Next Article in Journal
Buried Interface Modification Using Diammonium Ligand Enhances Mechanical Durability of Flexible Perovskite Solar Cells
Previous Article in Journal
Investigation of the Interface Diffusion Layer’s Impact on the Thermal Cycle Life of PS-PVD Thermal Barrier Coatings
Previous Article in Special Issue
Numerical Simulation and Experimental Study of Deposition Behavior for Cold Sprayed Dual Nano HA/30 wt.% Ti Composite Particle
 
 
Font Type:
Arial Georgia Verdana
Font Size:
Aa Aa Aa
Line Spacing:
Column Width:
Background:
Article

Machine-Learning-Driven Optimization of Cold Spray Process Parameters: Robust Inverse Analysis for Higher Deposition Efficiency

Department of Mechanical and Materials Engineering, Florida International University, Miami, FL 33174, USA
*
Authors to whom correspondence should be addressed.
Coatings 2025, 15(1), 12; https://doi.org/10.3390/coatings15010012
Submission received: 10 November 2024 / Revised: 17 December 2024 / Accepted: 25 December 2024 / Published: 26 December 2024

Abstract

Cold spray technology has become essential for industries requiring efficient material deposition, yet achieving optimal deposition efficiency (DE) presents challenges due to complex interactions among process parameters. This study developed a two-stage machine learning (ML) framework incorporating Bayesian optimization to address these challenges. In the first stage, a classification model predicted the occurrence of deposition, while the second stage used a regression model to forecast DE values given deposition presence. The approach was validated on Aluminum 6061 data, demonstrating its capability to accurately predict DE and identify optimal process parameters for target efficiencies. Model interpretability was enhanced with SHAP analysis, which identified gas temperature and gas type as primary factors affecting DE. Scenario-based inverse analysis further validated the framework by comparing model-predicted parameters to literature data, revealing high accuracy in replicating real-world conditions. Notably, substituting hydrogen as the gas carrier reduced the required gas temperature and pressure for high DE values, suggesting economic and operational benefits over helium and nitrogen. This study demonstrates the effectiveness of AI-driven solutions in optimizing cold spray processes, contributing to more efficient and practical approaches in material deposition.

1. Introduction

Cold spray technology is a solid-state deposition process in which metallic or composite powders are accelerated through a supersonic gas stream and deposited onto a substrate at high supersonic velocities [1,2,3]. Operating at temperatures below the feedstock’s melting point, solid-state cold spray maintains critical material properties like electrical conductivity and mechanical strength, making it suitable for industries such as aerospace, automotive, and electronics for applications in coating, repair, and additive manufacturing [4,5,6]. Compared to traditional deposition methods, cold spray offers unique advantages. While thermal spray processes operate at high temperatures causing potential material degradation, and electroplating is limited to conductive materials and thin coatings [7], cold spray’s solid-state process achieves high deposition efficiency (DE) while preserving material properties. A primary performance metric in cold spray is DE, the ratio of deposited material to total feedstock used, which is essential for cost-effectiveness and process optimization. Achieving high DE, however, is challenging due to complex interactions among process parameters, including gas type, pressure, temperature, nozzle geometry, and material type [8,9,10]. Among these parameters, selecting an appropriate carrier gas is vital for maximizing DE and minimizing costs. Common carrier gases in cold spray include air, nitrogen, and helium, with helium often preferred due to its high sonic velocity, which, attributed to its low atomic weight, promotes greater plastic deformation and density in the deposited particles. Expanding on conventional options, a computational study by R.P. Singh et al. [11] explored hydrogen’s potential as a carrier gas. Using computational fluid dynamics (CFD) and Taguchi methods, Singh’s study demonstrated that hydrogen’s lower atomic weight enables even higher particle velocities compared to conventional gases, suggesting that hydrogen could offer a cost-effective means to improve deposition performance in cold spray applications. Therefore, selecting the optimum parameters must be performed critically to ensure both efficiency, cost effectiveness and quality in the deposition process.
Traditionally, DE optimization has relied on trial-and-error experimentation, which is resource-intensive, time-consuming, and impractical for scalable, high-speed industrial applications [12]. Recent studies have explored the effects of cold spray parameters on DE, utilizing empirical and computational approaches. For example, Venkatachalapathy et al. [13] presented a data-driven framework for process optimization in thermal spraying, highlighting factors like equipment selection and gas type, which contribute to a “right-first-time” manufacturing approach. Other studies, such as those by Koivuluoto et al. [14], Silvello et al. [15], and Klinkov et al. [16], have shown that particle velocity, traverse speed, powder characteristics, pressure, and temperature significantly impact coating quality, stressing the need for precise parameter control in cold spray processes.
Machine learning (ML) has emerged as a powerful tool in cold spray optimization, providing data-driven insights to predict deposition outcomes. Models such as random forest (RF), extreme gradient boosting (XGB), and artificial neural network (ANN) have shown high accuracy in predicting specific deposition characteristics like porosity and critical velocity [17,18,19]. Furthermore, advanced ML techniques, including expectation-maximization (EM) and SHapley Additive exPlanations (SHAP), have been applied to understand residual stress distribution and optimize powder flowability, underscoring ML’s capacity to manage complex, multi-parameter interactions in cold spray [20,21].
Our study builds on these advancements by introducing a two-stage ML model that combines classification and regression to accurately predict DE based on process parameters. Additionally, Bayesian optimization enables inverse analysis, allowing for the systematic exploration of the parameter space and identification of configurations tailored to target DE values. A summary of recent studies employing ML models to optimize cold spray parameters is presented in Table 1.

2. Materials and Methods

2.1. Dataset

This section presents the dataset used to develop ML models aimed at optimizing DE through key process parameters in cold spray applications. The calculation of DE is detailed, providing a key metric to indicate the ratio of deposited material to total feedstock used. Additionally, data collection and preprocessing steps are covered, explaining how critical parameters were incorporated and prepared for modeling.

2.1.1. Deposition Efficiency Calculation

DE is a key performance metric in cold spray processes, representing the ratio of the material successfully deposited onto the substrate to the total feedstock used. It is typically calculated as the percentage of deposited mass relative to the mass of the initial powder fed into the system. DE can be expressed as follows:
D E = m c m p   ×   100 %
where m c is the mass of the coating deposited on the substrate, and m p is the mass of the powder that was used during the cold spray process. A higher DE indicates a more efficient use of material, which is essential for cost-effectiveness and process optimization in industrial applications. DE is influenced by various process parameters, including gas pressure, temperature, nozzle geometry, and particle velocity. Small changes in these parameters can significantly impact DE, making its precise calculation and optimization crucial for achieving desired coating properties and minimizing waste in cold spray applications.

