Optical Properties at 1550 nm of Ion-Beam Sputtered Silicon Nitride Thin Films
Abstract
1. Introduction
2. Materials and Methods
2.1. Substrates and Coatings
2.2. Spectrophotometry
2.3. Determination of Extinction Coefficient
3. Results
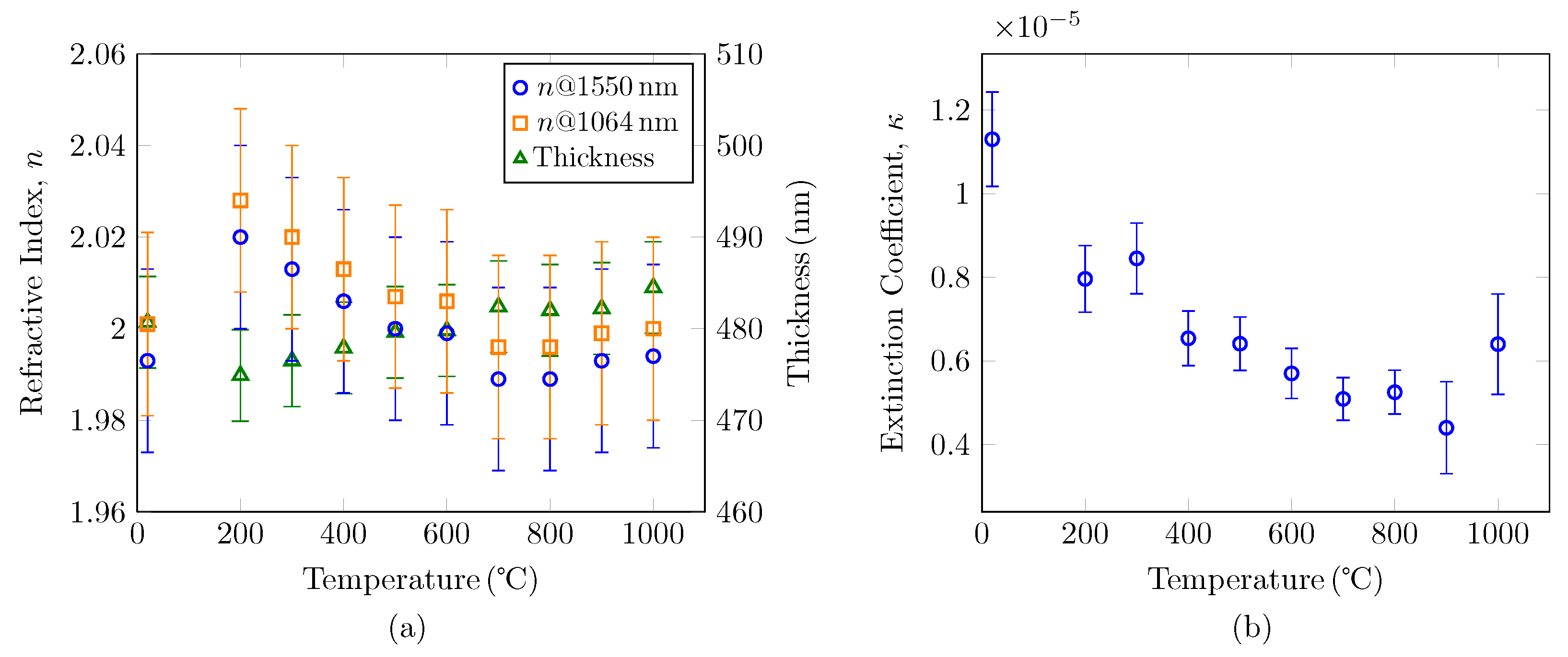
3.1. Refractive Index, Thickness and Energy Gap
3.2. Optical Absorption
4. Discussion and Prospect of Using IBS in Gravitational- Wave Detectors
4.1. Optical Absorption of an aSi and SiNx Coating
4.2. Thermal Noise of an aSi and SiN Coating
4.3. Absorption and Thermal Noise Trade Off
5. Summary and Conclusions
Author Contributions
Funding
Institutional Review Board Statement
Informed Consent Statement
Data Availability Statement
Acknowledgments
Conflicts of Interest
References
- Trageser, W. Näherungsweise Integration der Feldgleichungen der Gravitation. In Das Relativitätsprinzip: Eine Sammlung von Originalarbeiten zur Relativitätstheorie Einsteins; Trageser, W., Ed.; Springer: Berlin/Heidelberg, Germany, 2018; pp. 149–158. [Google Scholar] [CrossRef]
- Einstein, A. Über Gravitationswellen. In Albert Einstein: Akademie-Vorträge; John Wiley & Sons, Ltd.: Hoboken, NJ, USA, 2005; pp. 135–149. [Google Scholar] [CrossRef]
- Centrella, J.; Baker, J.G.; Kelly, B.J.; van Meter, J.R. Black-hole binaries, gravitational waves, and numerical relativity. Rev. Mod. Phys. 2010, 82, 3069–3119. [Google Scholar] [CrossRef]
- Lasky, P.D. Gravitational Waves from Neutron Stars: A Review. Publ. Astron. Soc. Aust. 2015, 32, e034. [Google Scholar] [CrossRef]
- Ott, C.D. The gravitational-wave signature of core-collapse supernovae. Class. Quantum Gravity 2009, 26, 063001. [Google Scholar] [CrossRef]
- Roshan, R.; White, G. Using gravitational waves to see the first second of the Universe. Rev. Mod. Phys. 2025, 97, 015001. [Google Scholar] [CrossRef]
- Cai, R.G.; Cao, Z.; Guo, Z.K.; Wang, S.J.; Yang, T. The gravitational-wave physics. Natl. Sci. Rev. 2017, 4, 687–706. [Google Scholar] [CrossRef]
- Abbott, B.P.; Abbott, R.; Abbott, T.D.; Abernathy, M.R.; Acernese, F.; Ackley, K.; Adams, C.; Adams, T.; Addesso, P.; Adhikari, R.X.; et al. Observation of Gravitational Waves from a Binary Black Hole Merger. Phys. Rev. Lett. 2016, 116, 061102. [Google Scholar] [CrossRef]
- Aasi, J.; Abbott, B.; Abbott, R.; Abbott, T.; Abernathy, M.; Ackley, K.; Adams, C.; Adams, T.; Addesso, P.; Adhikari, R.; et al. Advanced LIGO. Class. Quantum Gravity 2015, 32, 074001. [Google Scholar] [CrossRef]
- Acernese, F.; Agathos, M.; Agatsuma, K.; Aisa, D.; Allemandou, N.; Allocca, A.; Amarni, J.; Astone, P.; Balestri, G.; Ballardin, G.; et al. Advanced Virgo: A second-generation interferometric gravitational wave detector. Class. Quantum Gravity 2015, 32, 024001. [Google Scholar] [CrossRef]
