Chitosan Coating Loaded with Spearmint Essential Oil Nanoemulsion for Antifungal Protection in Soft Citrus (Citrus reticulata) Fruits
Abstract
1. Introduction
2. Materials and Methods
2.1. Chemicals
2.2. Fungal Cultures
2.3. Preparation of (S)-EO Nanoemulsion and CH Solution
2.4. In Vitro Antifungal Assay
- N1: Average number of spores germinated in the absence of treatments.
- N2: Average number of spores germinated in the presence of treatments. The IC50 values (concentration that resulted in 50% inhibition of germination) were estimated from data on spore germination and derived from nonlinear regression models [22].
2.5. Preparation of (S)-EO Nanoemulsion–CH Coating Solution and Films
2.6. Characterization of Coating Formulation and Film
2.6.1. Particle Size, Polydispersity Index (PDI), Zeta Potential
2.6.2. Color and Transmittance of Coating Films
2.6.3. Viscosity and pH
2.6.4. Determination of Moisture Content and Film Water Solubility
2.6.5. Water Vapor Permeability
2.6.6. Tensile Strength and Thickness of Films
2.6.7. Scanning Electron Microscopy (SEM)
2.6.8. Fourier Transform Infrared Analysis (FTIR)
2.6.9. Thermogravimetric Analysis (TGA)
2.7. In Vivo Antifungal Activity of (S)-EO Nanoemulsion–CH Coating Formulation
2.8. Statistical Analysis
3. Results and Discussion
3.1. In Vitro Antifungal Effects of (S)-EO Nanoemulsion–CH Coating
