Next Article in Journal
Wear Resistance Behavior of Low-, Mid-, and High-Phosphorus Electroless Ni-P Coatings Heat-Treated in the Air Environment
Next Article in Special Issue
Change of Adhesion Properties of Bioinspired Laser-Induced Periodic Nanostructures towards Cribellate Spider Nanofiber Threads by Means of Thin Coatings
Previous Article in Journal
Comparison of the Erosive Wear Resistance of Ductile Cast Iron Following Laser Surface Melting and Alloying
Previous Article in Special Issue
Icephobic Coating Based on Epoxy/Polydimethylsiloxane Interpenetrating Polymer Network Gel
 
 
Font Type:
Arial Georgia Verdana
Font Size:
Aa Aa Aa
Line Spacing:
Column Width:
Background:
Article

Terahertz Nondestructive Measurement of Heat Radiation Performance of Thermal Barrier Coatings Based on Hybrid Artificial Neural Network

1
School of Electrical and Automation, Wuhu Institute of Technology, Wuhu 241006, China
2
Institute of Intelligent Manufacturing, Wuhu Institute of Technology, Wuhu 241006, China
3
Department of Quality and Safety Engineering, China Jiliang University, Hangzhou 310018, China
4
School of Artificial Intelligence, Anhui Polytechnic University, Wuhu 241000, China
5
Department of Automotive Engineering and Intelligent Manufacturing, Wanjiang College of Anhui Normal University, Wuhu 241008, China
6
Huzhou Key Laboratory of Terahertz Integrated Circuits and Systems, Yangtze Delta Region Institute (Huzhou), University of Electronic Science and Technology of China, Huzhou 313001, China
7
Anhui Polytechnic University Industrial Innovation Technology Research Co., Ltd., Wuhu 241000, China
*
Authors to whom correspondence should be addressed.
Coatings 2024, 14(5), 647; https://doi.org/10.3390/coatings14050647
Submission received: 23 April 2024 / Revised: 13 May 2024 / Accepted: 18 May 2024 / Published: 20 May 2024
(This article belongs to the Special Issue Smart Coatings)

Abstract

Effective control of the micro- and nanostructure of thermal barrier coatings is essential to enhance the thermal radiation performance of the coating, which helps to determine the remaining service life of the coating. This paper proposed a method to measure the radiation properties of thermal barrier coatings by terahertz nondestructive testing technique, using APS-prepared thermal barrier coatings as the object of study. Radiative properties were a comprehensive set of properties characterized by the diffuse reflectance, transmittance, and absorptance of the thermal barrier coating. The coating data in actual service were obtained by scanning electron microscopy and metallographic experiments, and the data were used as the simulation model critical value. The terahertz time-domain simulation data of coatings with different microstructural features were obtained using the finite-different time-domain (FDTD) method. In simulating the real test signals, white noise with a signal-to-noise ratio of 20 dB was added, and fast Fourier transform (FFT), short-time Fourier transform (STFT), and wavelet transform (WT) were used to reduce the noise and compare their noise reduction effects. Different machine learning methods were used to build the model, including support vector machine algorithm (SVM) and k-nearest neighbor algorithm (KNN). The principal component algorithm (PCA) was used to reduce the dimensionality of terahertz time-domain data, and the SVM algorithm and KNN algorithm were optimized using the particle swarm optimization algorithm (PSO) and the ant colony optimization algorithm (ACO), respectively, to improve the robustness of the system. The K-fold cross-validation method was used to construct the model to improve the adaptability of the model. It could be clearly seen that the novel hybrid PCA-ACO-SVM model had superior prediction performance. Finally, this work proposed a novel, convenient, nondestructive, online, safe and highly accurate method for measuring the radiation performance of thermal barrier coatings, which could be used for the judgment of the service life of thermal barrier coatings.