- Abbott, B.P.; Abbott, R.; Abbott, T.D.; Abraham, S.; Acernese, F.; Ackley, K.; Adams, C.; Adhikari, R.X.; Adya, V.B.; Affeldt, C.; et al. GWTC-1: A Gravitational-Wave Transient Catalog of Compact Binary Mergers Observed by LIGO and Virgo during the First and Second Observing Runs. Phys. Rev. X 2019, 9, 031040. [Google Scholar] [CrossRef]
- Abbott, R.; Abbott, T.D.; Abraham, S.; Acernese, F.; Ackley, K.; Adams, A.; Adams, C.; Adhikari, R.X.; Adya, V.B.; Affeldt, C.; et al. GWTC-2: Compact Binary Coalescences Observed by LIGO and Virgo during the First Half of the Third Observing Run. Phys. Rev. X 2021, 11, 021053. [Google Scholar] [CrossRef]
- Abbott, R.; Abbott, T.D.; Acernese, F.; Ackley, K.; Adams, C.; Adhikari, N.; Adhikari, R.X.; Adya, V.B.; Affeldt, C.; Agarwal, D.; et al. GWTC-2.1: Deep extended catalog of compact binary coalescences observed by LIGO and Virgo during the first half of the third observing run. Phys. Rev. D 2024, 109, 022001. [Google Scholar] [CrossRef]
- Abbott, R.; Abbott, T.D.; Acernese, F.; Ackley, K.; Adams, C.; Adhikari, N.; Adhikari, R.X.; Adya, V.B.; Affeldt, C.; Agarwal, D.; et al. GWTC-3: Compact Binary Coalescences Observed by LIGO and Virgo during the Second Part of the Third Observing Run. Phys. Rev. X 2023, 13, 041039. [Google Scholar] [CrossRef]
- Saulson, P.R. Fundamentals of Interferometric Gravitational Wave Detectors, 2nd ed.; World Scientific: Singapore, 2017. [Google Scholar] [CrossRef]
- Harry, G.M.; Armandula, H.; Black, E.; Crooks, D.R.M.; Cagnoli, G.; Hough, J.; Murray, P.; Reid, S.; Rowan, S.; Sneddon, P.; et al. Thermal noise from optical coatings in gravitational wave detectors. Appl. Opt. 2006, 45, 1569–1574. [Google Scholar] [CrossRef] [PubMed]
- Hong, T.; Yang, H.; Gustafson, E.K.; Adhikari, R.X.; Chen, Y. Brownian thermal noise in multilayer coated mirrors. Phys. Rev. D 2013, 87, 082001. [Google Scholar] [CrossRef]
- Punturo, M.; Abernathy, M.; Acernese, F.; Allen, B.; Andersson, N.; Arun, K.; Barone, F.; Barr, B.; Barsuglia, M.; Beker, M.; et al. The Einstein Telescope: A third-generation gravitational wave observatory. Class. Quantum Gravity 2010, 27, 194002. [Google Scholar] [CrossRef]
- ET Design Report Update 2020. ET Docs Code: ET-0007C-20. Available online: https://apps.et-gw.eu/tds/?r=18715 (accessed on 1 September 2025).
- Adhikari, R.X.; Arai, K.; Brooks, A.F.; Wipf, C.; Aguiar, O.; Altin, P.; Barr, B.; Barsotti, L.; Bassiri, R.; Bell, A.; et al. A cryogenic silicon interferometer for gravitational-wave detection. Class. Quantum Gravity 2020, 37, 165003. [Google Scholar] [CrossRef]
