Preparation and Characterization of Mg-Based Biomaterials with Bioactive Surfaces Functionalized with EU/Gd NPs for Bone Tissue Regeneration Obtained via PEO Process
Abstract
1. Introduction
2. Materials and Methods
2.1. Biomaterials Prepaparation
2.2. Biodegradation Study
2.3. Wettability Assessment
2.4. Structure and Morphology Study
2.5. Biocorrosion Studies
2.6. Cytotoxicity Assessment
3. Results and Discussion
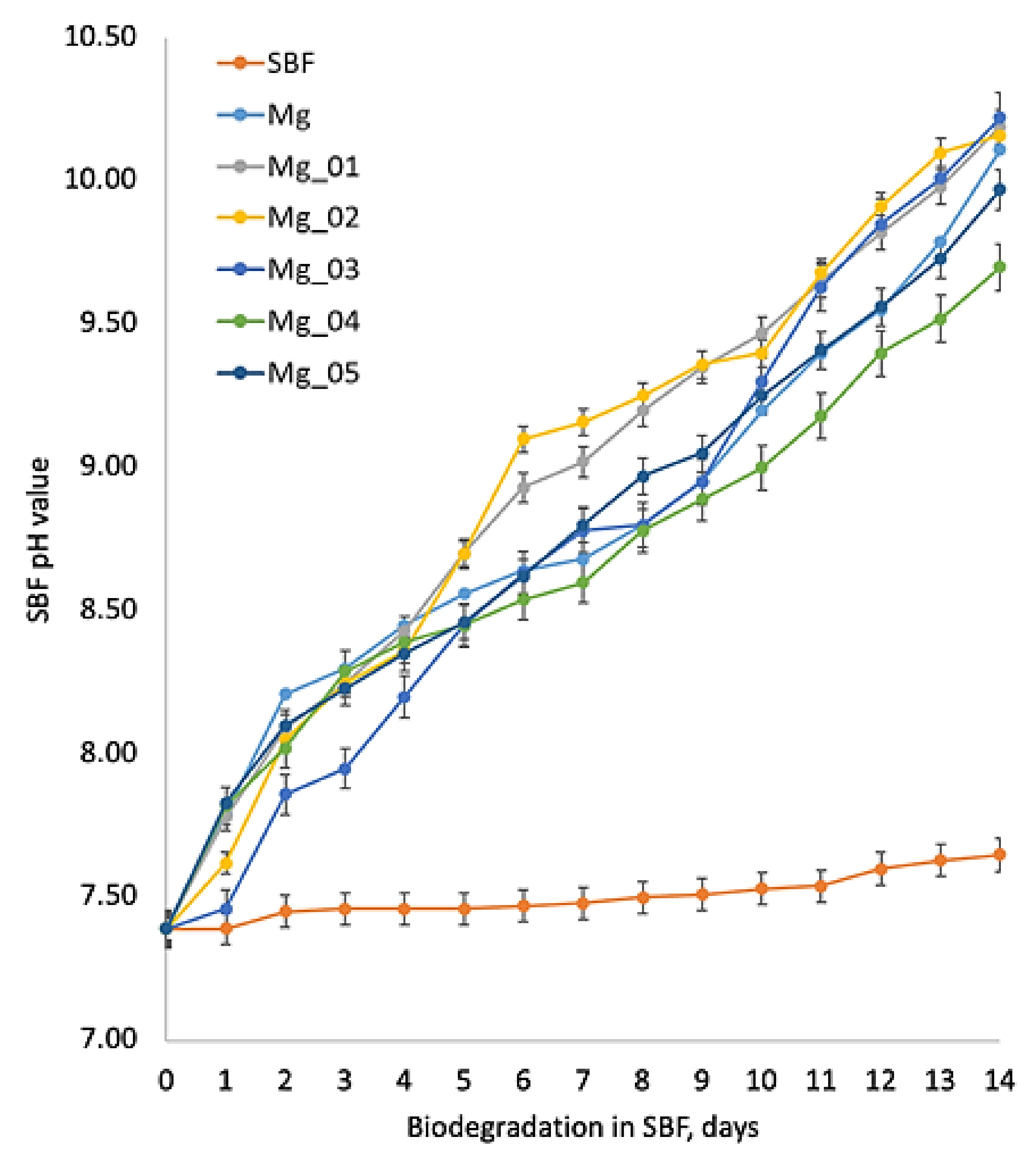
3.1. Biodegradation Evaluation
3.2. Wettability Study
3.3. Morphology Study
3.4. Biocorrosion Study
3.5. Cytotoxicity Evaluation
4. Conclusions
Author Contributions
Funding
Institutional Review Board Statement
Informed Consent Statement
Data Availability Statement
Acknowledgments
Conflicts of Interest
References
- Liang, W.; Zhou, C.; Bai, J.; Zhang, H.; Long, H.; Jiang, B.; Wang, J.; Huang, X.; Zhang, H.; Zhao, J. Prospective applications of bioactive materials in orthopedic therapies: A review. Heliyon 2024, 10, e36152. [Google Scholar] [CrossRef] [PubMed]
- Yu, X.; Tang, X.; Gohil, S.V.; Laurencin, C.T. Biomaterials for Bone Regenerative Engineering. Adv. Healthc. Mater. 2015, 4, 1268–1285. [Google Scholar] [CrossRef] [PubMed] [PubMed Central]
- Mikziński, P.; Kraus, K.; Widelski, J.; Paluch, E. Modern Microbiological Methods to Detect Biofilm Formation in Orthopedy and Suggestions for Antibiotic Therapy, with Particular Emphasis on Prosthetic Joint Infection (PJI). Microorganisms 2024, 12, 1198. [Google Scholar] [CrossRef] [PubMed]
- Joshi, M.U.; Kulkarni, S.P.; Choppadandi, M.; Keerthana, M.; Kapusetti, G. Current state of art smart coatings for orthopedic implants: A comprehensive review. Smart Mater. Med. 2023, 4, 661–679. [Google Scholar] [CrossRef]
- Choi, S.-R.; Kwon, J.-W.; Suk, K.-S.; Kim, H.-S.; Moon, S.-H.; Park, S.-Y.; Lee, B.H. The Clinical Use of Osteobiologic and Metallic Biomaterials in Orthopedic Surgery: The Present and the Future. Materials 2023, 16, 3633. [Google Scholar] [CrossRef]
- Mamidi, N.; Ijadi, F.; Norahan, M.H. Leveraging the Recent Advancements in GelMA Scaffolds for BoneTissue Engineering: An Assessment of Challenges and Opportunities. Biomacromolecules 2024, 25, 2075–2113. [Google Scholar] [CrossRef]
