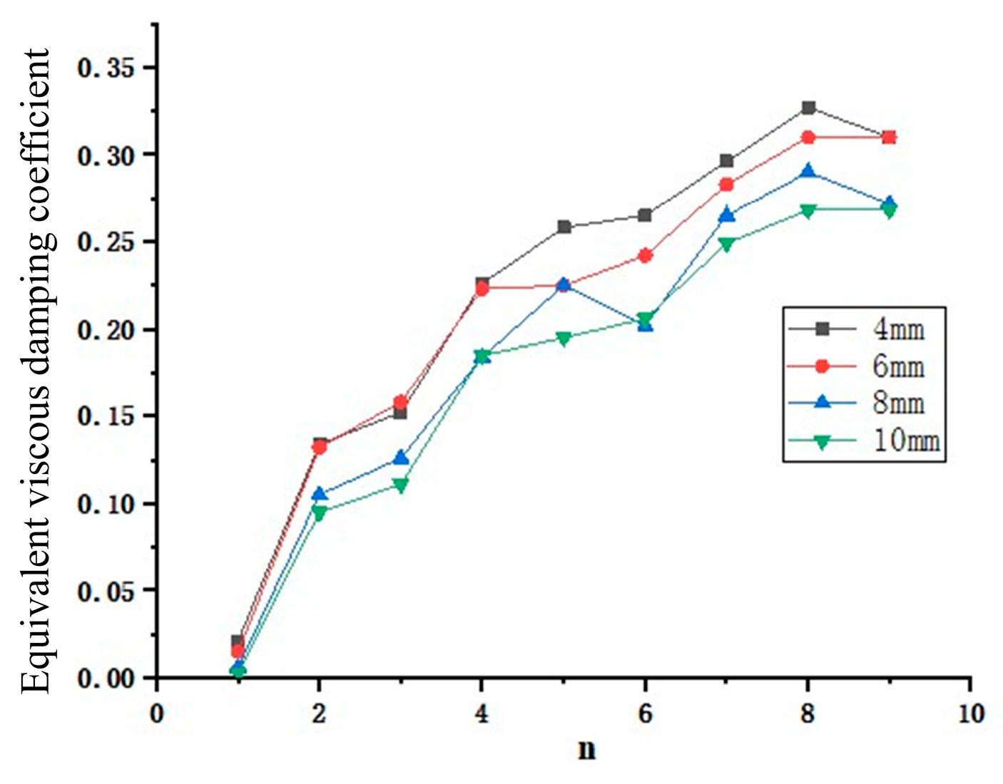
5.5.1. Effect of Wall Thickness on Performance
5.5.2. Effect of Diameter on Performance
6. Conclusions
- Through low-cycle fatigue tests conducted on the bolted drum-shaped spherical shell node, it was observed that the damage primarily occurs near the bolt holes. Furthermore, the rate of node damage accelerates with increasing displacement amplitude. Finally, a fatigue life formula was derived as .
- Based on the fatigue life assessment results, it is recommended to adopt Type Z10 construction details as specified in the Code for the Design of Steel Structures in engineering design. This approach will enhance the fatigue life of the nodes and improve overall structural safety.
- As analyzed by the finite element model, the hysteresis curve becomes increasingly symmetric and full with the increase in the wall thickness of the bulbous spherical shell. Furthermore, a thicker wall thickness results in a larger displacement amplitude required to induce yielding in the node under loading. For the same wall thickness, the skeleton curve decreases as the node diameter increases, leading to a reduction in bearing capacity under identical displacement amplitudes. Furthermore, increasing the wall thickness significantly enhances the seismic performance of the node, surpassing the effect of increasing the ball diameter.