3.2. Particle Size, Polydispersity Index (PDI), and Zeta Potential of Spearmint EO-CH Coating
3.3. Viscosity and pH of (S)-EO Nanoemulsion–CH Coating
3.4. Color and Opacity of (S)-EO Nanoemulsion–CH Coating
3.5. Thickness, Moisture Content, Water Solubility, Tensile Strength, and Water Vapor Permeability (WVP) of Spearmint (S)-EO Nanoemulsion–CH Coating
3.6. Surface Morphology of (S)-EO Nanoemulsion–CH Coating
3.7. Fourier Transform Infrared Spectroscopy (FTIR) of (S)-EO Nanoemulsion–CH Coating
3.8. Thermal Stability of (S)-EO Nanoemulsion–CH Coating
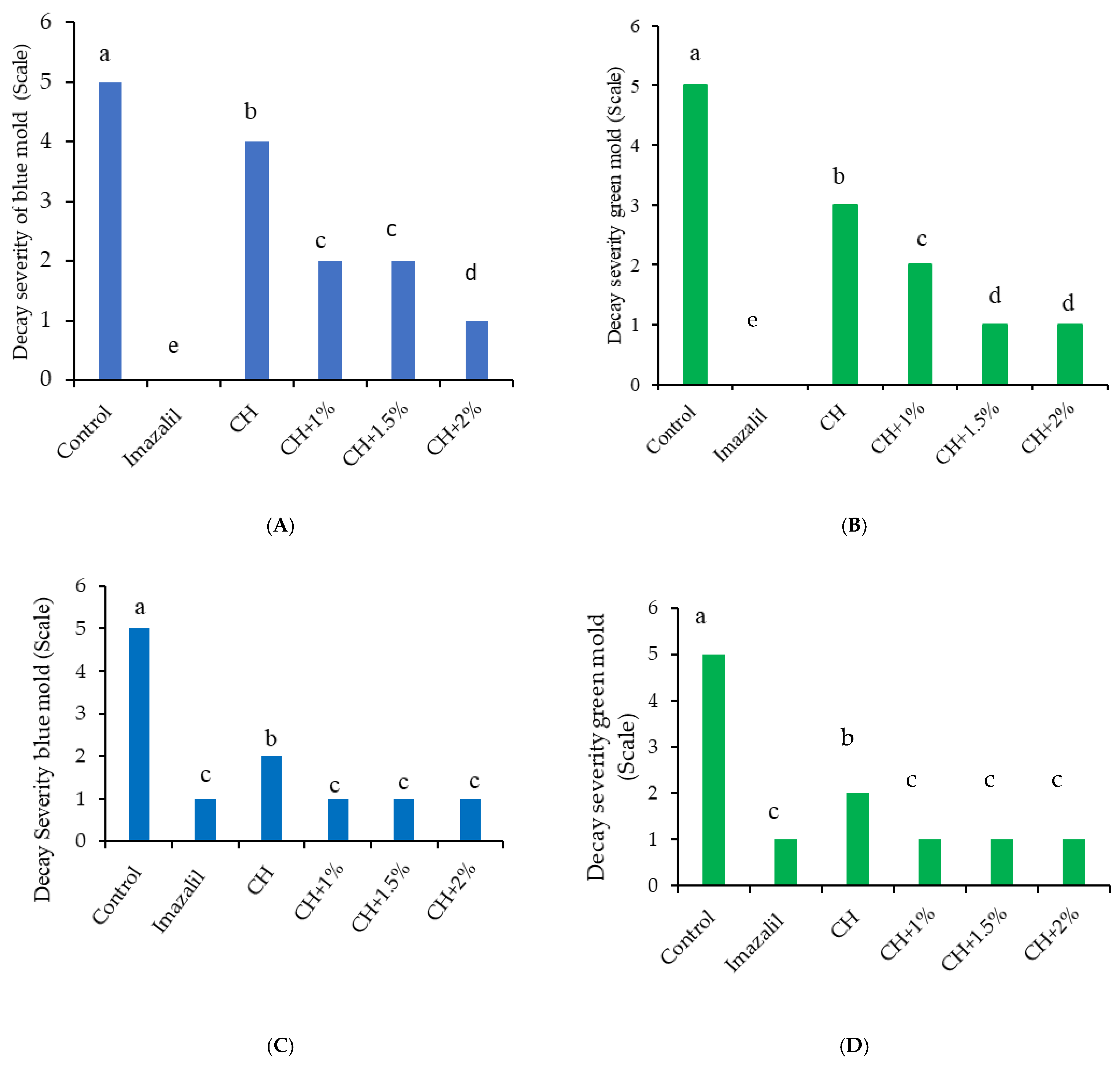
3.9. In Vivo Antifungal Effects of (S)-EO Nanoemulsion–CH Coating
4. Conclusions
Supplementary Materials
Author Contributions
Funding
Institutional Review Board Statement
Informed Consent Statement
Data Availability Statement
Conflicts of Interest
References
- Alam, A.M.; Subhan, N.; Rahman, M.M.; Uddin, S.J.; Reza, H.M.; Sarker, S.D. Effect of citrus flavonoids, naringin and naringenin, on metabolic syndrome and their mechanisms of action. Adv. Nutr. 2014, 5, 404–417. [Google Scholar] [CrossRef] [PubMed]
- Fresh Fruit Portal. Citrus Exports: Soft Citrus to Drive Export Growth in 2020–21. Available online: https://www.freshfruitportal.com/news/2021/07/23/soft-citrus-drives-growth-in-global-citrus-exports-in-2020-21/ (accessed on 23 July 2024).