1. Introduction

With the rapid development of aviation technology, the performance and reliability requirements of aviation engines were increasing. Thermal barrier coatings (TBCs), as a key thermal protection technology in modern aero-engines, played an important role in ensuring normal operation and extending the service life of the engine [1,2,3]. Thermal barrier coatings effectively improved the engine thrust-to-weight ratio and operating efficiency by lowering the surface temperature of metal parts inside the engine. The main function of the thermal barrier coating was to provide thermal protection for the engine components under a high-temperature environment and reduce the heat conduction, so as to improve the thrust-to-weight ratio and operating life of the engine [4,5]. However, the radiation characteristics of thermal barrier coatings had an important impact on their thermal protection effect, so accurate and efficient detection of the radiation characteristics of thermal barrier coatings has become one of the hot spots in the research field [6].
The thermal barrier coating was a composite ceramic coating with a multilayer structure, which mainly consisted of a ceramic top layer, a bonding layer, and a substrate [7]. The ceramic top layer was usually made of ceramic materials with a high melting point and low thermal conductivity, such as alumina and yttrium oxide stabilized zirconia, which had excellent thermal insulation properties [7]. The bonding layer was responsible for firmly connecting the ceramic top layer to the substrate to ensure the integrity and stability of the coating [7]. The substrate was the metal component to which the coating was attached, usually the turbine blades and key components of the combustion chamber in an aero-engine [7]. The radiation properties of a thermal barrier coating were the performance of the coating under the action of thermal radiation, including radiation absorption, radiation emission, and radiation reflection [8]. These properties directly affected the thermal insulation effect of the coating and the efficiency of the engine. Therefore, accurate detection and analysis of the radiation properties of thermal barrier coatings was crucial. Currently, the detection of radiation properties of thermal barrier coatings mainly relies on traditional physical experimental methods, such as spectral analysis and thermal radiation measurement [9,10]. Although these methods could provide more accurate data, they had problems such as complicated operation, long detection time, and high cost. In addition, these methods could often only evaluate the overall performance of the coating, and it was difficult to analyze the microstructure and performance changes of the coating in detail. Due to the complex structure of thermal barrier coatings, their radiation properties were affected by a variety of factors, such as coating thickness, composition, and microstructure, and traditional experimental methods are often difficult to comprehensively and accurately reflect the radiation properties of coatings [11]. Therefore, it was of great practical significance and application value to develop a new type of method that could rapidly and accurately detect the radiation characteristics of thermal barrier coatings, which had become one of the hotspots of current research.
In recent years, terahertz technology, as an emerging electromagnetic wave spectrum, has shown unique advantages in the field of material inspection [12,13]. Terahertz waves were located between microwave and infrared light and were characterized by non-ionization, strong penetrability, and sensitivity to the microstructure of materials [14]. This made the terahertz technology potentially applicable in the detection of radiation properties of thermal barrier coatings. Through terahertz technology, nondestructive testing of the microstructure of the thermal barrier coating could be realized to obtain key information such as the thickness and microstructure of the coating and then analyze the radiation properties of the coating. Compared with the traditional experimental methods, in terms of non-metallic materials, terahertz technology had the advantages of fast detection speed and easy operation, which provided a new possibility for the nondestructive characterization of the radiation properties of thermal barrier coatings. Terahertz waves were very sensitive to the microstructure of the material, which could reveal the fine structure and defects inside the material, providing a powerful tool for the in-depth study of the radiation properties of thermal barrier coatings [15]. The application of terahertz technology to the detection of radiation properties of thermal barrier coatings had significant advantages. However, the application of terahertz technology in the detection of radiation properties of thermal barrier coatings still faces some challenges [16,17]. First, the transmission and detection of terahertz waves were affected by a variety of factors, such as ambient noise and equipment accuracy, which might lead to the accuracy of the detection results being affected. Secondly, the complexity and diversity of thermal barrier coatings made the detection and analysis of their radiation characteristics very complicated, which required advanced data processing and analysis techniques to extract useful information. Therefore, how to make full use of the advantages of terahertz technology, combined with advanced data processing methods, to realize the accurate detection and analysis of the radiation characteristics of thermal barrier coatings was a key issue in the current research.
With the rapid development of information technology, big data have become one of the important features of today’s era. Big data not only meant the explosive growth of data volume but also represented the diversity of data types and the complexity of data processing. In such a context, machine learning, as an important branch in the field of artificial intelligence, plays an increasingly important role in big data processing and analysis [18,19]. Machine learning algorithms were able to automatically extract useful information from massive data and improve the accuracy of prediction and classification by learning and optimizing models [20]. In the detection of radiation properties of thermal barrier coatings, machine learning techniques could be applied to process and analyze terahertz detection data to achieve intelligent identification and prediction of coating radiation properties [21,22,23]. By constructing a suitable machine learning model, key information such as the microstructure and compositional changes of the coating could be deeply mined, and then the radiation characteristics of the coating and its influencing factors could be analyzed. In addition, machine learning could also be used to optimize the parameter setting and data processing flow of the terahertz detection system to improve the detection efficiency and accuracy [24]. By fusing different machine learning algorithms, the advantages of each could be fully utilized to improve the generalization ability and robustness of the model [25]. Such a hybrid machine learning strategy could be better adapted to the complexity and diversity of radiation property detection of thermal barrier coatings and improve the accuracy and reliability of detection.
Existing information has shown that machine learning has been better applied in evaluating and predicting performance [26,27,28]. In this study, a simulation model was constructed based on the microstructural characterization data obtained from the inspection of actual service blades. A time-domain finite-different simulation method was used to obtain the terahertz time-domain signals, and a theoretical model for terahertz wave simulation of multilayer (1~3) dielectric structures was established. To be closer to the real test signal, the simulated time-domain signal was added with 20 dB Gaussian white noise, noise reduction was carried out by three noise processing methods, and data dimensionality reduction of the noise-reduced time-domain signal was carried out by the principal component analysis (PCA) method. The radiation characteristics of the thermal barrier coating under different microstructural features were obtained through theoretical calculations and used as the output characteristics of the model. The downscaled signals were used as input features for modeling, and finally, the radiation characteristics of the thermal barrier coating were characterized using various machine learning algorithms and optimization algorithms. The results could be used to assist in the judgment of the service life of the thermal barrier coating.

2. Materials and Methods

2.1. Terahertz Inspection Signal Obtained by FDTD Simulation

Since terahertz waves could not penetrate metallic materials, they would only be reflected on the surface of the metal substrate and would not be transmitted into the metal substrate, which avoided the influence of the metal substrate on the detection results. The reflection mechanism of terahertz in multilayer media had been described in a previous study [29]. However, it was difficult to extract this information effectively due to the presence of a multilayer structure and the thin thickness of the thermal barrier coating after service. The evolution of the thermal barrier coating at different stages of service is shown in Figure 1. It could be seen that in addition to the substrate and bonding layer, there might exist more than three layers of different characteristic structures in the thermal barrier coating. This brought more difficulties to the accurate expression of the thermal radiation characteristics of the thermal barrier coating. For this reason, the propagation process of terahertz waves in the thermal barrier coating was modeled and simulated with the help of FDTD Solutions software (Version 8.12.631 for X64, Lumerical Solutions Inc., Vancouver, BC, Canada). The purpose of this process was to provide insight into the thermal radiation characteristics of the thermal barrier coating by analyzing the obtained time-domain waveform data [30,31]. The time-domain finite-different method was applied to compute several simulation models with different numbers of layers (1–3 layers, with a total of 72 data sets). The terahertz wave frequency range used was 0.1–1.2 terahertz, and the average refractive indices of the ceramic and thermally grown oxide (TGO) layers in the thermal barrier coatings were about 5.23 and 2.91, respectively [32]. For the refractive index of the phase change layer, the coating in this part was denser, i.e., less porous, making its refractive index slightly higher than that of the internal ceramic layer. Based on the Lorentz–Lorenz equation, the refractive indices could be deduced to be 5.30, 5.19, 5.06, 4.92, and 4.78 for porosities of 1%, 5%, 10%, 15%, and 20%, respectively. In setting up the boundary conditions, only the factors in the X and Y directions were considered.

2.2. Sample Preparation and Characterization

The experimental specimens in this work were taken from an engine blade of a model that had been in service many times in a near-failure state. The thermal barrier coating was prepared by the APS method, and the material of the thermal barrier coating was 8YSZ (8 wt% Y2O3 stabilized ZrO2). The structural characteristics obtained from this blade were used as a critical value in the model to investigate the effect of parameters smaller than this critical value on the thermal radiation characteristics of the thermal barrier coating. Since the performance of this post-service thermal barrier coating had deteriorated considerably, it was highly susceptible to breakage before cutting. Before cutting, the thermal barrier coating was encapsulated with E7 epoxy adhesive (FM1000, Foshan Advanced Surface Technology Co., Ltd., Foshan, China), and then the blade was cut into small pieces for inspection using a wire cutter (XKG200, Suzhou Hualong Dajin Electro-Processing Co., Ltd., Suzhou, China). After cutting, an ultrasonic cleaner (JP-010T, Shenzhen Jiemeng Cleaning Equipment Co., Ltd., Shenzhen, China) was used to remove the dust and impurities generated during cutting. To prevent the heat from affecting the thermal barrier coating during the hot inlay process, JCM1 epoxy resin (JCM1, Hangzhou Jingjing Inspection Instrument Co., Ltd., Hangzhou, China) was used for cold inlay. The specimens before and after processing are shown in Figure 2. The cold inlaid specimens were sanded with 180–2000 mesh sandpaper and then polished with 0.25 μm grain size polish. The microstructure of the thermal barrier coatings after service was analyzed using a metallurgical microscope (PA53, McAuldie Industrial Group Co., Ltd., Beijing, China) and a scanning electron microscope (SEM, ZEISS EVO MA15, Carl Zeiss SMT Ltd., Cambridge, UK). The porosity and the thickness of each layer in the coating were then counted using Image J (Version 2.14.0, National Institutes of Health, Bethesda, MD, USA) software. The roughness of the surface layers of the thermal barrier coatings was measured using a 3D surface profiler (DECCA-3150, DECCA Precision Gauge (Shenzhen) Co., Ltd., Shenzhen, China), and the roughness of the internal layers was obtained by analyzing the metallographs using Image J software. Pictures of different parts of different thermal barrier coatings were obtained by repetitive grinding and polishing, and more than 50 pictures were counted using ImageJ software to minimize the error caused by statistics.

