Temperature Influence on the Deposition of Nitrogen-Doped Silicon Carbide Polycrystalline Films
Abstract
1. Introduction
2. Materials and Methods
2.1. Deposition Details
2.2. Characterization Techniques
3. Results and Discussion
3.1. Deposition Rate
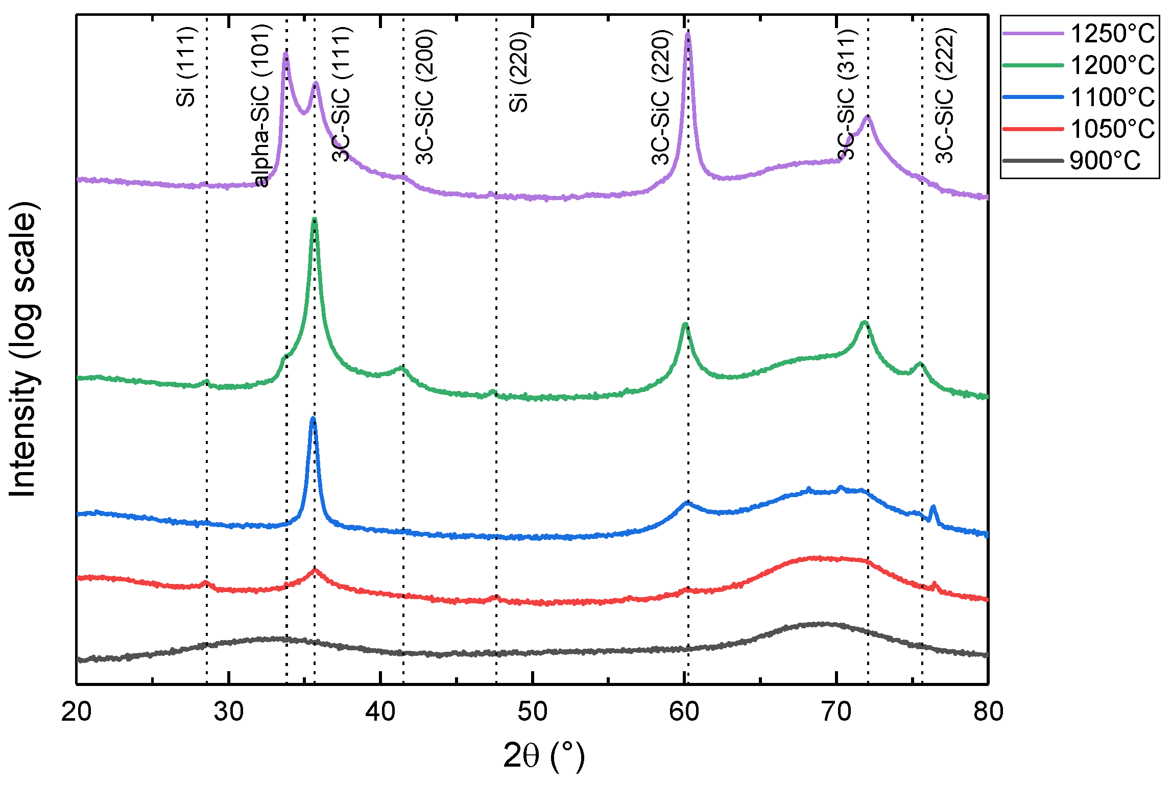
3.2. Structural Characterization
3.3. Surface Morphology and Roughness
3.4. Residual Stress
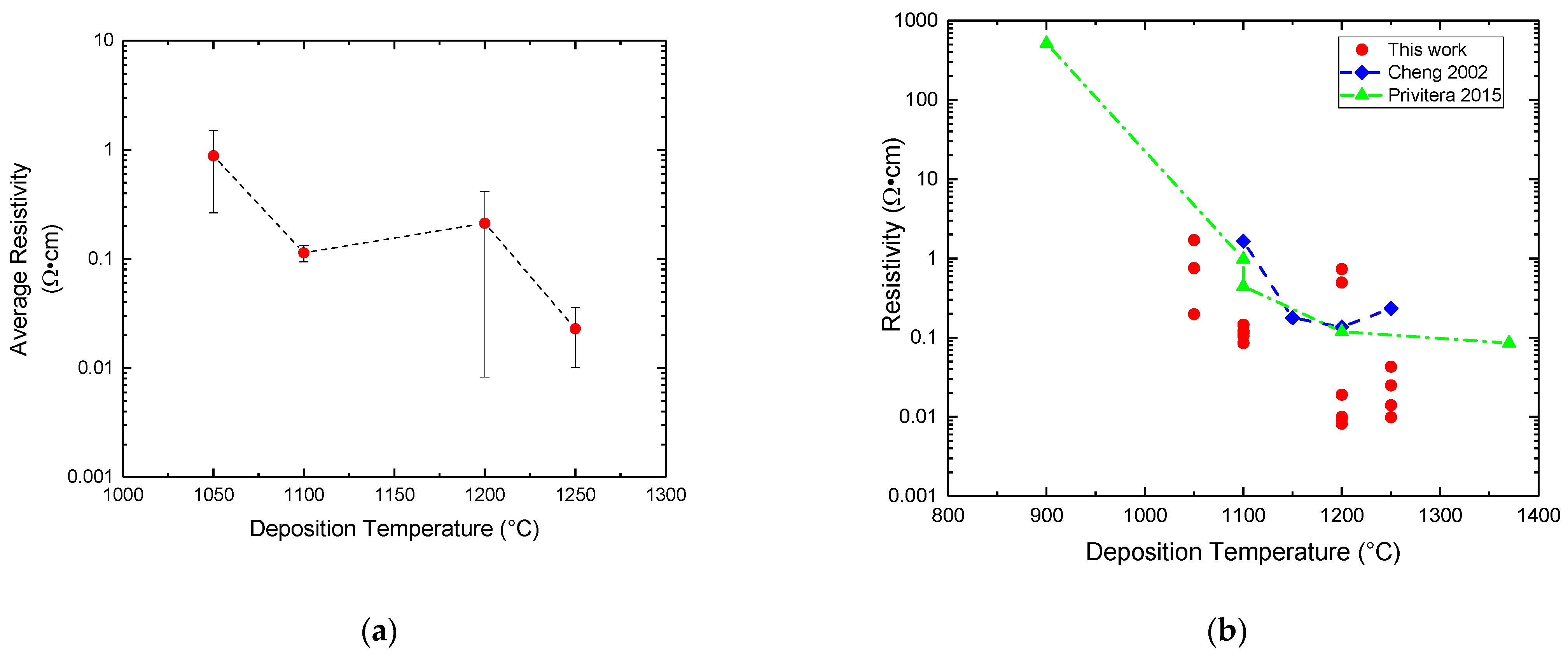
3.5. Electrical Resistivity and Free-Carrier Density
3.6. Chemical Stability
4. Conclusions
Author Contributions
Funding
Institutional Review Board Statement
Informed Consent Statement
Data Availability Statement
Acknowledgments
Conflicts of Interest
References
- Maboudian, R.; Carraro, C.; Senesky, D.G.; Roper, C.S. Advances in silicon carbide science and technology at the micro- and nanoscales. J. Vac. Sci. Technol. A 2013, 31, 050805. [Google Scholar] [CrossRef]
- Staehler, J.M.; Zawada, L.P. Performance of four ceramic-matrix composites divergent flap inserts following ground testing on an F110 turbofan engine. J. Am. Ceram. Soc. 2000, 83, 1727–1738. [Google Scholar] [CrossRef]
- Naslain, R. Design, preparation and properties of non-oxide CMCs for application in engines and nuclear reactors: An overview. Compos. Sci. Technol. 2004, 64, 155–170. [Google Scholar] [CrossRef]
- Wu, J.; Qian, S.; Huo, T.; Zheng, J.; Zhang, P.; Dai, Y.; Geng, D. Effect of PyC Inner Coating on Preparation of 3C-SiC Coating on Quartz Glass by Chemical Vapor Reaction. Front. Mater. 2022, 9, 897900. [Google Scholar] [CrossRef]
- Chen, D.; Zhang, H.; Zhao, G.; Zhu, Z.; Yang, J.; He, J.; Li, J.; Yu, Z.; Zhu, Z. Investigating the Corrosion Resistance of Different SiC Crystal Types: From Energy Sectors to Advanced Applications. Langmuir 2024, 40, 12322–12342. [Google Scholar] [CrossRef]
- Fu, X.-A.; Trevino, J.; Mehregany, M. Doped polycrystalline 3C–SiC films with low stress for MEMS: Part I. Deposition and growth conditions. J. Micromech. Microeng. 2014, 24, 7. [Google Scholar] [CrossRef]
- Mehregany, M.; Zorman, C.A.; Roy, S.; Fleischman, A.J.; Wu, C.-H.; Rajan, N. Silicon carbide for microelectromechanical systems. Int. Mater. Rev. 2000, 45, 85–108. [Google Scholar] [CrossRef]
