Next Article in Journal
The Microstructure Evolution of a Ni-Based Superalloy Turbine Blade at Elevated Temperature
Previous Article in Journal
Surface Treatments on Cobalt–Chromium Alloys for Layering Ceramic Paint Coatings in Dental Prosthetics
Previous Article in Special Issue
Experimental and Numerical Study of Low-Cycle Fatigue Performance of Bolted Drum-Shaped Spherical Shell Joints
 
 
Font Type:
Arial Georgia Verdana
Font Size:
Aa Aa Aa
Line Spacing:
Column Width:
Background:
Article

Temperature-Related Containment Analysis and Optimal Design of Aluminum Honeycomb Sandwich Aero-Engine Casings

1
School of Mechanical Engineering, Hunan University of Science and Technology, Xiangtan 411201, China
2
Suzhou VB Tech Co., Ltd., Suzhou 215100, China
*
Author to whom correspondence should be addressed.
Coatings 2025, 15(7), 834; https://doi.org/10.3390/coatings15070834
Submission received: 18 April 2025 / Revised: 10 July 2025 / Accepted: 11 July 2025 / Published: 17 July 2025

Abstract

Aero-engine casings with excellent impact resistance are a practical requirement for ensuring the safe operation of aero-engines. In this paper, we report on numerical simulations of broken rotating blades impacting aluminum honeycomb sandwich casings under different temperatures and optimization of structural parameters. Firstly, an impact test system with adjustable temperature was established. Restricted by the temperature range of the strain gauge, ballistic impact tests were carried out at 25 °C, 100 °C, and 200 °C. Secondly, a finite element (FE) model including a pointed bullet and an aluminum honeycomb sandwich plate was built using LS-DYNA. The corresponding simulations of the strain–time curve and damage conditions showed good agreement with the test results. Then, the containment capability of the aluminum honeycomb sandwich aero-engine casing at different temperatures was analyzed based on the kinetic energy loss of the blade, the internal energy increment of the casing, and the containment state of the blade. Finally, with the design objectives of minimizing the casing mass and maximizing the blade kinetic energy loss, the structural parameters of the casing were optimized using the multi-objective genetic algorithm (MOGA).

1. Introduction

An aero-engine generates external thrust by compressing and burning gas. During operation, the temperature of its turbine casing can reach 1770 °C, while that of the compressor casing reaches 400 °C [1,2]. When a broken rotating blade impacts the aero-engine casing, the casing is subjected to both thermal and impact loads. Moreover, the trailing blades may cause further damage to the casing upon impact. These high-energy fragments from broken rotating blades can penetrate the engine casing, damage other accessories, impair flight performance, and even lead to aircraft loss. Previously, several researchers have studied the impact of broken rotating blades on containment casings under various conditions. Kraus and Frischbier [3] analyzed the influence of broken rotating blades and adjacent blades on casing containment. Stamper [4] and Sinha [5] established an engine simulation model containing static and rotor components to study the dynamic response of the casing when impacted by broken blades.. Jain [6] and Carney [7] conducted an energy absorption study for the blade impact casing process according to the different structural casings. Duan [8] presented the casing containment under frontal impact. Wan [9] showed the effect of impact pitch angle on the casing containment. Cao [10] investigated the failure mechanisms of the bolted casing flange structure under impact loadings. Roy [11] presented a thorough comparative analysis of various single and bilayer targets composed of aluminum foam. He [12] carried out numerical simulation analysis on primary fan casing containment capability using LS-DYNA. Liu [13] proposed a method for evaluating casing containment capability by combining a real casing target test with simulation analysis. Yu [14] investigated the impact dynamics, deformation characteristics, and energy absorption mechanisms during blade detachment events, shedding light on the containment process. The shedding experiments were compared with high-resolution finite element simulations of a fully bladed fan disc of a realistic gas turbine engine [15].
Honeycomb structures are widely applied in engineering fields such as aerospace and vehicle protection due to their lightweight characteristics, high specific strength, high specific stiffness, excellent impact resistance, and strong energy absorption properties. Among them, hexagonal honeycomb structures have become typical structural forms in the field of impact load resistance and energy absorption due to their superior structural strength and wear resistance [16,17]. While extensive research has been conducted on the containment performance of aero-engine casings, few studies have explored the influence of temperature on their containment capability. In this paper, the aluminum honeycomb sandwich structure casing, which operates at a maximum temperature of 400 °C, is selected as the research object. Through experimental programs and simulation analyses, we investigate the impact of different temperatures on casing containment. This work is intended to provide a fundamental basis for the design of aero-engine casings.

2. Impact Test and Simulation Analysis

2.1. Impact Test

Figure 1 shows the impact test system with adjustable temperature. The impact test system mainly consists of a gas source control system, a high-pressure gas source, a launcher, a Hopkinson impact test bench, a synergy data collector, a pneumatic gate, an electric resistance furnace, an air compressor, a thermocouple, and a temperature control system. The resistance wire is made of high-temperature Cr15Ni60 alloy with a power of 5 kW and a chamber size of 160 mm × 160 mm. The furnace chamber with resistance wire can withstand high temperatures up to 1600 °C and has strong damage resistance, making it suitable for impact test research. A synergy data collector produced by Hi-Techniques is a system integrating the functions of a data acquisition system, digital oscilloscope, FFT analyzer, and transient recorder. Each channel has a sampling rate of up to 2 MS/s and a 1 MHz bandwidth with 16 M sample memory for high-speed trigger capture, and its maximum sampling rate can reach 200 kHz. It has the advantages of good system stability and strong anti-interference ability and is suitable for strain testing of specimens in impact tests.
In the present research, the test aluminum alloy plate is fixed to the mount base through bolts. The test aluminum alloy plate is heated to the specified temperature by the electric resistance furnace. The pneumatic gate is subsequently opened by the gas source control system. A bullet is launched from the Hopkinson impact test bench. The medium temperature strain foils are attached to the surface of the test aluminum alloy plate. A synergy data collector serves to collect stress–strain data. The temperature control system is shown in Figure 2. The aluminum honeycomb sandwich plate is composed of two aluminum alloy plates with an aluminum honeycomb core layer in the middle. The shape of the single aluminum honeycomb core is hexagonal, its inner diameter is 3 mm, and the thickness of the aluminum foil is 0.05 mm. Specific parameters of the pointed bullet and the aluminum honeycomb sandwich plate are given in Table 1.
The medium-temperature strain foil BAB 350-3AA250(23) is affixed to the aluminum honeycomb sandwich plate surface. Medium-temperature strain foil can be used in the range of −269~250 °C. The strain bridge is connected to the synergy data collector by a quarter bridge. Since the melting point of the aluminum honeycomb sandwich panel used in this paper is 463~671 °C, ballistic impact tests are conducted only at temperatures of 25 °C, 100 °C, and 200 °C, which are far below its melting point. According to the factory calibration value table of the Hopkinson impact test bench, we know that the initial impact velocity of the pointed bullet is 60 m/s when the shock pressure is 0.7 MPa.