2.3. Theoretical Solutions for Radiation Properties

The radiation characteristics of thermal barrier coatings mainly included thermal conductivity and thermal radiation, and the radiation characteristics of thermal barrier coatings possessing different structural features have been numerically solved in a previous study [33], which elaborated the effects of different structural features on the thermal conductivity and thermal radiation characteristics. The solution models of thermal conductivity and radiation characteristics are shown in Equations (1)–(4). Based on the above conclusions, the numerical solution of the radiation characteristics of the thermal barrier coating under different structural features could be obtained. With this numerical solution as the output of the regression model, the link between the terahertz time-domain spectral curve and the radiation characteristics of the thermal barrier coating could be established. In addition, the reflectance at an incident angle of 0° for different roughnesses was obtained by numerical solution in this work.
k e f f = L q d A Δ T d A
× H = ε E t + σ E
× E = μ H t σ m H
S ( x , y ) = 1 T 0 T | E × H | d t
where q denoted the density of the heat flow through, L denoted the length along the direction of the heat flow, dA denoted the smallest cell in the model that q crosses, and Δ T was the temperature difference between the upper and lower boundaries. In this work, L was the boundary of the radiation, which was defined as 400 μm based on the thickness of the thermal barrier coating. E and H represented the electric and magnetic field components, respectively, and ε represented the permittivity of the thermal barrier coating. μ denoted the coefficient of permeability, σ denoted the electrical conductivity, and σ m denoted the magnetic permeability. t = 2π/ω is the period of the radiated wave. Thus, Equation (4) can be further rewritten as S ( x , y ) = I ( x , y ) d Ω . The thermal radiation characteristic parameters can be deduced from the radiation intensity I. x and y were simplifications of S and I within Cartesian coordinates, where x represents the depth of incidence of the radiated wave and y is the radiation characteristic parameter.

2.4. Data Processing and Modeling

2.4.1. Noise Reduction Process

To obtain near-real terahertz detection data, this work added 20 dB of white noise to the simulation. For noise removal, this work comparatively analyzed the effects of three types of signal processing: the Fourier transform, the short-time Fourier transform, and the wavelet transform. If the frequency characteristics of the signal change with time, to capture these time-varying characteristics, time–frequency analysis was required, and the short-time Fourier transform was one of the simplest ways. Although the short-time Fourier transform solves the problem of time-domain information to some extent, the time-domain resolution was fixed. According to Heisenberg’s principle of inaccuracy, the frequency domain resolution of the short-time Fourier transform was also fixed. Both time and frequency resolution were fixed and could not be dynamically adjustable with the frequency, which made it very difficult to choose an appropriate window width. To achieve dynamic resolution, the wavelet mother function was introduced. The wavelet transform realized different time and frequency resolutions at different frequencies, which meant that the resolution was dynamically adjustable. The noise reduction signal processing was implemented in MATLAB (Version 9.8.0.1380330, MathWorks, Natick, MA, USA) software in this study [34].

2.4.2. Principal Component Analysis

The core idea of principal component analysis (PCA) was to map high-dimensional data into a low-dimensional spatial representation through some kind of linear projection [35]. In this way, PCA was able to reduce the dimensionality of the data while preserving the characteristics of the original data points as much as possible. The main applications of PCA dimensionality reduction included feature extraction, data visualization, and noise filtering [36]. However, PCA dimensionality reduction also had some drawbacks. First, some data information was lost in the dimensionality reduction process because PCA only retained the primary components with higher variance and ignored the secondary components with lower variance. Second, PCA was very sensitive to outliers, which might lead to inaccuracy of the principal components. In addition, PCA was based on the linear relationship of the data for dimensionality reduction, which may not work well for data with nonlinear relationships. Finally, the principal components obtained by PCA were linear combinations of the original features, so their interpretability may not be as good as the original features. In this study, the wavelet transform method was used for noise reduction in terahertz time domain data. Then PCA was used to reduce the dimensionality to obtain the eigenvalues, contributions, and scores of each principal component of the wavelet noise reduction signal. The dimensionality-reduced data were used as inputs in the subsequent modeling process.

