Abstract
This study investigates the rheological properties and performance of coatings used in lost foam shell casting, focusing on the influence of mixing and standing times. The experimental procedure involved systematically preparing coatings by varying the mixing times (10, 20, 30, 40, 50, and 60 min) to assess the dispersion of particles and the subsequent standing times (1, 7, 11, 24, 40, and 48 h) to evaluate the stability of the mixture. A rotational viscometer was utilized to measure the viscosity and shear stress of the coatings under different conditions. The results indicate a significant decrease in viscosity with increasing mixing time, stabilizing after 50 min due to the uniform dispersion of solid particles and shear-thinning behavior. Conversely, the viscosity initially increases with prolonged standing time as the binder’s molecular chains reform, reaching a peak before gradually decreasing. The optimal performance of the coatings, characterized by stable viscosity and consistent rheological properties, was achieved with a mixing time of at least 50 min and a standing time not exceeding 40 h. These findings provide critical insights into optimizing the preparation and application processes of coatings, ensuring enhanced efficiency and quality in lost foam shell casting.
1. Introduction
Lost foam shell casting combines the advantages of foam lost foam casting and investment casting, aligning with modern casting concepts, such as “clean casting”, “green casting”, and “environmental casting.” This method is recognized as a green casting technology for the 21st century [1,2,3]. Traditional casting methods include sand casting and investment casting. Sand casting involves creating a mold from a sand mixture, which is cost-effective and suitable for a wide range of metals and sizes. However, it often requires the use of cores to create complex geometries, which can introduce defects and limit dimensional accuracy. Investment casting, also known as precision casting, uses a wax pattern that is coated with a refractory ceramic material to form a mold [4]. This method provides excellent surface finish and dimensional accuracy, but it is generally more expensive and labor-intensive, especially for large parts.
The lost foam shell casting process involves preheating foam to liquefy and discharge it, achieving shell casting without foam residues. This prevents issues like slag inclusion, surface wrinkling, and carbon increment [5,6], making it ideal for high-demand, low-carbon steel and stainless-steel castings. While investment casting is an advanced near-net-shape forming process, it encounters challenges with larger components due to high costs and mold shell thickness limitations. For large castings, the costs of mold making and the required shell thickness often exceed feasible limits, restricting its application [7,8,9,10,11]. In contrast, lost foam shell casting uses specialized coatings to form shells, making it suitable for producing large, complex, low-carbon steel and stainless-steel parts [12,13]. This green, energy-efficient process holds significant potential.
Research and production practices have identified coating quality as a crucial factor affecting product quality under consistent smelting and pouring conditions. Previous studies have investigated the rheological properties of coatings for magnesium alloy casting and the impact of shear thinning on coating performance [14,15,16], as well as the effect of viscosity on titanium alloy casting quality. Additional research has focused on how sodium bentonite content influences coating viscosity and brushing performance [17,18]. The application of orthogonal design, machine learning, and neural network learning has significantly improved coating quality [19,20,21].
For effective brushing, coatings must possess adequate viscosity to maintain the requisite thickness. However, excessive viscosity can hinder coating flow [22,23]. Optimal coating viscosity should be low during brushing to enhance flowability and then quickly increase to prevent runoff and ensure uniform shell thickness. These requirements are directly linked to the apparent viscosity and rheological properties of the coating. Most coatings require thorough mixing before use and may need standing time during production, both of which alter the coating’s properties [24,25,26,27,28].
Typically, the application of a cast coating involves a meticulous process of stirring and mixing. To obtain optimal performance, it is crucial to understand the effects of mixing and standing times on the viscosity and rheological properties of the coating. However, a comprehensive evaluation must also consider other critical factors, such as the composition of the coating, application techniques, and specific mixing methods. For instance, the types and proportions of binders, fillers, and additives in the coating formulation can significantly alter its viscosity, adhesion, and drying characteristics. The application method, whether it be brushing, dipping, or spraying, directly impacts the uniformity and thickness of the coating. Additionally, the mixing speed and duration are pivotal in determining the homogeneity and dispersion of particles within the coating.
This study analyzes the effects of mixing and standing times on the viscosity and rheological properties of lost foam shell casting coatings, aiming to provide technical support and theoretical reference for their proper use.
2. Experimental Procedure
To obtain effective performance, it is essential to understand the effects of mixing and standing times on viscosity and rheological properties. The coating used in this study consists of powders and a liquid component, mixed in precise proportions and thoroughly stirred before application. The powder component primarily comprises Al2O3 and SiO2 as refractory fillers, with an average particle size ranging from 300 to 800 μm. Additionally, small quantities of iron oxide powder, sodium bentonite, and sodium carboxymethyl cellulose (SN thickener) are included. The liquid component is a water-based solution containing latex and SN thickener, with a pH value of 8–9 and a density of 1.2 g/cm3.