- Puppo, P.; Ricci, F. Cryogenics and Einstein Telescope. Gen. Relativ. Gravit. 2011, 43, 657–669. [Google Scholar] [CrossRef]
- Granata, M.; Amato, A.; Balzarini, L.; Canepa, M.; Degallaix, J.; Forest, D.; Dolique, V.; Mereni, L.; Michel, C.; Pinard, L.; et al. Amorphous optical coatings of present gravitational-wave interferometers. Class. Quantum Gravity 2020, 37, 095004. [Google Scholar] [CrossRef]
- Martin, I.; Armandula, H.; Comtet, C.; Fejer, M.M.; Gretarsson, A.; Harry, G.; Hough, J.; Mackowski, J.M.M.; MacLaren, I.; Michel, C.; et al. Measurements of a low-temperature mechanical dissipation peak in a single layer of Ta2O5 doped with TiO2. Class. Quantum Gravity 2008, 25, 055005. [Google Scholar] [CrossRef]
- Martin, I.W.; Chalkley, E.; Nawrodt, R.; Armandula, H.; Bassiri, R.; Comtet, C.; Fejer, M.M.; Gretarsson, A.; Harry, G.; Heinert, D.; et al. Comparison of the temperature dependence of the mechanical dissipation in thin films of Ta2O5 and Ta2O5 doped with TiO2. Class. Quantum Gravity 2009, 26, 155012. [Google Scholar] [CrossRef]
- Martin, I.W.; Bassiri, R.; Nawrodt, R.; Fejer, M.M.; Gretarsson, A.; Gustafson, E.; Harry, G.; Hough, J.; MacLaren, I.; Penn, S.; et al. Effect of heat treatment on mechanical dissipation in Ta2O5 coatings. Class. Quantum Gravity 2010, 27, 225020. [Google Scholar] [CrossRef]
- Tsai, D.S.; Huang, Z.L.; Chang, W.C.; Chao, S. Amorphous silicon nitride deposited by an NH3-free plasma enhanced chemical vapor deposition method for the coatings of the next generation laser interferometer gravitational waves detector. Class. Quantum Gravity 2022, 39, 15LT01. [Google Scholar] [CrossRef]
- Murray, P.G.; Martin, I.W.; Craig, K.; Hough, J.; Robie, R.; Rowan, S.; Abernathy, M.R.; Pershing, T.; Penn, S. Ion-beam sputtered amorphous silicon films for cryogenic precision measurement systems. Phys. Rev. D 2015, 92, 062001. [Google Scholar] [CrossRef]
- Liu, X.; White, B.E., Jr.; Pohl, R.O.; Iwanizcko, E.; Jones, K.M.; Mahan, A.H.; Nelson, B.N.; Crandall, R.S.; Veprek, S. Amorphous Solid without Low Energy Excitations. Phys. Rev. Lett. 1997, 78, 4418–4421. [Google Scholar] [CrossRef]
- Liu, X.; Metcalf, T.H.; Wang, Q.; Photiadis, D.M. Elastic Properties of Several Silicon Nitride Films. MRS Online Proc. Libr. 2007, 989, 1946–4274. [Google Scholar] [CrossRef]
- Terkowski, L.; Martin, I.W.; Axmann, D.; Behrendsen, M.; Pein, F.; Bell, A.; Schnabel, R.; Bassiri, R.; Fejer, M.M.; Hough, J.; et al. Influence of deposition parameters on the optical absorption of amorphous silicon thin films. Phys. Rev. Res. 2020, 2, 033308. [Google Scholar] [CrossRef]