2.4.3. Algorithms and Models

Existing information indicated that machine learning was highly advantageous in large-scale data modeling [26,27,28]. Therefore, machine learning was introduced to process terahertz time-domain spectral data in this study. Based on the characteristics of terahertz time-domain data, SVM and KNN were chosen to establish the model. SVM was a machine learning algorithm widely used in binary classification problems [37]. Its core mechanism lies in finding an optimal hyperplane to maximize the distance between this hyperplane and the nearest points between samples of different categories, so as to realize the effective division of categories. For the processing of high-dimensional data, SVM also performed well. When facing nonlinear problems, SVM was able to cope with complex nonlinear challenges by skillfully mapping low-dimensional features to high-dimensional feature space with the help of kernel functions. In addition, the robustness of SVM was demonstrated when dealing with a small amount of anomalous data, as it was mainly based on the sample points (i.e., support vectors) that were closest to the hyperplane, rather than the entire dataset. This property gave SVM excellent generalization ability and enabled it to maintain stable performance even in the face of unseen data. The core idea of the nearest neighbor algorithm was “similarity of similarity”, which meant that similar data points tend to belong to the same class or have similar numerical properties [38]. The algorithm measured the distance between a given data point and other data points in the training set and filtered out the k-nearest neighbors with the shortest distance. The near-neighbor algorithm was favored because of its simplicity and intuitive nature, its nonparametric nature that did not require preconceived assumptions about the data, and its strong tolerance for outliers. In addition, the algorithm was able to flexibly cope with high-dimensional data and nonlinear problems, and its prediction results were highly interpretable. However, these two algorithms had the disadvantage of random initial weights and thresholds. To this end, this work used the ant colony algorithm (ACO) and particle swarm algorithm (PSO) to optimize the SVM algorithm and the KNN algorithm, respectively. The optimal initial weights and thresholds were finally determined by continuously searching for local optimal solutions and global optimal solutions.
The total number of samples in the study was 72 sets, which were randomly and equally divided into 8 sets. Any one of these groups was used as the test set and the rest as the training set, and each group of data was validated using 8-fold cross-validation. The four evaluation indicators, root mean square error (RMSE), mean absolute error (MAE), mean absolute percentage error (MAPE), and squared correlation coefficient (R2), were used to evaluate the constructed model [39,40]. The evaluation metrics are defined as follows:
R M S E = i = 1 n Y i Y ^ i 2 / n
M A E = i = 1 n Y i Y ^ i / n
M A P E = i = 1 n Y i Y ^ i Y i / n
R 2 = i = 1 n Y ^ i Y ^ ¯ Y i Y ¯ i = 1 n Y ^ i Y ^ ¯ 2 i = 1 n Y i Y ¯ 2 2
where n is the sample size, Y i is the real value of oxide scale thickness, and Y ^ i is the predicted value of oxide scale thickness estimated by the machine learning model.

3. Results and Discussion

3.1. Signal Simulation and Noise Reduction

Noise was introduced into the ideal simulated signal and processed to generate the original signal, the noise superimposed signal, and the noise reduction signal, as shown in Figure 3. Observing the red curve in Figure 3, it can be seen that this superimposed noise signal was much closer to the measured signal curve obtained in the actual test. Figure 3 shows the comparison of the signals before and after the addition of noise and the results after the noise reduction process. It might be worth noting that this signal containing high-frequency noise further increased the difficulty of extracting the radiation characteristic information in the actual data processing. Similarly, it could be clearly seen from Figure 3 that the wavelet transform had the best noise reduction effect, and the signals after noise reduction of the Fourier transform and short-time Fourier transform differed significantly from the actual real signals. Therefore, the noise signals were processed by wavelet transform in the subsequent studies of this work.

3.2. Statistical Results of Experiments and Theoretical Solutions of Radiation Properties

Figure 4 shows the microstructure of the thermal barrier coating after service, from the figure it was easy to see that there was a layer of dense structure in the surface layer of the thermal barrier coating. This structure was the product of sintering the surface ceramic at high temperatures during the service process of the thermal barrier coating. This dense material could effectively prevent the coating from being corroded; but also because it was more dense, it would accelerate the conduction of heat, which could seriously damage the radiation performance of the thermal barrier coating. Therefore, the thickness of the structure needed to be strictly controlled. The thickness of the sintered portion of the surface of the thermal barrier coating was measured to be in the range of 0 to 8.5 μm. To this end, the thickness of the surface layer was set to four levels, 0, 3, 6, and 9, while the porosity of this layer was set to 0 in the subsequent simulations. It was also observed that between the surface ceramics and the bonding layer, there was a presence of TGO, which was also dense and had an extremely inhomogeneous distribution. The thickness of TGO was measured to be about 0–6 μm, and it was also categorized into three grades: 0, 3, and 6. In addition, from Figure 4, it was easy to find that the structure of the thermal barrier coating was abnormally irregular on its surface and intermediate layer after service, which indicated that the thermal barrier coating had been greatly changed in the service process. Statistically, the roughness of the surface layer of the coating was in the range of Rz0.8 ~ Rz12.5, and the roughness between the internal layers was in the range of Rz0.8 ~ Rz6.3. The effect of high-temperature service on the structure was fully considered in the modeling. This was mainly reflected in the small roughness value when the number of microstructure layers was small and thin and in the large roughness value when the number of layers was large and thick. From Figure 4c, it could be seen that there was a high number of micropores inside the thermal barrier coating, which would cause the diffuse reflection of terahertz waves. The percentage of porosity was about 6%, and 5% to 20% of the pores would be added in the subsequent modeling process. In this work, the model was simplified during modeling by adding some random circular holes to the existing structure and setting the refractive index to 1.
The evolution of micropores or phases in thermal barrier coatings was an unavoidable consequence of the service process and was mainly due to two factors. On the one hand, it was the physical properties of the thermal barrier coating itself, and on the other hand, it was the time and temperature of the thermal barrier coating in service and the environmental parameters of the service. The change in micropores inside the thermal barrier coating had been elaborated on in the previous study [33]. For the phase change of the thermal barrier coating, the surface layer of the ceramic layer melted under high-temperature radiation, which caused it to change into a dense phase. The thickness of the surface molten phase varies depending on the region in which it was located. The distribution of the molten phase in the surface layer and the volume fraction of the ceramic layer would change according to the different service conditions. However, due to the difficulty of preparing specimens of thermal barrier coatings and controlling the service parameters, it was impossible to accurately control the distribution of the molten phase and the change of the volume fraction of the ceramic layer during the service process. How to adjust the production process to obtain stable thermal barrier coatings was one of the focuses of the research team in the next stage.
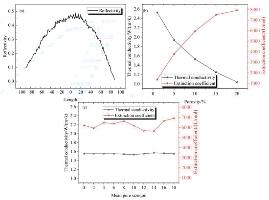
In this study, the reflectivity of the thermal barrier coating was obtained by solving Maxwell’s equation exactly and the results are shown in Figure 5a. Here, the numerical solution of reflectance at an incidence angle of 0 was investigated. The reflectivity of the thermal barrier coating was strongly influenced by the roughness value. Large fluctuations in the reflectivity occurred when the roughness was changed significantly. The internal microstructure of the thermal barrier coating would evolve during service, mainly including surface phase transition, TGO growth, and pore sintering. This would lead to a thinning of the ceramic layer while at the same time becoming denser. For this reason, the effect of porosity changes on the radiation properties cannot be neglected. In this work, the effects of porosity and pore size changes on thermal conductivity and extinction coefficient were concerned, and the results are shown in Figure 5b,c. In exploring the relationship between pore morphology and thermal conductivity in thermal barrier coatings, when the pore morphology tended to be circular, a significant linear correlation was observed between thermal conductivity and porosity. In this case, the thermal conductivity showed a decreasing trend with increasing porosity. This phenomenon was attributed to the fact that the isotropic characteristics of the circular pores remained relatively stable with increasing porosity, and the decrease in thermal conductivity efficiency was mainly attributed to the increase in the number of pores with isotropic characteristics. In addition, due to the isotropic nature of the circular pores, when the size of the pores was maintained in a certain interval, the change in the pore density had less effect on the microstructural characteristics of the thermal barrier coating; thus, the heat flow transport path did not change significantly. This explained why the thermal conductivity state of the coating was not significantly affected when the average pore size was changed. In this work, the control variable method was used in the study, where only a single parameter was varied. After obtaining the above-mentioned data, the reflectance, thermal conductivity, and extinction coefficient were used as the output of the model.

