An Investigation of Carbon-Fiber-Reinforced Plastic Ablation by Femtosecond Laser Pulses for Further Material Cutting
Abstract
1. Introduction
2. Experimental Results and Discussion
2.1. Optical Setup
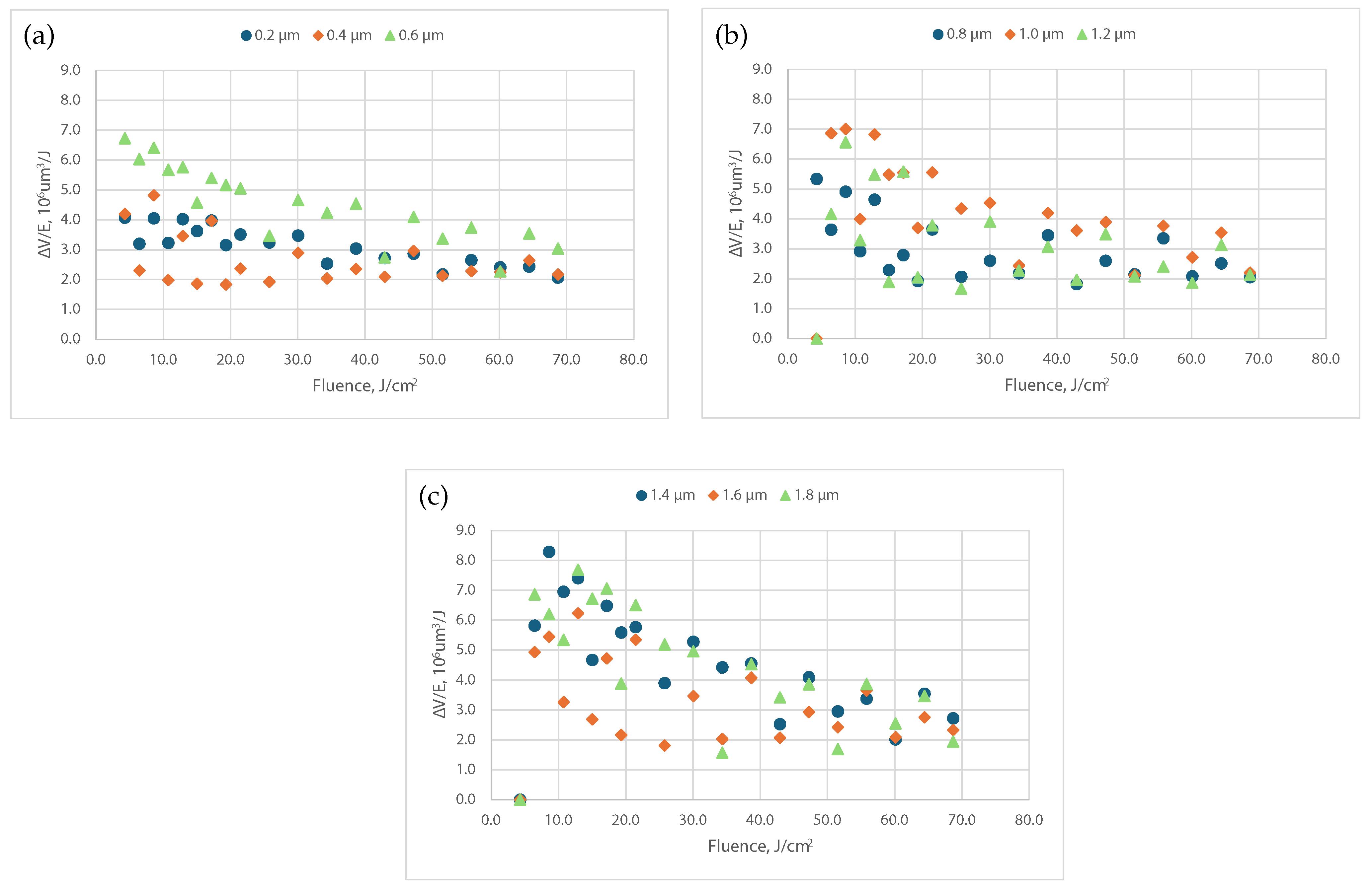
2.2. Variation in Pulse-to-Pulse Distance
2.3. Variation in the Pulse Duration
2.4. Cutting CFRP
3. Conclusions
Author Contributions
Funding
Institutional Review Board Statement
Informed Consent Statement
Data Availability Statement
Conflicts of Interest
Abbreviations
| CFRP | Carbon-fiber-reinforced plastic |
| HAZ | Heat-affected zone |
| fs | femtosecond |
References
- Che, D.; Saxena, I.; Han, P.; Guo, P.; Ehmann, K.F. Machining of carbon fiber reinforced plastics/polymers: A literature review. J. Manuf. Sci. Eng. 2014, 136, 034001. [Google Scholar] [CrossRef]
- Wang, Z.; Ma, Y.; Yuan, B.; Wu, C.; Li, C.; Sun, S. Development of laser processing carbon-fiber-reinforced plastic. Sensors 2023, 23, 3659. [Google Scholar] [CrossRef] [PubMed]
- Soutis, C. Carbon fiber reinforced plastics in aircraft construction. Mater. Sci. Eng. A 2005, 412, 171–176. [Google Scholar] [CrossRef]
- Pecat, O.; Rentsch, R.; Brinksmeier, E. Influence of milling process parameters on the surface integrity of CFRP. Procedia CIRP 2012, 1, 466–470. [Google Scholar] [CrossRef]
- Mulqueen, D.W.; Sattar, S.; Kravchenko, O.G. Mechanical and thermal properties of carbon fiber epoxy composite with interlaminar graphene at elevated temperature. Compos. Part B Eng. 2023, 255, 110609. [Google Scholar] [CrossRef]
- Torokhov, V.G.; Chukov, D.I.; Tcherdyntsev, V.V.; Sherif, G.; Zadorozhnyy, M.Y.; Stepashkin, A.A.; Larin, I.I.; Medvedeva, E.V. Mechanical and thermophysical properties of carbon fiber-reinforced polyethersulfone. Polymers 2022, 14, 2956. [Google Scholar] [CrossRef]
- Hegde, S.; Shenoy, B.S.; Chethan, K. Review on carbon fiber reinforced polymer (CFRP) and their mechanical performance. Mater. Today Proc. 2019, 19, 658–662. [Google Scholar] [CrossRef]
- Seo, J.; Kim, D.C.; Park, H.; Kang, Y.S.; Park, H.W. Advancements and challenges in the carbon fiber-reinforced polymer (CFRP) trimming process. Int. J. Precis. Eng. Manuf.-Green Technol. 2024, 11, 1341–1360. [Google Scholar] [CrossRef]
- Sayam, A.; Rahman, A.M.; Rahman, M.S.; Smriti, S.A.; Ahmed, F.; Rabbi, M.F.; Hossain, M.; Faruque, M.O. A review on carbon fiber-reinforced hierarchical composites: Mechanical performance, manufacturing process, structural applications and allied challenges. Carbon Lett. 2022, 32, 1173–1205. [Google Scholar] [CrossRef]
