Nanocomposite Coatings of Pectin and Oxide Zinc Nanoparticles to Increase Papaya Shelf Life
Abstract
1. Introduction
2. Materials and Methods
2.1. Material
2.2. Production of NPZ
2.3. Characterization of NPZ
2.4. Nanocomposite Coating Preparation
2.5. Characterization of Films
2.5.1. Determination of Film Thickness
2.5.2. Mechanical Properties
2.5.3. Scanning Electron Microscopy (SEM)
2.5.4. Water-Related Properties of Films
2.5.5. Fourier Transform Infrared Spectroscopy (FTIR)
2.5.6. Rheology of Filmogenic Solutions
2.6. Application of Nanocomposite Coating Solutions on Papaya Fruits
2.6.1. Weight Loss
2.6.2. Firmness
2.6.3. Titratable Acidity and Soluble Solids
2.7. Statistical Analysis
3. Results
3.1. Characterization of NPZ
3.2. Characterization of Film
3.2.1. Physical–Mechanical Properties
3.2.2. SEM
3.2.3. Water-Related Properties of Films
3.2.4. FTIR
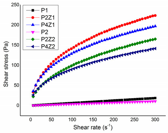
3.2.5. Rheology of Filmogenic Solutions
3.3. Preservation of Papaya Fruit Using the Pectin-ZnO Coating
3.3.1. Weight Loss
3.3.2. Firmness
3.3.3. Titratable Acidity and Soluble Solids
4. Conclusions
Author Contributions
Funding
Institutional Review Board Statement
Informed Consent Statement
Data Availability Statement
Acknowledgments
Conflicts of Interest
References
- Oliveira Filho, J.G.D.; Duarte, L.G.; Silva, Y.B.; Milan, E.P.; Santos, H.V.; Moura, T.C.; Bandini, V.P.; Vitolano, L.E.S.; Nobre, J.J.; Moreira, C.T. Novel approach for improving papaya fruit storage with carnauba wax nanoemulsion in combination with Syzigium aromaticum and Mentha spicata essential oils. Coatings 2023, 13, 847. [Google Scholar] [CrossRef]
- Rico, D.; Martin-Diana, A.B.; Barat, J.; Barry-Ryan, C. Extending and measuring the quality of fresh-cut fruit and vegetables: A review. Trends Food Sci. Technol. 2007, 18, 373–386. [Google Scholar] [CrossRef]
- Ngo, T.M.P.; Nguyen, T.H.; Dang, T.M.Q.; Tran, T.X.; Rachtanapun, P. Characteristics and antimicrobial properties of active edible films based on pectin and nanochitosan. Int. J. Mol. Sci. 2020, 21, 2224. [Google Scholar] [CrossRef] [PubMed]
- Zhang, S.; Pan, X.; Zhao, J.; Li, J.; Yu, X.; Peng, Y.; Wu, J. Characterization of ionically crosslinked mango peel pectin-based films: Effect of different cations on the improved properties of film. Food Packag. Shelf Life 2023, 38, 101131. [Google Scholar] [CrossRef]
- Jovanović, J.; Ćirković, J.; Radojković, A.; Mutavdžić, D.; Tanasijević, G.; Joksimović, K.; Bakić, G.; Branković, G.; Branković, Z. Chitosan and pectin-based films and coatings with active components for application in antimicrobial food packaging. Prog. Org. Coat. 2021, 158, 106349. [Google Scholar] [CrossRef]
- Maftoonazad, N.; Badii, F.; Shahamirian, M. Recent innovations in the area of edible films and coatings. Recent Pat. Food Nutr. Agric. 2013, 5, 201–213. [Google Scholar] [CrossRef] [PubMed]