3.3. Comparison of Various Hybrid Machine Learning Approaches

The terahertz time-domain data dimension of the 72 samples obtained from the FDTD simulation was 72 × 3747, which contained a large amount of noise data and redundant data. If these data were used for direct modeling, it would seriously reduce the accuracy of the model and the modeling speed. Therefore, the wavelet transform was used to reduce the noise of the data before modeling, and the PCA algorithm was used to reduce the dimensionality of the data. Figure 6 shows the contribution of each component factor and the total contribution after the dimension reduction. It could be seen from the figure that the total contribution of the first 5 principal component factors was over 75%, while the contribution of the later factors was getting lower and lower. It could also be seen that the sum of the contributions of the first 71 principal component factors reached 100. Therefore, the dimensionality of the data after dimensionality reduction was 72 × 71. Compared with the original data, this greatly reduced the difficulty of training and reduced the training time. The dimensionality-reduced data were used as input to a machine learning model for the prediction of thermal radiation properties of thermal barrier coatings. The prediction results of several models were compared in this study. The cross-validation error iteration curve at random once was taken as an example. It could be seen from the figure that the model constructed by the unoptimized algorithm had larger error iterations at the end of the training, while the model optimized with different methods had significantly smaller errors at the end of the training.
To address the problem of random initial weights and thresholds of SVM and KNN algorithms, this study optimized both of them by the ant colony algorithm and particle swarm algorithm, respectively. In order to examine the training results of different models, MSE was used as the fitness function. The lower the MSE of the fitness function during training, the higher the reliability and accuracy of the model, as shown in Figure 7, which shows the error iteration curves of different models. The cross-validation error iteration curve at random once was taken as an example. It could be seen from the figure that the model constructed by the unoptimized algorithm had larger error iterations at the end of the training, while the model optimized with different methods had significantly smaller errors at the end of the training. Although the training error could be reduced by increasing the number of training sessions, the time required for training would increase exponentially, which would be difficult for the practical engineering application of the model. Therefore, in this work, the number of training times was uniformly defined as 500, and the model was used to predict the thermal radiation properties of thermal barrier coatings after the number of training times had been reached and training was stopped. The training accuracies of the four models with 8-fold cross-validation are shown in Table 1, from which it could be seen that the model accuracies before and after the optimization differed greatly, and the subsequent test sessions would only compare the ACO-SVM model and PSO-KNN model with better training effects.
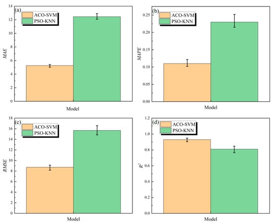
The high robustness of the training model did not fully indicate the good predictive performance of the model. To further compare and demonstrate the differences between the ACO-SVM and PSO-KNN models in terms of accuracy and reliability, four quantitative evaluation metrics, namely, RMSE, MAE, MAPE, and R2, were used. From Figure 8, it could be observed that the PSO-KNN model demonstrated some regression prediction ability in the R2 and error performance metrics, but its accuracy did not reach the ideal state. In contrast, the ACO-SVM model performed particularly well. The R2 value of this model exceeded 90%, while the values of all error performance metrics converged to zero. These four evaluation metrics consistently indicated that the ACO-SVM model demonstrated extremely high accuracy and reliability in predicting the thermal radiation properties of thermal barrier coatings. Therefore, it was reasonable to believe that the ACO-SVM model was able to meet the high standards required for nondestructive measurement of thermal radiation properties of thermal barrier coatings.
In this study, the PSO-KNN model was compared with the newly proposed ACO-SVM model to evaluate their performance in the regression prediction of radiation properties of thermal barrier coatings. The results showed that the novel ACO-SVM model significantly outperformed the PSO-KNN model in terms of prediction performance, possessing an R2 value close to one and an error value close to zero. This advantage was mainly attributed to the computational challenges encountered by the PSO-KNN model in dealing with a large number of features and sample imbalances, as well as the limitations of the KNN algorithm itself, such as its weak learning ability, high dependence on training data, and poor fault tolerance. Specifically, in this study, the PSO-KNN model was trained 500 times with random unordered samples, and it was found that the prediction results of each training session varied significantly, and even the optimal model failed to achieve the desired results. In contrast, SVM, as a novel method based on small-sample learning, had a solid theoretical foundation and realized efficient “transduction inference” from training samples to prediction samples, which was different from the traditional statistical methods. To address the shortcomings of the PSO-KNN model, this study proposed a new machine learning structural model, PCA-ACO-SVM, which combined the PCA and ACO algorithms to not only improve the computational speed, but also enhance the robustness and prediction accuracy of the model, and obtained excellent performance without the need for multiple computations. Eventually, the performance on the test dataset was comparable to that on the training dataset, proving the practical application value of the PCA-ACO-SVM model in nondestructive monitoring of thermal radiation properties of thermal barrier coatings.
At present, most of the tests of the special radiation properties of thermal barrier coatings are destructive characterization, leading to the practical application of such methods in engineering being very limited. Even if there were such a nondestructive method similar to ultrasonic detection, the detection could not avoid the influence of the extremely thin TGO layer, metal bonding layer, and substrate, and problems such as large errors in the detection results and difficulty in extracting the signal characteristics still needed to be solved. The terahertz NDE proposed in this study had more advantages in the characterization of non-metallic ceramic layers. Because terahertz could not penetrate the metallic material, it could make the obtained time-domain spectral curve contain only the optical information of the ceramic layer. However, there were still some difficulties in using terahertz to detect the thermal barrier coatings, and the specimens with different microstructural characteristics of the thermal barrier coatings could not be accurately prepared, so the different microstructural characteristics of the thermal barrier coatings were obtained by simulation. In the subsequent research, standard specimens of thermal barrier coatings with different microstructural characteristics will be obtained by different preparation methods and processes to promote the engineering application of terahertz detection of radiation properties of thermal barrier coatings.