2.1.2. Data Collection and Preprocessing

To develop robust ML models for optimizing process parameters in cold spray deposition, a substantial dataset is essential. Acquiring such data through experimental means is challenging and time-intensive. To overcome this, we utilized the software package KSS® (Kinetic Spray Solutions, Buchholz in der Nordheide, Germany), which provides synthetic data through numerical simulations. These simulations incorporate critical process parameters to approximate real-world outcomes effectively, producing data suitable for ML training and analysis. The KSS simulation requires essential cold spray process parameters, including nozzle geometry (equipment configuration), process gas properties (type, temperature, and pressure), and powder characteristics (size and mechanical properties). These variable features collectively converge to generate output characteristics, such as the particle velocity ratio and DE.
For our study, the simulation input parameters were classified into variable and constant categories. The variable parameters, which influence deposition outcomes most significantly, include gas type, gas temperature, gas pressure, and nozzle configuration. To capture a comprehensive range of effects, these parameters were varied systematically over a wide range, as detailed in Table 2. Gas types included air, nitrogen, helium, and hydrogen. Gas temperatures spanned from 100 °C to 800 °C, in 50 °C increments, allowing for fine-grained control over particle acceleration and deposition outcomes. Pressure values ranged from 5 to 60 bar, incremented by 5 bar, to simulate varying propulsion forces. Nozzle geometries with throat diameters of 1.5, 1.75, and 2 mm were used, consistent with PBI nozzle designs from our VRC Metal Systems machine. The material considered in this study was Aluminum 6061, chosen for its relevance in industrial applications, compatibility with cold spray processes, and availability of literature data for validation. A total of 2160 datasets were generated by systematically enumerating these variable combinations in KSS, creating a rich dataset for training ML models. This dataset enables the exploration of parameter interactions and their impact on DE, an essential factor for model accuracy and predictive reliability. Certain parameters were kept constant in these simulations to isolate the effects of the primary variables. These constant parameters included powder feeder settings, the strength of powder, and powder particle size. The specific values used are built into the KSS software, ensuring consistent baseline conditions for each simulation.
The DE in the dataset is initially recorded as a continuous variable. To facilitate classification into instances with no DE and those with some DE, a new binary column, termed binary DE, was introduced. This column categorizes DE into two classes: 0 and 1. More details on this conversion are provided in the following section. The gas type attribute is originally a categorical variable, with four instances used in this study: air, helium, hydrogen, and nitrogen. To convert this attribute into a numerical format suitable for ML algorithms, one-hot encoding was applied.

2.2. Two-Stage Machine Learning Model

This study developed a two-stage ML model for predicting DE in cold spray process. The first stage classifies the likelihood of deposition, while the second stage applies regression to predict the specific DE. This combined approach is presented in the following sections, providing a comprehensive analysis of deposition occurrence and quality.

2.2.1. Stage 1: Classification Model

The first stage of the two-stage ML model focuses on classifying whether deposition will occur based on the input process parameters. This classification step provides a foundation for further analysis in predicting DE in the next stage.
Multiple ML models were explored and evaluated to determine the best-performing model for predicting deposition occurrence in the cold spray process. Models such as support vector machines (SVMs), random forest (RF), AdaBoost (AB), and other (up to 14 ML models) were tested and ranked based on their performance across several classification metrics, including accuracy, area under the curve (AUC), recall, precision, F1-score, Cohen’s Kappa, and Matthews correlation coefficient (MCC). The training process for the classification model was conducted using the collected dataset of process parameters and corresponding DE values. To prepare the data for the classification task, the DE values were transformed into a binary dataset by applying a threshold: DE values below 10% were labeled as “no deposition” (or 0 for binary), while DE values equal to or greater than 10% were labeled as “deposited” (or 1 for binary). This transformation allowed the model to focus on predicting the occurrence of deposition rather than specific DE values. The dataset was then split into training and validation sets (80% and 20%, respectively). During training, the model was optimized to minimize misclassifications using metrics such as accuracy, precision, and recall. Hyperparameters for each model were fine-tuned using K-fold cross-validation (CV) (using 10 folds) to improve performance, and the validation set was used to evaluate the model’s ability to predict deposition under new, unobserved conditions.

2.2.2. Stage 2: Regression Model

The second stage of the two-stage ML model is focused on predicting the specific DE value when deposition has been classified as occurring. This regression step builds on the output of the classification model and provides a more detailed analysis of how process parameters influence the exact DE value, crucial for optimizing the cold spray process.
Multiple regression models were evaluated to determine the best-performing model for predicting DE, including the extra rrees (ET) regressor, random forest (RF) regressor, decision tree (DT) regressor, and several others (Table 3). These models were ranked based on performance metrics (mean absolute error (MAE), mean squared error (MSE), root mean squared error (RMSE), R-squared (R2), root mean squared logarithmic error (RMSLE), and mean absolute percentage error (MAPE)). The training process for the regression model was based on the same dataset used in the classification stage, focusing only on instances where deposition was predicted to occur. The DE values were used as the continuous target variable. The dataset was divided into training and test sets to ensure model generalization (80% and 20%, respectively). K-fold CV with 10 folds was employed to fine-tune the hyperparameters and prevent overfitting. The validation set was then used to assess the model’s ability to predict DE values for unseen data accurately, providing a solid foundation for the subsequent inverse analysis stage.

2.3. Forward Approach

The forward approach in this study involves the integration of both stages of the two-stage ML model to predict DE based on the input process parameters (Figure 1). In the first stage, the classification model determines whether deposition will occur under the given conditions, using parameters such as nozzle diameter, gas type, gas pressure, and gas temperature. If deposition is predicted, the model proceeds to the second stage, where the regression model estimates the specific DE value.
By combining these two stages, the forward approach enables the model to first assess the feasibility of deposition and then provide a more granular prediction of DE. This step-by-step method ensures that computational resources are allocated efficiently, focusing regression efforts only on cases where deposition is expected to occur. The integration of classification and regression thus allows for more accurate predictions of DE, facilitating optimization of the cold spray process parameters for improved material deposition outcomes.

2.4. Bayesian Optimization for Inverse Analysis

Bayesian optimization is a technique for optimizing complex, black-box functions that are expensive to evaluate, making it ideal for the inverse analysis of cold spray process parameters. In this context, the goal is to find the optimal set of process parameters (such as gas pressure, temperature, nozzle diameter, and gas type) that result in a target DE. The approach begins by defining an objective function, which, in this case, is the difference between the predicted DE from the two-stage ML model and the desired DE.
E r r o r = D E d e s i r e d D E p r e d i c t e d
where E r r o r is the error to minimize, D E d e s i r e d is the desired DE, and D E p r e d i c t e d is the predicted DE by the regression model.
The optimization process iteratively explored the parameter space by evaluating the objective function at different parameter combinations (Figure 2). Bayesian optimization, utilizing a probabilistic model (Gaussian process), estimated the function’s behavior and guided the search toward areas likely to yield better solutions. This approach minimized the number of evaluations required while improving prediction accuracy. At each step, the acquisition function selected the next set of parameters to evaluate, balancing exploration (searching new areas of the parameter space) with exploitation (focusing on promising areas). The process continued until the optimal parameter set was identified, defined as the set that minimized the difference between the predicted and desired DE. This method provided an efficient parameter-tuning framework for the cold spray process, reducing time and resources compared to traditional trial-and-error approaches.
Monte Carlo simulations were incorporated into the Bayesian optimization framework to account for uncertainties in cold spray process parameters. Gaussian noise was added to gas temperature and pressure values based on their standard deviations to simulate real-world variability. For each evaluation of the objective function, multiple predictions were generated with these perturbed parameter values, and the model computed the mean error across these predictions. This robust optimization approach ensured that the recommended parameters were resilient to fluctuations in actual operating conditions. By combining Bayesian optimization with Monte Carlo sampling, the model enhanced its ability to identify process parameters that achieved the target DE while remaining stable under potential variations in operational settings.

3. Results

This section evaluates the performance of the ML models in the two-stage approach, covering both classification and regression. First, we assess the classification model’s ability to predict deposition occurrence. Next, we examine the regression model’s accuracy in predicting specific DE values. Together, these assessments confirm the models’ suitability for real-world cold spray applications. Additionally, the combined forward approach, which integrates classification and regression stages, is evaluated to provide a cohesive view of the model’s DE prediction capabilities based on process parameters. The inverse analysis model is finally validated by comparing its predictions with ground truth data, and its utility in optimizing cold spray parameters for targeted DE outcomes is underscored.