- Satriaji, K.P.; Garcia, C.V.; Kim, G.H.; Shin, G.H.; Kim, J.T. Antibacterial bionanocomposite films based on CaSO4-crosslinked alginate and zinc oxide nanoparticles. Food Packag. Shelf Life 2020, 24, 100510. [Google Scholar] [CrossRef]
- Saedi, S.; Shokri, M.; Kim, J.T.; Shin, G.H. Semi-transparent regenerated cellulose/ZnONP nanocomposite film as a potential antimicrobial food packaging material. J. Food Eng. 2021, 307, 110665. [Google Scholar] [CrossRef]
- Guerra, I.C.; de Sousa, T.L.; de Farias, P.M.; Cappato, L.P.; de Freitas, B.S.M.; Romani, V.P.; Plácido, G.R. Films and coatings from pequi mesocarp incorporated with nano-ZnO: Properties and capacity to increase mango shelf life. Ind. Crops Prod. 2023, 195, 116414. [Google Scholar] [CrossRef]
- Santhosh, R.; Sarkar, P. Jackfruit seed starch/tamarind kernel xyloglucan/zinc oxide nanoparticles-based composite films: Preparation, characterization, and application on tomato (Solanum lycopersicum) fruits. Food Hydrocoll. 2022, 133, 107917. [Google Scholar] [CrossRef]
- Thapliyal, D.; Karale, M.; Diwan, V.; Kumra, S.; Arya, R.K.; Verros, G.D. Current Status of Sustainable Food Packaging Regulations: Global Perspective. Sustainability 2024, 16, 5554. [Google Scholar] [CrossRef]
- ASTM E96/E96M-16; Standard Test Methods for Water Vapor Transmission of Materials—Annual Book of ASTM Standards. American Society for Testing and Materials: West Conshohocken, PA, USA, 2016; pp. 719–725.
- ASTM E96-95; Standard Test Methods for Water Vapor Transmission of Materials. ASTM International: West Conshohocken, PA, USA, 2005.
- Adilah, A.N.; Jamilah, B.; Noranizan, M.; Hanani, Z.N. Utilization of mango peel extracts on the biodegradable films for active packaging. Food Packag. Shelf Life 2018, 16, 1–7. [Google Scholar] [CrossRef]
- Tapia-Blácido, D.; Mauri, A.N.; Menegalli, F.; Sobral, P.J.; Añón, M.C. Contribution of the starch, protein, and lipid fractions to the physical, thermal, and structural properties of amaranth (Amaranthus caudatus) flour films. J. Food Sci. 2007, 72, E293–E300. [Google Scholar] [CrossRef] [PubMed]
- Bertuzzi, M.A.; Armada, M.; Gottifredi, J. Physicochemical characterization of starch based films. J. Food Eng. 2007, 82, 17–25. [Google Scholar] [CrossRef]
- Calbo, A.; Nery, A. Medida de firmeza em hortaliças pela técnica de aplanação. Hortic. Bras. 1995, 13, 14–18. [Google Scholar]
- Raja, A.; Ashokkumar, S.; Marthandam, R.P.; Jayachandiran, J.; Khatiwada, C.P.; Kaviyarasu, K.; Raman, R.G.; Swaminathan, M. Eco-friendly preparation of zinc oxide nanoparticles using Tabernaemontana divaricata and its photocatalytic and antimicrobial activity. J. Photochem. Photobiol. B Biol. 2018, 181, 53–58. [Google Scholar] [CrossRef]
- A.O.A.C. (Association of Official Analytical Chemist). Official Methods of Analysis; Association of Official Analytical Chemist: Washington, DC, USA, 1990. [Google Scholar]