- Abedin, F.; Kalla, D.K. Review on heat affected zone (HAZ) in laser machining. In Proceedings of the 6th Annual GRASP Symposium, Wichita, KS, USA, 23 April 2010; pp. 63–64. [Google Scholar]
- Oh, S.; Lee, I.; Park, Y.B.; Ki, H. Investigation of cut quality in fiber laser cutting of CFRP. Opt. Laser Technol. 2019, 113, 129–140. [Google Scholar] [CrossRef]
- Staehr, R.; Wippo, V.; Jaeschke, P.; Kaierle, S. Laser microdrilling of CFRP with a nanosecond-pulsed high-power laser. J. Laser Appl. 2022, 34, 042028. [Google Scholar] [CrossRef]
- Niino, H.; Kawaguchi, Y.; Sato, T.; Narazaki, A.; Kurosaki, R.; Muramatsu, M.; Harada, Y.; Anzai, K.; Wakabayashi, K.; Nagashima, T.; et al. Laser cutting of carbon fiber reinforced thermo-plastic (CFRTP) by IR laser irradiation. J. Laser Micro Nanoeng. 2014, 9, 180. [Google Scholar] [CrossRef][Green Version]
- Bin, D.; Juan, Z.; Dawei, W.; Yiyuan, Z.; Leran, Z.; Rui, L.; Chen, X.; Shunli, L.; Zihang, Z.; Hao, W.; et al. Femtosecond laser micromachining optical devices. Opto-Electron. Eng. 2023, 50, 220073. [Google Scholar]
- Feng, J.; Wang, J.; Liu, H.; Sun, Y.; Fu, X.; Ji, S.; Liao, Y.; Tian, Y. A Review of an Investigation of the Ultrafast Laser Processing of Brittle and Hard Materials. Materials 2024, 17, 3657. [Google Scholar] [CrossRef] [PubMed]
- Chen, M.; Guo, B.; Jiang, L.; Liu, Z.; Qian, Q. Analysis and optimization of the heat affected zone of CFRP by femtosecond laser processing. Opt. Laser Technol. 2023, 167, 109756. [Google Scholar] [CrossRef]
- Sugioka, K.; Cheng, Y. Ultrafast lasers—Reliable tools for advanced materials processing. Light. Sci. Appl. 2014, 3, e149. [Google Scholar] [CrossRef]
- Malinauskas, M.; Žukauskas, A.; Hasegawa, S.; Hayasaki, Y.; Mizeikis, V.; Buividas, R.; Juodkazis, S. Ultrafast laser processing of materials: From science to industry. Light. Sci. Appl. 2016, 5, e16133. [Google Scholar] [CrossRef] [PubMed]
- Phillips, K.C.; Gandhi, H.H.; Mazur, E.; Sundaram, S. Ultrafast laser processing of materials: A review. Adv. Opt. Photonics 2015, 7, 684–712. [Google Scholar] [CrossRef]
- Lei, S.; Zhao, X.; Yu, X.; Hu, A.; Vukelic, S.; Jun, M.B.; Joe, H.E.; Yao, Y.L.; Shin, Y.C. Ultrafast laser applications in manufacturing processes: A state-of-the-art review. J. Manuf. Sci. Eng. 2020, 142, 031005. [Google Scholar] [CrossRef]
- Juodkazis, S.; Kondo, T.; Mizeikis, V.; Matsuo, S.; Misawa, H.; Vanagas, E.; Kudryashov, I. Microfabrication of three-dimensional structures in polymer and glass by femtosecond pulses. arXiv 2002, arXiv:physics/0205025. [Google Scholar]