3.1. Model Performance

In this section, we evaluate the performance of the ML models used in both stages of the two-stage approach. First, we assess the classification model’s accuracy in predicting the occurrence of deposition, focusing on classification metrics mentioned previously. Next, we analyze the regression model’s performance in predicting specific DE values, using key regression metrics to determine its predictive accuracy and robustness. The training time (TT) was added as an additional metric to evaluate the computational efficiency of each model.
Finally, the combined forward approach, which integrates both stages, is examined to provide a comprehensive view of the model’s capability to predict DE outcomes based on process parameters.

3.1.1. Evaluation of Classification Model Performance

The classification model’s performance was assessed using a variety of algorithms, validated through 10-fold CV to ensure robustness and minimize overfitting. This evaluation aimed to identify the most effective model for predicting deposition occurrence. Results indicate that several models, including logistic regression, DT, RF, AB, and GB classifiers, achieved highest performance, reaching perfect scores across key metrics such as accuracy, AUC, recall, precision, F1-score, Kappa, and MCC (Figure 3). The LGBM demonstrated near-perfect performance, with slight variations across metrics and a longer TT due to higher computational demands. Similarly, models like NB and ET exhibited strong performance, with high accuracy and alignment metrics close to unity, indicating reliable classification capabilities. Other algorithms, including K-neighbors, SVM, RC, and LDA, showed solid but slightly lower performance compared to the top-performing models. In contrast, the QDA and the Dummy Classifier demonstrated relatively lower performance, with the latter serving as a baseline, underscoring its limitations for deposition classification tasks.
Overall, the top-performing models provide a reliable foundation for the classification stage, ensuring accurate deposition predictions with minimal error, which is essential for the subsequent regression-based DE prediction. Among these models, RF was selected as the classification model due to its balanced combination of high accuracy, robustness, and computational efficiency. Its ensemble nature effectively manages data variability while minimizing overfitting, making it ideal for consistent deposition classification and supporting high-quality DE prediction in the regression stage.

3.1.2. Evaluation of Regression Model Performance

The regression model’s performance was evaluated across multiple algorithms using 10-fold CV to enhance robustness and minimize overfitting. Among the models, ensemble approaches such as the ET regressor and RF regressor demonstrated the best performance, achieving high predictive accuracy with low error rates and efficient TT values (Figure 4). The ET regressor emerged as the top model, offering a reliable balance of precision and computational efficiency, which made it ideal for DE prediction in this application. Other models, like DTR and LGBM, also showed strong results but with slightly higher error rates or TT. In contrast, algorithms such as GBR, AB, and various linear models exhibited lower predictive accuracy, indicating limitations in capturing the complex relationships between process parameters and DE.
The ET regressor was ultimately selected for this study due to its superior balance of predictive accuracy and efficiency, which aligns with the objective of optimizing cold spray parameters. Its ensemble structure effectively captures non-linear interactions, providing a robust foundation for the two-stage model to enhance DE prediction and overall process optimization.
The hyperparameters adopted for both the RF classifier model and the ET regressor are provided in Appendix A.
Figure 5 illustrates the variations in predicted DE obtained from the ET regressor model as a function of gas temperature (°C) and gas pressure (bar) for a fixed nozzle diameter of 2 mm, using three different carrier gases: nitrogen (N2), hydrogen (H2), and helium (He). The left panels showcase the 2D contour plots, while the right panels present the corresponding 3D surface plots for each gas type. The visualizations highlight the complex non-linear relationships between temperature, pressure, and DE, revealing distinct patterns for each gas.

3.1.3. Analysis of Combined Forward Approach

The combined forward approach integrates the classification and regression stages to provide a comprehensive solution for predicting deposition outcomes and specific DE values. In this approach, the classification model first predicts the occurrence of deposition based on key process parameters. Once deposition is confirmed, the regression model estimates the precise DE, allowing for a more detailed understanding of how different parameter settings affect deposition quality.
This layered approach enhances the accuracy and reliability of DE predictions by narrowing the scope of the regression stage to cases where deposition is likely, thereby minimizing unnecessary calculations and improving computational efficiency. The robust performance of both models, as shown through CV results, demonstrates that the forward approach successfully captures both the occurrence and quality of deposition in cold spray applications.
Given the RF classifier model’s strong performance with 10-fold CV in the earlier stage, 5-fold CV was applied in this analysis. The model’s robustness in handling variability ensures that reducing the number of folds does not significantly impact performance metrics, providing reliable results with fewer computations. Additionally, using 5-fold CV allows for a larger test set partition in each fold compared to 10-fold CV, offering more data for validation and potentially enhancing the reliability of performance estimates.
The classification model demonstrated strong performance, achieving an average accuracy of 98% across 5-fold CV. The analysis of the confusion matrices (Figure 6) reveals a slightly better predictive accuracy for class 1 (deposition occurs) compared to class 0 (no deposition). This discrepancy can be attributed to the class imbalance in the dataset, where instances of class 1 outnumber those of class 0. Despite this imbalance, the model consistently performs well in distinguishing between the two classes, indicating robustness and high reliability for deposition prediction in the forward approach.
The ET regressor, selected as the best-performing model in the previous regression analysis, was further evaluated using a 5-fold CV on the dataset filtered to include only instances where deposition occurred (post-classification data). The results demonstrate that the ETR consistently delivered high predictive accuracy across all folds, as illustrated by the high R2 values and low RMSE in each fold.
In each fold (Figure 7), the R2 values were 0.99–1, indicating a near-perfect fit between the predicted and actual values, showcasing the ETR’s capability to capture complex relationships within the process parameters and the DE values accurately. The RMSE values remained low across the folds, with values ranging from 1.52 to 1.85, suggesting minimal deviation from the actual values and underscoring the model’s reliability. These results confirm that the ETR is highly effective for predicting DE in instances where deposition occurs, reinforcing its suitability for optimizing cold spray process parameters.

3.2. Feature Importance and XAI Analysis

In the XAI analysis, SHAP was employed to provide insight into feature importance and interpretability within both the RF classifier and ET regressor. SHAP calculates the marginal contribution of each feature to a model’s prediction, allowing for a detailed understanding of how each feature impacts the model on both global and local levels.
In the classification model (Figure 8a), gas temperature emerges as the most influential feature (with an average SHAP value of 0.201) indicating its substantial impact on deposition occurrence. This suggests that fluctuations in gas temperature strongly affect the model’s predictions, highlighting it as a primary parameter for optimizing cold spray processes. Gas type also plays a crucial role, particularly helium and air, with SHAP values of 0.065 and 0.056, respectively, followed by nitrogen and hydrogen with values of 0.050 and 0.047. This distribution shows that while all gas types influence deposition outcomes, helium and air are slightly more impactful.
In the regression model (Figure 8b), which focuses on predicting DE, gas temperature remains the dominant factor, with a notably higher SHAP value of 9.054, underscoring its importance in achieving efficient material deposition. The gas type hydrogen also shows a high SHAP value of 7.477, emphasizing its effect on DE, while gas pressure follows closely with a SHAP value of 5.492, contributing significantly to DE prediction. The gas type helium similarly influences DE with a SHAP value of 5.325, highlighting the role of specific gas types in optimizing material efficiency.
In both models, gas pressure shows lower average SHAP values, though it is more impactful in the regression model (5.492) than in classification (0.035), indicating its relevance for precise DE prediction rather than just deposition occurrence. Nozzle diameter is consistently the least influential factor across both models, with an average SHAP value of 0.004 in classification and 0.250 in regression, suggesting that nozzle size has minimal impact on DE predictions. This likely stems from the limited variability in nozzle diameters across the dataset.
This analysis emphasizes the need to prioritize adjustments in gas temperature and gas type to optimize both deposition occurrence and efficiency in cold spray applications, while showing flexibility in nozzle selection.