4. Conclusions

In this paper, a method was proposed to measure the thermal radiation characteristics of thermal barrier coatings using terahertz nondestructive testing technology combined with a novel machine learning algorithm. The microstructural features of the thermal barrier coatings were obtained using metallographic and scanning electron microscopy analysis, and these data were used as the boundary value of the simulation model, and a total of 72 sets of valid data were obtained. The terahertz time-domain signals with different microstructural features were obtained by the finite difference in time-domain (FDTD) numerical simulation method. A white noise of 20 dB was added to the signal in order to obtain a detection value close to the actual one. The simulated signals were filtered by the Fourier transform, short-time Fourier transform, and wavelet transform. By comparing the effect after filtering, it was found that the wavelet transform has the best noise reduction effect. Due to the large dimensionality of the data after noise reduction, principal component analysis was used to reduce the dimensionality of the data. Ordinary KNN and SVM models and hybrid PSO-KNN and ACO-SVM models were used to establish the prediction model of thermal radiation characteristics, and the effects were compared. The noise-reduced terahertz time-domain data were utilized as input, and the reflectance, thermal conductivity, and extinction coefficient obtained from the theoretical solution were used as output for model training. The regression prediction model for thermal radiation properties of thermal barrier coatings could be obtained after multi-fold validation. Among the multiple training models, the model constructed by ACO-SVM has the lowest average training error, followed by the PSO-KNN model. The reliability and accuracy of the two models were validated and compared. The evaluation and comparison results showed that the proposed hybrid ACO-SVM model had low error values (close to 0) and the highest accuracy (more than 90%) and performed well in characterizing the radiation properties of thermal barrier coatings. In contrast, the KNN model was computationally intensive, and the computational complexity was higher when the data set was larger, resulting in a decrease in accuracy. In this paper, a new hybrid machine learning model was proposed, which cleverly integrated the terahertz nondestructive technique and showed excellent performance in the characterization of radiation properties of thermal barrier coatings.
By applying this hybrid machine learning method, the novel terahertz nondestructive technique showed great potential in the determination of radiation properties and the quality evaluation of thermal barrier coatings, which would provide important technical support and theoretical basis for the lifetime extension of thermal barrier coatings. However, the preparation of thermal barrier coatings with diverse microstructural features still faces certain challenges. Therefore, future studies will start from experiments to systematically evaluate the developmental patterns of microstructures under different experimental conditions. Meanwhile, this study combined analog simulation with machine learning, which provided a wide range of possibilities and benefits for the research and development of novel materials and effectively reduced the cost, showing great potential for application.

Author Contributions

Conceptualization, Z.X. and D.Y.; methodology, Z.X. and D.Y.; software, Z.X. and D.Y.; validation, C.Y., Y.W., H.L., H.Z., S.X. and J.X.; formal analysis, Z.X., Y.W. and D.Y.; investigation, Z.X., C.Y., Y.W., H.L., H.Z., S.X., J.X. and D.Y.; resources, Z.X., C.Y. and D.Y.; data curation, Z.X., Y.W., H.L., H.Z., S.X. and J.X.; writing—original draft preparation, Z.X. and D.Y.; writing—review and editing, C.Y., Y.W., H.L., S.X. and J.X.; visualization, Z.X., C.Y., Y.W., H.L., H.Z., S.X., J.X. and D.Y.; supervision, Z.X., C.Y. and D.Y.; project administration, C.Y., H.L., H.Z., S.X., J.X. and D.Y.; funding acquisition, Z.X., C.Y., Y.W., H.Z., S.X. and D.Y. All authors have read and agreed to the published version of the manuscript.

Funding

This research was funded by the Science and Technology Plan Project of Wuhu City (No. 2022yf67, Z.X., No. 2022jc48, C.Y., No. 2023jc40, Y.W.), the 2023 Anhui Province Scientific Research Preparation Plan Project (No. 2023AH052399, Z.X., No. 2023AH052384, C.Y., No. 2023AH052380, Y.W.), the Open Research Fund of Huzhou Key Laboratory of Terahertz Integrated Circuits and Systems (No. HKLTICY23KF05, D.Y.), the Key Research and Development Projects in Anhui Province (No. 2022a05020004, D.Y.), the Anhui Institute of Future Technology Enterprise Cooperation Project (No. 2023qyhz04, D.Y.), the Natural Science Research Project of Wuhu Institute of Technology (No. wzyzr202419, Z.X., No. wzyzr202332, Y.W.), and State Administration for Market Regulation Science and Technology Plan Project (No. 2023MK228, H.Z.).

Institutional Review Board Statement

Not applicable.

Informed Consent Statement

Not applicable.

Data Availability Statement

Data are contained within the article.

Conflicts of Interest

Author Dongdong Ye was employed by Anhui Polytechnic University Industrial Innovation Technology Research Co., Ltd. The remaining authors declare that the research was conducted in the absence of any commercial or financial relationships that could be construed as a potential conflict of interest.