2.2. Impact Resistance Analysis

The impact process has the characteristics of rapid action time, large force change, and high strain rate. Nonlinear problems for material parameters, boundary conditions, and the FE model can occur during the impact process. We built the 3D impact model, including the pointed bullet and the aluminum honeycomb sandwich plate, based on Creo. The 3D model grid is refined because the grid requires high quality in the impact penetration process. The mesh size is closely related to simulation accuracy: the finer the mesh, the higher the accuracy. To maximize the fidelity of the dynamic response of aluminum honeycomb sandwich panels under impact, the mesh should theoretically be refined as much as possible. However, denser meshes lead to exponentially increased computation time. Thus, it is necessary to select an appropriate mesh size under the premise that computation time remains feasible, and the analysis results are not compromised. This section examines aluminum honeycomb sandwich panels and projectiles using different mesh scales. Table 2 lists the selected mesh scales for the models.
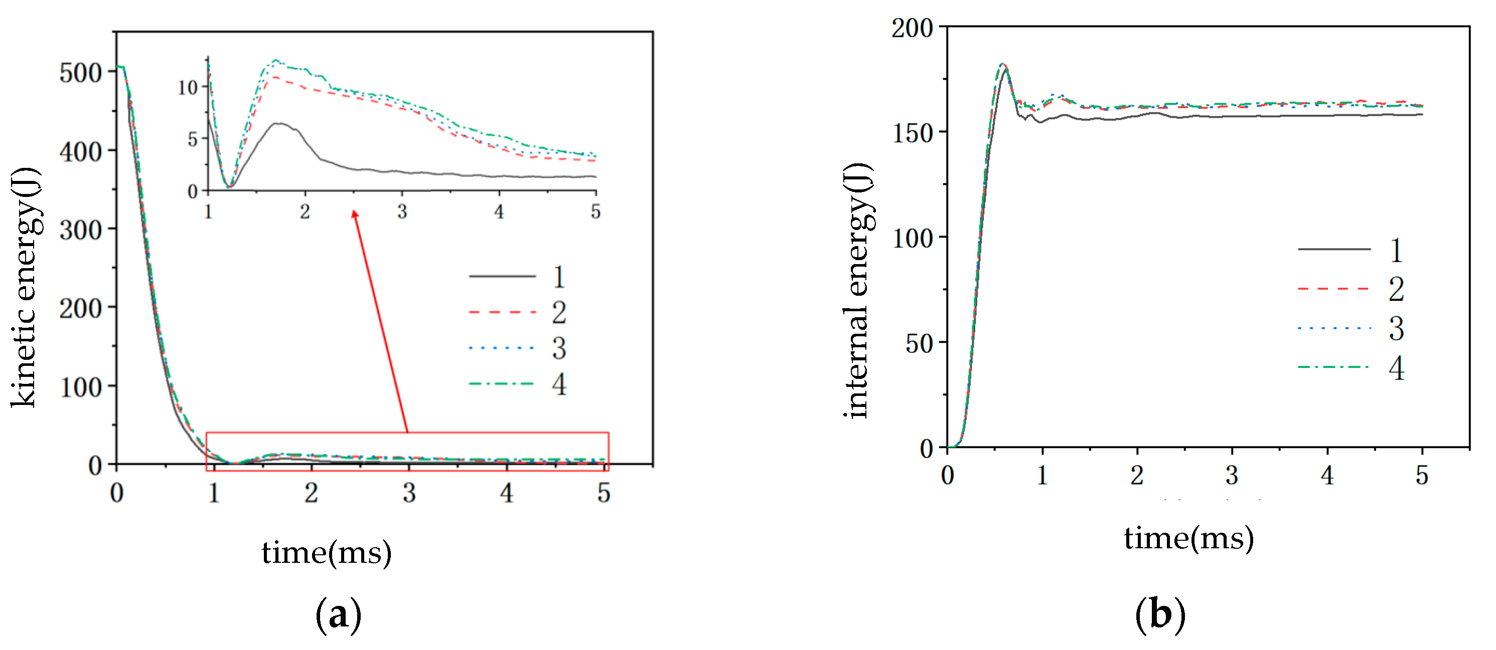
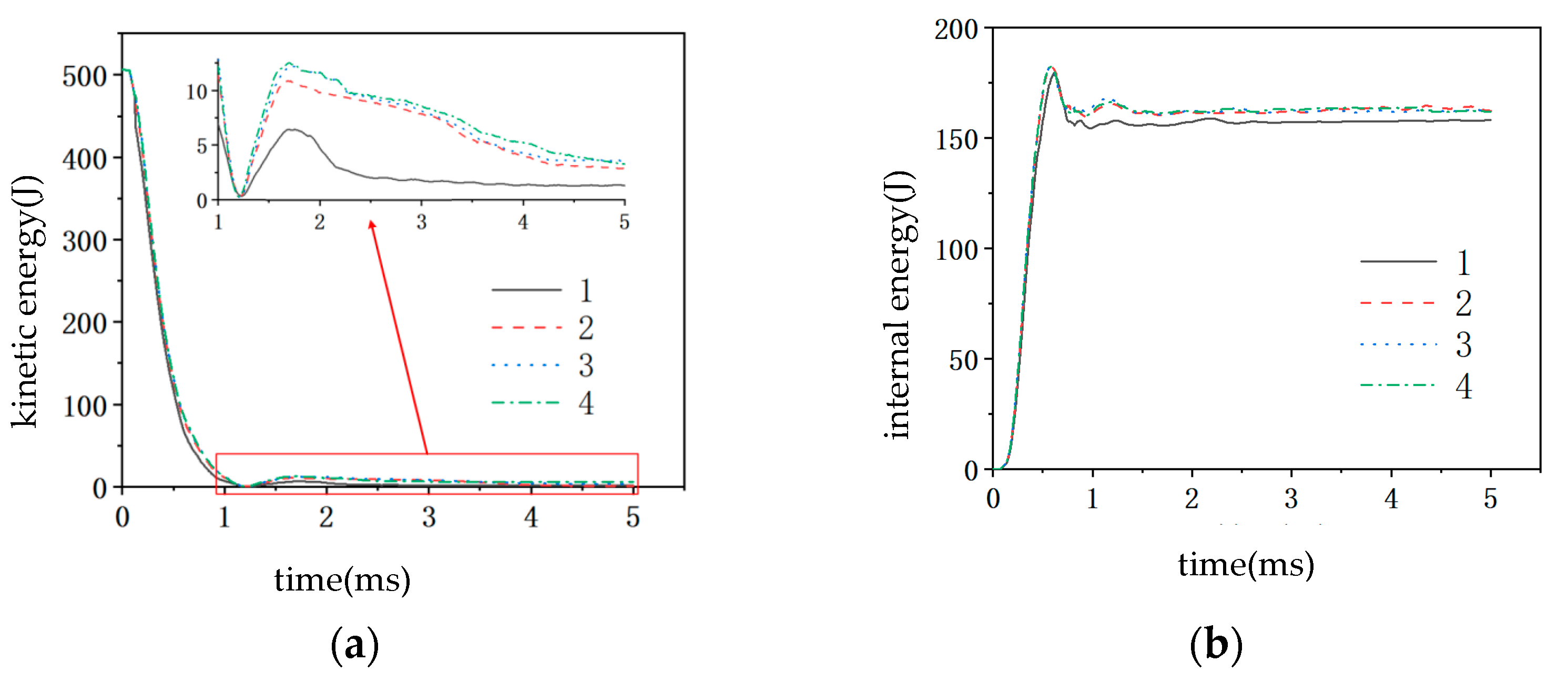
The results from simulation analyses of four meshes with varying levels of refinement are presented in Figure 3.
Figure 3 presents the time history curves of the kinetic energy of the pointed projectile and the internal energy of the aluminum honeycomb core panel. As can be seen from the figure, the simulation results for Mesh Model No. 1 differ significantly from those of the other models. The curves of the remaining three mesh models exhibit very similar trends, leading to basically consistent simulation conclusions. Considering both the accuracy of the simulation analysis and the computation time, Mesh Model No. 3 is selected. The grid model is shown in Figure 4. Solid element 164 is used in the grid type of pointed bullet and aluminum alloy plate. The pointed bullet is divided into 31,208 elements, and the alloy plate is divided into 6120 elements. The aluminum honeycomb core layer grid type adopts shell element 163 and is divided into 12,624 elements.
The upper and lower aluminum alloy plates’ material trademark is 7075-T651; the aluminum alloy plates are modeled as Johnson–Cook constitutive and cumulative damage criterion. In this model, the influences of material temperature softening, strain rate hardening, etc., are considered, and it is widely used in the fields of impact and material damage. Therefore, when conducting simulation analysis, the Johnson–Cook constitutive model and the Johnson–Cook cumulative damage criterion are adopted for the material, and their mathematical model expressions are as follows:
σ = A + B ε n 1 + C l n ε · ε · 0 1 T T r T m T r m
A is J–C yield stress; B is J–C strain hardening coefficient; n is J–C strain hardening exponent; C is J–C strain rate constant; m is J–C softening exponent; σ is the flow stress; ε is the equivalent plastic strain; ε ·   and   ε 0 · are the strain rate and reference strain rate of the material, respectively; T is the deformation temperature; Tm is the melting point; and Tr is the reference temperature. The three terms in the brackets of Equation (1) represent the influences of equivalent plastic strain, strain rate, and temperature on the flow stress, respectively [18,19].
The J–C cumulative damage criterion is adopted for the front and rear panels of aluminum alloy. Then the damage parameter D is
D = 1 / ε f d ε
In Equation (2)
ε f = D 1 + D 2 exp D 3 σ m σ e 1 + D 4 l n ε · ε · 0 1 + D 5 T T r T m T r
In the formula, is the mean stress, is the equivalent stress of the material, and D1~D5 are the parameters of the J–C failure model. When D = 1, it indicates that the material fails. The aluminum honeycomb core material trademark is 5052; the aluminum honeycomb is modeled as *MAT_PLASTIC_KINEMATIC model. Material model parameters are shown in Table 3 and Table 4 [20,21,22].
Metal materials have different thermophysical parameters at different temperatures. The process of a projectile impacting an aluminum honeycomb sandwich panel is rapid, and heat conduction plays a dominant role in the heat transfer during contact and collision, while the influences of thermal radiation and heat convection are relatively small. Therefore, the heat generation is determined by the specific heat capacity and thermal conductivity of the material. Since both 5052 and 7075-T651 are aluminum alloys with little difference in thermophysical parameters, the same set of thermophysical parameters is used. The thermophysical parameters of the pointed projectile and aluminum honeycomb sandwich panel are shown in Table 5 and Table 6. The material density changes slightly with temperature, which is considered unchanged in this paper. Full restraint is set at both ends of the aluminum honeycomb sandwich plate. The pointed bullet is subjected to an initial velocity of 60 m/s in the Z-axis.