3.3. Inverse Analysis Outcomes

In this section, we present the outcomes of the inverse analysis, aimed at identifying the optimal process parameters required to achieve a specified target DE in cold spray applications. A series of structured scenarios has been employed, each focusing on optimizing specific parameters while holding others controlled, guided by data obtained from the existing literature to validate and compare results (Table 4). By analyzing the influence of variables such as gas type, nozzle diameter, gas temperature, and pressure, this approach enables a comprehensive understanding of the parameter combinations that maximize DE.

3.3.1. Scenario 1: Fix Gas Type, Nozzle Diameter, and Gas Temperature; Optimize Gas Pressure

In this scenario, key process parameters, including gas type, nozzle diameter, and gas temperature, were held constant at values obtained from the literature to isolate the effect of gas pressure on DE. Optimal gas pressure values were derived through inverse analysis and compared to ground truth values from reference studies.
The results demonstrate a strong alignment between the model-predicted optimal gas pressures and the reference values for most DE levels (Figure 9). For instance, at a DE of 85%, the model suggests an optimal gas pressure of 40 bar, which, while slightly higher than the ground truth value of 25 bar, remains within the standard deviation range. This consistent pattern across other DE values highlights the model’s effectiveness in approximating the gas pressure ranges required to achieve specific deposition efficiencies. The minor discrepancies between the predicted and ground truth gas pressures provide valuable insights into areas where process adjustments could enhance DE in practical cold spray applications. These deviations may result from differences in assumptions, boundary conditions, and material properties used in KSS simulations compared to experimental setups of reference dataset. Factors such as particle size distribution and gas dynamics, coupled with inherent uncertainties in the ML model, likely contribute to these variations. Further refinement of the model and validation using experimental data are essential to bridge these gaps and improve predictive accuracy.

3.3.2. Scenario 2: Fix Gas Type, Nozzle Diameter, and Gas Pressure; Optimize Gas Temperature

In this scenario, parameters such as gas type, nozzle diameter, and gas pressure were held constant at reference values, isolating gas temperature as the variable to optimize for DE. Optimal gas temperature values were determined using inverse analysis and compared with ground truth values from reference studies. The results demonstrate a strong alignment between the model-predicted optimal gas temperatures and the ground truth data across various DE levels, with the optimal gas temperatures generally falling within the standard deviation ranges indicated (Figure 10). For instance, at DE values of 70%, 72%, 75%, and 90%, the model’s optimal gas temperatures align closely with experimental values, suggesting that the inverse analysis successfully captures the necessary gas temperature parameters to achieve target DE levels. Minor variations observed between the predicted and actual gas temperatures provide additional insights, suggesting potential adjustments to further optimize the cold spray process for enhanced DE in practical applications.

3.3.3. Scenario 3: Fix Gas Type and Nozzle Diameter; Optimize Gas Temperature and Pressure

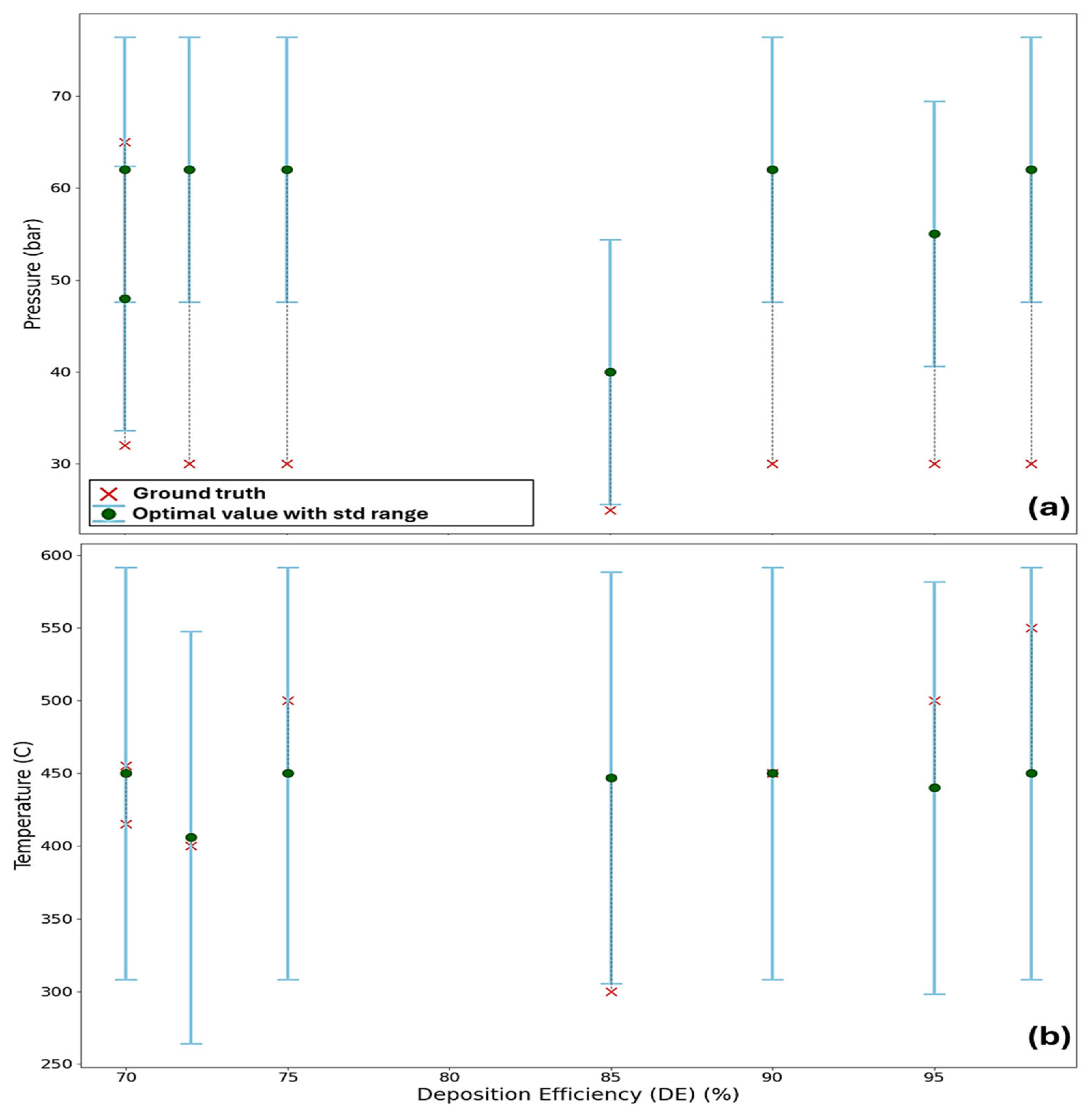
Gas type and nozzle diameter were held constant in this scenario based on values from the reference to evaluate the combined effects of optimizing gas temperature and pressure on DE. The results are displayed in Figure 11a for gas pressure and Figure 11b for temperature, each across various DE levels.
The findings demonstrate a close alignment between the model-predicted optimal values for gas pressure and temperature and the ground truth values across various DE levels. Notably, the temperature predictions align more closely with the reference data than the gas pressure values, indicating that the model is more sensitive and accurate in optimizing gas temperature conditions for achieving target DE levels. At DE values like 75% and 85%, the predicted optimal gas pressure and temperature are within their standard deviation ranges, demonstrating strong agreement with literature data, though the gas pressure values show slightly more variation. This trend highlights the model’s robustness in capturing essential process parameters, particularly gas temperature, necessary to achieve target deposition efficiencies.