Initially, 140 kg of the liquid component is poured into the mixer, followed by the gradual addition of 250 kg of the powder component, maintaining a mixing speed of 800 rpm, as illustrated in Figure 1. During the mixing process, 500 mL samples are taken at regular intervals to measure viscosity, rheological curves, and the shear thinning ratio using an LVDV-2T viscometer, which is manufactured by Shanghai Fangriu Instrument Co., Ltd. (Shanghai, China), as depicted in Figure 2. And, a No. 3 rotor at rotational speeds of 6, 12, 30, and 60 rpm is selected. After 60 min of mixing, an 800 mL sample is allowed to stand. Measurements are taken at regular intervals during the standing process, with all experiments conducted at an ambient temperature of 18 °C.
Figure 1.
Coating mixing processes.
Figure 2.
Photograph of viscometer.
3. Results and Analysis
3.1. Effect of Mixing Time on the Coating
It is well-established that two non-Newtonian liquids with identical apparent viscosities can exhibit different flow curves. To accurately assess the impact of mixing time on the apparent properties of the lost foam shell casting coating, a No. 3 rotor was used at various rotational speeds. The effect of mixing time on the coating’s apparent viscosity is depicted in Figure 3, while the impact on the rheological curve is shown in Figure 4.
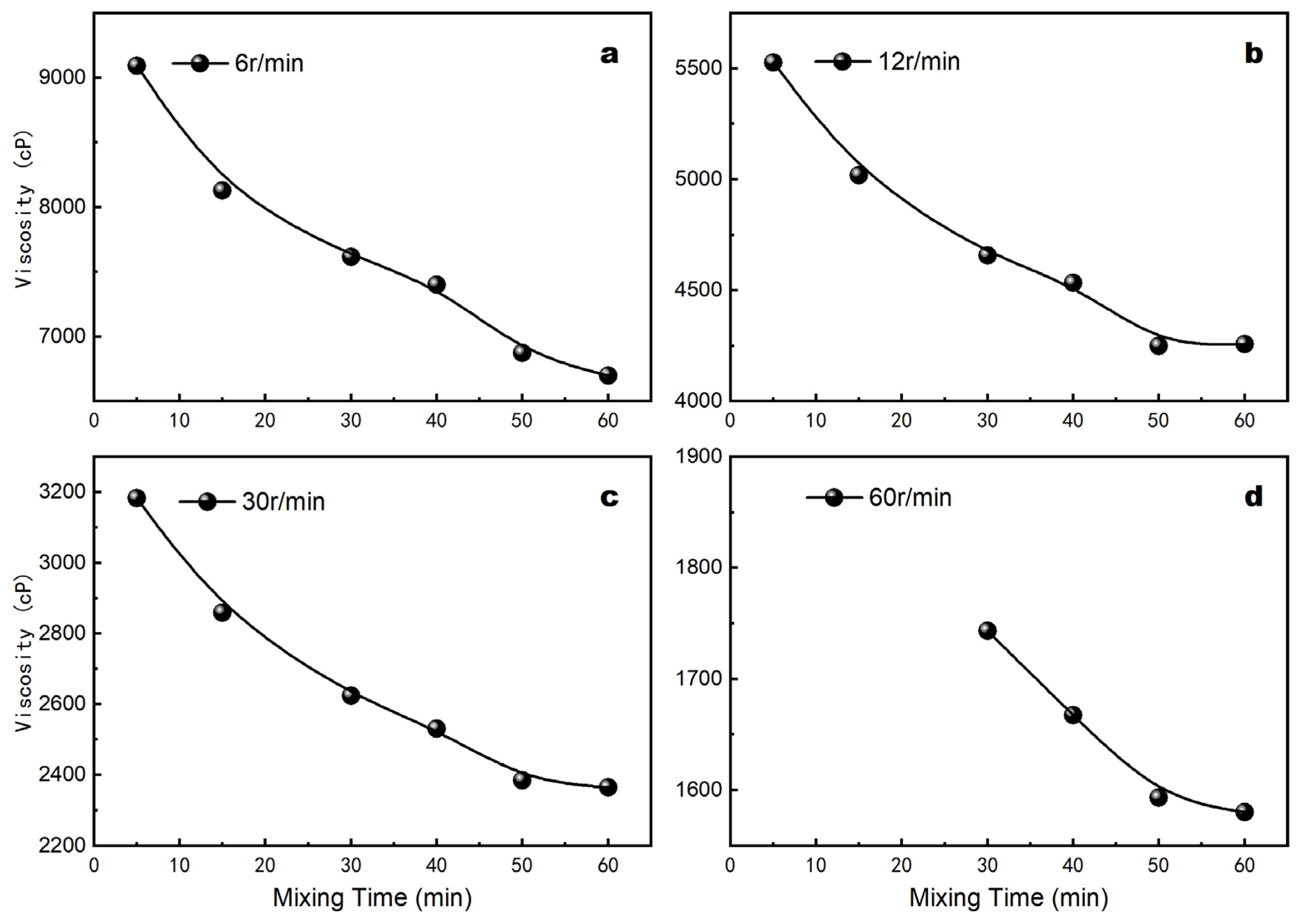
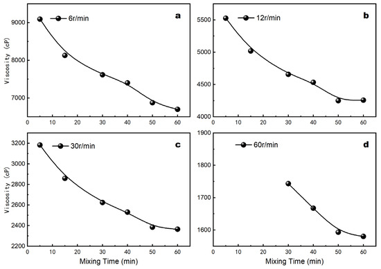
Figure 3.