2.3. Comparison of Experimental Test and Numerical Simulation

2.3.1. Damage Comparison

Figure 5 shows the experimental results of damage to the aluminum honeycomb sandwich plate by a pointed bullet impacting at 60 m/s under different temperatures. The figure also shows the corresponding results of a numerical simulation to facilitate comparisons with our test results.
Figure 5a shows the deformation and damage to the aluminum honeycomb core plate at 25 °C. It is found that the upper aluminum alloy plate exhibits complex failure patterns, containing the petal deformation caused by bending and local necking as well as the plugging deformation caused by high strain rate, large deformation, and adiabatic shear. The lower aluminum alloy plate shows crack damage, and the crack extension is more significant in the test. The aluminum honeycomb core layer shows shear damage, and the damaged aluminum honeycomb structure is deformed all around. Figure 5b,c shows the deformation and damage to the aluminum honeycomb core plate at 100 °C and 200 °C. It is observed that the aluminum honeycomb core plate deformation at 100 °C and 200 °C is mainly caused by the ductile hole enlargement. The front of the aluminum honeycomb core plate is pushed by the projectile, and metal deformation gradually occurs. This phenomenon was also observed by Senthil [23]. By comparing the deformation of aluminum honeycomb core plates at 200 °C and 25 °C, it is found that at 200 °C, the deformation of metal caused by bending is more obvious, and the plugging deformation caused by shear is smaller.

2.3.2. Strain–Time Curve Comparison

The position of the strain foil and the corresponding element are shown in Figure 6. Figure 7 gives the comparisons of the strain–time curve between test and simulation at different temperatures. Comparisons of maximum strain values between test and simulation are given in Table 7.
It is observed that the experiment strain–time curve deviates from the simulation because the pointed bullet is affected by external resistance during firing. However, from the perspective of the overall change trend of the strain–time curve, the experiment is basically consistent with the simulation conclusion. It can be seen from Table 7 that the relative error of the maximum strain between the test and the simulation is less than 8%. The simulation results are in good agreement with the experimental ones. So, this fitted model is accurate enough to describe the dynamic behavior of aluminum honeycomb core plates at high strain rates and elevated temperatures.

3. Containment Capability Analysis Under Different Temperatures

In this section, the numerical simulations of a broken rotating blade impacting an aluminum honeycomb sandwich casing at different temperatures are conducted. The numerical simulations are performed using the nonlinear finite element code LS-DYNA. The explicit finite element software of LS-DYNA R13.0 can be used in conjunction with the Johnson–Cook material model to solve the penetration problems involving fracture.
The total thickness of the aluminum honeycomb sandwich casing is 5 mm, the thickness of the upper and lower casing shells is 1 mm, the length of the single aluminum honeycomb core is 6 mm, the inner diameter of the single aluminum honeycomb core is 3 mm, the thickness of the aluminum foil is 0.05 mm, and the height of the aluminum honeycomb core is 3 mm. Appropriate stiffness and viscous form of hourglass controls are implemented to reduce hourglass energy. The mesh details and material for the blade and the casing are compiled in Table 8. The grid model is shown in Figure 8. The material constants, parameters of the state equation, and thermophysical parameters are listed in Table 9 and Table 10.
The connection part for the upper shell and the aero-engine wing in the z direction is set to a fixed constraint. The blade suddenly fails and breaks when the aero-engine is running, and the broken rotating blade’s movement trajectory will be offset under the influence of rotational inertia. We can decompose the initial velocity of the broken rotating blade into the centroid velocity v and the angular velocity ω, as shown in Figure 9. The arrows represent the velocity components, and the dotted lines are the center lines in Figure 9.
In this paper, the centroid velocity v of the broken blade is 300 m/s, and the angular velocity ω of the broken blade is 19,108 r/min. A constant rotation rate is applied to the blade by the VELOCITY_GENERATION keyword in LS-DYNA. The same temperature load is applied to the blade and to the aluminum honeycomb sandwich casing by the INITIAL_TEMPERATURE_SET keyword. The simulation data output interval is 10 μs, the image output interval is 20 μs, and the total solution time is 2000 μs. The contact settings and other thermal analysis solution conditions are the same as in Section 2.2. The equivalent stress nephogram and local magnification diagram of the blade impact casing at 25 °C, 100 °C, 200 °C, 300 °C, and 400 °C are shown in Figure 10.
From Figure 10, it can be observed that there are differences in the damage to blades at different temperatures. The damage degrees in the aluminum honeycomb sandwich casing are similar, and the broken blades are all contained in the casing after impacting at 25 °C, 100 °C, and 200 °C. The damage degree of the casing under 300 °C is obviously increased, but the broken blade is still contained in the casing. The damage degree of the casing under 400 °C is significantly increased, and the broken blade penetrates the casing and flies out. So, the critical containment temperature is between 300 °C and 400 °C. Figure 11 shows the time history curves of the blade’s kinetic energy and the casing’s internal energy.
From Figure 11a, it is found that the variation trend of blade kinetic energy with time is generally consistent at different temperatures. In the period of 0~1000 μs, the broken blade and the casing impact violently, and the kinetic energy of the blade decreases rapidly. In the period of 1000~2000 μs, the impact process is over between the broken blade and the casing, but the broken blade continues to move depending on the remaining kinetic energy. Therefore, the kinetic energy change of the broken blade tends to be smooth. From Figure 11b, it is shown that the internal energy time course curve of the casing first increases rapidly to reach a relatively flat status and then increases slightly again from 0 °C to 300 °C. At 400 °C, the casing’s internal energy rapidly increases to a certain value and then tends to be stable. Combined with Figure 11, we know that the blade coil deformation occurs after the blade impacts the casing between 0 °C and 300 °C. Because the broken blade does not penetrate the casing, the coiled blade and the inner surface of the casing collide twice, and the casing’s internal energy continues to grow after leveling off.
At 400 °C, the penetration phenomenon occurs when the broken blade impacts the casing; the broken blade fails to make secondary contact with the casing, so the casing’s internal energy tends to be stable. Figure 12 shows the curve of the broken blade’s kinetic energy loss and the casing’s internal energy increment at various temperatures.
The overall trend of the blade’s kinetic energy loss and the casing’s energy increment shows an increase in Figure 12. Considering the damage and energy variation of aluminum honeycomb sandwich casing, it can be seen that the damage area of the casing increases with the increase in temperature. This shows that the overall containment capability of the casing is declining.