3.3.4. Scenario 4: Use Hydrogen as an Alternative to Helium and Nitrogen, Fix Nozzle Diameter, Optimize Gas Temperature and Pressure

In Scenario 4, hydrogen was explored as an alternative gas carrier to helium and nitrogen, aiming to evaluate its feasibility and effectiveness for achieving target DE in the cold spray process. With the nozzle diameter held constant, gas temperature and pressure were optimized to match DE levels traditionally obtained with helium and nitrogen. The results, as shown in Figure 12, compare the model’s predicted optimal gas pressure (Figure 12a) and temperature values (Figure 12b) using hydrogen with ground truth values derived from helium- and nitrogen-based setups. The data reveal that the model-predicted optimal parameters for hydrogen show a noticeable reduction in both gas pressure and temperature requirements, particularly for higher DE values of 85% and above. This trend suggests that hydrogen can achieve similar deposition efficiencies as helium and nitrogen while operating at lower temperatures and gas pressures. Such reductions could make hydrogen a viable substitute, potentially offering advantages in terms of cost and availability, all while maintaining effective deposition performance in the cold spray process.

4. Discussion

This study presents a two-stage ML approach to optimize cold spray process parameters such as carrier gas type, pressure, temperature, and nozzle diameter for achieving specific DE outcomes. By integrating classification and regression models, the approach offers a complete solution that enables both the prediction of deposition occurrence and the precise estimation of DE values. The results demonstrated the effectiveness of this approach in capturing complex relationships between process parameters and deposition outcomes, aligning well with reference data from the existing literature.
The classification model showed high accuracy and robustness in predicting deposition occurrence. The selected random forest (RF) classifier performed well across key metrics, which is consistent with prior studies that have highlighted the effectiveness of ensemble methods for classification tasks in materials deposition with cold spray [27,28]. The model’s reliability in distinguishing between deposition and non-deposition cases establishes a strong foundation for the subsequent regression stage, enhancing the efficiency of the two-stage approach by focusing regression predictions on relevant cases.
The regression model, based on the ET regressor, provided precise DE predictions, with high R2 values and low RMSE across CV folds. This model’s ensemble structure effectively captured non-linear dependencies, which aligns with findings from other studies supporting for ensemble methods in predicting complex process parameters [17,29].
The SHAP analysis identified gas temperature and gas type as the most influential factors in predicting DE, consistent with prior research highlighting their critical roles in the cold spray process [30,31]. Gas temperature regulates particle kinetic energy, enhancing deformation and deposition, while gas type, including air, helium, nitrogen, and hydrogen, affects sonic velocity and thermal conductivity, influencing particle acceleration and heat transfer [32]. Higher gas temperatures increase particle velocity and energy, enabling sufficient plastic deformation for bonding. Similarly, gases with higher thermal conductivity optimize particle deformation by improving heat transfer. These findings align with the SHAP analysis, emphasizing the importance of these parameters in achieving efficient deposition.
The inverse analysis outcomes provide practical insights into parameter optimization under various controlled scenarios. The close alignment of model-predicted parameters with literature-based ground truth values across scenarios indicated that the two-stage approach effectively replicates real-world conditions. Scenario 1, isolating gas pressure as the variable, confirmed that optimizing this parameter can significantly enhance DE, particularly under stable temperature and gas type settings [33,34]. Scenario 2, which focused on optimizing gas temperature, demonstrated the model’s sensitivity to thermal variations, reinforcing the importance of gas temperature as a critical factor in deposition quality. Scenario 3, involving the simultaneous optimization of gas temperature and pressure, provided a comprehensive view of how these parameters interact [35,36], with temperature predictions closely matching reference values and indicating the model’s strong capability in thermal predictions.
In Scenario 4, hydrogen was evaluated as a substitute for helium and nitrogen as the gas carrier in cold spray applications. The results indicate that hydrogen can achieve comparable deposition efficiencies (DEs) at significantly lower temperatures and pressures, especially for higher DE levels of 85% and above. According to the findings in [37], hydrogen enables higher particle velocities than both helium and nitrogen under equivalent conditions, reaching exit velocities of up to 802 m/s at moderate pressures and temperatures. This high particle velocity contributes to efficient deposition while reducing the need for elevated temperatures. Furthermore, using hydrogen at temperatures below 400 °C aligns with the cold spray process’s goal of minimal substrate heating, thus preserving the material’s inherent properties. The potential cost benefits and availability of hydrogen reinforce its viability as a sustainable alternative, addressing helium’s expense and supply limitations in the cold spray industry [38,39,40]. Although hydrogen offers significant advantages in cold spray applications, safety concerns must be carefully managed. Industry-standard safety measures, such as advanced leak detection systems, adequate ventilation, and compliance with regulatory guidelines, are essential to mitigate risks [41]. The implementation of these measures in industrial environments has been shown to enable the safe use of hydrogen as a propellant gas.
While the results are promising, some limitations were noted. Minor discrepancies between model-predicted optimal parameters and ground truth values suggest that the model could benefit from further refinement, possibly by integrating additional data points. The robust optimization framework, which incorporated Monte Carlo simulations to account for uncertainties, effectively handled variability in process parameters. Expanding this framework to include broader parameter ranges could further enhance model resilience. Fluctuations in DE are a common challenge in cold spray processes due to the sensitivity of deposition outcomes to process parameters. However, the proposed machine learning (ML) framework effectively addresses these variations by identifying parameter configurations that consistently yield high DE. This capability enhances process stability, reduces material waste, and provides actionable insights for optimizing cold spray operations across diverse conditions and materials. Future research directions should focus on validating this two-stage approach across diverse materials and cold spray systems to generalize the findings. Additionally, integrating more advanced interpretability methods could provide deeper insights into feature interactions, particularly the influence of nozzle design, which showed limited impact in this study. Exploring the role of other gases, such as argon, could also offer additional alternatives for cost-effective and efficient cold spray application [42]. Finally, real-time sensor feedback integration within this framework could enable dynamic optimization, allowing continuous adjustments to process parameters based on real-time conditions, thus enhancing adaptability and efficiency in cold spray applications.

5. Conclusions

This study developed an inverse analysis based on a two-stage ML framework to optimize process parameters in cold spray applications, specifically targeting DE. Through a combination of classification and regression models, the framework accurately predicted deposition occurrence and DE levels, providing an effective approach for optimizing cold spray processes. This layered approach, supported by robust validation through inverse analysis scenarios, demonstrated the model’s effectiveness in replicating real-world conditions and aligning closely with reference data.
The inverse analysis explored various parameter scenarios to identify optimal conditions for achieving target DE levels. The results revealed gas temperature and gas type as dominant factors influencing DE, with hydrogen showing potential as a cost-effective alternative to helium and nitrogen. The integration of Monte Carlo simulations in the Bayesian optimization process further enhanced the robustness of the model by accounting for uncertainties in gas pressure and gas temperature, enabling more resilient parameter recommendations for practical cold spray applications.
This ML-based inverse analysis approach contributes valuable insights into the optimization of cold spray parameters, offering a scalable, data-driven tool for enhancing DE. Future research should aim to expand this framework to other materials and process conditions, further validating and refining its predictive capabilities.

Author Contributions

Conceptualization, A.H. and A.M.; methodology, A.H. and A.M.; software, A.H. and A.M.; validation, A.M. and D.J.; formal analysis, A.H. and A.M.; investigation, A.H., A.M. and D.J.; resources, D.J. and A.A.; data curation, A.H., A.M. and D.J.; writing—original draft preparation, A.H., A.M. and D.J.; writing—review and editing, A.H., D.J. and A.A.; visualization, A.H. and A.M.; supervision, A.H. and A.A.; project administration, A.H. and A.A.; funding acquisition, A.A. All authors have read and agreed to the published version of the manuscript.

Funding

The authors acknowledge the support of DEVCOM—Army Research Laboratory (ARL) through grant W911NF2020256.

Institutional Review Board Statement

Not applicable.

Informed Consent Statement

Not applicable.

Data Availability Statement

The data that support the findings of this study are available from the corresponding author upon reasonable request.