References

  1. Vagge, S.T.; Ghogare, S. Thermal barrier coatings: Review. Mater. Today Proc. 2022, 56, 1201–1216. [Google Scholar] [CrossRef]
  2. Padture, N.P.; Gell, M.; Jordan, E.H. Thermal barrier coatings for gas-turbine engine applications. Science 2002, 296, 280–284. [Google Scholar] [CrossRef] [PubMed]
  3. Thakare, J.G.; Pandey, C.; Mahapatra, M.M.; Mulik, R.S. Thermal barrier coatings—A state of the art review. Met. Mater. Int. 2021, 27, 1947–1968. [Google Scholar] [CrossRef]
  4. Gleeson, B. Thermal barrier coatings for aeroengine applications. J. Propuls. Power 2006, 22, 375–383. [Google Scholar] [CrossRef]
  5. Stefan, A.; Manoliu, V.; Cristea, G.C. Zirconia-Based Thermal Barrier Coatings Systems for Aero-Industry. In Ceramic Coatings for High-Temperature Environments: From Thermal Barrier to Environmental Barrier Applications; Springer International Publishing: Cham, Switzerland, 2023; pp. 151–177. [Google Scholar]
  6. Eldridge, J.I.; Spuckler, C.M.; Street, K.W.; Markham, J.R. Infrared radiative properties of yttria–stabilized zirconia thermal barrier coatings. In 26th Annual Conference on Composites, Advanced Ceramics, Materials, and Structures: B: Ceramic Engineering and Science Proceedings; John Wiley & Sons, Inc.: Hoboken, NJ, USA, 2002; pp. 417–430. [Google Scholar]
  7. Liu, Q.; Huang, S.; He, A. Composite ceramics thermal barrier coatings of yttria stabilized zirconia for aero-engines. J. Mater. Sci. Technol. 2019, 35, 2814–2823. [Google Scholar] [CrossRef]
  8. Kumar, N.A.; Kale, S.R. Numerical simulation of steady state heat transfer in a ceramic-coated gas turbine blade. Int. J. Heat Mass Transf. 2002, 45, 4831–4845. [Google Scholar] [CrossRef]
  9. Shi, H.; Zhao, C.Y.; Wang, B.X. Modeling the thermal radiation properties of thermal barrier coatings based on a random generation algorithm. Ceram. Int. 2016, 42, 9752–9761. [Google Scholar] [CrossRef]
  10. Lim, G.; Kar, A. Radiative properties of thermal barrier coatings at high temperatures. J. Phys. D Appl. Phys. 2009, 42, 155412. [Google Scholar] [CrossRef]
  11. Zhang, B.J.; Wang, B.X.; Zhao, C.Y. Microstructural effect on the radiative properties of YSZ thermal barrier coatings (TBCs). Int. J. Heat Mass Transf. 2014, 73, 59–66. [Google Scholar] [CrossRef]
  12. Pawar, A.Y.; Sonawane, D.D.; Erande, K.B.; Derle, D.V. Terahertz technology and its applications. Drug Invent. Today 2013, 5, 157–163. [Google Scholar] [CrossRef]
  13. Castro-Camus, E.; Koch, M.; Mittleman, D.M. Recent advances in terahertz imaging: 1999 to 2021. Appl. Phys. B 2022, 128, 12. [Google Scholar] [CrossRef]
  14. Tonouchi, M. Cutting-edge terahertz technology. Nat. Photonics 2007, 1, 97–105. [Google Scholar] [CrossRef]
  15. Ferguson, B.; Zhang, X.C. Materials for terahertz science and technology. Nat. Mater. 2002, 1, 26–33. [Google Scholar] [CrossRef] [PubMed]
  16. Zhang, J.; Li, S.; Le, W. Advances of terahertz technology in neuroscience: Current status and a future perspective. Iscience 2021, 24, 103548. [Google Scholar] [CrossRef] [PubMed]
  17. Wang, Q.; Chen, Y.; Mao, J.; Yang, F.; Wang, N. Metasurface-Assisted Terahertz Sensing. Sensors 2023, 23, 5902. [Google Scholar] [CrossRef]
  18. Soori, M.; Arezoo, B.; Dastres, R. Artificial intelligence, machine learning and deep learning in advanced robotics, a review. Cognit. Rob. 2023, 3, 54–70. [Google Scholar] [CrossRef]
  19. Krenn, M.; Buffoni, L.; Coutinho, B.; Eppel, S.; Foster, J.G.; Gritsevskiy, A.; Lee, H.; Lu, Y.; Moutinho, J.P.; Sanjabi, N.; et al. Forecasting the future of artificial intelligence with machine learning-based link prediction in an exponentially growing knowledge network. Nat. Mach. Intell. 2023, 5, 1326–1335. [Google Scholar] [CrossRef]
  20. Sarker, I.H. Machine learning: Algorithms, real-world applications and research direction. SN Comput. Sci. 2021, 2, 160. [Google Scholar] [CrossRef]
  21. Sun, F.; Fan, M.; Cao, B.; Zheng, D.; Liu, H.; Liu, L. Terahertz based thickness measurement of thermal barrier coatings using long short-term memory networks and local extrema. IEEE Trans. Ind. Inform. 2021, 18, 2508–2517. [Google Scholar] [CrossRef]
  22. Ge, W.A.; Zhao, C.Y.; Wang, B.X. Thermal radiation and conduction in functionally graded thermal barrier coatings. Part I: Experimental study on radiative properties. Int. J. Heat Mass Transf. 2019, 134, 101–113. [Google Scholar] [CrossRef]
  23. Isern, L.; Waddie, A.J.; Chalk, C.; Moore, A.J.; Nicholls, J.R. Non-destructive thickness measurement of thermal barrier coatings using terahertz radiation. Emergent Mater. 2021, 4, 1547–1557. [Google Scholar] [CrossRef]
  24. Yang, L.; Shami, A. On hyperparameter optimization of machine learning algorithms: Theory and practice. Neurocomputing 2020, 415, 295–316. [Google Scholar] [CrossRef]
  25. Hakimi, Y.; Baghdadi, R.; Challal, Y. A Hybrid Machine Learning Model for Code Optimization. Int. J. Parallel Program. 2023, 51, 309–331. [Google Scholar] [CrossRef]
  26. Ye, D.; Wang, W.; Yin, C.; Xu, Z.; Fang, H.; Huang, J.; Li, Y. Nondestructive Evaluation of Thermal Barrier Coatings Interface Delamination Using Terahertz Technique Combined with SWT-PCA-GA-BP Algorithm. Coatings 2020, 10, 859. [Google Scholar] [CrossRef]
  27. Ye, D.; Xu, Z.; Pan, J.; Yin, C.; Hu, D.; Wu, Y.; Li, R.; Li, Z. Prediction and Analysis of the Grit Blasting Process on the Corrosion Resistance of Thermal Spray Coatings Using a Hybrid Artificial Neural Network. Coatings 2021, 11, 1274. [Google Scholar] [CrossRef]
  28. Li, R.; Ye, D.; Xu, Z.; Yin, C.; Xu, H.; Zhou, H.; Yi, J.; Chen, Y.; Pan, J. Nondestructive Evaluation of Thermal Barrier Coatings Thickness Using Terahertz Time-Domain Spectroscopy Combined with Hybrid Machine Learning Approaches. Coatings 2022, 12, 1875. [Google Scholar] [CrossRef]
  29. Xu, Z.; Ye, D.; Chen, J.; Zhou, H. Novel Terahertz Nondestructive Method for Measuring the Thickness of Thin Oxide Scale Using Different Hybrid Machine Learning Models. Coatings 2020, 10, 805. [Google Scholar] [CrossRef]
  30. Tu, W.; Zhong, S.; Shen, Y.; Atilla, I.; Fu, X. Neural network-based hybrid signal processing approach for resolving thin marine protective coating by terahertz pulsed imaging. Ocean. Eng. 2019, 173, 58–67. [Google Scholar] [CrossRef]
  31. Luo, M.; Zhong, S.; Yao, L.; Tu, W.; Nsengiyumva, W.; Chen, W. Thin thermally grown oxide thickness detection in thermal barrier coatings based on SWT-BP neural network algorithm and terahertz technology. Appl. Opt. 2020, 59, 4097–4104. [Google Scholar] [CrossRef]
  32. Zhang, P.; Zhong, S.C.; Zhang, Q.K.; Dai, C.Y.; Chen, W.Q.; Lin, J.W. Terahertz nondestructive testing of refractive index and thickness of thermal barrier coating. Chin. J. Mech. Eng. 2021, 57, 47–56. [Google Scholar]
  33. Xu, Z.; Xu, S.; Zhang, Q.; Xu, J.; Ye, D. Effect of Pore Evolution on Thermal Diffusivity and Radiation Characteristics of Thermal Barrier Coatings after High-Temperature Exposures. Coatings 2023, 13, 1675. [Google Scholar] [CrossRef]
  34. Jiao, Z.; Hu, P.; Xu, H.; Wang, Q.S. Machine learning and deep learning in chemical health and safety: A systematic review of techniques and applications. ACS Chem. Health Saf. 2020, 27, 316–334. [Google Scholar] [CrossRef]
  35. Abdi, H.; Williams, L.J. Principal component analysis. Wiley Interdiscip. Rev. Comput. Stat. 2010, 2, 433–459. [Google Scholar] [CrossRef]
  36. Zhao, B.; Dong, X.; Guo, Y.; Jia, X.; Huang, Y. PCA dimensionality reduction method for image classification. Neural Process. Lett. 2022, 54, 347–368. [Google Scholar] [CrossRef]
  37. Dudzik, W.; Nalepa, J.; Kawulok, M. Evolving data-adaptive support vector machines for binary classification. Knowl.-Based Syst. 2021, 227, 107221. [Google Scholar] [CrossRef]
  38. Li, B.; Chen, Y.W.; Chen, Y.Q. The nearest neighbor algorithm of local probability centers. IEEE Trans. Sys. Man Cybern. Part B 2008, 38, 141–154. [Google Scholar] [CrossRef] [PubMed]
  39. Wang, W.; Lu, Y. Analysis of the mean absolute error (MAE) and the root mean square error (RMSE) in assessing rounding model. IOP Conf. Ser. Mater. Sci. Eng. 2018, 324, 012049. [Google Scholar] [CrossRef]
  40. Despotovic, M.; Nedic, V.; Despotovic, D.; Cvetanovic, S. Evaluation of empirical models for predicting monthly mean horizontal diffuse solar radiation. RSER 2016, 56, 246–260. [Google Scholar]
Figure 1. Schematic diagram of the evolution of thermal barrier coatings at different stages of service.
Figure 1. Schematic diagram of the evolution of thermal barrier coatings at different stages of service.
Coatings 14 00647 g001
Figure 2. Appearance of specimen before and after processing.
Figure 2. Appearance of specimen before and after processing.
Coatings 14 00647 g002
Figure 3. A plot of the original signal, noise superimposed signal, and noise reduction signal.
Figure 3. A plot of the original signal, noise superimposed signal, and noise reduction signal.
Coatings 14 00647 g003
Figure 4. Microstructure morphology of the thermal barrier coating after service: (a) 50× magnification; (b) 200× magnification; (c) 500× magnification.
Figure 4. Microstructure morphology of the thermal barrier coating after service: (a) 50× magnification; (b) 200× magnification; (c) 500× magnification.
Coatings 14 00647 g004
Figure 5. Radiative properties of thermal barrier coatings: (a) reflectivity; (b) effect of porosity on thermal conductivity and extinction coefficient; and (c) effect of pore size on thermal conductivity and extinction coefficient.
Figure 5. Radiative properties of thermal barrier coatings: (a) reflectivity; (b) effect of porosity on thermal conductivity and extinction coefficient; and (c) effect of pore size on thermal conductivity and extinction coefficient.
Coatings 14 00647 g005
Figure 6. Diagram of principal component factor contributions and cumulative contributions.
Figure 6. Diagram of principal component factor contributions and cumulative contributions.
Coatings 14 00647 g006
Figure 7. Diagram of error iteration curves for different models.
Figure 7. Diagram of error iteration curves for different models.
Coatings 14 00647 g007
Figure 8. Evaluation of the predictive effectiveness of ACO-SVM and PSO-KNN models: (a) MAE, (b) MAPE, (c) RMSE, and (d) R2.
Figure 8. Evaluation of the predictive effectiveness of ACO-SVM and PSO-KNN models: (a) MAE, (b) MAPE, (c) RMSE, and (d) R2.
Coatings 14 00647 g008
Table 1. Training accuracy of four models with 8-fold cross-validation.
Table 1. Training accuracy of four models with 8-fold cross-validation.
ModelKNNSVMPSO-KNNACO-SVM
Training accuracy62.85% ± 9.02%72.14% ± 10.43%94.55% ± 8.22%97.48% ± 6.71%
Disclaimer/Publisher’s Note: The statements, opinions and data contained in all publications are solely those of the individual author(s) and contributor(s) and not of MDPI and/or the editor(s). MDPI and/or the editor(s) disclaim responsibility for any injury to people or property resulting from any ideas, methods, instructions or products referred to in the content.