- Palou, L. Penicillium digitatum, Penicillium italicum (green mold, blue mold). In Postharvest Decay; Bau-tista-Baños, S., Ed.; Academic Press: Cambridge, MA, USA, 2014; pp. 45–102. [Google Scholar] [CrossRef]
- Guyomard, H.; Soler, L.G.; Détang-Dessendre, C.; Réquillart, V. The European Green Deal improves the sustainability of food systems but has uneven economic impacts on consumers and farmers. Com-mun. Earth Environ. 2023, 4, 358. [Google Scholar] [CrossRef]
- Hernández-Carrillo, J.G.; Orta-Zavalza, E.; González-Rodríguez, S.E.; Montoya-Torres, C.; Sepúlve-da-Ahumada, D.R.; Ortiz-rivera, Y. Evaluation of the effectivity of reuterin in pectin edible coatings to extend the shelf-life of strawberries during cold storage. Food Packag. Shelf Life 2021, 30, 100760. [Google Scholar] [CrossRef]
- Heras, M.; Huang, C.C.; Chang, C.W.; Lu, K.H. Trends in chitosan-based films and coatings: A systematic review of the incorporated biopreservatives, biological properties, and nanotechnology applications in meat preservation. Food Packag. Shelf Life 2024, 42, 101259. [Google Scholar] [CrossRef]
- Triunfo, M.; Tafi, E.; Guarnieri, A.; Salvia, R.; Scieuzo, C.; Hahn, T.; Zibek, S.; Gagliardini, A.; Panariello, L.; Coltelli, M.B. Characterization of chitin and chitosan derived from Hermetia illucens, a further step in a circular economy process. Sci. Rep. 2022, 12, 6613. [Google Scholar] [CrossRef] [PubMed]
- Kou, S.; Peters, L.M.; Mucalo, M.R. Chitosan: A review of sources and preparation methods. Int. J. Biol. Macromol. 2021, 169, 85–94. [Google Scholar] [CrossRef] [PubMed]
- Bill, M.; Sivakumar, D.; Korsten, L.; Thompson, A.K. The efficacy of combined application of edible coat-ings and thyme oil in inducing resistance components in avocado (Persea americana Mill.) against anthrac-nose during post-harvest storage. Crop Prot. 2014, 64, 159–167. [Google Scholar] [CrossRef]
- Chien, P.J.; Sheu, F.; Lin, H. Coating citrus (Murcott tangor) fruit with low molecular weight chitosan increases postharvest quality and shelf life. Food Chem. 2007, 100, 1160–1164. [Google Scholar] [CrossRef]
- Perdones, A.; Escriche, I.; Chiralt, A.; Vargas, M. Effect of chitosan–lemon essential oil coatings on volatile profile of strawberries during storage. Food Chem. 2016, 197 Pt A, 979–986. [Google Scholar] [CrossRef]
- Sánchez-González, L.; Cháfer, M.; Chiralt, A.; González-Martínez, C. Physical properties of edible chitosan films containing bergamot essential oil and their inhibitory action on Penicillium italicum. Carbohydr. Polym. 2010, 82, 277–283. [Google Scholar] [CrossRef]
- Elsabagh, R.; Ibrahim, S.S.; Abd-Elaaty, E.M.; Abdeen, A.; Rayan, A.M.; Ibrahim, S.F.; Morsy, M.K. Chitosan edible coating: A potential control of toxic biogenic amines and enhancing the quality and shelf life of chilled tuna filets. Front. Sustain. Food Syst. 2023, 7, 1177010. [Google Scholar] [CrossRef]
- Phala, K.; Mapossa, A.B.; Augustyn, W.; Combrinck, S.; Botha, B. Development of EVA and LLDPE polymer-based carvone and spearmint essential oil release systems for citrus postharvest diseases applications. Arab. J. Chem. 2023, 16, 104458. [Google Scholar] [CrossRef]