Conflicts of Interest

The authors declare no conflicts of interest.

Nomenclature

AbbreviationDefinition
ABAdaBoost
ABRAdaBoost Regressor
AIArtificial Intelligence
ANNArtificial Neural Network
AUCArea Under the Curve
BRBayesian Ridge
CatBCatBoost
CVCross-Validation
DCDummy Classifier
DEDeposition Efficiency
DRDummy Regressor
DTDecision Tree
DTRDecision Tree Regressor
EMExpectation-Maximization
ENElastic Net
ETExtra Trees
ETRExtra Trees Regressor
GBOOSTGradient Boosting
GBRGradient Boosting Regressor
HRHuber Regressor
KNNK-Nearest Neighbors
KNRK-Nearest Neighbors Regressor
KSSKinetic Spray Solutions
LARSLeast Angle Regression
LDALinear Discriminant Analysis
LGBMLight Gradient Boosting Machine
LRLinear Regression
MAEMean Absolute Error
MAPEMean Absolute Percentage Error
MCCMatthews Correlation Coefficient
MLMachine Learning
MSEMean Squared Error
NBNaive Bayes
OMPOrthogonal Matching Pursuit
PARPassive Aggressive Regressor
QDAQuadratic Discriminant Analysis
R2Coefficient of Determination
RCRidge Classifier
RFRandom Forest
RFRRandom Forest Regressor
RMSERoot Mean Square Error
RMSLERoot Mean Square Logarithmic Error
RRRidge Regression
SHAPSHapley Additive exPlanations
SVMSupport Vector Machine
TTTraining Time
XAIExplainable Artificial Intelligence
XGBExtreme Gradient Boosting

Appendix A

All implementations in this study were developed using custom Python code, utilizing scikit-learn and TensorFlow for machine learning algorithms, particularly the random forest classifier and extra trees regressor, along with supporting libraries such as NumPy and Pandas for data processing and analysis.
HyperparameterExtra Trees RegressorRandom Forest Classifier
bootstrapFalseTrue
ccp_alpha00
criterionsquared_errorlog_loss
max_depthNoneNone
max_features1sqrt
max_leaf_nodesNoneNone
max_samplesNoneNone
min_impurity_decrease00
min_samples_leaf11
min_samples_split22
min_weight_fraction_leaf00
monotonic_cstNoneNone
n_estimators10050
n_jobs−1None
oob_scoreFalseFalse
random_state848842
verbose00
warm_startFalseFalse