- Molina-Ruiz, M.; Markosyan, A.; Bassiri, R.; Fejer, M.M.; Abernathy, M.; Metcalf, T.H.; Liu, X.; Vajente, G.; Ananyeva, A.; Hellman, F. Hydrogen-Induced Ultralow Optical Absorption and Mechanical Loss in Amorphous Silicon for Gravitational-Wave Detectors. Phys. Rev. Lett. 2023, 131, 256902. [Google Scholar] [CrossRef]
- Steinlechner, J.; Martin, I.W.; Bassiri, R.; Bell, A.; Fejer, M.M.; Hough, J.; Markosyan, A.; Route, R.K.; Rowan, S.; Tornasi, Z. Optical absorption of ion-beam sputtered amorphous silicon coatings. Phys. Rev. D 2016, 93, 062005. [Google Scholar] [CrossRef]
- Ray, S.K.; Das, S.; Maiti, C.K.; Lahiri, S.K.; Chakraborti, N.B. Effect of reactive-ion bombardment on the properties of silicon nitride and oxynitride films deposited by ion-beam sputtering. J. Appl. Phys. 1994, 75, 8145–8152. [Google Scholar] [CrossRef]
- Amato, A.; Bazzan, M.; Cagnoli, G.; Canepa, M.; Coulon, M.; Degallaix, J.; Demos, N.; Di Michele, A.; Evans, M.; Fabrizi, F.; et al. Development of ion-beam sputtered silicon nitride thin films for low-noise mirror coatings of gravitational-wave detectors. Phys. Rev. D 2025, 111, 042003. [Google Scholar] [CrossRef]
- Wallace, G.S.; Yaala, M.B.; Tait, S.C.; Vajente, G.; McCanny, T.; Clark, C.; Gibson, D.; Hough, J.; Martin, I.W.; Rowan, S.; et al. Non-stoichiometric silicon nitride for future gravitational wave detectors. Class. Quantum Gravity 2024, 41, 095005. [Google Scholar] [CrossRef]
- Steinlechner, J.; Martin, I.W.; Bell, A.S.; Hough, J.; Fletcher, M.; Murray, P.G.; Robie, R.; Rowan, S.; Schnabel, R. Silicon-Based Optical Mirror Coatings for Ultrahigh Precision Metrology and Sensing. Phys. Rev. Lett. 2018, 120, 263602. [Google Scholar] [CrossRef] [PubMed]
- Winkler, W.; Danzmann, K.; Rüdiger, A.; Schilling, R. Heating by optical absorption and the performance of interferometric gravitational-wave detectors. Phys. Rev. A 1991, 44, 7022–7036. [Google Scholar] [CrossRef] [PubMed]
- Pinard, L.; Michel, C.; Sassolas, B.; Balzarini, L.; Degallaix, J.; Dolique, V.; Flaminio, R.; Forest, D.; Granata, M.; Lagrange, B.; et al. Mirrors used in the LIGO interferometers for first detection of gravitational waves. Appl. Opt. 2017, 56, C11–C15. [Google Scholar] [CrossRef] [PubMed]
- Fang, S.; Lu, Z.; Ji, X.; Jiao, H.; Cheng, X.; Wang, Z.; Zhang, J. High-performance hydrogenated amorphous silicon deposited by ion-beam sputtering for gravitational-wave detectors. Phys. Rev. D 2023, 108, 062002. [Google Scholar] [CrossRef]