- Komaiko, J.; Mcclements, D.J. Low-energy formation of edible nanoemulsion by spontaneous emulsification: Factors influencing particle size. J. Food Eng. 2015, 146, 122–128. [Google Scholar] [CrossRef]
- de Oliveira Filho, J.G.; Miranda, M.; Ferreira, M.D.; Plotto, A. Nanoemulsions as edible coatings: A potential strategy for fresh fruits and vegetables preservation. Foods 2021, 10, 2438. [Google Scholar] [CrossRef] [PubMed]
- Mushtaq, A.; Wani, S.M.; Malik, A.R.; Gull, A.; Ramniwas, S.; Nayik, G.A.; Ercisli, S.; Marc, R.A.; Ullah, R.; Bari, A. Recent insights into anoemulsions: Their preparation, properties and applications. Food Chem. X 2023, 18, 100684. [Google Scholar] [CrossRef] [PubMed]
- Badawy, M.E.I.; Rabea, E.I. A biopolymer chitosan and its derivatives as promising antimicrobial agents against plant pathogens and their applications in crop protection. Int. J. Carbohydr. Chem. 2011, 2011, 460381. [Google Scholar] [CrossRef]
- Arendrup, M.C.; Kahlmeter, G.; Guinea, J.; Meletiadis, J. How to: Perform antifungal susceptibility testing of microconidia-forming dermatophytes following the new reference EUCAST method E.Def 11.0, exemplified by Trichophyton. Clin. Microbiol. Infect. 2021, 27, 55–60. [Google Scholar] [CrossRef]
- Sellamuthu, P.S.; Sivakumar, D.; Soundy, P. Antifungal activity and chemical composition of thyme, peppermint and citronella oils in vapor phase against avocado and peach postharvest pathogens. J. Food Saf. 2013, 33, 86–93. [Google Scholar] [CrossRef]
- Sivakumar, D.; Wijeratnam, R.W.; Wijesundera, R.L.C. Effect of GRAS compounds on mycelial growth, pectic enzyme activity and disease severity of postharvest pathogens on Rambutan (Nephelium lappaceum). Phytoparasitica 2001, 29, 135–141. [Google Scholar] [CrossRef]
- Malfatti, A.D.R.; Mallmann, G.C.; Filho, L.C.O.; Carniel, L.S.C.; Cruz, S.P.; Klauberg-Filho, O. Ecotoxicological test to assess effects of herbicides on spore germination of Rhizophagus clarus and Gigaspora albida. Ecotoxicol. Environ. Saf. 2021, 27, 55–60. [Google Scholar] [CrossRef] [PubMed]
- Galus, S.; Kadzińska, J. Whey protein edible films modified with almond and walnut oils. Food Hydrocoll. 2016, 52, 78–86. [Google Scholar] [CrossRef]
- Das, S.; Chaudhari, A.K.; Singh, V.K.; Dwivedy, A.K.; Dubey, N.K. Chitosan based encapsulation of Valeriana officinalis essential oil as edible coating for inhibition of fungi and aflatoxin B1 contamination, nutritional quality improvement, and shelf-life extension of Citrus sinensis fruits. Int. J. Biol. Macromol. 2023, 233, 123565. [Google Scholar] [CrossRef] [PubMed]
- Sun, L.; Sun, J.; Chen, L.; Niu, P.; Yang, X.; Guo, Y. Preparation and characterization of chitosan film incor-porated with thinned young apple polyphenols as an active packaging material. Carbohydr. Polym. 2017, 163, 81–91. [Google Scholar] [CrossRef]
- Elshamy, S.; Khadizatul, K.; Uemura, K. Chitosan-based film incorporated with essential oil nanoemulsion foreseeing enhanced antimicrobial effect. J. Food Sci. Technol. 2021, 58, 3314–3327. [Google Scholar] [CrossRef]
- Rui, L.; Li, Y.; Wu, X.; Wang, Y.; Xia, X. Effect of clove essential oil nanoemulsion on physicochemical and antioxidant properties of chitosan film. Int. J. Biol. Macromol. 2024, 263, 130286. [Google Scholar] [CrossRef]