References

  1. Gärtner, F.; Stoltenhoff, T.; Schmidt, T.; Kreye, H. The Cold Spray Process and Its Potential for Industrial Applications. J. Therm. Spray Technol. 2006, 15, 223–232. [Google Scholar] [CrossRef]
  2. Moridi, A.; Hassani-Gangaraj, S.M.; Guagliano, M.; Dao, M. Cold Spray Coating: Review of Material Systems and Future Perspectives. Surf. Eng. 2014, 30, 369–395. [Google Scholar] [CrossRef]
  3. Widener, C.; Champagne, V.; Trexler, M.; Helfritch, D.; Hrabe, R. Cold Spray Device and System. U.S. Patent No. 10,441,962, 15 October 2019. [Google Scholar]
  4. Nautiyal, P.; Zhang, C.; Champagne, V.K.; Boesl, B.; Agarwal, A. In-Situ Mechanical Investigation of the Deformation of Splat Interfaces in Cold-Sprayed Aluminum Alloy. Mater. Sci. Eng. A 2018, 737, 297–309. [Google Scholar] [CrossRef]
  5. Yin, S.; Cavaliere, P.; Aldwell, B.; Jenkins, R.; Liao, H.; Li, W.; Lupoi, R. Cold Spray Additive Manufacturing and Repair: Fundamentals and Applications. Addit. Manuf. 2018, 21, 628–650. [Google Scholar] [CrossRef]
  6. Pathak, S.; Saha, G.C. Development of Sustainable Cold Spray Coatings and 3D Additive Manufacturing Components for Repair/Manufacturing Applications: A Critical Review. Coatings 2017, 7, 122. [Google Scholar] [CrossRef]
  7. Sienicki, J.; Zórawski, W.; Dworak, A.; Koruba, P.; Jurewicz, P.; Reiner, J. Cold Spraying and Laser Cladding as an Alternative to Electroplating Processes. Aircr. Eng. Aerosp. Technol. 2019, 91, 205–215. [Google Scholar] [CrossRef]
  8. Li, C.J.; Li, W.Y.; Wang, Y.Y.; Yang, G.J.; Fukanuma, H. A Theoretical Model for Prediction of Deposition Efficiency in Cold Spraying. Thin Solid Films 2005, 489, 79–85. [Google Scholar] [CrossRef]
  9. Lupoi, R. Current Design and Performance of Cold Spray Nozzles: Experimental and Numerical Observations on Deposition Efficiency and Particle Velocity. Surf. Eng. 2014, 30, 316–322. [Google Scholar] [CrossRef]
  10. Huang, G.; Wang, H.; Li, X.; Xing, L.; Zhou, J. Deposition Efficiency of Low Pressure Cold Sprayed Aluminum Coating. Mater. Manuf. Process. 2018, 33, 1100–1106. [Google Scholar] [CrossRef]
  11. Singh, R.P.; Batra, U. Effect of Cold Spraying Parameters and Their Interaction an Hydroxyapatite Deposition. J. Appl. Fluid Mech. 2013, 6, 555–561. [Google Scholar] [CrossRef]
  12. Canales, H.; Cano, I.G.; Dosta, S. Window of Deposition Description and Prediction of Deposition Efficiency via Machine Learning Techniques in Cold Spraying. Surf. Coat. Technol. 2020, 401, 126143. [Google Scholar] [CrossRef]
  13. Venkatachalapathy, V.; Katiyar, N.K.; Matthews, A.; Endrino, J.L.; Goel, S. A Guiding Framework for Process Parameter Optimisation of Thermal Spraying. Coatings 2023, 13, 713. [Google Scholar] [CrossRef]
  14. Koivuluoto, H.; Larjo, J.; Marini, D.; Pulci, G.; Marra, F. Cold-Sprayed Al6061 Coatings: Online Spray Monitoring and Influence of Process Parameters on Coating Properties. Coatings 2020, 10, 348. [Google Scholar] [CrossRef]
  15. Silvello, A.; Cavaliere, P.D.; Albaladejo, V.; Martos, A.; Dosta, S.; Cano, I.G. Powder Properties and Processing Conditions Affecting Cold Spray Deposition. Coatings 2020, 10, 91. [Google Scholar] [CrossRef]
  16. Klinkov, S.V.; Kosarev, V.F.; Shikalov, V.S. Influence of Nozzle Velocity and Powder Feed Rate on the Coating Mass and Deposition Efficiency in Cold Spraying. Surf. Coat. Technol. 2019, 367, 231–243. [Google Scholar] [CrossRef]
  17. Eberle, M.; Pinches, S.; Osborne, M.; Qin, K.; Ang, A. Analysis of Data Generation and Preparation for Porosity Prediction in Cold Spray Using Machine Learning. J. Therm. Spray Technol. 2024, 33, 1270–1291. [Google Scholar] [CrossRef]
  18. Wang, Z.; Cai, S.; Chen, W.; Ali, R.A.; Jin, K. Analysis of Critical Velocity of Cold Spray Based on Machine Learning Method with Feature Selection. J. Therm. Spray Technol. 2021, 30, 1213–1225. [Google Scholar] [CrossRef]
  19. Malamousi, K.; Delibasis, K.; Allcock, B.; Kamnis, S. Digital Transformation of Thermal and Cold Spray Processes with Emphasis on Machine Learning. Surf. Coat. Technol. 2022, 433, 128138. [Google Scholar] [CrossRef]
  20. Aparco, R.H.; Tapia-Tadeo, F.; Ascarza, Y.B.; Ramírez, A.L.; Huamán-Romaní, Y.L.; Otero, C.C. A Machine Learning Approach for Analyzing Residual Stress Distribution in Cold Spray Coatings. J. Therm. Spray Technol. 2024, 33, 1292–1307. [Google Scholar] [CrossRef]
  21. Valente, R.; Ostapenko, A.; Sousa, B.C.; Grubbs, J.; Massar, C.J.; Cote, D.L.; Neamtu, R. Classifying Powder Flowability for Cold Spray Additive Manufacturing Using Machine Learning. In Proceedings of the 2020 IEEE International Conference on Big Data (Big Data), Atlanta, GA, USA, 10–13 December 2020; pp. 2919–2928. [Google Scholar] [CrossRef]
  22. Sharma, D.; Boruah, D.; Bakir, A.A.; Ameen, A.; Paul, S. Machine Learning-Based Predictions of Porosity during Cold Spray Deposition of High Entropy Alloy Coatings. Coatings 2024, 14, 404. [Google Scholar] [CrossRef]
  23. Nourian, A.; Schwartz, T.; Boese, S.; Müftü, S. Effects of Process Parameters on Cold Spray Deposition of Al-6061 Alloy. J. Therm. Spray Technol. 2022, 31, 2517–2536. [Google Scholar] [CrossRef]
  24. Liu, Q.; Wei, Y.K.; Luo, X.T.; Chen, C.Y.; Wang, J.; Li, C.J. Processing Map of the In-Situ Micro-Forging (MF) Assisted Cold Spray for Additive Manufacturing of Fully Dense Metals without MF Particle Inclusion. Addit. Manuf. 2023, 73, 103644. [Google Scholar] [CrossRef]
  25. Story, W.A.; Brewer, L.N. Heat Treatment of Gas-Atomized Powders for Cold Spray Deposition. Metall. Mater. Trans. A Phys. Metall. Mater. Sci. 2018, 49, 446–449. [Google Scholar] [CrossRef]
  26. Huang, C.; List, A.; Shen, J.; Fu, B.; Yin, S.; Chen, T.; Klusemann, B.; Gärtner, F.; Klassen, T. Tailoring Powder Strengths for Enhanced Quality of Cold Sprayed Al6061 Deposits. Mater. Des. 2022, 215, 110494. [Google Scholar] [CrossRef]
  27. Savangouder, R.V.; Patra, J.C.; Palanisamy, S. A Machine Learning Technique for Prediction of Cold Spray Additive Manufacturing Input Process Parameters to Achieve a Desired Spray Deposit Profile. IEEE Trans. Ind. Informatics 2024, 20, 1–9. [Google Scholar] [CrossRef]
  28. Mishra, A.; Kompella, L.; Sanagavarapu, L.M.; Varam, S. Ensemble-Based Machine Learning Models for Phase Prediction in High Entropy Alloys. Comput. Mater. Sci. 2022, 210, 111025. [Google Scholar] [CrossRef]
  29. Eberle, M.; Pinches, S.; Guzman, P.; King, H.; Zhou, H.; Ang, A. Application of Machine Learning for the Prediction of Particle Velocity Distribution and Deposition Efficiency for Cold Spraying Titanium Powder. Comput. Mater. Sci. 2024, 244, 113224. [Google Scholar] [CrossRef]
  30. Singh, S.; Raman, R.K.S.; Berndt, C.C.; Singh, H. Influence of Cold Spray Parameters on Bonding Mechanisms: A Review. Metals 2021, 11, 2016. [Google Scholar] [CrossRef]
  31. Schmidt, T.; Gärtner, F.; Assadi, H.; Kreye, H. Development of a Generalized Parameter Window for Cold Spray Deposition. Acta Mater. 2006, 54, 729–742. [Google Scholar] [CrossRef]
  32. Sandhu, H.S.; Goyal, D.; Sharma, A.; Goyal, T.; Jarial, S.; Sharda, A. Sustainable Development in Cold Gas Dynamic Spray Coating Process for Biomedical Applications: Challenges and Future Perspective Review. Int. J. Interact. Des. Manuf. 2023, 1–17. [Google Scholar] [CrossRef]
  33. Binder, K.; Gottschalk, J.; Kollenda, M.; Gärtner, F.; Klassen, T. Influence of Impact Angle and Gas Temperature on Mechanical Properties of Titanium Cold Spray Deposits. J. Therm. Spray Technol. 2011, 20, 234–242. [Google Scholar] [CrossRef]
  34. Schmidt, T.; Gaertner, F.; Kreye, H. New Developments in Cold Spray Based on Higher Gas and Particle Temperatures. Proc. Int. Therm. Spray Conf. 2006, 15, 488–494. [Google Scholar] [CrossRef]
  35. Rokni, M.R.; Nutt, S.R.; Widener, C.A.; Champagne, V.K.; Hrabe, R.H. Review of Relationship Between Particle Deformation, Coating Microstructure, and Properties in High-Pressure Cold Spray. J. Therm. Spray Technol. 2017, 26, 1308–1355. [Google Scholar] [CrossRef]
  36. Lee, M.W.; Park, J.J.; Kim, D.Y.; Yoon, S.S.; Kim, H.Y.; James, S.C.; Chandra, S.; Coyle, T. Numerical Studies on the Effects of Stagnation Pressure and Temperature on Supersonic Flow Characteristics in Cold Spray Applications. J. Therm. Spray Technol. 2011, 20, 1085–1097. [Google Scholar] [CrossRef]
  37. Binek, L.; Nardi, A.T. Hydrogen Based Cold Spray Nozzle and Method. U.S. Patent 15/653,582, 24 January 2019. [Google Scholar]
  38. Stier, O. Method for cold gas spraying with a carrier gas. DE102012212682A1, 23 January 2014. [Google Scholar]
  39. Dykhuizen, R.C.; Smith, M.F. Gas Dynamic Principles of Cold Spray. J. Therm. Spray Technol. 1998, 7, 205–212. [Google Scholar] [CrossRef]
  40. Kosarev, V.F.; Klinkov, S.V.; Alkhimov, A.P.; Papyrin, A.N. On Some Aspects of Gas Dynamics of the Cold Spray Process. J. Therm. Spray Technol. 2003, 12, 265–281. [Google Scholar] [CrossRef]
  41. Tan, W.J.; Ban, Z.H.; Chen, B.H.; Kim, K.S.; Siwayanan, P.; Choong, T.S.Y.; Lau, K.K. Enhanced Mitigation of Fire and Explosion Risks Due to Hydrogen Leakage Using Targeted Nitrogen Nozzle Spray Approach. ACS Chem. Health Saf. 2022, 29, 309–318. [Google Scholar] [CrossRef]
  42. Prashar, G.; Vasudev, H. A Comprehensive Review on Sustainable Cold Spray Additive Manufacturing: State of the Art, Challenges and Future Challenges. J. Clean. Prod. 2021, 310, 127606. [Google Scholar] [CrossRef]
Figure 1. Flowchart of the forward approach to predict the value of DE.
Figure 1. Flowchart of the forward approach to predict the value of DE.
Coatings 15 00012 g001
Figure 2. Flowchart of the inverse analysis using the Bayesian optimization.
Figure 2. Flowchart of the inverse analysis using the Bayesian optimization.
Coatings 15 00012 g002
Figure 3. Heatmap of the performance of classification ML models used in our study.
Figure 3. Heatmap of the performance of classification ML models used in our study.
Coatings 15 00012 g003
Figure 4. Heatmap of the performance of regression ML models used in our study.
Figure 4. Heatmap of the performance of regression ML models used in our study.
Coatings 15 00012 g004
Figure 5. Variations of predicted DE with gas temperature and pressure for different carrier gases: (a) nitrogen, (b) hydrogen, and (c) helium, at a fixed nozzle diameter of 2 mm.
Figure 5. Variations of predicted DE with gas temperature and pressure for different carrier gases: (a) nitrogen, (b) hydrogen, and (c) helium, at a fixed nozzle diameter of 2 mm.
Coatings 15 00012 g005
Figure 6. Confusion matrices for 5-fold CV of the RF classifier model.
Figure 6. Confusion matrices for 5-fold CV of the RF classifier model.
Coatings 15 00012 g006
Figure 7. Regression analysis for 5-fold CV of ETR model.
Figure 7. Regression analysis for 5-fold CV of ETR model.
Coatings 15 00012 g007
Figure 8. Global feature importance using SHAP: (a) for RF classifier, (b) for ET regressor.
Figure 8. Global feature importance using SHAP: (a) for RF classifier, (b) for ET regressor.
Coatings 15 00012 g008
Figure 9. Comparison of model-predicted optimal and ground truth gas pressures across DE levels (optimal values are marked by green circles and blue error bars, and red crosses represent ground truth values).
Figure 9. Comparison of model-predicted optimal and ground truth gas pressures across DE levels (optimal values are marked by green circles and blue error bars, and red crosses represent ground truth values).
Coatings 15 00012 g009
Figure 10. Comparison of model-predicted optimal and ground truth gas temperatures across DE levels.
Figure 10. Comparison of model-predicted optimal and ground truth gas temperatures across DE levels.
Coatings 15 00012 g010
Figure 11. Comparison of model-predicted optimal and ground truth for (a) gas pressure and (b) temperatures across DE levels.
Figure 11. Comparison of model-predicted optimal and ground truth for (a) gas pressure and (b) temperatures across DE levels.
Coatings 15 00012 g011
Figure 12. Comparison of model-predicted optimal (a) gas pressure and (b) temperature values for hydrogen with ground truth data for helium and nitrogen across various DE levels.
Figure 12. Comparison of model-predicted optimal (a) gas pressure and (b) temperature values for hydrogen with ground truth data for helium and nitrogen across various DE levels.
Coatings 15 00012 g012
Table 1. Summary of recent studies employing ML models for cold spray parameter optimization.
Table 1. Summary of recent studies employing ML models for cold spray parameter optimization.
StudyObjectiveML Models Key Findings
[17]Predict porosity in cold-sprayed metal depositsXGB, CatBAchieved high porosity prediction accuracy (0%–2% deviation). Emphasized the role of data quality and preparation for effective ML modeling in cold spray applications.
[18]Predict critical velocity in cold spray processesANNIdentified tensile and yield strengths as key parameters influencing critical velocity. Achieved prediction accuracy over 95%, offering a robust ML alternative to empirical methods.
[20]Predict residual stress distribution in coatingsEM Showed high predictive accuracy for tensile and compressive stresses (RMSE of 8.8% and 3.5%). Highlighted the impact of thermal conductivity and mechanical strength on stress distribution.
[21]Classify powder flowability for cold spray applicationsDT ClassifierAchieved 98.04% accuracy for classifying flowability, aiding quality control and feedstock optimization.
[22]Predict porosity in high-entropy alloy coatingsLR, DT, RF, GBOOST, SVM, ANNAchieved correlation coefficients > 0.8 for SVM and LR models. Identified gas type and powder characteristics as primary porosity factors using SHAP.
Table 2. Summary of cold spray process simulation parameters used as features for ML training dataset.
Table 2. Summary of cold spray process simulation parameters used as features for ML training dataset.
ParametersValuesIntervalDatasets
Gas TypesAir, Nitrogen, Helium, Hydrogen-4
Gas Temperatures (°C)100 to 8005015
Gas Pressures (bar)5 to 60512
Nozzle Diameter (mm)1.5, 1.75, 2-3
Total 2160
Table 3. Summary of ML models and training details in the two-stage approach.
Table 3. Summary of ML models and training details in the two-stage approach.
StageModels UsedMetricsTraining Details
Stage 1:
Classification
- Ensemble models: RF classifier, AB classifier, GB classifier, LGBM, ET classifier.
- Tree-based models: DT classifier.
- Linear models: LR, RC, LDA.
- Bayesian models: NB.
- Support vector machine: SVM-L.
-K-nearest neighbors models: KNN classifier.
- Baseline models: DC.
- Other discriminant analysis models: QDA.
Accuracy, Precision,
Recall,
F1 Score.
DE values transformed into binary (0 = no deposition, 1 = deposition). K-fold CV (10 folds) used to fine-tune hyperparameters. Data split into 80% training and 20% validation sets.
Stage 2:
Regression
- Ensemble models: ETR, RFR, DTR, LGBM
GBR, ABR.
- Linear models: LARS,
RR, LR, Lasso, LARS-Lasso, EN, HR, OMP, PAR, BR.
- K-nearest neighbor models: KNR.
- Baseline models: DR.
MAE,
MSE,
RMSE,
R2,
RMSLE,
MAPE.
Regression models trained on the same dataset, focusing only on instances where deposition was predicted in Stage 1. DE values used as continuous target variable. K-fold CV (10 folds) employed. Data split into 80% training and 20% validation sets.
Table 4. Literature-based process parameter values and corresponding DE for the validation of inverse analysis.
Table 4. Literature-based process parameter values and corresponding DE for the validation of inverse analysis.
Gas TypeGas Temperature (°C)Gas Pressure (bar)Nozzle Throat Diameter (mm)DE (%)Ref.
Nitrogen (N2)45565270[23]
Nitrogen (N2)300252.485[24]
Helium (He)415321.570[25]
Nitrogen (N2)500301.575[26]
Nitrogen (N2)400301.572[26]
Nitrogen (N2)450301.590[26]
Nitrogen (N2)500301.595[26]
Nitrogen (N2)550301.598[26]
Disclaimer/Publisher’s Note: The statements, opinions and data contained in all publications are solely those of the individual author(s) and contributor(s) and not of MDPI and/or the editor(s). MDPI and/or the editor(s) disclaim responsibility for any injury to people or property resulting from any ideas, methods, instructions or products referred to in the content.