- Saddow, S.E. Silicon Carbide Technology for Advanced Human Healthcare Applications. Micromachines 2022, 13, 346. [Google Scholar] [CrossRef] [PubMed]
- Diaz-Botia, C.A.; Luna, L.E.; Neely, R.M.; Chamanzar, M.; Carraro, C.; Carmena, J.M.; Sabes, P.N.; Maboudian, R.; Maharbiz, M.M. A silicon carbide array for electrocorticography and peripheral nerve recording. J. Neural Eng. 2017, 15, 056006. [Google Scholar] [CrossRef] [PubMed]
- Beygi, M.; Bentley, J.T.; Frewin, C.L.; Kuliasha, C.A.; Takshi, A.; Bernardin, E.K.; Via, F.L.; Saddow, S.E. Fabrication of a Monolithic Implantable Neural Interface from Cubic Silicon Carbide. Micromachines 2019, 10, 430. [Google Scholar] [CrossRef] [PubMed]
- Stoffel, A.; Kovacs, A.; Kronast, W.; Müller, B. LPCVD against PECVD for micromechanical applications. J. Micromech. Microeng. 1996, 6, 1. [Google Scholar] [CrossRef]
- Fraga, M.; Pessoa, R. Progress in Synthesis and Appilcation of SiC Films: From CVD to ALD and from MEMS to NEMS. Micromachines 2020, 11, 799. [Google Scholar] [CrossRef] [PubMed]
- Gallou, Y.; Dubois, M.; Potier, A.; Chaussende, D. Evidence of twin mediated growth in the CVD of polycrystalline silicon carbide. Acta Mater. 2023, 259, 119274. [Google Scholar] [CrossRef]
- Wijesundara, M.B.; Stoldt, C.R.; Carraro, C.; Howe, R.T.; Maboudian, R. Nitrogen doping of polycrystalline 3C–SiC films grown by single-source chemical vapor deposition. Thin Solid Films 2002, 419, 69–75. [Google Scholar] [CrossRef]
- Liu, F.; Carraro, C.; Pisano, A.P.; Maboudian, R. Growth and characterization of nitrogen-doped polycrystalline 3C-SiC thin films for harsh environment MEMS application. J. Micromech. Microeng. 2010, 20, 035011. [Google Scholar] [CrossRef]
- So, M.G.; Chun, J.S. Growth and structure of chemical vapor deposited silicon carbide from methyltrichlorosilane and hydrogen in the temperature range of 1100 to 1400 °C. J. Vac. Sci. Technol. A 1988, 6, 5–8. [Google Scholar] [CrossRef]
- Kim, D.-J.; Choi, D.-J.; Kim, Y.-W. Effect of reactant depletion on the microstructure and preferred orientation of polycrystalline Sic films by chemical vapor deposition. Thin Solid Films 1997, 266, 192–197. [Google Scholar] [CrossRef]
- Furumura, Y.; Doki, M.; Mieno, F.; Eshita, T.; Suzuki, T.; Maeda, M. Heteroepitaxial β-SIC on Si. J. Electrochem. Soc. 1988, 135, 1255. [Google Scholar] [CrossRef]