- Pillai, S.K.; Maubane, L.; Sinha Ray, S.; Khumalo, V.; Bill, M.; Sivakumar, D. Development of antifungal films based on low-density polyethylene and thyme oil for avocado packaging. J. Appl. Polym. Sci. 2016, 133, 8. [Google Scholar] [CrossRef]
- Pillai, S.K.; Ray, S.S. Inorganic-organic hybrid polymers for food packaging. In Functional Polymers in Food Science: From Technology to Biology; Wiley: New York, NY, USA, 2015; pp. 281–322. [Google Scholar] [CrossRef]
- Osset-Trénor, P.; Pascual-Ahuir, A.; Proft, M. Fungal Drug response and antimicrobial resistance. J. Fungi 2023, 9, 565. [Google Scholar] [CrossRef] [PubMed]
- Zulu, L.; Gao, H.; Zhu, Y.; Wu, H.; Xie, Y.; Liu, X.; Yao, H.; Rao, Q. Antifungal effects of seven plant essential oils against Penicillium digitatum. Chem. Biol. Technol. Agric. 2023, 10, 82. [Google Scholar] [CrossRef]
- Szczerbanik, M.; Jobling, J.J.; Morris, S.; Holford, P. Essential oil vapours control some common posthar-vest fungal pathogens. Aust. J. Exp. Agric. 2007, 47, 103–109. [Google Scholar] [CrossRef]
- Yahyazadeh, M.; Omidbaigi, R.; Zare, R.; Taheri, H. Effect of some essential oils on mycelial growth of Pen-icillium digitatum Sacc. World J. Microbiol. Biotechnol. 2008, 24, 1445–1450. [Google Scholar] [CrossRef]
- Tao, N.; Jia, L.; Zhou, H. Anti-fungal activity of Citrus reticulata Blanco essential oil against Penicillium italicum and Penicillium digitatum. Food Chem. 2014, 153, 265–271. [Google Scholar] [CrossRef] [PubMed]
- Pârvu, M.; Pârvu, A.E.; Crăciun, C.; Barbu-Tudoran, L.; Tămaş, M. Antifungal activities of Chelidonium majus extract on Botrytis cinerea in vitro and ultrastructural changes in its conidia. J. Phytopathol. 2008, 156, 550–552. [Google Scholar] [CrossRef]
- Aswathanarayan, J.B.; Vittal, R.R. Nanoemulsions and their potential applications in food industry. Front. Sustain. Food Syst. 2019, 3, 95. [Google Scholar] [CrossRef]
- de la Cruz, A.S.L.; Barrera-Cortés, J.; Lina-García, L.P.; Ramos-Valdivia, A.C.; Santillán, R. Nanoemulsified formulation of Cedrela odorata essential oil and its larvicidal effect against Spodoptera frugiperda (J.E. Smith). Molecules 2022, 27, 2975. [Google Scholar] [CrossRef] [PubMed]
- Tariq, H.; Rehman, A.; Kishwar, F.; Raza, Z.A. Citric acid cross-linking of chitosan encapsulated spearmint oil for antibacterial cellulosic fabric. Polym. Sci. Ser. A 2022, 64, 456–466. [Google Scholar] [CrossRef] [PubMed]
- Yousefi, M.; Khanniri, E.; Sohrabvandi, S.; Khorshidian, N.; Mortazavian, A.M. Encapsulation of Heracleum persicum essential oil in chitosan nanoparticles and its application in yogurt. Front. Nutr. 2023, 10, 1130425. [Google Scholar] [CrossRef] [PubMed]
- Essid, R.; Ayed, A.; Djebali, K.; Saad, H.; Srasra, M.; Othmani, Y.; Fares, N.; Jallouli, S.; Abid, I.; Alothman, M.R. Anti-candida and anti-leishmanial activities of encapsulated Cinnamomum verum essential oil in chitosan nanoparticles. Molecules 2023, 28, 5681. [Google Scholar] [CrossRef] [PubMed]
- Bonilla, J.; Atarés, L.; Vargas, M.; Chiralt, A. Effect of basil and thyme essential oils and homogenization conditions on properties of chitosan-based films. Food Hydrocoll. 2012, 26, 9–16. [Google Scholar] [CrossRef]