- Bahraminasab, M.; Janmohammadi, M.; Arab, S.; Talebi, A.; Nooshabadi, V.T.; Koohsarian, P.; Nourbakhsh, M.S. Bone Scaffolds: An Incorporation of Biomaterials, Cells, and Biofactors. ACS Biomater. Sci. Eng. 2021, 7, 5397–5431. [Google Scholar] [CrossRef]
- Iaquinta, M.R.; Mazzoni, E.; Manfrini, M.; D’Agostino, A.; Trevisiol, L.; Nocini, R.; Trombelli, L.; Barbanti-Brodano, G.; Martini, F.; Tognon, M. Innovative Biomaterials for Bone Regrowth. Int. J. Mol. Sci. 2019, 20, 618. [Google Scholar] [CrossRef]
- Przekora, A. The summary of the most important cell-biomaterial interactions that need to be considered during in vitro biocompatibility testing of bone scaffolds for tissue engineering applications. Mater. Sci. Eng. C 2019, 97, 1036–1051. [Google Scholar] [CrossRef]
- Swain, S. Advancements in Biomaterials for Envisioning Healing and Function Restoration in Modern Medicine—A Review. J. Angiother. 2024, 8, 1–7. [Google Scholar] [CrossRef]
- Chen, L.; Zhou, C.; Jiang, C.; Huang, X.; Liu, Z.; Zhang, H.; Liang, W.; Zhao, J. Translation of nanotechnology-based implants for orthopedic applications: Current barriers and future perspective. Front. Bioeng. Biotechnol. 2023, 11, 1206806. [Google Scholar] [CrossRef] [PubMed]
- Kumar, R.; Kumar, S. Recent Advancements in Orthopedic Implant Materials: A Short Review. J. Biomed. Eng. Res. 2024, 2, 1–6. [Google Scholar]
- Sheikh, Z.; Najeeb, S.; Khurshid, Z.; Verma, V.; Rashid, H.; Glogauer, M. Biodegradable Materials for Bone Repair and Tissue Engineering Applications. Materials 2015, 8, 5744–5794. [Google Scholar] [CrossRef] [PubMed]
- Bian, D.; Deng, J.; Li, N.; Chu, X.; Liu, Y.; Li, W.; Cai, H.; Xiu, P.; Zhang, Y.; Guan, Z.; et al. In Vitro and In Vivo on Biomedical Magnesium Low-Alloying with Elements Gadolinium and Zinc for Orthopedic Implant Applications. ACS Appl. Mater. Interfaces 2018, 10, 4394–4408. [Google Scholar] [CrossRef] [PubMed]
- Zhou, Y.; Zhang, A.; Wu, J.; Guo, S.; Sun, Q. Application and Perspectives: Magnesium Materials in Bone Regeneration. ACS Biomater. Sci. Eng. 2024, 10, 3514–3527. [Google Scholar] [CrossRef]