Viscosity under various mixing times: (a) rotor speed 6 r/min; (b) rotor speed 12 r/min; (c) rotor speed 30 r/min; (d) rotor speed 60 r/min.
Figure 4.
The rheological curve under various mixing times.
Mixing of coatings plays a crucial role in both experimental and production processes, ensuring thorough contact and blending of two or more different media [29,30]. Proper mixing is essential to achieve uniform dispersion and integration of each component, preventing local mismatches. As shown in Figure 4, the surface viscosity of the coating decreases with increased mixing time due to its shear-thinning properties, which will be discussed in detail later. From Figure 3b–d, it is evident that as the mixing time increases, solid particles within the coating are well-wetted by the solvent, leading to a homogeneous mixture and a stabilized viscosity. This indicates that the mixing time should not be less than 50 min to ensure uniform coating performance.
The shear stress curves under different mixing times, shown in Figure 4, also reflect changes in coating performance. With increased shear stress, internal friction rises, showing an upward trend. As mixing time increases, the internal friction decreases due to the shear-thinning characteristic of the coating, resulting in a general decrease in shear stress. Notably, the shear stress curves for mixing times of 50 and 60 min overlap, indicating similar coating states at these durations. Thus, considering both time efficiency and coating performance, a mixing time of 50 min is optimal.
Shear thinning is a crucial indicator of coating performance during brushing. The shear thinning ratio of the coating increases with mixing time, as shown in Figure 5.
Figure 5.
Shear thinning ratio of coating.
It is well-known that to ensure the coating maintains a certain thickness after application [31,32] it must possess adequate viscosity to ensure uniform distribution of components, such as Al2O3 and SiO2. Although increasing the viscosity by reducing the water content in the coating is possible, this approach severely impairs the application and usability of the coating. Ideally, the viscosity should decrease during application (under shear stress) to facilitate easy spreading and then increase post-application (when shear stress is removed) to maintain the coating’s shape and prevent sagging. This characteristic of coatings is known as shear-thinning behavior. Shear-thinning behavior, which depends on the internal structural characteristics of the coating [33,34], is related to the apparent viscosity measured under different rotor speeds. It can be evaluated by the relationship between apparent viscosity and time at a specific shear rate. In this study, the ratio of viscosity values measured at 6 rpm to those at 60 rpm was used to assess the shear-thinning properties of the coating.
Shear thinning, crucial for brushing performance, increases with mixing time, as illustrated in Figure 5. As the mixing time increases, the shear thinning ratio gradually rises, reaching a peak at 40 min. Beyond 50 min of mixing, the ratio slightly decreases, fluctuating between 4.2 and 4.3. A higher shear thinning ratio indicates better brushing performance. Practical production and research confirm that a shear thinning ratio below 3.5 results in poor brushing performance, while a ratio above 4.0 indicates good performance. In this study, the coating, after thorough mixing, achieves a shear thinning ratio above 4.2, demonstrating excellent brushing performance.
3.2. Effect of Standing Time on the Coating
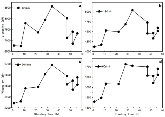
In practical production, freshly prepared coatings are ideally used immediately, but they often stand for some time before application. Understanding the changes in coating properties during this standing period is essential for maintaining optimal performance. After preparing the coating and stirring for 50 min, the effects of standing time on the coating’s performance were analyzed. The change in viscosity with standing time is shown in Figure 6.