- Hong, F.; Qiu, P.; Wang, Y.; Ren, P.; Liu, J.; Zhao, J.; Gou, D. Chitosan-based hydrogels: From preparation to applications, a review. Food Chem. X 2024, 21, 101095. [Google Scholar] [CrossRef]
- de Oliveira Filho, J.G.; de Deus, I.P.B.; Valadares, A.C.F.; Fernandes, C.C.; Estevam, E.B.B.; Egea, M.B. Chitosan film with Citrus limonia essential oil: Physical and morphological properties and antibacterial activity. Colloids Interfaces 2020, 4, 18. [Google Scholar] [CrossRef]
- Haghighi, H.; Biard, S.; Bigi, F.; De Leo, R.; Bedin, E.; Pfeifer, F.; Siesler, H.W.; Licciardello, F.; Pulvirenti, A. Comprehensive characterization of active chitosan-gelatin blend films enriched with different essential oils. Food Hydrocoll. 2019, 95, 33–42. [Google Scholar] [CrossRef]
- Croll, S.G. Stress and embrittlement in organic coatings during general weathering exposure: A review. Prog. Org. Coat. 2022, 172, 107085. [Google Scholar] [CrossRef]
- Silva, M.I.; Malitckii, E.; Santos, T.G.; Vilaça, P. Review of conventional and advanced non-destructive testing techniques for detection and characterization of small-scale defects. Prog. Mater. Sci. 2023, 138, 101155. [Google Scholar] [CrossRef]
- Zhang, X.; Liu, D.; Jin, T.Z.; Chen, W.; He, Q.; Zou, Z.; Guo, M. Preparation and characterization of gellan gum-chitosan polyelectrolyte complex films with the incorporation of thyme essential oil nanoemulsion. Food Hydrocoll. 2021, 114, 106570. [Google Scholar] [CrossRef]
- Lee, J.S.; Lee, E.; Han, J. Enhancement of the water-resistance properties of an edible film prepared from mung bean starch via the incorporation of sunflower seed oil. Sci. Rep. 2020, 10, 13622. [Google Scholar] [CrossRef] [PubMed]
- Gorjian, H.; Mihankhah, P.; Khaligh, N.G. Influence of tween nature and type on physicochemical proper-ties and stability of spearmint essential oil (Mentha spicata L.) stabilized with basil seed mucilage nanoemulsion. J. Mol. Liq. 2022, 359, 119379. [Google Scholar] [CrossRef]
- Nazari, M.; Majdi, H.; Gholizadeh, P.; Kafil, H.S.; Hamishehkar, H.; Zarchi, A.A.K.; Khoddami, A. An eco-friendly chitosan/cellulose acetate hybrid nanostructure containing Ziziphora clinopodioides essential oils for active food packaging applications. Int. J. Biol. Macromol. 2023, 235, 123885. [Google Scholar] [CrossRef] [PubMed]
- Zhao, Y.; Zhang, Y.; Dong, H.; Wu, W.; Yang, X.; He, Q. Functional biopolymers for food packaging: Formation mechanism and performance improvement of chitosan-based composites. Food Biosci. 2023, 102927. [Google Scholar] [CrossRef]
- Al-Harrasi, A.; Bhtaia, S.; Al-Azri, M.S.; Makeen, H.A.; Albratty, M.; Alhazmi, H.A.; Behl, T. Development and characterization of chitosan and porphyran based composite edible films containing ginger essential oil. Polymers 2022, 14, 1782. [Google Scholar] [CrossRef] [PubMed]
- Mao, S.; Ren, Y.; Wei, C.; Chen, S.; Ye, X.; Jinhu, T. Development of novel EGCG/Fe loaded sodium alginate-based packaging films with antibacterial and slow-release properties. Food Hydrocoll. 2023, 145, 109032. [Google Scholar] [CrossRef]
- Liu, Y.; Liu, R.; Shi, J.; Zhang, R.; Tang, H.; Xie, C.; Jiang, L. Chitosan/esterified chitin nanofibers nanocom-posite films incorporated with rose essential oil: Structure, physicochemical characterization, antioxidant and antibacterial properties. Food Chem. X 2023, 18, 100714. [Google Scholar] [CrossRef] [PubMed]