- Pan, H.W.; Kuo, L.C.; Huang, S.Y.; Wu, M.Y.; Juang, Y.H.; Lee, C.W.; Chen, H.C.; Wen, T.T.; Chao, S. Silicon nitride films fabricated by a plasma-enhanced chemical vapor deposition method for coatings of the laser interferometer gravitational wave detector. Phys. Rev. D 2018, 97, 022004. [Google Scholar] [CrossRef]
- Southworth, D.R.; Barton, R.A.; Verbridge, S.S.; Ilic, B.; Fefferman, A.D.; Craighead, H.G.; Parpia, J.M. Stress and Silicon Nitride: A Crack in the Universal Dissipation of Glasses. Phys. Rev. Lett. 2009, 102, 225503. [Google Scholar] [CrossRef]
- Ziegler, J.F. SRIM-2003. Nucl. Instruments Methods Phys. Res. Sect. Beam Interact. Mater. Atoms 2004, 219–220, 1027–1036. [Google Scholar] [CrossRef]
- Sellmeier. Zur Erklärung der abnormen Farbenfolge im Spectrum einiger Substanzen. Ann. Phys. 1871, 219, 272–282. [Google Scholar] [CrossRef]
- Malitson, I.H. Interspecimen Comparison of the Refractive Index of Fused Silica. J. Opt. Soc. Am. 1965, 55, 1205–1209. [Google Scholar] [CrossRef]
- Humbach, O.; Fabian, H.; Grzesik, U.; Haken, U.; Heitmann, W. Analysis of OH absorption bands in synthetic silica. J.-Non-Cryst. Solids 1996, 203, 19–26. [Google Scholar] [CrossRef]
- O’Leary, S.K.; Johnson, S.R.; Lim, P.K. The relationship between the distribution of electronic states and the optical absorption spectrum of an amorphous semiconductor: An empirical analysis. J. Appl. Phys. 1997, 82, 3334–3340. [Google Scholar] [CrossRef]
- Tauc, J. Amorphous and Liquid Semiconductors; Springer Science & Business Media: Berlin/Heidelberg, Germany, 2012. [Google Scholar]
- Cauchy, A.L. Sur la réfraction et la réflexion de la lumière. In Oeuvres Complètes: Series 2; Cambridge Library Collection—Mathematics; Cambridge University Press: Cambridge, UK, 2009; pp. 151–157. [Google Scholar] [CrossRef]
- Amato, A.; Terreni, S.; Dolique, V.; Forest, D.; Gemme, G.; Granata, M.; Mereni, L.; Michel, C.; Pinard, L.; Sassolas, B.; et al. Optical properties of high-quality oxide coating materials used in gravitational-wave advanced detectors. J. Phys. Mater. 2019, 2, 035004. [Google Scholar] [CrossRef]
- Urbach, F. The Long-Wavelength Edge of Photographic Sensitivity and of the Electronic Absorption of Solids. Phys. Rev. 1953, 92, 1324. [Google Scholar] [CrossRef]
- Pan, Y.; Inam, F.; Zhang, M.; Drabold, D.A. Atomistic Origin of Urbach Tails in Amorphous Silicon. Phys. Rev. Lett. 2008, 100, 206403. [Google Scholar] [CrossRef]
- Robertson, J. Electronic Structure of Defects in Amorphous Silicon Nitride. MRS Online Proc. Libr. 1992, 284, 65–76. [Google Scholar] [CrossRef]