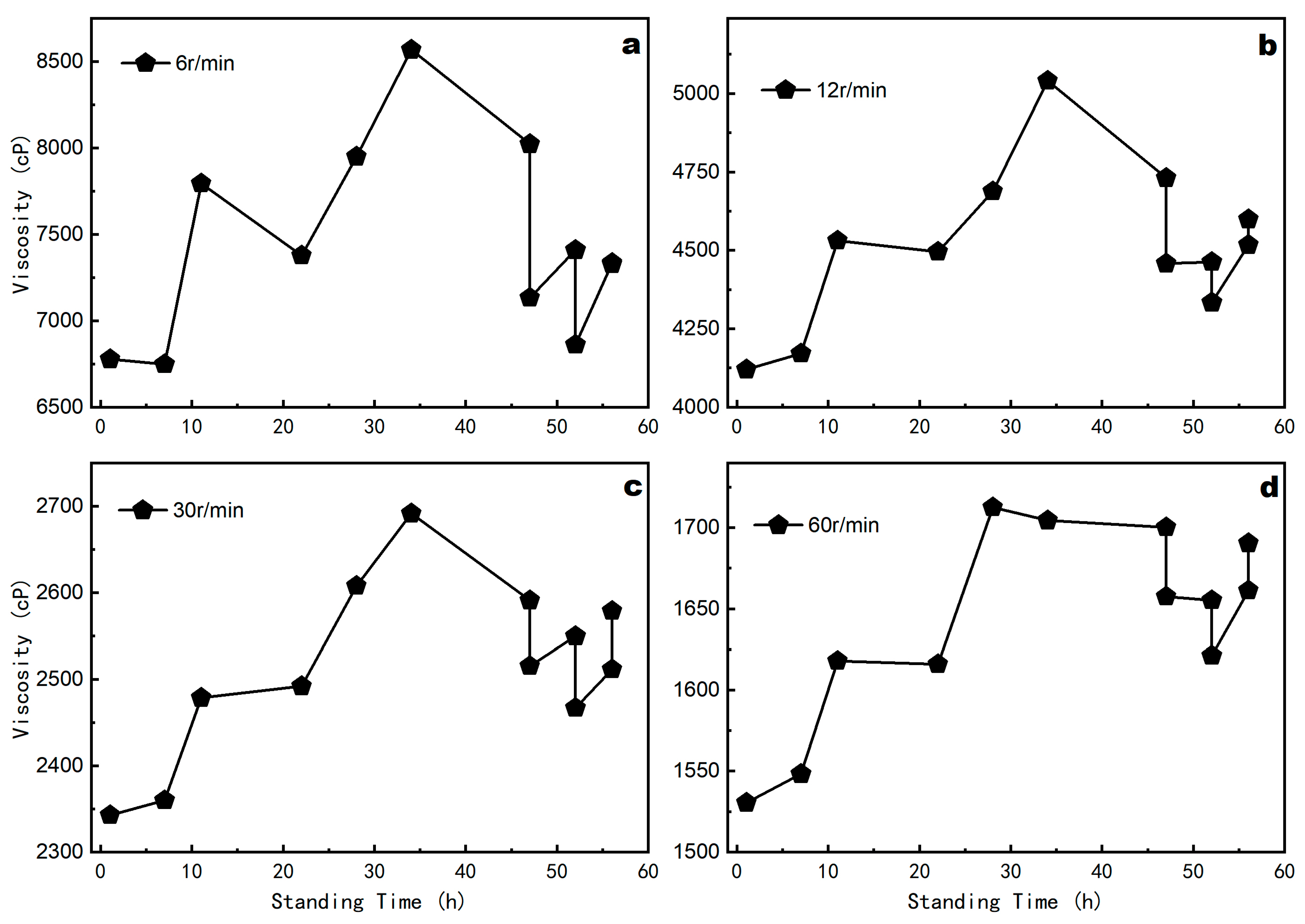
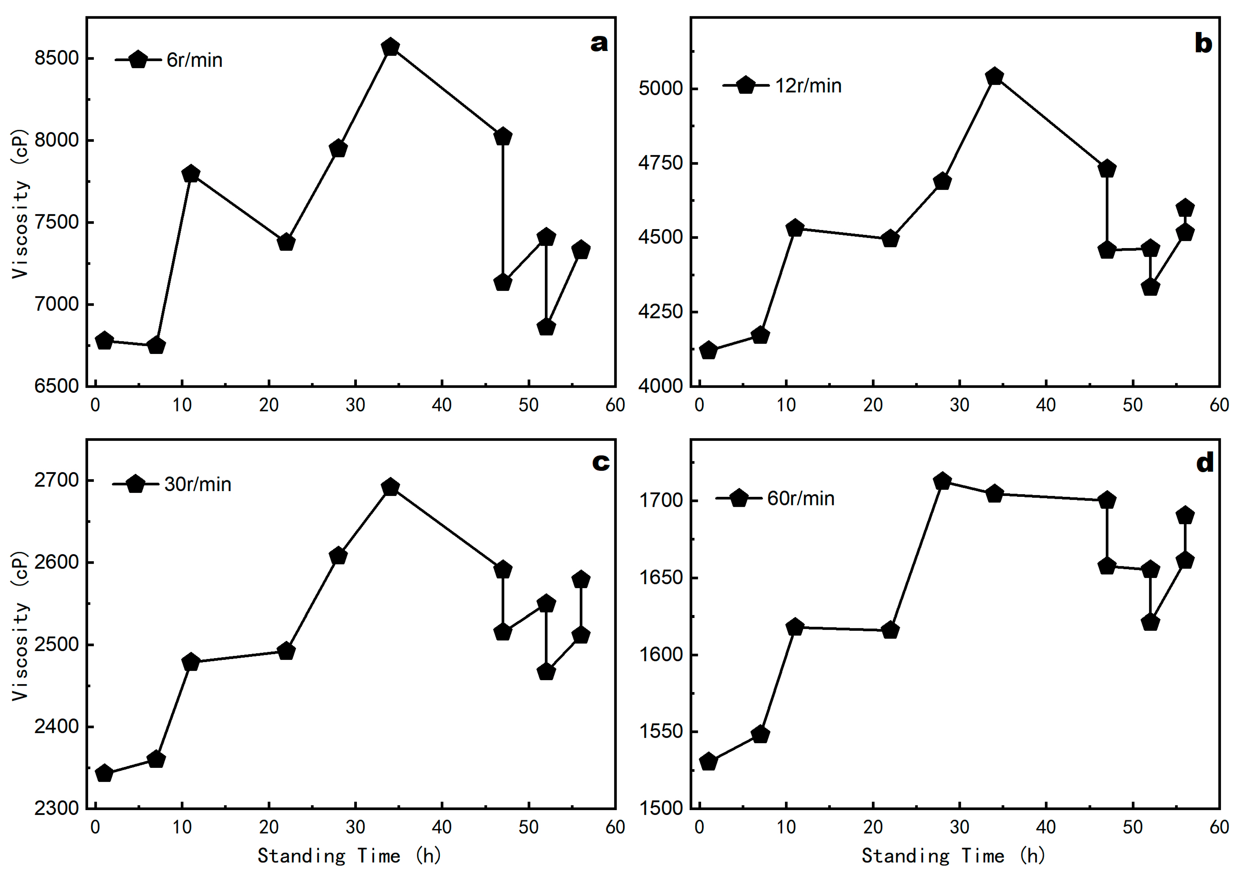
Figure 6.
Viscosity under various standing times: (a) rotor speed 6 r/min; (b) rotor speed 12 r/min; (c) rotor speed 30 r/min; (d) rotor speed 60 r/min.
Viscosity exhibits a slight increase within the first 7 h of standing, which can be attributed to the gradual settling and interaction of particles. After 20 h, the viscosity rises rapidly, reaching its peak around 35 h. This increase is likely due to the ongoing interaction and structural rearrangement of the coating components. The increase in the viscosity of the coating is due to the reformation of the binder’s macromolecular chains, which are initially broken during the stirring process. As the standing time increases, these disrupted molecules gradually revert to their original network or chain structures, leading to a rise in the coating’s viscosity. This trend continues until the viscosity stabilizes at a certain point. However, beyond 40 h, viscosity begins to decrease due to sedimentation and partial degradation of the coating components. These changes indicate that the optimal standing time should be controlled within 40 h to prevent deterioration in coating performance.
The effect of standing time on the shear stress curve of the coating is illustrated in Figure 7. As shown, when the standing time ranges from 1 h to 7 h, the shear stress curves of the coatings are similar, which aligns with the viscosity changes observed in Figure 6 for the same duration. However, as the standing time extends to 10 h, the shear stress curve increases. When the standing time exceeds 40 h, the shear stress curves overlap, indicating a stable coating performance. This consistency between the effects of standing time on both shear stress and viscosity suggests a uniform behavior of the coating under these conditions.
Figure 7.
The rheological curve under various standing times.