- Shaikhaldein, H.O.; Al-Qurainy, F.; Khan, S.; Nadeem, M.; Tarroum, M.; Salih, A.M.; Gaafar, A.-R.Z.; Alshameri, A.; Alansi, S.; Alenezi, N.A. Biosynthesis and characterization of ZnO nanoparticles using Ochradenus arabicus and their effect on growth and antioxidant systems of Maerua oblongifolia. Plants 2021, 10, 1808. [Google Scholar] [CrossRef] [PubMed]
- Santhoshkumar, J.; Kumar, S.V.; Rajeshkumar, S. Synthesis of zinc oxide nanoparticles using plant leaf extract against urinary tract infection pathogen. Resour. Effic. Technol. 2017, 3, 459–465. [Google Scholar] [CrossRef]
- Maher, S.; Nisar, S.; Aslam, S.M.; Saleem, F.; Behlil, F.; Imran, M.; Assiri, M.A.; Nouroz, A.; Naheed, N.; Khan, Z.A. Synthesis and characterization of ZnO nanoparticles derived from biomass (Sisymbrium irio) and assessment of potential anticancer activity. ACS Omega 2023, 8, 15920–15931. [Google Scholar] [CrossRef]
- Suyatma, N.E.; Ishikawa, Y.; Kitazawa, H. Nanoreinforcement of pectin film to enhance its functional packaging properties by incorporating ZnO nanoparticles. Adv. Mater. Res. 2014, 845, 451–456. [Google Scholar] [CrossRef]
- Melo, P.T.S.; Aouada, F.A.; Moura, M.R.D. Fabricação de filmes bionanocompósitos à base de pectina e polpa de cacau com potencial uso como embalagem para alimentos. Química Nova 2017, 40, 247–251. [Google Scholar] [CrossRef]
- De Oliveira Filho, J.G.; Bezerra, C.C.d.O.N.; Albiero, B.R.; Oldoni, F.C.A.; Miranda, M.; Egea, M.B.; de Azeredo, H.M.C.; Ferreira, M.D. New approach in the development of edible films: The use of carnauba wax micro-or nanoemulsions in arrowroot starch-based films. Food Packag. Shelf Life 2020, 26, 100589. [Google Scholar] [CrossRef]
- Roy, S.; Rhim, J.-W. Preparation of pectin/agar-based functional films integrated with zinc sulfide nano petals for active packaging applications. Colloids Surf. B Biointerfaces 2021, 207, 111999. [Google Scholar] [CrossRef] [PubMed]
- Nisar, T.; Wang, Z.-C.; Yang, X.; Tian, Y.; Iqbal, M.; Guo, Y. Characterization of citrus pectin films integrated with clove bud essential oil: Physical, thermal, barrier, antioxidant and antibacterial properties. Int. J. Biol. Macromol. 2018, 106, 670–680. [Google Scholar] [CrossRef] [PubMed]
- Shankar, S.; Teng, X.; Rhim, J.-W. Effects of concentration of ZnO nanoparticles on mechanical, optical, thermal, and antimicrobial properties of gelatin/ZnO nanocomposite films. Korean J. Packag. Sci. Technol 2014, 20, 41–49. [Google Scholar]
- Pantani, R.; Gorrasi, G.; Vigliotta, G.; Murariu, M.; Dubois, P. PLA-ZnO nanocomposite films: Water vapor barrier properties and specific end-use characteristics. Eur. Polym. J. 2013, 49, 3471–3482. [Google Scholar] [CrossRef]
- Santos, T.M.; Pinto, A.M.; de Oliveira, A.V.; Ribeiro, H.L.; Caceres, C.A.; Ito, E.N.; Azeredo, H.M. Physical properties of cassava starch–carnauba wax emulsion films as affected by component proportions. Int. J. Food Sci. Technol. 2014, 49, 2045–2051. [Google Scholar] [CrossRef]
- Jayarambabu, N.; Kumari, B.S.; Rao, K.V.; Prabhu, Y. Germination and growth characteristics of mungbean seeds (Vigna radiata L.) affected by synthesized zinc oxide nanoparticles. Int. J. Curr. Eng. Technol 2014, 4, 3411–3416. [Google Scholar]