- Orthner, M.P.; Rieth, L.W.; Solzbacher, F. Design and Performance of an LPCVD reactor for the Growth of 3C-Silicon carbide. J. Electrochem. Soc. 2009, 156, D364–D369. [Google Scholar] [CrossRef]
- Zorman, C.A.; Roy, S.; Wu, C.-H.; Fleischman, A.J.; Mehregany, M. Characterization of polycrystalline silicon carbide films grown by atmospheric pressure chemical vapor deposition on polycrystalline silicon. J. Mater. Res. 1998, 13, 406–412. [Google Scholar] [CrossRef]
- Fu, X.-A.; Dunning, J.L.; Zorman, C.A.; Mehregany, M. Polycrystalline 3C-SiC thin films deposited by dual precursor LPCVD for MEMS applications. Sens. Actuators A 2005, 119, 169–176. [Google Scholar] [CrossRef]
- Wijesundara, M.B.; Gao, D.; Carraro, C.; Howe, R.T.; Maboudian, R. Nitrogen doping of polycrystalline 3C-SiC films grown using 1,3-disilabutane in a conventional LPCVD reactor. J. Cryst. Growth 2003, 259, 18–25. [Google Scholar] [CrossRef]
- Zhang, J.; Carraro, C.; Howe, R.T.; Maboudian, R. Electrical, mechanical and metal contact properties of polycrystalline 3C-SiC films for MEMS in harsh environments. Surf. Coat. Technol. 2007, 201, 8893–8898. [Google Scholar] [CrossRef]
- Cheng, L.; Pan, M.; Scofield, J.; Steckl, A. Growth and Doping of SiC-Thin Films on Low-Stress, Amorphous Si3N4/Si Substrates for Robust, Microelectromechanical Systems Applications. J. Electron. Mater. 2002, 31, 361–365. [Google Scholar] [CrossRef]
- Lai, Y.; Xia, L.; Xu, Q.; Li, Q.; Liu, K.; Yang, M.; Zhang, S.; Han, M.; Goto, T.; Zhang, L.; et al. In Situ Doping of Nitrogen in <110>-Oriented Bulk 3C-SiC by Halide Laser Chemical Vapor Deposition. Materials 2020, 13, 410. [Google Scholar] [CrossRef]
- Privitera, S.; Brancato, V.; Spadaro, D.; Anzalone, R.; Alberti, A.; Via, F.L. 3C-SiC Polycrystalline films on Si for photovoltaic applications. Mater. Sci. Forum 2015, 821–823, 189–192. [Google Scholar] [CrossRef]
- Cogan, S.F.; Edell, D.J.; Guzelian, A.A.; Liu, Y.P.; Edel, R. Plasma-enhanced chemical vapor deposited silicon carbide as an implantable dielectric coating. J. Biomed. Mater. Res. 2003, 67, 856–867. [Google Scholar] [CrossRef] [PubMed]
- Greenhorn, S.; Bano, E.; Stambouli, V.; Zekentes, K. Amorphous SiC Thin Films Deposited by Plasma-Enhanced Chemical Vapor Deposition for Passivation in Biomedical Devices. Materials 2024, 17, 1135. [Google Scholar] [CrossRef] [PubMed]