4. Optimizing Design

4.1. Response Surface Modeling

To achieve higher performance, aero-engines require a lightweight design for their overall structure, aiming to reduce their total mass as much as possible while ensuring structural strength. As the protective casing of an aero-engine, the optimal design of the casing structure is to realize its lightweight design on the premise of ensuring safety. The aluminum honeycomb sandwich thickness has a great influence on the containment capability of the casing. In order to investigate the casing shell thickness and honeycomb core size effects on the containment capability of casing, simulations were carried out for different casing shell thickness and honeycomb core size combinations. The internal and external shells of the casing were generally the same material and the same thickness for the sake of avoiding the pull–bending coupling effect and the warping deformation of the casing. Four design variables were selected: aluminum honeycomb sandwich casing inner shell thickness ×1, aluminum honeycomb core height ×2, single aluminum honeycomb core edge length ×3, and single aluminum honeycomb core thickness ×4. The design variables are shown in Figure 13. According to the specification and dimension parameter range of aluminum honeycomb sandwich casing, the range of design variables was determined as shown in Table 11.
Common experimental design methods include Central Composite Design (CCD), Orthogonal Experimental Design (OED), and Latin Hypercube Design (LHD), etc. This paper adopts the Central Composite Design method. For the case of n factors and two levels, the experimental points consist of three parts: central points, axial points, and factorial points, and a schematic diagram of their composition is shown in Figure 14.
The relationship among the designed test points z, design variables n, and factorial coefficient ζ is shown in Equation (4).
z = 2 n ζ + 2 n + 1
The vertices of the quadrilateral in Figure 14 are 2n−ζ factorial design points, which are used to estimate the first-order terms and interaction terms; the asterisk points are 2n axial points, which are used to estimate the pure quadratic terms; the center point of the quadrilateral is used to evaluate the accuracy and error of the design.
According to the composition formula of test points in Equation (4), with the optimized design variable n = 4 and factorial coefficient ζ = 0, the total number of tests is 25. Considering the requirements of casing containment and lightweight design, the kinetic energy loss kb caused by the broken blade piercing the casing and the casing mass mc are taken as response values. The calculation results are shown in Table 12.
In light of the optimization analysis module, we can obtain the determination coefficient R2 and the adjustment determination coefficient R2adj in variance analysis. The determination coefficient R2 and the adjustment determination coefficient R2adj can verify the fitting degree of the response surface. These two parameters are closer to 1, so the predictive power of the response surface model is stronger, and these two parameters are defined as follows:
R 2 = i = 1 n y i y i 2 i = 1 n y i y i 2
R a d j 2 = 1 i = 1 n y i y i 2 ( n 1 ) i = 1 n y i y i 2 ( n k 1 )
In the formula, n is the design point number, k is the degree of freedom, and y i y i y i represent the measured value, predicted value, and average measured value, respectively. The determination coefficient R2 and the adjustment determination coefficient R2adj of the response surface model are shown in Table 13.
According to Table 12, the response surface model has strong prediction ability, and the fitting precision of the response surface model meets the optimal design standard.

4.2. Parameter Optimization

The design goals are the lightest mass for the casing and maximum kinetic energy loss for the broken blade. The mathematical description of this optimization problem is given as follows:
m i n   m c m a x   k b s . t . x min x i x max m c m i n i t i a l k b k i n i t i a l
In the equation, x i is the design variable, x min and x max are the lower and upper limits of the design variables, mc is the mass of aluminum honeycomb sandwich casing, kb is the kinetic energy loss of the broken blades, m initial is the mass of the initial aluminum honeycomb sandwich casing model, and k initial is the kinetic energy loss of the initial broken blades. The MOGA algorithm used an initial population of 100, a crossover probability of 0.7, and a mutation rate of 0.3. After 50 iterations, three optimal solution sets were derived for optimizing the aluminum honeycomb sandwich structure casing. The specific parameters are shown in Table 14.
Compared with the original parameters of the aluminum honeycomb sandwich casing, it can be seen that the three optimized solution sets all achieve the purpose of lightweight casing and containment capability improvement. The casing mass of Scheme 3 is the lowest: 6.6% less than the original mass. The casing mass in Scheme 1 and Scheme 2 is reduced by 6.2% and 5.9% of the original mass, respectively. The broken blade kinetic energy loss of Scheme 1 is the largest, at 13.89% more than the original kinetic energy loss. The broken blade kinetic energy loss in Scheme 2 and Scheme 3 is increased by 7.72% and 3.74%, respectively. Considering the optimization degree of the two parameters of casing mass and broken blade kinetic energy loss, Scheme 1 is selected as the final casing optimization design scheme.
In order to reflect the containment capability improvement of aluminum honeycomb sandwich casing after optimization, the optimized casing model is simulated. The time course curves of the blade kinetic energy and casing internal energy before and after optimization are analyzed as shown in Figure 15.
As can be seen from Figure 15, the kinetic energy loss of the broken blade in the pre-optimized model is 326.85 J, and the casing internal energy increment is 59.83 J. After optimization, the kinetic energy loss of the broken blade is 372.26 J, and the casing internal energy increment is 72.03 J. By comparing the conclusions before and after optimization, it can be seen that the broken blade contact collisions take longer, and the broken blade kinetic energy loss and casing energy increase are larger, which indicates that the containment capability of the optimized aluminum honeycomb sandwich casing is significantly improved.

5. Conclusions

Impact tests on aluminum honeycomb sandwich panels were conducted using a temperature-adjustable impact test system. A finite element model of the aluminum honeycomb sandwich panel under impact by a pointed bullet was established using Creo, Hypermesh, and LS-DYNA. Strain–time curve analyses of the aluminum honeycomb sandwich panel at 25 °C, 100 °C, and 200 °C were performed. The reliability of the finite element model was verified by comparing the strain–time curves from the test and the simulation.
Based on the finite element model of an aero-engine compressor casing, analyses of the casing’s containment capability at different temperatures were conducted according to the blade’s kinetic energy loss, the casing’s internal energy increment, and containment status, among other factors.
The parameters, including the thickness of the casing’s inner shell, the height of the aluminum honeycomb core layer, the edge length of a single aluminum honeycomb core, and the thickness of a single aluminum honeycomb core, were optimized. Compared with the original model, the mass of the optimized casing was reduced by 6.2%, while the kinetic energy loss of the broken blade was increased by 13.89%. The optimized casing not only achieves the goal of lightweight but also possesses better containment capability.