- Etemadi, H.; Khezraqa, H.; Hermani, M. Incorporation of amino-functionalized ZnO nanoparticles into polycarbonate/polyvinyl alcohol thin-film membrane for enhanced water treatment. Polym. Eng. Sci. 2022, 62, 2891–2899. [Google Scholar] [CrossRef]
- Sato, A.C.; Oliveira, P.R.; Cunha, R.L. Rheology of mixed pectin solutions. Food Biophys. 2008, 3, 100–109. [Google Scholar] [CrossRef]
- Alpaslan, M.; Hayta, M. Rheological and sensory properties of pekmez (grape molasses)/tahin (sesame paste) blends. J. Food Eng. 2002, 54, 89–93. [Google Scholar] [CrossRef]
- Yarin, A.; Zussman, E.; Theron, A.; Rahimi, S.; Sobe, Z.; Hasan, D. Elongational behavior of gelled propellant simulants. J. Rheol. 2004, 48, 101–116. [Google Scholar] [CrossRef]
- Newstein, M.C.; Wang, H.; Balsara, N.P.; Lefebvre, A.A.; Shnidman, Y.; Watanabe, H.; Osaki, K.; Shikata, T.; Niwa, H.; Morishima, Y. Microstructural changes in a colloidal liquid in the shear thinning and shear thickening regimes. J. Chem. Phys. 1999, 111, 4827–4838. [Google Scholar] [CrossRef]
- Marcotte, M.; Hoshahili, A.R.T.; Ramaswamy, H. Rheological properties of selected hydrocolloids as a function of concentration and temperature. Food Res. Int. 2001, 34, 695–703. [Google Scholar] [CrossRef]
- Soto-Caballero, M.; Valdez-Fragoso, A.; Salinas-López, A.; Welti-Chanes, J.; Verardo, V.; Mújica-Paz, H. Rheological parameters of xanthan gum/pectin solutions as a function of temperature and composition. Rev. Mex. Ing. Química 2016, 15, 859–868. [Google Scholar] [CrossRef]
- Kumar, N.; Mandal, A. Thermodynamic and physicochemical properties evaluation for formation and characterization of oil-in-water nanoemulsion. J. Mol. Liq. 2018, 266, 147–159. [Google Scholar] [CrossRef]
- Matos, M.; Gutiérrez, G.; Martínez-Rey, L.; Iglesias, O.; Pazos, C. Encapsulation of resveratrol using food-grade concentrated double emulsions: Emulsion characterization and rheological behaviour. J. Food Eng. 2018, 226, 73–81. [Google Scholar] [CrossRef]
- Martínez-Padilla, L.P. Rheology of liquid foods under shear flow conditions: Recently used models. J. Texture Stud. 2024, 55, e12802. [Google Scholar] [CrossRef]
- Lastra Ripoll, S.E.; Quintana Martinez, S.E.; Garcia Zapateiro, L.A. Rheological and microstructural properties of xanthan gum-based coating solutions enriched with phenolic mango (Mangifera indica) peel extracts. ACS Omega 2021, 6, 16119–16128. [Google Scholar] [CrossRef]
- Baldwin, E.A.; Hagenmaier, R.; Bai, J. Edible Coatings and Films to Improve Food Quality; CRC Press: Boca Raton, FL, USA, 2011. [Google Scholar]
- Finger, F.L. Controle da Perda Pós-Colheita de Água em Produtos Hortícolas; UFV: Viçosa, Brazil, 1997. [Google Scholar]