As shown in Figure 8, the shear thinning ratio increases with standing time up to a certain point, enhancing brushing performance, but decreases beyond 40 h, which correlates with the observed drop in viscosity. This further validates that the standing time should be limited to 40 h to maintain optimal performance. The rheological curve (Figure 7) and shear thinning ratio (Figure 8) trends align with the changes in viscosity, confirming that the standing time influences the coating’s rheological properties.
Figure 8.
Shear thinning ratio under various standing times.
The influence of standing time on the surface state of the coating was observed, as shown in Figure 9.
Figure 9.
Surface morphology with different standing times: (a) 0 h; (b) 24 h; (c) 48 h; (d) 56 h.
Figure 9 illustrates the changes in particle distribution over time. In freshly stirred coatings, particles are uniformly distributed, as shown in Figure 9a. However, as the standing time increases, particle sedimentation becomes apparent. After 24 and 48 h, a noticeable reduction in particle number is observed in Figure 9b,c. By 56 h, particle sedimentation is most pronounced. Considering the impact of standing time on viscosity and shear thinning properties, it is recommended that the standing time should not exceed 48 h to maintain optimal coating performance.
Observations of the surface state of the coating (Figure 9) reveal that particle distribution remains uniform within the first 48 h. However, beyond this period, significant deterioration occurs, negatively impacting the coating’s performance. Uniform particle distribution is crucial for maintaining the coating’s structural integrity and application quality. In conclusion, to ensure the best performance of lost foam shell casting coatings, it is critical to use the coating within 40 h of preparation. This timeframe balances the benefits of increased viscosity and improved brushing performance with the risks of sedimentation and component degradation.