Author Contributions

Conceptualization, methodology, and funding acquisition, S.Y.; investigation, S.Y. and N.T.; formal analysis, J.Z.; data curation, writing—original draft preparation, N.T. and J.Z. All authors have read and agreed to the published version of the manuscript.

Funding

This research was funded by the Natural Science Foundation of Hunan Province, grant numbers 2020JJ4026 and 2024JJ8274.

Institutional Review Board Statement

Not applicable.

Informed Consent Statement

Not applicable.

Data Availability Statement

The data presented in this study are openly available in https://doi.org/10.1016/j.autcon.2020.103104.

Conflicts of Interest

Ningke Tong was employed by the company Suzhou VB Tech Co., Ltd. The remaining authors declare that the research was conducted in the absence of any commercial or financial relationships that could be construed as a potential conflict of interest.

Abbreviations

ρ(kg/m3)Density
E(GPa) Young’s modulus
G(GPa) Shear modulus
σ0Yield stress
vPoisson’s ratio
A(MPa) J–C yield strength
B(MPa) J–C hardening coefficient
nJ–C strain hardening exponent
CJ–C strain rate constant
mJ–C softening exponent
Tm(°C) Melting temperature
d1J–C damage constant
d2J–C damage constant
d3J–C damage constant
d4J–C damage constant
d5J–C damage constant
C0(km/s) Elastic bulk wave velocity
S1Slope in us vs. up diagram
γ0Grüneisen coefficient
c(J/kg°C) Specific heat
α0Heat fraction
TrReference temperature
CPReference temperature
V0Strain rate effect
βHardening index
TTemperature
σFlow stress
εEquivalent plastic strain
x1Casing inner shell thickness
x2Aluminum honeycomb core height
x3Single aluminum honeycomb core edge length
x4Single aluminum honeycomb core thickness
zDesigned test points
nDesign variables
ζFactorial coefficient