- Zhou, H.; Liang, B.; Jiang, H.; Deng, Z.; Yu, K. Magnesium-based biomaterials as emerging agents for bone repair and regeneration: From mechanism to application. J. Magnes. Alloys 2021, 9, 779–804. [Google Scholar] [CrossRef]
- Yang, Y.; He, C.; Dianyu, E.; Yang, W.; Qi, F.; Xie, D.; Shen, L.; Peng, S.; Shuai, C. Mg bone implant: Features, developments and perspectives. Mater. Des. 2020, 185, 108259. [Google Scholar] [CrossRef]
- Wang, J.-L.; Xu, J.-K.; Hopkins, C.; Chow, D.H.-K.; Qin, L. Biodegradable Magnesium-Based Implants in Orthopedics—A General Review and Perspectives. Adv. Sci. 2020, 7, 1902443. [Google Scholar] [CrossRef]
- Kannan, S.; Nallaiyan, R. Anticancer Activity of Samarium-Coated Magnesium Implants for Immunocompromised Patients. ACS Appl. Bio Mater. 2020, 3, 4408–4416. [Google Scholar] [CrossRef]
- Li, Y.; Gao, J.; Yang, L.; Shen, J.; Jiang, Q.; Wu, C.; Zhu, D.; Zhang, Y. Biodegradable and Bioactive Orthopedic Magnesium Implants with Multilayered Protective Coating. ACS Appl. Bio Mater. 2019, 2, 3290–3299. [Google Scholar] [CrossRef]
- Eddy, P.; Sridevi, B.; Derek, F. Biomedical Magnesium Alloys: A Review of Material Properties, Surface Modifications and Potential as a Biodegradable Orthopaedic Implant. Am. J. Biomed. Eng. 2012, 2, 218–240. [Google Scholar] [CrossRef]
- Kamrani, S.; Fleck, C. Biodegradable magnesium alloys as temporary orthopaedic implants: A review. Biometals 2019, 32, 185–193. [Google Scholar] [CrossRef] [PubMed]
- Amukarimi, S.; Mozafari, M. Biodegradable magnesium-based biomaterials: An overview of challenges and opportunities. MedComm 2021, 2, 123–144. [Google Scholar] [CrossRef] [PubMed] [PubMed Central]
- Radwan-Praglowska, J. Biodegradable Mg-based implants obtained via anodic oxidation applicable in dentistry: Preparation and characterization. J. Mater. Res. Technol. 2022, 20, 1736–1754. [Google Scholar] [CrossRef]
- Kirkland, N.T.; Birbilis, N.; Staiger, M.P. Assessing the corrosion of biodegradable magnesium implants: A critical review of current methodologies and their limitations. Acta Biomater. 2012, 8, 925–936. [Google Scholar] [CrossRef]