3.3. Discussion of Coating Performance Changes
Uneven distribution and changes in viscosity emphasize the necessity of adhering to optimal standing times for lost foam shell casting coatings. Prolonged standing beyond 48 h adversely affects the flow properties and compromises the coating’s ability to form a consistent shell. The results show that viscosity decreases with increasing mixing time, eventually stabilizing. Initially, viscosity increases with standing time but begins to decrease after extended standing periods, which can be attributed to structural changes occurring during both mixing and standing as shown in Figure 10.
Figure 10.
Structure evolution of coating.
As the stirring time increases, the viscosity of the coating exhibits a decreasing trend and shear-thinning behavior [35,36,37,38]. The viscosity of the coating is composed of structural and plastic viscosity. Plastic viscosity is primarily determined by intermolecular forces and internal friction within the liquid. In contrast, structural viscosity arises from specific internal structures within the coating, such as particle networks and agglomerates. Changes in viscosity observed during mixing and standing are mainly due to alterations in structural viscosity. During thorough mixing, these network structures are disrupted, leading to a reduction in structural viscosity. This viscosity then stabilizes after sufficient mixing time, as the coating components are uniformly distributed.
With an increase in standing time, the viscosity of the coating initially increases and then decreases. During the standing period, the disrupted network structures gradually reform, leading to an increase in viscosity. This reformation continues until sedimentation and partial degradation of the coating components occur after prolonged standing, causing a subsequent decrease in viscosity. This indicates that while initial standing can enhance the coating’s properties by allowing structural reformation, excessive standing leads to negative effects, such as sedimentation and component degradation.
Therefore, controlling both mixing and standing times is crucial for the performance of lost foam shell casting coatings. Ensuring thorough mixing for at least 50 min disrupts and redistributes the network structures, while limiting the standing time to within 40 h prevents sedimentation and maintains optimal viscosity and structural integrity. By adhering to these guidelines, manufacturers can achieve consistent coating performance and high-quality castings.
4. Conclusions
In conclusion, this study demonstrates that to achieve uniform coatings with proper rheological properties for lost foam shell casting, a minimum mixing time of 50 min is required. Furthermore, the coatings should be used within 40 h of preparation to maintain their performance integrity. These insights are crucial for improving the efficiency and quality of lost foam shell casting processes.
Author Contributions
Conceptualization, G.S.; methodology, G.S.; formal analysis, Q.W.; investigation, G.S. and Q.W.; data curation, S.L.; writing—original draft preparation, G.S.; writing—review and editing, G.S.; supervision, G.S. All authors have read and agreed to the published version of the manuscript.
Funding
The authors gratefully acknowledge the financial support from the Kunlun Talent Project of Qinghai Province (2023-QLGKLYCZX-032).
Institutional Review Board Statement
Not applicable.
Informed Consent Statement
Not applicable.
Data Availability Statement
Data are contained within the article.
Conflicts of Interest
The authors declare that there are no known competing financial interests or personal relationships that could have appeared to influence the work reported in this paper.
References
- Rajagukguk, K. Effect of Pattern Coating Thickness on Surface Roughness and Porosity of Nodular Cast Iron (FCD) 450 Using Lost Foam Casting Method. 2020. Available online: https://www.researchgate.net/publication/344519006_Effect_of_Pattern_Coating_Thickness_on_Surface_Roughness_and_Porosity_of_Nodular_Cast_Iron_FCD_450_Using_Lost_Foam_Casting_Method (accessed on 1 October 2018).