- Phan, H.P.; Zhong, Y.; Nguyen, T.K.; Park, Y.; Dinh, T.; Song, E.; Vadivelu, R.K.; Masud, M.K.; Li, J.; Shiddiky, M.J.A.; et al. Transferred Crystalline Silicon Carbide Nanomembranes for Implantable Flexible Electronics. ACS Nano 2019, 13, 11572–11581. [Google Scholar] [CrossRef]
- Pandey, A.; Dalal, S.; Dutta, S.; Dixit, A. Structural characterization of polycrystalline thin films by X-Ray diffraction techniques. J. Mater. Sci. Mater. Electron. 2021, 32, 1341–1368. [Google Scholar] [CrossRef]
- Patterson, A.L. The Scherrer Formula for X-Ray Particle Size Determination. Phys. Rev. 1939, 56, 978–982. [Google Scholar] [CrossRef]
- Klein, C.A.; Miller, R.P. Strains and stresses in multilayered elastic structures: The case of chemically vapor-deposited ZnS/ZnSe laminates. J. Appl. Phys. 1999, 87, 2265–2272. [Google Scholar] [CrossRef]
- Reeber, R.R.; Wang, K. Lattice Parameters and Thermal Expansion of Important Semiconductors and Their Substrates. MRS Proc. 2000, 622, T6.35.1. [Google Scholar] [CrossRef]
- Okada, Y.; Tokumaru, Y. Precise determination of lattice parameter and thermal expansion coefficient of silicon between 300 and 1500 K. J. Appl. Phys. 1984, 56, 314–320. [Google Scholar] [CrossRef]
- Shaffer, P. Refractive index, dispersion, and birefringence of silicon carbide polytypes. Appl. Opt. 1971, 10, 1034–1036. [Google Scholar] [CrossRef]
- Fang, H.; Zhao, J.; Yu, K.; Song, E.; Farimani, A.; Chiang, C.; Jin, X.; Xue, Y.; Xu, D.; Du, W.; et al. Ultrathin, transferred layers of thermally grown silicon dioxide as biofluid barriers for biointegrated flexible electronic systems. Proc. Natl. Acad. Sci. USA 2016, 113, 11682–11687. [Google Scholar] [CrossRef] [PubMed]
- Liu, F.; Carraro, C.; Chu, J.; Maboudian, R. Residual stress characterization of polycrystalline 3C-SiC films on Si(100) deposited from methylsilane. J. Appl. Phys. 2009, 106, 013505. [Google Scholar] [CrossRef]
- Jin, C.B.; Ho, J.S.; Ryong, K.D. The Effects of C3H8 on the Chemical Vapor Deposition of Silicon Carbide in the CH3SiC13 + H2 System. J. Eur. Ceram. 1992, 9, 357–363. [Google Scholar]