Share and Cite

MDPI and ACS Style

Hamrani, A.; Medarametla, A.; John, D.; Agarwal, A. Machine-Learning-Driven Optimization of Cold Spray Process Parameters: Robust Inverse Analysis for Higher Deposition Efficiency. Coatings 2025, 15, 12. https://doi.org/10.3390/coatings15010012

AMA Style

Hamrani A, Medarametla A, John D, Agarwal A. Machine-Learning-Driven Optimization of Cold Spray Process Parameters: Robust Inverse Analysis for Higher Deposition Efficiency. Coatings. 2025; 15(1):12. https://doi.org/10.3390/coatings15010012

Chicago/Turabian Style

Hamrani, Abderrachid, Aditya Medarametla, Denny John, and Arvind Agarwal. 2025. "Machine-Learning-Driven Optimization of Cold Spray Process Parameters: Robust Inverse Analysis for Higher Deposition Efficiency" Coatings 15, no. 1: 12. https://doi.org/10.3390/coatings15010012

APA Style

Hamrani, A., Medarametla, A., John, D., & Agarwal, A. (2025). Machine-Learning-Driven Optimization of Cold Spray Process Parameters: Robust Inverse Analysis for Higher Deposition Efficiency. Coatings, 15(1), 12. https://doi.org/10.3390/coatings15010012

Note that from the first issue of 2016, this journal uses article numbers instead of page numbers. See further details here.

Article Metrics

Back to TopTop