- du Plooy, W.; Regnier, T.; Combrinck, S. Essential oil amended coatings as alternatives to synthetic fungi-cides in citrus postharvest management. Postharvest Biol Technol. 2009, 53, 117–122. [Google Scholar] [CrossRef]









| Treatment | Concentration (%) | Penicillium digitatum (Green Mold) | Penicillium italicum (Blue Mold) | ||||
|---|---|---|---|---|---|---|---|
| Mycelial Growth (mm) | Inhibition (%) | Nature of Toxicity | Mycelial Growth (mm) | Inhibition (%) | Nature of Toxicity | ||
| Spearmint nanoemulsion (S)-EO | 0.5 | 13.2 ± 0.97 e | 67.27 ± 6.02 b | 23.7 ± 5.9 c | 35 ± 6.9 c | ||
| 1 | 0 f | 100 ± 2.13 a | Fungistatic | 0 f | 100 a | Fungistatic | |
| 1.5 | 0 f | 100 ± 2.12 a | Fungistatic | 0 f | 100 a | Fungistatic | |
| Chitosan (CH) | 0.2 | 43 ± 2.16 b | 0 c | 35.67 ± 6.64 b | 29.7 ± 2.32 d | ||
| 0.4 | 44.66 ± 3.68 b | 0 c | 30.67 ± 1.88 b | 28.57 ± 2.69 d | |||
| 0.8 | 36.33 ± 2.86 c | 0 c | 33.33 ± 3.29 b | 21 ± 6.78 e | |||
| 1 | 37.67 ± 0.47 c | 0 c | 26.67 ± 1.69 c | 35 ± 2.26 c | |||
| Tween 80 | 0.5 | 58 ± 5.54 a | 0 c | 47.00 ± 3.4 a | 0 i | ||
| Imazalil | 0.025 | 0 f | 100 ± 2.1 a | Fungicidal | 0 f | 100 a | Fungicidal |
| Distilled H2O | 41.4 ± 6.01 d | 0 c | 41.6 ± 2.01 a | 0 i | |||
| Chitosan (CH) + spearmint essential oil (S)-EO nanoemulsion coating solution | 0.2% + 0.5% | 0 f | 100 ± 0.81 a | Fungistatic | 30.5 ± 2.5 b | 26.6 ± 0.6 d | |
| 0.2% + 1.0% | 0 f | 100 ± 0.81 a | Fungistatic | 15.5 ± 2.4 de | 39.44 ± 2.77 c | ||
| 0.2% + 2.0% | 0 a | 100 ± 0.81 a | Fungistatic | 16.5 ± 3.5 d | 100 ± 1.16 a | Fungistatic | |
| 0.2% + 3.0% | 0 f | 100 ± 0.81 a | Fungistatic | 0 f | 100 ± 1.16 a | Fungistatic | |
| 0.2% + 5.0% | 0 f | 100 ± 0.81 a | Fungistatic | 0 f | 100 ± 1.16 a | Fungistatic | |
| 0.4% + 0.5% | 0 f | 100 ± 0.81 a | Fungistatic | 26.00 ± 2.0 c | 28.5 ± 0.87 d | ||
| 0.4% + 1.0% | 0 f | 100 ± 0.81 a | Fungistatic | 5.00 ± 2.0 e | 33.48 ± 2.23 c | ||
| 0.4% + 2.0% | 0 f | 100 ± 0.81 a | Fungistatic | 0 f | 100 ± 9.75 a | Fungistatic | |
| 0.4% + 3.0% | 0 f | 100 ± 0.81 a | Fungistatic | 0 f | 100 ± 9.75 a | Fungistatic | |
| 0.4% + 5.0% | 0 f | 100 ± 0.81 a | Fungistatic | 0 f | 100 ± 9.75 a | Fungistatic | |
| 0.8% + 0.5% | 0 f | 100 ± 0.81 a | Fungistatic | 15.5 ± 0.5 de | 56.2 ± 3.25 b | ||
| 0.8% + 1.0% | 0 f | 100 ± 0.81 a | Fungistatic | 0 f | 100 ± 1.82 a | Fungistatic | |
| 0.8% + 2.0% | 0 f | 100 ± 0.81 a | Fungistatic | 0 f | 100 ± 1.82 a | Fungistatic | |
| 0.8% + 3.0% | 0 f | 100 ± 0.81 a | Fungistatic | 0 f | 100 ± 1.82 a | Fungistatic | |
| 0.8% + 5.0% | 0 f | 100 ± 0.81 a | Fungistatic | 0 f | 100 ± 1.82 a | Fungistatic | |
| 1.0% + 0.5% | 0 f | 100 ± 0.81 a | Fungistatic | 5.00 ± 1.0 e | 100 ± 0.0 a | Fungistatic | |
| 1.0% + 1.0% | 0 a | 100 ± 0.81 a | Fungistatic | 0 f | 100 ± 0.0 a | Fungistatic | |
| 1.0% + 2.0% | 0 f | 100 ± 0.81 a | Fungistatic | 0 f | 100 ± 0.0 a | Fungistatic | |
| 1.0% + 3.0% | 0 f | 100 ± 0.81 a | Fungistatic | 0 f | 100 ± 0.0 a | Fungistatic | |
| 1.0% + 5.0% | 0 f | 100 ± 0.81 a | Fungistatic | 0 f | 100 ± 0.0 a | Fungistatic | |