- Dos Passos Braga, S.; Magnani, M.; Madruga, M.S.; de Souza Galvão, M.; de Medeiros, L.L.; Batista, A.U.D.; Dias, R.T.A.; Fernandes, L.R.; de Medeiros, E.S.; de Souza, E.L. Characterization of edible coatings formulated with chitosan and Mentha essential oils and their use to preserve papaya (Carica papaya L.). Innov. Food Sci. Emerg. Technol. 2020, 65, 102472. [Google Scholar] [CrossRef]
- Meindrawan, B.; Suyatma, N.E.; Wardana, A.A.; Pamela, V.Y. Nanocomposite coating based on carrageenan and ZnO nanoparticles to maintain the storage quality of mango. Food Packag. Shelf Life 2018, 18, 140–146. [Google Scholar] [CrossRef]
- Faasema, J.; Alakali, J.; Abu, J. Effects of Storage Temperature on 1-Methylcyclopropene-Treated Mango (Mangnifera Indica) Fruit Varieties. J. Food Process. Preserv. 2014, 38, 289–295. [Google Scholar] [CrossRef]
- Ebrahimi, F.; Rastegar, S. Preservation of mango fruit with guar-based edible coatings enriched with Spirulina platensis and Aloe vera extract during storage at ambient temperature. Sci. Hortic. 2020, 265, 109258. [Google Scholar] [CrossRef]
- Narsaiah, K.; Wilson, R.A.; Gokul, K.; Mandge, H.; Jha, S.; Bhadwal, S.; Anurag, R.K.; Malik, R.; Vij, S. Effect of bacteriocin-incorporated alginate coating on shelf-life of minimally processed papaya (Carica papaya L.). Postharvest Biol. Technol. 2015, 100, 212–218. [Google Scholar] [CrossRef]







| Model | Model Designation * |
|---|---|
| Newton | τ = µ × γ |
| Power Law (Ostwald-de-Waele) | τ = K × γn |
| Bingham | τ = τ0 + η∞ × γ |
| Herschel–Bulkley | τ = τ0 + K × γn |
| Treatment | Thickness (µm) | Tensile Strength (MPa) | Elongation (%) | Young Modulus (MPa) |
|---|---|---|---|---|
| P | 104.25 ± 17.68 a | 19.81 ± 1.65 c | 534.62 ± 1.78 c | 25.51 ± 1.28 b |
| P2Z | 121.21 ± 29.55 ab | 8.69 ± 0.56 b | 305.21 ± 2.32 b | 5.87 ± 1.23 a |
| P4Z | 157.12 ± 21.89 b | 6.78 ± 1.50 a | 254.21 ± 3.87 a | 7.82 ± 1.97 a |
| Treatment | Water Solubility (%) | Water Vapor Permeability (g·mm/kPa·h·m2) |
|---|---|---|
| P | 35.50 ab ± 2.24 a | 8.89 ± 3.87 a |
| P2Z | 36.69 a ± 2.08 b | 9.19 ± 4.24 a |
| P4Z | 32.00 b ± 0.31 a | 11.49 ± 3.63 a |
| Parameter | Treatment | ||
|---|---|---|---|
| P1 | P2 | ||
| Newton | μ (Pa·s) | 0.062 | 0.036 |
| R2 | 1.000 | 1.000 | |
| Error (P) (%) | 0.986 | 1.446 | |
| P2Z1 | P2Z2 | ||
| Power Law | K (Pa·sn) | 18.961 | 10.797 |
| n | 0.435 | 0.480 | |
| R2 | 0.997 | 0.999 | |
| Error (P) (%) | 1.953 | 1.360 | |
| P4Z1 | P4Z2 | ||
| Power Law | K (Pa·sn) | 20.046 | 12.799 |
| n | 0.403 | 0.422 | |
| R2 | 0.998 | 1.000 | |
| Error (P) (%) | 1.356 | 0.688 | |
| Treatment | Storage Days | ||
|---|---|---|---|
| 3 | 6 | 9 | |
| FC | 2.29 ± 0.50 aB | 10.52 ± 0.31 aB | 24.10 ± 5.58 aA |
| FP | 3.43 ± 0.77 aB | 6.75 ± 0.94 bcB | 10.81 ± 0.66 cA |
| FPNZ2 | 2.94 ± 0.79 aB | 5.44 ± 0.32 cB | 10.02 ± 1.40 cA |
| FPNZ4 | 3.92 ± 0.67 aC | 8.63 ± 0.77 abB | 14.21 ± 1.39 bA |
| Treatment * | Storage Days | |||
|---|---|---|---|---|
| 0 | 3 | 6 | 9 | |
| FC | 2.16 ± 0.67 aA | 1.84 ± 1.06 aA | 1.47 ± 0.38 aA | 1.20 ± 0.24 aA |
| FP | 2.43 ± 0.48 aA | 1.37 ± 0.58 aAB | 1.45 ± 0.64 aAB | 0.72 ± 0.12 aB |