References

  1. Zhang, Z.X.; Jing, S.H.; Hao, B. Research on advanced aero engine manufacturing technology. China Equip. Eng. 2019, 3, 109–110. (In Chinese) [Google Scholar]
  2. Ai, S.M. Study of Effects of Temperature Field on Aero Ending Rotor System Dynamic Characteristics. Master’s Thesis, Shenyang of Aeronautics and Astronautics, Shenyang, China, 2011. (In Chinese). [Google Scholar]
  3. Kraus, A.; Frischbier, J. Containment and penetration in case of blade loss in a low pressure turbine. LS-DYNA Forum Bad Mergentheim 2002, 9. [Google Scholar]
  4. Stamper, E.; Hale, S. The Use of LS-DYNA Models to Predict Containment of Disk Burst Fragments. In Proceedings of the 10th International LS-DYNA Users Conference, Dearborn, MI, USA, 8–10 June 2008; Volume 6, p. 14. [Google Scholar]
  5. Sinha, S.K.; Dorbala, S. Dynamic Loads in the Fan Containment Structure of a turbofan engine. J. Aerosp. Eng. 2009, 22, 260–269. [Google Scholar] [CrossRef]
  6. Jain, R. Prediction of transient loads and perforation of engine casing during blade off event of fan rotor assembly. In Proceedings of the IMPLAST 2010 Conference, Providence, RI, USA, 12–14 October 2010; Volume 8. [Google Scholar]
  7. Carney, K.S.; Pereira, J.M.; Revilock, D.M.; Matheny, P. Jet engine fan blade containment using an alternate geometry. Int. J. Impact Eng. 2009, 36, 720–728. [Google Scholar] [CrossRef]
  8. Duan, Y.C.; Zhang, D.G.; Chen, S.J.; Liao, L.F. Targeting experiment and simulation research on casing containment of aero-engine. Comput. Simul. 2014, 31, 106–109. (In Chinese) [Google Scholar]
  9. Wan, Y.F. Containment Experiment and Numerical Simulation on Multi-Layer Metal Casing. Master’s Thesis, Nanjing University of Science & Technology, Nanjing, China, 2017. (In Chinese). [Google Scholar]
  10. Cao, Z.Z.; Zhang, F.; Zhang, D.G.; Yu, Y.; Li, L.; Guo, X. Failure mechanisms of bolted flanges in aero-engine casings subjected to impact loading. Chin. J. Aeronaut. 2021, 5, 125–144. [Google Scholar] [CrossRef]
  11. Roy, P.A.; Meguid, S.A. Modeling and characterization of bilayer containment ring in gas turbine engine. Int. J. Comput. Methods Eng. Sci. Mech. 2020, 16, 96–108. [Google Scholar] [CrossRef]
  12. He, Q.; Xuan, H.J.; Liu, L.L. Multi-blade effects on aero-engine fan blade. Eng. Mech. 2012, 29, 180–184. (In Chinese) [Google Scholar] [CrossRef]
  13. Liu, L.L.; Zhao, Z.H.; Chen, W.; Liu, X.; Gao, J. Ballistic impact behavior of aero-engine composite casing. J. Aerosp. Power 2018, 33, 30–38. (In Chinese) [Google Scholar] [CrossRef]
  14. Yu, M.Y.; Wang, J.F.; Xuan, H.J.; Xiong, W.J.; He, Z.K.; Qu, M.M. Simulation and experimental study of gas turbine blade tenon-root detachment on spin test. Aerospace 2024, 11, 629. [Google Scholar] [CrossRef]
  15. Meguid, S.A. Multiple blade shedding in aviation gas turbine engines: FE modeling and characterization. Int. J. Mech. Mater. Des. 2024, 20, 663–670. [Google Scholar] [CrossRef]
  16. Ju, J.; Yang, N.; Yu, L.; Zhang, Z.; Jiang, H.; Wu, W.; Ma, G. Experiment and Simulation Study on the Crashworthiness of Markforged 3D-Printed Carbon/Kevlar Hybrid Continuous Fiber Composite Honeycomb Structures. Materials 2025, 18, 192. [Google Scholar] [CrossRef] [PubMed]
  17. Shi, S.; Wang, G.; Hu, C.; Chen, B.; Hu, X.; Sun, Z. Impact response of carbon fiber/aluminum honeycomb sandwich structures under multiple low-velocity loads. Compos. Sci. Technol. 2025, 261, 111027. [Google Scholar] [CrossRef]
  18. Wang, X.; Shi, J. Validation of Johnson-Cook plasticity and damage model using impact experiment. Int. J. Impact Eng. 2013, 60, 67–75. [Google Scholar] [CrossRef]
  19. Sengoz, K.; Kan, S.; Eskandarian, A. Development of a Generic Gas-Turbine Engine Fan Blade-Out Full-Fan Rig Model; Department of Transportation, Federal Aviation Administration, William J. Hughes Technical Center: Atlantic City, NJ, USA, 2015. [Google Scholar]
  20. Li, D.F. Study on Stretching Technique of 7075 Aluminum Alloy Plate. Master’s Thesis, Chongqing University, Chongqing, China, 2012. (In Chinese). [Google Scholar]
  21. Kasper, C.J.; Vivian, S. Modelling of Armour piercing projectile perforation of thick Aluminum Plates. In Proceedings of the 13th International LS-DYNA Conference, Dearborn, MI, USA, 8–10 June 2014. [Google Scholar]
  22. Abdullatif, K.Z. Development and validation of a us side impact move able deformable barrier model. In Proceedings of the 3rd European LS-DYNA Conference, Paris, Franch, 18–19 June 2001. [Google Scholar]
  23. Senthil, K.; Iqbal, M.A.; Chandel, P.S.; Gupta, N.K. Study of the constitutive behavior of 7075-T651 aluminum alloy. Int. J. Impact Eng. 2017, 108, 171–190. [Google Scholar] [CrossRef]
Figure 1. Adjustable temperature impact test system.
Figure 1. Adjustable temperature impact test system.
Coatings 15 00834 g001
Figure 2. Temperature control system.
Figure 2. Temperature control system.
Coatings 15 00834 g002
Figure 3. Time course curve. (a) Kinetic energy of the pointed bullet, (b) internal energy of the aluminum honeycomb’s core panel.
Figure 3. Time course curve. (a) Kinetic energy of the pointed bullet, (b) internal energy of the aluminum honeycomb’s core panel.
Coatings 15 00834 g003
Figure 4. Mesh model of projectile impacting aluminum honeycomb sandwich panel.
Figure 4. Mesh model of projectile impacting aluminum honeycomb sandwich panel.
Coatings 15 00834 g004
Figure 5. Comparison between experimental and FE predictions: (a) 25 °C, (b) 100 °C, and (c) 200 °C.
Figure 5. Comparison between experimental and FE predictions: (a) 25 °C, (b) 100 °C, and (c) 200 °C.
Coatings 15 00834 g005
Figure 6. Position of the strain foil and the corresponding element.
Figure 6. Position of the strain foil and the corresponding element.
Coatings 15 00834 g006
Figure 7. Comparison diagram of strain–time curves between test and simulation: (a) 25 °C, (b) 100 °C, and (c) 200 °C.
Figure 7. Comparison diagram of strain–time curves between test and simulation: (a) 25 °C, (b) 100 °C, and (c) 200 °C.
Coatings 15 00834 g007
Figure 8. Grid model.
Figure 8. Grid model.
Coatings 15 00834 g008
Figure 9. Blade velocity distribution.
Figure 9. Blade velocity distribution.
Coatings 15 00834 g009
Figure 10. Equivalent stress cloud and local magnification of the blade impact casing: (a) 25 °C, (b) 100 °C, (c) 200 °C, (d) 300 °C, and (e) 400 °C.