| EO-Emulsion | Pathogen | EC50 (mg/L) | Toxicity Regression Equation | R2 |
|---|---|---|---|---|
| (S) nanoemulsion | Penicillium digitatum | 240 | y = 0.548× + 36.045 | 0.9061 |
| Penicillium italicum | 300 | y = 0.0705× + 28.696 | 0.9747 | |
| CH + (S) nanoemulsion | Penicillium digitatum | 250 | y = 0.0633× + 33.519 | 0.9321 |
| Penicillium italicum | 110 | y = 0.0587× + 43.239 | 0.9556 |
| Treatment | Particle Size (nm) | PDI | Z-Potential (mV) | Viscosity (Pa.s) | pH |
|---|---|---|---|---|---|
| 0.8% CH | 159.2 ± 11.79 b | 0.83 ± 0.06 a | 42.16 ± 1.47 a | 15.16 ± 0.27 a | 4.08 ± 0.01 a |
| CH + (S)-EO nanoemulsion | 252.3 ± 97.57 a | 0.61 ± 0.06 c | 21.6 ± 4.62 b | 9.35 ± 0.19 b | 4.16 ± 0.01 a |
| 1.5% (S)-EO nanoemulsion | 88.93 ± 15.47 c | 0.74 ± 0.08 b | 14.56 ± 1.04 c | *ND | 4.1 ± 0.01 a |
| Coating | L* | a* | b* | ΔE | Opacity (A/•mm1) |
|---|---|---|---|---|---|
| Chitosan (0.8%) | 87.03 ± 5.21 a | 0.56 ± 0.32 a | 3.58 ± 1.13 b | *ND | 0.504 ± 0.04 a |
| Chitosan (0.8%) + 2% Spearmint nanoemuslion | 75.75 ± 0.08 b | 0.29 ± 0.05 c | 3.91 ± 0.51 a | 14.14 ± 9.16 | 0.562 ± 0.05 a |
| 2% Spearmint nanoemulsion | 54.06 ± 6.11 c | 0.51 ± 0.14 b | 1.75 ± 0.32 c | *ND | *ND |
| Treatment | Thickness (mm) | Moisture Content (%) | Water Solubility (%) | WVP (g·mm/m2·h·kPa) | Tensile Strength (MPa) |
|---|---|---|---|---|---|
| (0.8%) CH | 0.021 ± 0.01 b | 69.71 ± 6.31 a | 44.26 ± 0.75 b | 0.01 ± 0.00 a | 19.49 ± 5.10 a |
| CH + (S)-EO nanoemulsion | 0.024 ± 0.01 a | 65.84 ± 1.84 b | 58.11 ± 6.81 a | 0.02 ± 0.00 a | 14.39 ± 1.49 b |
Disclaimer/Publisher’s Note: The statements, opinions and data contained in all publications are solely those of the individual author(s) and contributor(s) and not of MDPI and/or the editor(s). MDPI and/or the editor(s) disclaim responsibility for any injury to people or property resulting from any ideas, methods, instructions or products referred to in the content. |
© 2025 by the authors. Licensee MDPI, Basel, Switzerland. This article is an open access article distributed under the terms and conditions of the Creative Commons Attribution (CC BY) license (https://creativecommons.org/licenses/by/4.0/).
Share and Cite
Maswanganye, L.T.C.; Pillai, S.K.; Sivakumar, D. Chitosan Coating Loaded with Spearmint Essential Oil Nanoemulsion for Antifungal Protection in Soft Citrus (Citrus reticulata) Fruits. Coatings 2025, 15, 105. https://doi.org/10.3390/coatings15010105
Maswanganye LTC, Pillai SK, Sivakumar D. Chitosan Coating Loaded with Spearmint Essential Oil Nanoemulsion for Antifungal Protection in Soft Citrus (Citrus reticulata) Fruits. Coatings. 2025; 15(1):105. https://doi.org/10.3390/coatings15010105
Chicago/Turabian StyleMaswanganye, Lebogang T. C., Sreejarani Kesavan Pillai, and Dharini Sivakumar. 2025. "Chitosan Coating Loaded with Spearmint Essential Oil Nanoemulsion for Antifungal Protection in Soft Citrus (Citrus reticulata) Fruits" Coatings 15, no. 1: 105. https://doi.org/10.3390/coatings15010105
APA StyleMaswanganye, L. T. C., Pillai, S. K., & Sivakumar, D. (2025). Chitosan Coating Loaded with Spearmint Essential Oil Nanoemulsion for Antifungal Protection in Soft Citrus (Citrus reticulata) Fruits. Coatings, 15(1), 105. https://doi.org/10.3390/coatings15010105