- Shivkumar, S.; Wang, L.; Apelian, D. The lost-foam casting of aluminum alloy components. JOM 1990, 42, 38–44. [Google Scholar] [CrossRef]
- Ji, X.; Zhou, L.; Li, H. Microstructure, Hardness, Wear Resistance, and Corrosion Resistance of As-Cast and Laser-Deposited FeCoNiCrAl0.8Cu0.5Si0.5 High Entropy Alloy. Coatings 2024, 14, 663. [Google Scholar] [CrossRef]
- Xie, Y.; Yin, Y.; Wang, D.; Li, J.; Ji, X.; Li, W.; Shen, X.; Fu, W.; Zhou, J. High ductility of Be–Al alloy fabricated by investment casting. J. Mater. Res. Technol. 2024, 29, 789–802. [Google Scholar] [CrossRef]
- Chekmyshev, K.E.; Ovcharenko, P.G. Numerical simulation of bimetallic casting cooling during the process of lost foam casting. J. Cryst. Growth 2019, 527, 125243. [Google Scholar] [CrossRef]
- Karimian, M.; Idris, M.H.; Ourdjini, A.; Muthu, K.; Chinesta, F.; Chastel, Y.; El Mansori, M. Effect of flask vibration time on casting integrity, Surface Penetration and Coating Inclusion in lost foam casting of Al-Si Alloy. Eur. J. Pharmacol. 2011, 1315, 633–638. [Google Scholar]
- Lohar, A.K.; Mukherjee, D.; Roy, H.; Panigrahi, S.C. Enhancing mechanical properties of Al-6Mg-0.3Sc-0.15Zr alloy through high cooling rate oil quench investment casting. Mater. Today Commun. 2024, 39, 108565. [Google Scholar] [CrossRef]
- Romazanov, Z.; Silayeva, O.; Tatieva, M.; Latypova, M.; Petrovskaya, A. The Feasibility Study for the Creation of Production Based on Technology of Lost-Foam Casting. Metalurgija 2023, 62, 103–106. [Google Scholar]
- Qiao, F.L.; Yin, Y.M.; Zhi, X.H. Study on the Casting Process of the Large-Scale High-Chromium Cast Iron Impeller. Adv. Mater. Res. 2010, 139–141, 622–625. [Google Scholar] [CrossRef]
- Su, Y.; Li, D.; Zhang, X. Optimising hardenability of high chromium white cast iron. China Foundry 2006, 3, 284–287. [Google Scholar]
- Yoo, S.M.; Cho, Y.S.; Lee, C.C. Optimization of casting conditions for heat and abrasion resistant large grey iron castings. China Foundry 2007, 4, 124–127. [Google Scholar]
- Sands, M.; Shivkumar, S. Influence of coating thickness and sand fineness on mold filling in the lost foam casting process. J. Mater. Sci. 2003, 38, 667–673. [Google Scholar] [CrossRef]
- Shi, T.; Guo, Z.; Gao, L. Wear-Resistant Coatings Prepared by Combination of SHS and Lost Foam Casting. Mater. Sci. Forum 2013, 749, 595–599. [Google Scholar] [CrossRef]
- Yang, S.H.; Du, X.M. The Lost Foam Casting Simulation of the Gray Cast Iron Linner. Adv. Mater. Res. 2013, 834–836, 1580–1583. [Google Scholar] [CrossRef]
- Johnson, C.K.; Penumadu, D.; Murshed, M. Methods for Measuring Rheological Properties of Lost Foam Coatings. Trans. Am. Foundry Soc. 2005, 1059–1070. [Google Scholar]
- Ovcharenko, P.G.; Kuz’Minykh, E.V.; Lad’Yanov, V.I. Interaction of a Nonstick Corundum Coating with Iron–Carbon Melts under Lost-Foam Casting Conditions. Russ. Metall. (Met.) 2020, 2020, 115–120. [Google Scholar] [CrossRef]
- Zhang, L.; He, H.Q.; Kwek, W.R.; Ma, J.; Tang, E.H.; Jiang, S.P. Fabrication and Characterization of Anode-Supported Tubular Solid-Oxide Fuel Cells by Slip Casting and Dip Coating Techniques. J. Am. Ceram. Soc. 2010, 92, 302–310. [Google Scholar] [CrossRef]
- Kerber, F.; Zienert, T.; Neumann, M.; Malczyk, P.; Schemmel, T.; Jansen, H.; Aneziris, C.G. Insulating refractories based on rice husk ashes functionalized by flame-sprayed alumina coatings for steel ingot casting. J. Eur. Ceram. Soc. 2024, 44, 7296–7309. [Google Scholar] [CrossRef]
- Nayak, R.K.; Sadarang, J. Development of A356 Alloy Green Sand Mold Casting Process Using Narmada Riverbed Sand in India: Design of Experiment and Optimization. Int. J. Met. 2022, 17, 1296–1307. [Google Scholar] [CrossRef]
- Song, X.; Baghoolizadeh, M.; Alizadeh, A.; Jasim, D.J.; Basem, A.; Sultan, A.J.; Salahshour, S.; Piromradian, M. Utilizing machine learning algorithms for prediction of the rheological behavior of ZnO (50%)-MWCNTs (50%)/Ethylene glycol (20%)-water (80%) nano-refrigerant. Int. Commun. Heat Mass Transf. 2024, 156, 107634. [Google Scholar] [CrossRef]
- Del Giudice, F.; Barnes, C. Rapid Temperature-Dependent Rheological Measurements of Non-Newtonian Solutions Using a Machine-Learning Aided Microfluidic Rheometer. Anal. Chem. 2022, 94, 3617–3628. [Google Scholar] [CrossRef]