Figure 10. Equivalent stress cloud and local magnification of the blade impact casing: (a) 25 °C, (b) 100 °C, (c) 200 °C, (d) 300 °C, and (e) 400 °C.
Coatings 15 00834 g010
Figure 11. Time history curve: (a) blade kinetic energy, and (b) casing internal energy.
Figure 11. Time history curve: (a) blade kinetic energy, and (b) casing internal energy.
Coatings 15 00834 g011
Figure 12. Plotting. (a) Broken blade kinetic energy loss, and (b) casing internal energy increment.
Figure 12. Plotting. (a) Broken blade kinetic energy loss, and (b) casing internal energy increment.
Coatings 15 00834 g012
Figure 13. Design variables.
Figure 13. Design variables.
Coatings 15 00834 g013
Figure 14. Schematic diagram of test site composition.
Figure 14. Schematic diagram of test site composition.
Coatings 15 00834 g014
Figure 15. Comparison before and after optimization. (a) Time course curve of broken blade kinetic energy, and (b) time course curve of casing internal energy.
Figure 15. Comparison before and after optimization. (a) Time course curve of broken blade kinetic energy, and (b) time course curve of casing internal energy.
Coatings 15 00834 g015
Table 1. Specific parameters of the specimen.
Table 1. Specific parameters of the specimen.
NameMaterial TrademarkSize (mm)
Upper and lower aluminum alloy plates7075-T651 aluminum alloy140 × 90 × 1
Aluminum honeycomb core layer5052 aluminum foil120 × 80 × 3
pointed bullet40 Cr steelφ15.4 × 210
Table 2. Mesh model size.
Table 2. Mesh model size.
NumberNameMesh TypeMesh Size/mmNumber of ElementsCalculation Time/h
1Upper and lower aluminum alloy platessolid 164 4 × 4 × 115760.5
Aluminum honeycomb core panelshell 163 36386
Pointed bulletsolid 164 4 × 4 × 47896
2Upper and lower aluminum alloy platessolid 164 3 × 3 × 127382.5
Aluminum honeycomb core panelshell 163 29762
Pointed bulletsolid 164 3 × 3 × 313,398
3Upper and lower aluminum alloy platessolid 164 1 × 2 × 261206.5
Aluminum honeycomb core panelshell 163 1.512,624
Pointed bulletsolid 164 2 × 2 × 231,208
4Upper and lower aluminum alloy platessolid 164 1 × 1 × 115,62426
Aluminum honeycomb core panelshell 163 137,464
Pointed bulletsolid 164 1 × 1 × 1152,760
Table 3. Material model parameters of upper and lower aluminum alloy plates.
Table 3. Material model parameters of upper and lower aluminum alloy plates.
Material TrademarkParameterNumerical ValueParameterNumerical Value
7075-T651ρ(kg/m3) 2810n0.52
E/GPa71.7m1.61
ν0.33D10.096
Tm/°C620D20.049
A/MPa520D33.465
B/MPa477D40.016
C0.0025D51.099
Table 4. Aluminum honeycomb core layer material model parameters.
Table 4. Aluminum honeycomb core layer material model parameters.
Material TrademarkParameterNumerical ValueParameterNumerical Value
5052 aluminum foilρ (kg/m3)2680σ0/MPa215
E/GPa70Etan/MPa450
v0.33β0.5
Table 5. Thermal properties of upper and lower aluminum alloy sheet materials.
Table 5. Thermal properties of upper and lower aluminum alloy sheet materials.
Material TrademarkTemperature/°CThermal Conductivity (W/m°C) Heat Capacity (J/Kg°C)
7075-T65125124796
100142921
2001701005
3001851020
4001931120
Table 6. Thermal properties of pointed bullet materials.
Table 6. Thermal properties of pointed bullet materials.
Material TrademarkTemperature/°CThermal Conductivity (W/m°C) Heat Capacity (J/Kg°C)
40Cr10023.87465
20025.12515
30025.96548
40026.80557
50027.63567
Table 7. Comparison of maximum strain values between test and simulation.
Table 7. Comparison of maximum strain values between test and simulation.
Temperature/°CTest ValueSimulation ValueRelative Error %
255797.55462.25.78
1004156.74228.2−1.72
2004209.43879.17.85
Table 8. Grid model parameters of the vane aluminum honeycomb sandwich casing.
Table 8. Grid model parameters of the vane aluminum honeycomb sandwich casing.
NameMaterialGrid TypeUnits Number
Casing shell7075-T651Solid16418,550
Aluminum honeycomb core5052 Solid16347,130
BladeTC4Solid16412,812
Table 9. Johnson–Cook model parameters of the blade.
Table 9. Johnson–Cook model parameters of the blade.
Material TrademarkEssential Parameter
TC4E/GPavρ (Kg/m3) Tm/KTr/KCp (J/Kg·K)
1140.3144281878293611
Johnson–Cook parameter
A/MPaB/MPaCnm
109810920.00140.931.1
Johnson–Cook parameter
d1d2d3d4d5
−0.090.270.480.0143.87
Equation of state parameter
CS1γ0V0
5.131.0281.230
Table 10. Thermal physical parameters of the blade.
Table 10. Thermal physical parameters of the blade.
TC4
Thermophysical Parameter
Temperature/°C
20100200300400500
Thermal conductivity (W/(m·°C))6.87.48.79.310.311.8
Heat capacity (J/Kg °C)611624653674691703
Table 11. Design variables and their value ranges.
Table 11. Design variables and their value ranges.
Design VariableInitial ConditionsLower Limit ValueUpper Limit Value
x1/mm10.51.5
x2/mm435
x3/mm638
x4/mm0.050.010.08
Table 12. Test scheme and response value.
Table 12. Test scheme and response value.
Numberx1x2x3x4kb/Jmc/kg
1145.50.0489313.7718.49
21430.0489289.8118.41
31480.0489244.4818.56
4135.50.0489300.7818.44
5155.50.0489248.0318.53
6145.50.01272.1818.38
7145.50.08357.8118.59
80.545.50.048970.5615.60
91.5045.50.0489418.4121.37
100.64793.29583.73950.0270146.8516.34
110.64793.29587.26050.0270144.7616.39
120.64794.70423.73950.0270180.4216.37
130.64794.70427.26050.0270184.2016.43
140.64793.29583.73950.0708131.3916.42
150.64793.29587.26050.0708153.7716.55
160.64794.70423.73950.0708162.6116.48
170.64794.70427.26050.0708227.4916.66
181.35213.29583.73950.027280.0820.40
191.35213.29587.26050.027256.4920.45
201.35214.70423.73950.027252.5320.42
211.35214.70427.26050.027260.6320.49
221.35213.29583.73950.0708304.5420.48
231.35213.29587.26050.0708290.5120.61
241.35214.70423.73950.0708244.5020.54
251.35214.70427.26050.0708317.4120.72
Table 13. Fitting values.
Table 13. Fitting values.
Response ValuesR2/%R2adj/%
kb 99.32599.082
mc 99.83199.793
Table 14. Candidate optimization scheme.
Table 14. Candidate optimization scheme.
123Original Parameter
x1/mm0.9460.9330.9211
x2/mm3.7613.7294.1354
x3/mm6.3185.6466.4266
x4/mm0.02020.02090.01980.05
kb/J372.26352.09339.07326.85
mc/kg18.0818.00317.9519.22
Disclaimer/Publisher’s Note: The statements, opinions and data contained in all publications are solely those of the individual author(s) and contributor(s) and not of MDPI and/or the editor(s). MDPI and/or the editor(s) disclaim responsibility for any injury to people or property resulting from any ideas, methods, instructions or products referred to in the content.