- Franta, D.; Nečas, D.; Ohlídal, I.; Giglia, A. Dispersion model for optical thin films applicable in wide spectral range. In Proceedings of the Optical Systems Design 2015: Optical Fabrication, Testing, and Metrology V, Jena, Germany, 7–10 September 2015; Duparré, A., Geyl, R., Eds.; International Society for Optics and Photonics, SPIE: Bellingham, WA, USA, 2015; 9628, p. 96281U. [Google Scholar] [CrossRef]
- de Marcos, L.V.R.; Larruquert, J.I. Analytic optical-constant model derived from Tauc-Lorentz and Urbach tail. Opt. Express 2016, 24, 28561–28572. [Google Scholar] [CrossRef]
- Ferlauto, A.S.; Ferreira, G.M.; Pearce, J.M.; Wronski, C.R.; Collins, R.W.; Deng, X.; Ganguly, G. Analytical model for the optical functions of amorphous semiconductors from the near-infrared to ultraviolet: Applications in thin film photovoltaics. J. Appl. Phys. 2002, 92, 2424–2436. [Google Scholar] [CrossRef]
- Alexandrovski, A.; Fejer, M.; Markosian, A.; Route, R. Photothermal common-path interferometry (PCI): New developments. In Proceedings of the Solid State Lasers XVIII: Technology and Devices, San Jose, CA, USA, 24–29 January 2009; Clarkson, W.A., Hodgson, N., Shori, R.K., Eds.; International Society for Optics and Photonics, SPIE: Bellingham, WA, USA, 2009; 7193, p. 71930D. [Google Scholar] [CrossRef]
- Bauer, J. Optical properties, band gap, and surface roughness of Si3N4. Phys. Status Solidi A 1977, 39, 411–418. [Google Scholar] [CrossRef]
- Bruyere, J.C.; Savall, C.; Reynes, B.; Brunel, M.; Ortega, L. Density of as-deposited and annealed thin silicon nitride films. J. Phys. Appl. Phys. 1993, 26, 713. [Google Scholar] [CrossRef]
- Jiang, W.; Xu, D.; Yao, S.; Xiong, B.; Wang, Y. Effect of hyperthermal annealing on LPCVD silicon nitride. Mater. Sci. Semicond. Process. 2016, 43, 222–229. [Google Scholar] [CrossRef]
- Fourrier, A.; Bosseboeuf, A.; Daniel Bouchier, D.B.; Guy Gautherin, G.G. Annealing Effect on Mechanical Stress in Reactive Ion-Beam Sputter-Deposited Silicon Nitride Films. Jpn. J. Appl. Phys. 1991, 30, 1469. [Google Scholar] [CrossRef]
- Abernathy, M.R.; Reid, S.; Chalkley, E.; Bassiri, R.; Martin, I.W.; Evans, K.; Fejer, M.M.; Gretarsson, A.; Harry, G.M.; Hough, J.; et al. Cryogenic mechanical loss measurements of heat-treated hafnium dioxide. Class. Quantum Gravity 2011, 28, 195017. [Google Scholar] [CrossRef]
- Robie, R.R. Characterisation of the Mechanical Properties of Thin-Film Mirror Coating Materials for Use in Future Interfero-Metric Gravitational Wave Detectors. Ph.D. Thesis, University of Glasgow, Glasgow, UK, 2018. Available online: https://theses.gla.ac.uk/30645/ (accessed on 1 September 2025).