- Vanagas, E.; Kudryashov, I.; Tuzhilin, D.; Juodkazis, S.; Matsuo, S.; Misawa, H. Surface nanostructuring of borosilicate glass by femtosecond nJ energy pulses. Appl. Phys. Lett. 2003, 82, 2901–2903. [Google Scholar] [CrossRef]
- Gaizauskas, E.; Vanagas, E.; Jarutis, V.; Juodkazis, S.; Mizeikis, V.; Misawa, H. Discrete damage traces from filamentation of Gauss-Bessel pulses. Opt. Lett. 2006, 31, 80–82. [Google Scholar] [CrossRef] [PubMed]
- Myronyuk, O.; Raks, V.A.; Baklan, D.; Vasyliev, G.; Vanagas, E.; Kurdil, N.; Sivolapov, P. Water repellent coatings with hierarchal structures obtained on anodized aluminum with femtosecond laser ablation. Appl. Nanosci. 2021, 12, 523–531. [Google Scholar] [CrossRef]
- Takesada, M.; Vanagas, E.; Tuzhilin, D.; Kudryashov, I.; Suruga, S.; Murakami, H.; Sarukura, N.; Matsuda, K.; Mononobe, S.; Saiki, T.; et al. Micro-character printing on a diamond plate by femtosecond infrared optical pulses. Jpn. J. Appl. Phys. 2003, 42, 4613. [Google Scholar] [CrossRef]
- Lin, X.; Chen, H.; Jiang, S.; Zhang, C. A Coulomb explosion theoretical model of femtosecond laser ablation materials. Sci. China Technol. Sci. 2012, 55, 694–701. [Google Scholar] [CrossRef]
- Zhao, X.; Shin, Y.C. Coulomb explosion and early plasma generation during femtosecond laser ablation of silicon at high laser fluence. J. Phys. D Appl. Phys. 2013, 46, 335501. [Google Scholar] [CrossRef]
- Mahan, G. Relaxation time of electron-phonon systems. J. Phys. Chem. Solids 1970, 31, 1477–1484. [Google Scholar] [CrossRef]
- Jiang, J.; Saito, R.; Grüneis, A.; Dresselhaus, G.; Dresselhaus, M. Electron–phonon interaction and relaxation time in graphite. Chem. Phys. Lett. 2004, 392, 383–389. [Google Scholar] [CrossRef]
- Elsayed-Ali, H.; Norris, T.; Pessot, M.; Mourou, G. Time-resolved observation of electron-phonon relaxation in copper. Phys. Rev. Lett. 1987, 58, 1212. [Google Scholar] [CrossRef] [PubMed]
- Sidorova, M.; Semenov, A.; Hübers, H.W.; Ilin, K.; Siegel, M.; Charaev, I.; Moshkova, M.; Kaurova, N.; Goltsman, G.N.; Zhang, X.; et al. Electron energy relaxation in disordered superconducting NbN films. Phys. Rev. B 2020, 102, 054501. [Google Scholar] [CrossRef]
- Sjakste, J.; Vast, N.; Barbarino, G.; Calandra, M.; Mauri, F.; Kanasaki, J.; Tanimura, H.; Tanimura, K. Energy relaxation mechanism of hot-electron ensembles in GaAs: Theoretical and experimental study of its temperature dependence. Phys. Rev. B 2018, 97, 064302. [Google Scholar] [CrossRef]