Share and Cite

MDPI and ACS Style

Yang, S.; Tong, N.; Zuo, J. Temperature-Related Containment Analysis and Optimal Design of Aluminum Honeycomb Sandwich Aero-Engine Casings. Coatings 2025, 15, 834. https://doi.org/10.3390/coatings15070834

AMA Style

Yang S, Tong N, Zuo J. Temperature-Related Containment Analysis and Optimal Design of Aluminum Honeycomb Sandwich Aero-Engine Casings. Coatings. 2025; 15(7):834. https://doi.org/10.3390/coatings15070834

Chicago/Turabian Style

Yang, Shuyi, Ningke Tong, and Jianhua Zuo. 2025. "Temperature-Related Containment Analysis and Optimal Design of Aluminum Honeycomb Sandwich Aero-Engine Casings" Coatings 15, no. 7: 834. https://doi.org/10.3390/coatings15070834

APA Style

Yang, S., Tong, N., & Zuo, J. (2025). Temperature-Related Containment Analysis and Optimal Design of Aluminum Honeycomb Sandwich Aero-Engine Casings. Coatings, 15(7), 834. https://doi.org/10.3390/coatings15070834

Note that from the first issue of 2016, this journal uses article numbers instead of page numbers. See further details here.

Article Metrics

Back to TopTop