- Granata, M.; Craig, K.; Cagnoli, G.; Carcy, C.; Cunningham, W.; Degallaix, J.; Flaminio, R.; Forest, D.; Hart, M.; Hennig, J.S.; et al. Cryogenic measurements of mechanical loss of high-reflectivity coating and estimation of thermal noise. Opt. Lett. 2013, 38, 5268–5271. [Google Scholar] [CrossRef] [PubMed]
- Birney, I.A.; Steinlechner, J.; Tornasi, Z.; MacFoy, S.; Vine, D.; Bell, A.S.; Gibson, D.; Hough, J.; Rowan, S.; Sortais, P.; et al. Amorphous Silicon with Extremely Low Absorption: Beating Thermal Noise in Gravitational Astronomy. Phys. Rev. Lett. 2018, 121, 191101. [Google Scholar] [CrossRef] [PubMed]
- Amato, A. Low Thermal Noise Coating for New Generation Gravitational-Wave Detectors. Ph.D. Thesis, Université de Lyon, Lyon, France, 2019. [Google Scholar]
- Abernathy, M.R. Mechanical Properties of Coating Materials for Use in the Mirrors of Interferometric Gravitational Wave Detectors. Ph.D. Thesis, University of Glasgow, Glasgow, UK, 2012. [Google Scholar]
- Freund, L.; Suresh, S. Thin Film Materials: Stress, Defect Formation and Surface Evolution; Cambridge University Press: Cambridge, UK, 2004. [Google Scholar]
- Steinlechner, J.; Martin, I.W.; Hough, J.; Krüger, C.; Rowan, S.; Schnabel, R. Thermal noise reduction and absorption optimization via multimaterial coatings. Phys. Rev. D 2015, 91, 042001. [Google Scholar] [CrossRef]
- Bamber, M.; Cooke, K.; Mann, A.; Derby, B. Accurate determination of Young’s modulus and Poisson’s ratio of thin films by a combination of acoustic microscopy and nanoindentation. Thin Solid Films 2001, 398–399, 299–305. [Google Scholar] [CrossRef]
- Frey, B.J.; Leviton, D.B.; Madison, T.J. Temperature-dependent refractive index of silicon and germanium. In Proceedings of the Optomechanical Technologies for Astronomy, Orlando, FL, USA, 24–31 May 2006; Atad-Ettedgui, E., Antebi, J., Lemke, D., Eds.; International Society for Optics and Photonics, SPIE: Bellingham, WA, USA, 2006; 6273, p. 62732J. [Google Scholar] [CrossRef]
- Cho, C.H. Characterization of Young’s modulus of silicon versus temperature using a “beam deflection” method with a four-point bending fixture. Curr. Appl. Phys. 2009, 9, 538–545. [Google Scholar] [CrossRef]
- Yam, W.; Gras, S.; Evans, M. Multimaterial coatings with reduced thermal noise. Phys. Rev. D 2015, 91, 042002. [Google Scholar] [CrossRef]
- Pierro, V.; Fiumara, V.; Chiadini, F.; Granata, V.; Durante, O.; Neilson, J.; Di Giorgio, C.; Fittipaldi, R.; Carapella, G.; Bobba, F.; et al. Ternary quarter wavelength coatings for gravitational wave detector mirrors: Design optimization via exhaustive search. Phys. Rev. Res. 2021, 3, 023172. [Google Scholar] [CrossRef]