Author Contributions
Funding
Institutional Review Board Statement
Informed Consent Statement
Data Availability Statement
Conflicts of Interest
References
- Shu, T.; Wang, R.; Wang, Y.; Xu, X. Static performance of welded hollow sphere joints with trapezoidal ribs under both axial compression and bending moment. J. Constr. Steel Res. 2025, 226, 109298. [Google Scholar] [CrossRef]
- Li, Y.; Huang, B. Research on load-bearing performance of new fabricated steel structure beam-column joints with energy dissipating elements. Structures 2022, 38, 492–501. [Google Scholar] [CrossRef]
- Zhao, H. Load-Carrying Properties of Welded Hollow Truncated Joint in Sphere Space Grid. D.; Xi’an University of Architecture and Technology: Xi’an, China, 2004. [Google Scholar] [CrossRef]
- Wang, W.; Zhang, S.; Zhang, T.; Jiang, X.; Li, S.; Zhao, X. Design and study on joints of the steel structure for Shennong Theatre. J. Build. Struct. 2013, 43, 16–20. [Google Scholar] [CrossRef]
- Chen, Z.; Wen, S.; Liu, H.; Wang, X.; Gao, H. Mechanical properties of the drum-shaped welded hollow spherical joints of the Beijing Daxing International Airport. J. Tsinghua Univ. Sci. Technol. 2020, 60, 967–976. [Google Scholar] [CrossRef]
- Lv, Y.; Su, Y.; Yu, Z.; Gong, S.; Dai, J. Finite Element Analysis of the Ultimate Compressive Bearing Capacity of Upper Flat Welded Spherical Joints. J. Prog. Steel Build. Struct. 2021, 23, 76–83. [Google Scholar] [CrossRef]
- Wan, H.; Guo, J. Experimental Study and Application Analysis of a New Type of Hollow Bolt Spherical Joint Unit. In Proceedings of the 7th Academic Conference on Spatial Structures, Wendeng, China, November 1994; pp. 640–645. [Google Scholar]
- Guo, J.; Wan, H. Experimental Research on a New Type of Hollow Spherical Joint. CBuild. Struct. 1998, 8, 49–51. [Google Scholar] [CrossRef]
- Shu, T.; Xu, X.; Pan, W.; Huang, W.; Luo, Y. Compressive performance of welded hollow spherical joints with external triangular ribs. Eng. Struct. 2023, 280, 115717. [Google Scholar] [CrossRef]
- Yu, J.T.; Yu, K.Q.; Tang, B. Experimental and Finite Element Analysis on the Ultimate Bearing Capacity of Hollow Spherical Joints with Ribbed Stiffener. J. Ind. Constr. 2011, 41, 85–90. [Google Scholar] [CrossRef]
- Wang, F. The Role and Design of Steel Brace Joints in Earthquake Resistance. J. Ind. Constr. 1986, 10, 21–26. [Google Scholar]
- Liu, X.; Pu, S.; Xu, A.; Ni, Z.; Zhang, A.; Yang, Z. Experimental study on static and seismic performance of bolted joint in modularized multi-layer and high-rise prefabricated steel structures. J. Build. Struct. 2015, 36, 43–51. [Google Scholar] [CrossRef]
- Li, S.; Yang, W.; Hou, C. Experimental study on constitutive relation of directly-welded joints of tubular truss structures under cyclic loading. J. Build. Struct. 2020, 50, 35–41. [Google Scholar] [CrossRef]
- Li, X.; Huang, X.; Zhao, J.; Zhao, W.; Ge, J. Experimental study on ultra-low cycle fatigue fracture of X-shaped steel joints with circular hollow section braces to square hollow section chord. J. Build. Struct. 2022, 52, 86–92. [Google Scholar] [CrossRef]