- Wang, F.; Shan, J.; Knoesel, E.; Bonn, M.; Heinz, T.F. Electronic charge transport in sapphire studied by optical-pump/THz-probe spectroscopy. In Proceedings of the Ultrafast Phenomena in Semiconductors and Nanostructure Materials VIII, San Jose, CA, USA, 30 June 2004; Volume 5352, pp. 216–221. [Google Scholar]
- Yang, J.A.; Parham, S.; Dessau, D.; Reznik, D. Novel electron-phonon relaxation pathway in graphite revealed by time-resolved Raman scattering and angle-resolved photoemission spectroscopy. Sci. Rep. 2017, 7, 40876. [Google Scholar] [CrossRef] [PubMed]
- Köhler, C. Phonon-Induced Ultrafast Relaxation Processes and Local Enhancement of Electric Fields. Ph.D. Thesis, Technischen Universität Berlin, Berlin, Germany, 2016. [Google Scholar]








Disclaimer/Publisher’s Note: The statements, opinions and data contained in all publications are solely those of the individual author(s) and contributor(s) and not of MDPI and/or the editor(s). MDPI and/or the editor(s) disclaim responsibility for any injury to people or property resulting from any ideas, methods, instructions or products referred to in the content. |
© 2025 by the authors. Licensee MDPI, Basel, Switzerland. This article is an open access article distributed under the terms and conditions of the Creative Commons Attribution (CC BY) license (https://creativecommons.org/licenses/by/4.0/).
Share and Cite
Šlevas, P.; Minkevičius, J.; Ulčinas, O.; Orlov, S.; Vanagas, E.; Bilousova, A.; Baklan, D.; Myronyuk, O. An Investigation of Carbon-Fiber-Reinforced Plastic Ablation by Femtosecond Laser Pulses for Further Material Cutting. Coatings 2025, 15, 104. https://doi.org/10.3390/coatings15010104
Šlevas P, Minkevičius J, Ulčinas O, Orlov S, Vanagas E, Bilousova A, Baklan D, Myronyuk O. An Investigation of Carbon-Fiber-Reinforced Plastic Ablation by Femtosecond Laser Pulses for Further Material Cutting. Coatings. 2025; 15(1):104. https://doi.org/10.3390/coatings15010104
Chicago/Turabian StyleŠlevas, Paulius, Justinas Minkevičius, Orestas Ulčinas, Sergej Orlov, Egidijus Vanagas, Anna Bilousova, Denys Baklan, and Oleksiy Myronyuk. 2025. "An Investigation of Carbon-Fiber-Reinforced Plastic Ablation by Femtosecond Laser Pulses for Further Material Cutting" Coatings 15, no. 1: 104. https://doi.org/10.3390/coatings15010104
APA StyleŠlevas, P., Minkevičius, J., Ulčinas, O., Orlov, S., Vanagas, E., Bilousova, A., Baklan, D., & Myronyuk, O. (2025). An Investigation of Carbon-Fiber-Reinforced Plastic Ablation by Femtosecond Laser Pulses for Further Material Cutting. Coatings, 15(1), 104. https://doi.org/10.3390/coatings15010104