- Wu, C.H.; Zorman, C.A.; Mehregany, M. Growth of polycrystalline SiC films on SiO2 and Si3N4 by APCVD. Thin Solid Films 1999, 355–356, 179–183. [Google Scholar] [CrossRef]
- Ohring, M. Influence of Thermodynamics, Chemical Vapor Deposition Chapter 6. In Materials Science of Thin Films, 2nd ed.; Academic Press: Neptune, NJ, USA, 2002; p. 310. [Google Scholar]
- Roper, C.S.; Radmilovic, V.; Howe, R.T.; Maboudian, R. Single-Source Chemical Vapor Deposition of SiC Films in a Large-Scale Low-Pressure CVD Growth, Chemical, and Mechanical Characterization Reactor. J. Electrochem. Soc. 2006, 153, C562–C566. [Google Scholar] [CrossRef]
- Stoldt, C.R.; Carraro, C.; Ashurst, W.R.; Gao, D.; Howe, R.T.; Maboudian, R. A low-temperature CVD process for silicon carbide MEMS. Sens. Actuators A 2002, 97–98, 410–415. [Google Scholar] [CrossRef]
- Fu, X.-A.; Jezeski, R.; Zorman, C.A.; Mehregany, M. Use of deposition pressure to control residual stress in polycrystalline SiC films. Appl. Phys. Lett. 2004, 84, 341–343. [Google Scholar] [CrossRef]
- Davazoglou, D. Initial stages of growth of LPCVD polysilicon films, Effect of the surface ageing. J. Phys. IV 1999, 9, 893–900. [Google Scholar] [CrossRef]
- Nix, W.D.; Clemens, B.M. Crystallite coalescence: A mechanism for intrinsic tensile stresses in thin films. J. Mater. Res. 1999, 14, 3467–3473. [Google Scholar] [CrossRef]
- Abadias, G.; Chason, E.; Keckes, J.; Sebastiani, M.; Thompson, G.B.; Barthel, E.; Doll, G.L.; Murray, C.E.; Stoessel, C.H.; Martinu, L. Stress in thin films and coatings. J. Vac. Sci. Technol. A 2018, 36, 020801. [Google Scholar] [CrossRef]
- Doljack, F.; Hoffman, R. The origins of stress in thin nickel films. Thin Solid Films 1972, 12, 71–74. [Google Scholar] [CrossRef]
- Larkin, D.J.; Neudeck, P.G.; Powell, J.A.; Matus, L.G. Site-competition epitaxy for superior silicon carbide electronics. Appl. Phys. Lett. 1994, 65, 1659–1661. [Google Scholar] [CrossRef]
- Jacobson, H.; Birch, J.; Hallin, C.; Henry, A.; Yakimova, R.; Tuomi, T.; Janzén, E. Doping induced-strain in N-doped 4H-SiC crystals. Appl. Phys. Lett. 2003, 82, 3689–3691. [Google Scholar] [CrossRef]
- Matsumoto, T.; Nishizawa, S.I.; Yamasaki, S. Calculation of Lattice Constant of 4H-SiC as a Function of Impurity Concentration. Mat. Sci. Forum 2010, 645–648, 247–250. [Google Scholar] [CrossRef]