- Civantos, A.; Martínez-Campos, E.; Ramos, V.; Elvira, C.; Gallardo, A.; Abarrategi, A. Titanium Coatings and Surface Modifications: Toward Clinically Useful Bioactive Implants. ACS Biomater. Sci. Eng. 2017, 3, 1245–1261. [Google Scholar] [CrossRef]
- Parfenova, L.V.; Galimshina, Z.R.; Gil’fanova, G.U.; Alibaeva, E.I.; Danilko, K.V.; Aubakirova, V.R.; Farrakhov, R.G.; Parfenov, E.V.; Valiev, R.Z. Modeling of Biological Activity of PEO-Coated Titanium Implants with Conjugates of Cyclic RGD Peptide with Amino Acid Bisphosphonates. Materials 2022, 15, 8120. [Google Scholar] [CrossRef]
- Zhu, G.; Wang, G.; Li, J.J. Advances in implant surface modifications to improve osseointegration. Mater. Adv. 2021, 2, 6901–6927. [Google Scholar] [CrossRef]
- Huub, M.; Sandercock, T.G. Force Transmission between Synergistic Skeletal Muscles through Connective Tissue Linkages. BioMed Res. Int. 2010, 2010, 575672. [Google Scholar] [CrossRef]
- Natarajan, D.; Ye, Z.; Wang, L.; Ge, L.; Pathak, J.L. Rare earth smart nanomaterials for bone tissue engineering and implantology: Advances, challenges, and prospects. Bioeng. Transl. Med. 2021, 7, e10262. [Google Scholar] [CrossRef] [PubMed] [PubMed Central]
- Weng, W.; Biesiekierski, A.; Li, Y.; Dargusch, M.; Wen, C. A review of the physiological impact of rare earth elements and their uses in biomedical Mg alloys. Acta Biomater. 2021, 130, 80–97. [Google Scholar] [CrossRef] [PubMed]
- Wu, C.; Xia, L.; Han, P.; Mao, L.; Wang, J.; Zhai, D.; Fang, B.; Chang, J.; Xiao, Y. Europium-Containing Mesoporous Bioactive Glass Scaffolds for Stimulating in Vitro and in Vivo Osteogenesis. ACS Appl. Mater. Interfaces 2016, 8, 11342–11354. [Google Scholar] [CrossRef] [PubMed]
- Shang, J.; Zhou, C.; Jiang, C.; Huang, X.; Liu, Z.; Zhang, H.; Zhao, J.; Liang, W.; Zeng, B. Recent developments in nanomaterials for upgrading treatment of orthopedics diseases. Front. Bioeng. Biotechnol. 2023, 11, 1221365. [Google Scholar] [CrossRef] [PubMed] [PubMed Central]
- ISO 10993-1:2018; Biological Evaluation of Medical Devices. Part 1: Evaluation and Testing Within a Risk Management Process. ISO: Geneva, Switzerland, 2018.
