Share and Cite

MDPI and ACS Style

Xu, Z.; Yin, C.; Wu, Y.; Liu, H.; Zhou, H.; Xu, S.; Xu, J.; Ye, D. Terahertz Nondestructive Measurement of Heat Radiation Performance of Thermal Barrier Coatings Based on Hybrid Artificial Neural Network. Coatings 2024, 14, 647. https://doi.org/10.3390/coatings14050647

AMA Style

Xu Z, Yin C, Wu Y, Liu H, Zhou H, Xu S, Xu J, Ye D. Terahertz Nondestructive Measurement of Heat Radiation Performance of Thermal Barrier Coatings Based on Hybrid Artificial Neural Network. Coatings. 2024; 14(5):647. https://doi.org/10.3390/coatings14050647

Chicago/Turabian Style

Xu, Zhou, Changdong Yin, Yiwen Wu, Houli Liu, Haiting Zhou, Shuheng Xu, Jianfei Xu, and Dongdong Ye. 2024. "Terahertz Nondestructive Measurement of Heat Radiation Performance of Thermal Barrier Coatings Based on Hybrid Artificial Neural Network" Coatings 14, no. 5: 647. https://doi.org/10.3390/coatings14050647

APA Style

Xu, Z., Yin, C., Wu, Y., Liu, H., Zhou, H., Xu, S., Xu, J., & Ye, D. (2024). Terahertz Nondestructive Measurement of Heat Radiation Performance of Thermal Barrier Coatings Based on Hybrid Artificial Neural Network. Coatings, 14(5), 647. https://doi.org/10.3390/coatings14050647

Note that from the first issue of 2016, this journal uses article numbers instead of page numbers. See further details here.

Article Metrics

Back to TopTop