- Zhang, J.; Ellison, A.; Henry, A.; Linnarsson, M.; Janzén, E. Nitrogen incorporation during 4H-SiC epitaxy in a chimney CVD reactor. J. Cryst. Growth 2001, 226, 267–276. [Google Scholar] [CrossRef]
- Kamnis, T. Electrical Properties. In Polycrystalline Silicon for Integrated Circuits and Displays, 2nd ed.; Springer Science and Suissness Media LLC: New York, NY, USA, 1998; pp. 195–243. [Google Scholar]
- Seto, J.Y.W. The electrical properties of polycrystalline silicon films. J. Appl. Phys. 1975, 46, 5247–5254. [Google Scholar] [CrossRef]
- Ferro, G.; Chaussende, D. A new model for in situ nitrogen incorporation into 4H-SiC during epitaxy. Sci. Rep. 2017, 7, 43069–43080. [Google Scholar] [CrossRef]









Disclaimer/Publisher’s Note: The statements, opinions and data contained in all publications are solely those of the individual author(s) and contributor(s) and not of MDPI and/or the editor(s). MDPI and/or the editor(s) disclaim responsibility for any injury to people or property resulting from any ideas, methods, instructions or products referred to in the content. |
© 2025 by the authors. Licensee MDPI, Basel, Switzerland. This article is an open access article distributed under the terms and conditions of the Creative Commons Attribution (CC BY) license (https://creativecommons.org/licenses/by/4.0/).
Share and Cite
Gavalas, M.; Greenhorn, S.; Mercier, F.; Zekentes, K. Temperature Influence on the Deposition of Nitrogen-Doped Silicon Carbide Polycrystalline Films. Coatings 2025, 15, 106. https://doi.org/10.3390/coatings15010106
Gavalas M, Greenhorn S, Mercier F, Zekentes K. Temperature Influence on the Deposition of Nitrogen-Doped Silicon Carbide Polycrystalline Films. Coatings. 2025; 15(1):106. https://doi.org/10.3390/coatings15010106
Chicago/Turabian StyleGavalas, Michail, Scott Greenhorn, Frédéric Mercier, and Konstantinos Zekentes. 2025. "Temperature Influence on the Deposition of Nitrogen-Doped Silicon Carbide Polycrystalline Films" Coatings 15, no. 1: 106. https://doi.org/10.3390/coatings15010106
APA StyleGavalas, M., Greenhorn, S., Mercier, F., & Zekentes, K. (2025). Temperature Influence on the Deposition of Nitrogen-Doped Silicon Carbide Polycrystalline Films. Coatings, 15(1), 106. https://doi.org/10.3390/coatings15010106