| FPNZ2 | 1.63 ± 0.57 aA | 1.25 ± 0.48 aA | 1.20 ± 0.52 aA | 0.89 ± 0.13 aA |
| FPNZ4 | 2.19 ± 0.24 aA | 1.33 ± 0.26 aB | 0.87 ± 0.27 aB | 0.83 ± 0.15 aB |
| Titratable Acidity | ||||
|---|---|---|---|---|
| Treatment | Storage Days | |||
| 0 | 3 | 6 | 9 | |
| FC | 0.068 ± 0.006 bA | 0.058 ± 0.002 cAB | 0.047 ± 0.008 aB | 0.058 ± 0.015 bA |
| FP | 0.070 ± 0.009 aA | 0.046 ± 0.009 aB | 0.068 ± 0.021 aAB | 0.071 ± 0.014 aA |
| FPNZ2 | 0.071 ± 0.003 bA | 0.040 ± 0.001 bB | 0.040 ± 0.011 aB | 0.043 ± 0.017 aB |
| FPNZ4 | 0.058 ± 0.002 aA | 0.058 ± 0.001 cA | 0.058 ± 0.010 aA | 0.068 ± 0.012 aA |
| Soluble Solids | ||||
| Treatment | Storage Days | |||
| 0 | 3 | 6 | 9 | |
| FC | 7.47 ± 1.86 bAB | 7.85 ± 0.94 cAB | 8.68 ± 0.78 aB | 9.63 ± 0.61 aA |
| FP | 9.60 ± 0.11 aA | 10.35 ± 0.84 aA | 8.08 ± 0.46 aB | 9.50 ± 0.33 aA |
| FPNZ2 | 6.93 ± 0.50 bB | 9.22 ± 1.18 bA | 7.88 ± 0.58 bAB | 9.26 ± 0.85 aA |
| FPNZ4 | 9.62 ± 1.35 aA | 7.12 ± 0.41 cB | 7.78 ± 0.97 bB | 9.90 ± 0.28 aA |
Disclaimer/Publisher’s Note: The statements, opinions and data contained in all publications are solely those of the individual author(s) and contributor(s) and not of MDPI and/or the editor(s). MDPI and/or the editor(s) disclaim responsibility for any injury to people or property resulting from any ideas, methods, instructions or products referred to in the content. |
© 2024 by the authors. Licensee MDPI, Basel, Switzerland. This article is an open access article distributed under the terms and conditions of the Creative Commons Attribution (CC BY) license (https://creativecommons.org/licenses/by/4.0/).
Share and Cite
dos Santos, J.S.; Cagnin, C.; de Freitas, B.S.M.; da Silva, R.M.; de Jesus, G.B.L.; Belisário, C.M.; Egea, M.B.; de Oliveira Filho, J.G.; Plácido, G.R. Nanocomposite Coatings of Pectin and Oxide Zinc Nanoparticles to Increase Papaya Shelf Life. Coatings 2024, 14, 990. https://doi.org/10.3390/coatings14080990
dos Santos JS, Cagnin C, de Freitas BSM, da Silva RM, de Jesus GBL, Belisário CM, Egea MB, de Oliveira Filho JG, Plácido GR. Nanocomposite Coatings of Pectin and Oxide Zinc Nanoparticles to Increase Papaya Shelf Life. Coatings. 2024; 14(8):990. https://doi.org/10.3390/coatings14080990
Chicago/Turabian Styledos Santos, Joelma Saures, Caroline Cagnin, Bheatriz Silva Morais de Freitas, Richard Marins da Silva, Glaydson Brasileiro Lopes de Jesus, Celso Martins Belisário, Mariana Buranelo Egea, Josemar Gonçalves de Oliveira Filho, and Geovana Rocha Plácido. 2024. "Nanocomposite Coatings of Pectin and Oxide Zinc Nanoparticles to Increase Papaya Shelf Life" Coatings 14, no. 8: 990. https://doi.org/10.3390/coatings14080990
APA Styledos Santos, J. S., Cagnin, C., de Freitas, B. S. M., da Silva, R. M., de Jesus, G. B. L., Belisário, C. M., Egea, M. B., de Oliveira Filho, J. G., & Plácido, G. R. (2024). Nanocomposite Coatings of Pectin and Oxide Zinc Nanoparticles to Increase Papaya Shelf Life. Coatings, 14(8), 990. https://doi.org/10.3390/coatings14080990