| Sample | Description |
|---|---|
| Mg | Unmodified magnesium |
| Mg_01 | Disc after modification by PEO method |
| Mg_02 | Sample after modification by PEO method and ultrasound in europium (III) sulfate solution |
| Mg_03 | Sample after modification by PEO method and ultrasound in gadolinium (III) sulfate (VI) solution |
| Mg_04 | Sample after modification by the PEO method (europium (III) sulfate (VI) solution was added to the electrolyte) |
| Mg_05 | Sample after modification by the PEO method (gadolinium (III) sulfate (VI) solution was added to the electrolyte) |
| Sample | Wetting Angle Value | Wettability Rating |
|---|---|---|
| Mg (before bio-incubation) | 30.4° | Very good wettability |
| Mg_01 (before bio-incubation) | 14.4° | Very good wettability |
| Mg_02 (before bio-incubation) | 39.3° | Very good wettability |
| Mg_03 (before bio-incubation) | 38.2° | Very good wettability |
| Mg_04 (before bio-incubation) | 15.4° | Very good wettability |
| Mg_05 (before incubation) | 33.5° | Very good wettability |
| Mg (after bioincubation) | 0° | Total wettability |
| Mg_01 (after bio-incubation) | 0° | Total wettability |
| Mg_02 (after bioincubation) | 0° | Total wettability |
| Mg_03 (after bio-incubation) | 0° | Total wettability |
| Mg_04 (after bio-incubation) | 0° | Total wettability |
| Mg_05 (after bio-incubation) | 0° | Total wettability |
| Sample | pH Evaluation | Degree of Biodegradation | Corrosion Potential and Current Density (Before and After Biocorrosion) | Wet Angle (Before and After Bioincubation) |
|---|---|---|---|---|
| Mg | Intensively Increased | 1.66% | −1600 mV, 28.4 μA/cm2 −1353 mV, 29.5 μA/cm2 | 30.4° 0° |
| Mg_01 | Intensively Increased | 1.81% | −1446 mV, 11.6 μA/cm2 652 mV, 21.9 μA/cm2 | 14.4° 0° |
| Mg_02 | Intensively Increased | 1.86% | −1399 mV, 0.04 μA/cm2 −655 mV, 12.5 μA/cm2 | 39.3° 0° |
| Mg_03 | Moderately Increased | 1.47% | −1550 mV, 0.27 μA/cm2 −651 mV, 9.91 μA/cm2 | 38.2° 0° |
| Mg_04 | Moderately Increased | 1.61% | −954 mV, 49.0 μA/cm2 −1150 mV, 18.9 μA/cm2 | 15.4° 0° |
| Mg_05 | Moderately Increased | 1.44% | −1605 mV, 104 μA/cm2 −1154 mV, 19.7 μA/cm2 | 33.5° 0° |
Disclaimer/Publisher’s Note: The statements, opinions and data contained in all publications are solely those of the individual author(s) and contributor(s) and not of MDPI and/or the editor(s). MDPI and/or the editor(s) disclaim responsibility for any injury to people or property resulting from any ideas, methods, instructions or products referred to in the content. |
© 2025 by the authors. Licensee MDPI, Basel, Switzerland. This article is an open access article distributed under the terms and conditions of the Creative Commons Attribution (CC BY) license (https://creativecommons.org/licenses/by/4.0/).
Share and Cite
Kuźmiak, K.; Janus, Ł.; Sierakowska-Byczek, A.; Radwan-Pragłowska, J. Preparation and Characterization of Mg-Based Biomaterials with Bioactive Surfaces Functionalized with EU/Gd NPs for Bone Tissue Regeneration Obtained via PEO Process. Coatings 2025, 15, 124. https://doi.org/10.3390/coatings15020124
Kuźmiak K, Janus Ł, Sierakowska-Byczek A, Radwan-Pragłowska J. Preparation and Characterization of Mg-Based Biomaterials with Bioactive Surfaces Functionalized with EU/Gd NPs for Bone Tissue Regeneration Obtained via PEO Process. Coatings. 2025; 15(2):124. https://doi.org/10.3390/coatings15020124
Chicago/Turabian StyleKuźmiak, Klaudia, Łukasz Janus, Aleksandra Sierakowska-Byczek, and Julia Radwan-Pragłowska. 2025. "Preparation and Characterization of Mg-Based Biomaterials with Bioactive Surfaces Functionalized with EU/Gd NPs for Bone Tissue Regeneration Obtained via PEO Process" Coatings 15, no. 2: 124. https://doi.org/10.3390/coatings15020124
APA StyleKuźmiak, K., Janus, Ł., Sierakowska-Byczek, A., & Radwan-Pragłowska, J. (2025). Preparation and Characterization of Mg-Based Biomaterials with Bioactive Surfaces Functionalized with EU/Gd NPs for Bone Tissue Regeneration Obtained via PEO Process. Coatings, 15(2), 124. https://doi.org/10.3390/coatings15020124