- Romanelli Vicente Bertolo, M.; da Conceição Amaro Martins, V.; de Guzzi Plepis, A.M.; Bogusz Junior, S. Rheological study of the incorporation of grape seed extract in chitosan and gelatin coatings. J. Appl. Polym. Sci. 2021, 138, 50052. [Google Scholar] [CrossRef]
- Kimura, H.; Kosemura, T.; Ando, C. Temperature Control Design for Coating Fluid Circulatory Systems. J. Qual. Eng. Soc. 2015, 23, 41–46. [Google Scholar]
- Chen, X.; Penumadu, D. Characterizing microstructure of refractory porous materials. J. Mater. Sci. 2006, 41, 3403–3415. [Google Scholar] [CrossRef]
- Javid, A.A.S.; Ghoddousi, P.; Aghajani, S.; Naseri, H.; Pour, S.H. Investigating the Effects of Mixing Time and Mixing Speed on Rheological Properties, Workability, and Mechanical Properties of Self-Consolidating Concretes. Int. J. Civ. Eng. 2021, 19, 339–355. [Google Scholar] [CrossRef]
- Vyas, A.V.; Pandya, M.P.; Sutaria, M.P. Effect of mixing proportion and mixing time on primary slurry retention and surface roughness of investment casting shells. IOP Conf. Ser. Mater. Sci. Eng. 2020, 872, 012094. [Google Scholar] [CrossRef]
- Bambauer, R.A.; Lee, T.; Delong, T. Effect of Continuous Mixing on Viscosity and Permeability of an Iron Lost Foam Coating: A Joint Study. Trans. Am. Foundrymens Soc. 1996, 104, 329–333. [Google Scholar]
- Alter, H. The gelation of plastisols: An automatic method for the determination of plastisol temperature-rheology characteristics. J. Appl. Polym. Sci. 2003, 2, 312–317. [Google Scholar] [CrossRef]
- Liu, X.; Zhou, Z.; Chen, M.; Liu, Z.; Jiang, S.; Wang, L. Preparation of Durable Superhydrophobic Coatings Based on Discrete Adhesives. Coatings 2024, 14, 463. [Google Scholar] [CrossRef]
- Gulizia, S.; Jahedi, M.Z.; Doyle, E.D. Performance evaluation of PVD coatings for high pressure die casting. Surf. Coat. Technol. 2001, 140, 200–205. [Google Scholar] [CrossRef]
- Iyer, R.R.; Bousfield, D.W. The leveling of coating defects with shear thinning rheology. Chem. Eng. Sci. 1996, 51, 4611–4617. [Google Scholar] [CrossRef]
- Gilbert, D.; Valette, R.; Lemaire, E. Impact of particle stiffness on shear-thinning of non-Brownian suspensions. J. Rheol. 2022, 66, 161–176. [Google Scholar] [CrossRef]
- Li, M.; Liu, Z.; Pang, Y.; Wang, J.; Lu, Y.; Ren, Y.; Zhao, S.; Gao, S. Flow characteristics inside shear thinning xanthan gum non-Newtonian droplets moving in rectangular microchannels. Exp. Fluids 2021, 62, 203. [Google Scholar] [CrossRef]
- Kimura, M.; Hanafi, Z.A.; Takagi, T.; Sawara, R.; Fujii, S. Shear-Thinning Characteristics of Nematic Liquid Crystals Doped with Nanoparticles. Crystals 2016, 6, 145. [Google Scholar] [CrossRef]
- Noda, K.; Yamagami, M.; Yamamoto, M.; Sato, H.; Itaya, H.; Okajima, A.; Yamada, M. Thin Film Formation by Direct Reverse Roll-Coating on Plastic Web. Jpn. J. Appl. Phys. 2003, 42, 5722–5725. [Google Scholar] [CrossRef]
- Sun, C.; Cao, Z. Effects of the Wettability Between the Coating and the Liquid EPS on the Filling Process of Lost Foam Casting. Inter. Met. 2024, 18, 1318–1328. [Google Scholar] [CrossRef]
- Zheng, K.-K.; Lin, Y.-X.; Yan, S.-Q.; Chen, W.-P. Research on Surface Coating Treatment of Casting Die for Copper Alloy Water-Meter Shell. Inter. Met. 2023, 17, 922–934. [Google Scholar] [CrossRef]
- Lin, Z.; Zeng, Q.; Zhang, Y.; Ding, Y.; Chen, S.; Qiao, Y.; Shen, L. Preparation and coating properties of alkyd polyol-based autoxidizable waterborne polyurethane dispersions with high fatty acid content, long storage stability, and low viscosity. J. Coat. Technol. Res. 2024. [Google Scholar] [CrossRef]
Disclaimer/Publisher’s Note: The statements, opinions and data contained in all publications are solely those of the individual author(s) and contributor(s) and not of MDPI and/or the editor(s). MDPI and/or the editor(s) disclaim responsibility for any injury to people or property resulting from any ideas, methods, instructions or products referred to in the content. |
© 2024 by the authors. Licensee MDPI, Basel, Switzerland. This article is an open access article distributed under the terms and conditions of the Creative Commons Attribution (CC BY) license (https://creativecommons.org/licenses/by/4.0/).