- Wang, X.; Li, H.; Song, X. Experimental investigation of failure mechanism of grid structure with bolted spherical joints. J. Constr. Steel Res. 2022, 188, 107033. [Google Scholar] [CrossRef]
- Liu, J.; Yu, T.; Li, H.; Chen, X.; Li, Q. Experimental investigation of the ultra-low-cycle fatigue behaviours of RHS K-gap joints. J. Struct. 2024, 70, 107682. [Google Scholar] [CrossRef]
- Guo, L.; Li, H.; Song, X.; Zhang, J. Effect of Loading System on Low-cycle Fatigue Performance of Bolt Ball Joint Test Specimen. J. Sci. Technol. Eng. 2020, 20, 14586–14591. [Google Scholar] [CrossRef]
- Tong, L.; Huang, X.; Zhou, F.; Chen, Y. Experimental and numerical investigations on extremely-low-cycle fatigue fracture behavior of steel welded joints. J. Constr. Steel Res. 2016, 119, 98–112. [Google Scholar] [CrossRef]
- Qiu, B.; Yang, X.; Zhou, Z.; Lei, H. Experimental study on fatigue performance of M30 high-strength bolts in bolted spherical joints of grid structures. J. Eng. Struct. 2020, 205, 110123. [Google Scholar] [CrossRef]
- Hassanin, A.; Fawzy, H.; Elsheikh, A. Fatigue loading characteristic for the composite steel-concrete beams. J. Fract. Struct. Integr. 2021, 15, 110–118. [Google Scholar] [CrossRef]
- Ostash, O.; Panasyuk, V.; Andreiko, I.; Chepil’, R.; Kulyk, V.; Vira, V. Methods for the construction of the diagrams of fatigue crack growth rate of materials. J. Mater. Sci. 2007, 43, 479–491. [Google Scholar] [CrossRef]
- Yan, Y.; Liu, M.; Zhou, Z.; Ma, X. Axial Compression Bearing Capacity of Bolted Drum-Shaped Spherical Shell Joints: Experimental and Numerical Analysis. J. Coatings 2024, 14, 229. [Google Scholar] [CrossRef]
- GB 50017–2017; Standard for Design of Steel Structures. Ministry of Housing and Urban-Rural Development of the People’s Republic of China: Beijing, China, 2017.
- China Academy of Building Research. Code for Quality Inspection and Assessment of Space Frame Structures (JGJ 78–91); Ministry of Construction of the People’s Republic of China: Beijing, China, 1992. [Google Scholar]
- Sun, G.; Xiao, S.; Wu, J. Study on mechanical properties of truss cable structure under low cyclic loading. J. Build. Eng. 2022, 58, 105051. [Google Scholar] [CrossRef]
- Shepherd, R. Progress with the Sac Joint Venture Program for the Evaluation, Repair, Modification, and Design of Welded Steel Moment Frame Structures; Civil-Comp Press: Edinburgh, UK, 1997; pp. 21–26. [Google Scholar]
- Krawinkler, H.; Zohrei, M. Cumulative damage in steel structures subjected to earthquake ground motions. J. Comput. Struct. 1983, 16, 531–541. [Google Scholar] [CrossRef]
- Ballio, G.; Calado, L.; Castiglioni, C.A. Low cycle fatigue behaviour of structural steel members and connections. J. Fatigue Fract. Eng. Mater. Struct. 1997, 20, 1129–1146. [Google Scholar] [CrossRef]
- Zhang, W.; Hu, Y. Numerical simulation method for high-strength bolt connections in steel structures. J. Harbin Inst. Technol. 2014, 46, 8–14. [Google Scholar]
- JGJ/T2015; Ministry of Housing and Urban-Rural Development of the People’s Republic of China, Specification for Seismic Test of Buildings. China Architecture & Building Press: Beijing, China, 2015.






