- Charifi, H.; Slaoui, A.; Stoquert, J.P.; Chaib, H.; Hannour, A. Opto-Structural Properties of Silicon Nitride Thin Films Deposited by ECR-PECVD. World J. Condens. Matter Phys. 2016, 6, 7–16. [Google Scholar] [CrossRef]



| T | n (1550 nm) a | n (1064 nm) a | t a | (1550 nm) |
|---|---|---|---|---|
| °C | nm | |||
| 20 | 1.99 | 2.00 | 481 | 11.30 ± 1.13 |
| 200 | 2.02 | 2.03 | 475 | 7.96 ± 0.79 |
| 300 | 2.01 | 2.02 | 476 | 8.45 ± 0.85 |
| 400 | 2.01 | 2.01 | 478 | 6.54 ± 0.65 |
| 500 | 2.00 | 2.01 | 480 | 6.41 ± 0.64 |
| 600 | 2.00 | 2.01 | 480 | 5.70 ± 0.62 |
| 700 | 1.99 | 2.00 | 482 | 5.09 ± 0.51 |
| 800 | 1.99 | 2.00 | 482 | 5.25 ± 0.52 |
| 900 | 1.99 | 2.00 | 482 | 4.40 ± 1.08 |
| 1000 | 1.99 | 2.00 | 485 | 6.40 ± 1.19 |
| Material | Y | |||||
|---|---|---|---|---|---|---|
| (°C) | (GPa) | |||||
| SiN | 6.54 a | 2.01 a | 4.15 b [65] | 400 | 250 [65] | 0.24 [65] |
| a-Si | 12.2 [64] | 3.39 c | 0.17 [64] | 400 | 147 [66] | 0.22 [67] |
| 0.28 d [68] | 1.45 [49] | 8.5 [62] | 500 | 72 [69] | 0.17 [69] | |
| 0.28 d [68] | 2.05 [54] | 5.0 [25] | 500 | 121 [22] | 0.29 [22] | |
| cSi | – | 3.45 [70] | – | – | 130 [71] | 0.28 [71] |
Disclaimer/Publisher’s Note: The statements, opinions and data contained in all publications are solely those of the individual author(s) and contributor(s) and not of MDPI and/or the editor(s). MDPI and/or the editor(s) disclaim responsibility for any injury to people or property resulting from any ideas, methods, instructions or products referred to in the content. |
© 2025 by the authors. Licensee MDPI, Basel, Switzerland. This article is an open access article distributed under the terms and conditions of the Creative Commons Attribution (CC BY) license (https://creativecommons.org/licenses/by/4.0/).
Share and Cite
Diksha; Amato, A.; Maggioni, G.; Michel, C.; Hofman, D.; Granata, M.; Steinlechner, J. Optical Properties at 1550 nm of Ion-Beam Sputtered Silicon Nitride Thin Films. Coatings 2025, 15, 1465. https://doi.org/10.3390/coatings15121465
Diksha, Amato A, Maggioni G, Michel C, Hofman D, Granata M, Steinlechner J. Optical Properties at 1550 nm of Ion-Beam Sputtered Silicon Nitride Thin Films. Coatings. 2025; 15(12):1465. https://doi.org/10.3390/coatings15121465
Chicago/Turabian StyleDiksha, Alex Amato, Gianluigi Maggioni, Christophe Michel, David Hofman, Massimo Granata, and Jessica Steinlechner. 2025. "Optical Properties at 1550 nm of Ion-Beam Sputtered Silicon Nitride Thin Films" Coatings 15, no. 12: 1465. https://doi.org/10.3390/coatings15121465
APA StyleDiksha, Amato, A., Maggioni, G., Michel, C., Hofman, D., Granata, M., & Steinlechner, J. (2025). Optical Properties at 1550 nm of Ion-Beam Sputtered Silicon Nitride Thin Films. Coatings, 15(12), 1465. https://doi.org/10.3390/coatings15121465