| Specimen Number | Frequency (HZ) | Displacement Amplitude (mm) | Loading Rate (mm/s) | Lifetime | Site of Damage (Characterization) | Remark |
|---|---|---|---|---|---|---|
| LGQ-2 | 0.0520 | 4.8 | 0.5 | 1925 | Spreading cracks around stressed screw holes | — |
| LGQ-3 | 0.104 | 4.8 | 1 | 1841 | Intermediate weld cracking at bolt hole | — |
| LGQ-5 | 0.0417 | 6.0 | 0.5 | 2013 | Tiny elongated cracks near stressed bolt holes | — |
| LGQ-6 | 0.0347 | 7.2 | 0.5 | 1373 | Long cracks scattered in all directions; at the stressed bolt holes, the cracks are more obvious | — |
| LGQ-7 | 0.0595 | 8.4 | 0.5 | 505 | Long cracks at the intersection of stressed bolt holes and intermediate welds | — |
| LGQ-8 | 0.0298 | 8.4 | 1 | 780 | Cracks on the surface of the stressed screw holes, fracture of the inner liner | — |
| LGQ-9 | 0.0694 | 7.2 | 1 | 1122 | Cracking of the middle weld at the stressed bolt hole, the crack is more obvious | — |
| LGQ-10 | 0.083 | 6.0 | 1 | 2035 | Distributed cracks in the vicinity of stressed bolt holes | — |
| LGQ-4 | — | — | — | — | Cover plate weld cracking | Failed weld quality |
| Components and Connection Categories | Correlation Coefficient | 2 Million Times Fatigue Allowable Stress (MPa) | |
|---|---|---|---|
| C | β | ||
| Z1 | 1.92 × 1015 | 4 | 176 |
| Z2 | 8.61 × 1014 | 4 | 144 |
| Z3 | 3.91 × 1012 | 3 | 125 |
| Z4 | 2.81 × 1012 | 3 | 112 |
| Z5 | 2.00 × 1012 | 3 | 100 |
| Z6 | 1.46 × 1012 | 3 | 90 |
| Z7 | 1.02 × 1012 | 3 | 80 |
| Z8 | 0.72 × 1012 | 3 | 71 |
| Z9 | 0.5 × 1012 | 3 | 63 |
| Z10 | 0.35 × 1012 | 3 | 56 |
| Z11 | 0.25 × 1012 | 3 | 50 |
| Z12 | 0.18 × 1012 | 3 | 45 |
| Z13 | 0.13 × 1012 | 3 | 40 |
| Z14 | 0.09 × 1012 | 3 | 36 |
| Materials | E (GPa) | ||||||
|---|---|---|---|---|---|---|---|
| Q345 | 206 | 345 | 554 | 0.167% | 0.25 | 0.28 | 480 |
| 10.9 high-strength bolt | 209 | 940 | 1040 | 0.456% | 0.92% | - | - |
Disclaimer/Publisher’s Note: The statements, opinions and data contained in all publications are solely those of the individual author(s) and contributor(s) and not of MDPI and/or the editor(s). MDPI and/or the editor(s) disclaim responsibility for any injury to people or property resulting from any ideas, methods, instructions or products referred to in the content. |
© 2025 by the authors. Licensee MDPI, Basel, Switzerland. This article is an open access article distributed under the terms and conditions of the Creative Commons Attribution (CC BY) license (https://creativecommons.org/licenses/by/4.0/).
Share and Cite
Lei, D.; Ma, X.; Liu, L.; Luo, M. Experimental and Numerical Study of Low-Cycle Fatigue Performance of Bolted Drum-Shaped Spherical Shell Joints. Coatings 2025, 15, 456. https://doi.org/10.3390/coatings15040456
Lei D, Ma X, Liu L, Luo M. Experimental and Numerical Study of Low-Cycle Fatigue Performance of Bolted Drum-Shaped Spherical Shell Joints. Coatings. 2025; 15(4):456. https://doi.org/10.3390/coatings15040456
Chicago/Turabian StyleLei, Dongsheng, Xingpeng Ma, Long Liu, and Mingdi Luo. 2025. "Experimental and Numerical Study of Low-Cycle Fatigue Performance of Bolted Drum-Shaped Spherical Shell Joints" Coatings 15, no. 4: 456. https://doi.org/10.3390/coatings15040456
APA StyleLei, D., Ma, X., Liu, L., & Luo, M. (2025). Experimental and Numerical Study of Low-Cycle Fatigue Performance of Bolted Drum-Shaped Spherical Shell Joints. Coatings, 15(4), 456. https://doi.org/10.3390/coatings15040456

