Feasibility Analysis of Resource Application of Dry Flue Gas Desulfurization Ash in Asphalt Pavement Materials
Abstract
1. Introduction
2. Materials and Methods
2.1. Raw Materials
2.1.1. Asphalt
2.1.2. Fillers
2.2. Preparation of Asphalt Mastic
2.3. Preparation of Asphalt Mastic
2.3.1. Basic Performance
2.3.2. Dynamic Shear Rheology
2.3.3. Multiple Stress Creep Recovery (MSCR)
2.3.4. Bending Beam Rheometer (BBR) Tests
2.3.5. Scanning Electron Microscopy (SEM)
2.3.6. Fourier Transform Infrared Spectroscopy (FTIR)
2.3.7. Evaluation Indicators for Asphalt-Filler Interaction Based on Palierne Modeling
3. Results
3.1. Basic Performance Test Results
3.2. DSR Text Results
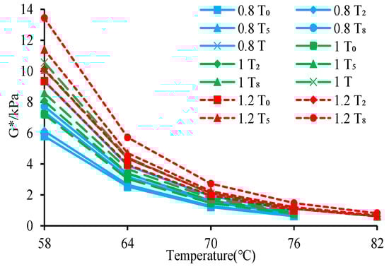
3.2.1. High-Temperature Dynamic Rheological Properties
3.2.2. High-Temperature Dynamic Rheological Properties
3.3. MSCR Test Results
3.4. BBR Test Results
4. Evaluation Index Analysis and Microscopic Mechanism of Interaction between Mastic Asphalt and DFGDA
4.1. C-Value
4.2. SEM Test Results
4.3. FTIR Test Results
5. Conclusions
- (1)
- The basic performance test of the DFGDA asphalt mastic showed enhanced consistency and hardness with the incorporation of DFGDA. The high-temperature performance of asphalt mastic was improved, while the low-temperature performance was reduced with increasing admixture.
- (2)
- At the same temperature, with the increasing DFGDA admixture, the dynamic shear modulus of asphalt mastic was gradually improved, indicating that the elastic component of asphalt mastic became more extensive, and the deformation resistance was improved. The MSCR test at 70 °C indicated that with the increasing DFGDA admixture, the strain recovery ratio gradually rose, and irrecoverable creep flexibility decreased when other conditions were unchanged. The results implied that the increase of DFGDA admixture could improve the strain recovery rate and permanent deformation resistance of asphalt mastic. The BBR test demonstrated that the DFGDA incorporation adversely affected the low-temperature plastic deformation resistance of asphalt. However, the influence was inhibited by the growing DFGDA amount and the powder mastic ratio.
- (3)
- Based on the Palierne model, an evaluation index C-value for the interaction capacity of asphalt and mineral powder was proposed. The interaction ability of DFGDA, LSP, and asphalt was evaluated using the C-value. It was concluded that DFGDA has a stronger ability to interact with asphalt than LSP.
- (4)
- The FTIR test identified that the DFGDA incorporation did not produce new functional group vibrational bands. The DFGDA asphalt interface was dominated by physical interaction, and the performance of DFGDA asphalt mastic mainly depended on the miscibility between DFGDA and matrix asphalt. Due to its greater specific surface area, DFGDA improved the interaction ability of asphalt more significantly than LSP, thus obtaining better high-temperature performance. The SEM images showed voids between the DFGDA and asphalt, exerting a particularly negative impact on ductility and flexural creep modulus of strength.
Author Contributions
Funding
Institutional Review Board Statement
Informed Consent Statement
Data Availability Statement
Conflicts of Interest
References
- Al Mayyahi, A.; Sekar, A.; Rajendran, S.; Sigdel, S.; Lu, L.Y.; Wang, J.; Wang, G.H.; Li, J.; Amama, P.B. Hierarchical TiO2-g-C3N4 photocatalyst with purification effect for NOx oxidation under cyan light. J. Photochem. Photobiol. A 2023, 444, 114965. [Google Scholar] [CrossRef]
- Al Mayyahi, A.; Sarker, S.; Everhart, B.M.; He, X.Q.; Amama, P.B. One-step fluorine-free synthesis of delaminated, OH-terminated Ti3C2: High photocatalytic NOx storage selectivity enabled by coupling TiO2 and Ti3C2-OH. Mater. Today Commun. 2022, 32, 103835. [Google Scholar] [CrossRef]
- Cui, L.; Ba, K.; Li, F.; Wang, Q.; Ma, Q.; Yuan, X.; Mu, R.; Hong, J.; Zuo, J. Life cycle assessment of ultra-low treatment for steel industry sintering flue gas emissions. Sci. Total Environ. 2020, 725, 138292. [Google Scholar] [CrossRef] [PubMed]
- Lisnic, R.; Jinga, S.I. Study on Current State And Future Trends Of Flue Gas Desulphurization Tehnologies: A Review. Rev. Rom. Mater. 2018, 48, 83–90. [Google Scholar] [CrossRef]
- Liu, H.; Tan, Q.; Jiang, X.; Ma, S.; Liao, W.; Yang, F.; Huang, F. Comprehensive evaluation of flue gas desulfurization and denitrification technologies of six typical enterprises in Chengdu, China. Environ. Sci. Pollut. Res. Int. 2020, 27, 45824–45835. [Google Scholar] [CrossRef]
- Burgess-Conforti, J.R.; Brye, K.R.; Miller, D.M.; Pollock, E.D.; Wood, L.S. Dry flue gas desulfurization by-product application effects on plant uptake and soil storage changes in a managed grassland. Environ. Sci. Pollut. Res. Int. 2018, 25, 3386–3396. [Google Scholar] [CrossRef] [PubMed]
- Burgess-Conforti, J.R.; Miller, D.M.; Brye, K.R.; Pollock, E.D. Plant uptake of major and trace elements from soils amended with a high-calcium dry flue gas desulfurization by-product. Fuel 2017, 208, 514–521. [Google Scholar] [CrossRef]
- Sheng, G.; Huang, P.; Mou, Y.; Zhou, C. Characteristics of fly ash from the dry flue gas desulfurization system for iron ore sintering plants. Environ. Technol. 2012, 33, 837–844. [Google Scholar] [CrossRef] [PubMed]
- Lanzerstorfer, C.; Xu, Q.; Neuhold, R. Leaching of the residue from the dry off-gas de-dusting and desulfurization process of an iron ore sinter plant. Int. J. Miner. Metall. Mater. 2015, 22, 116–121. [Google Scholar] [CrossRef]
- Li, J.; Qin, Y.R.; Zhang, X.Q.; Shan, B.L.; Liu, C.C. Emission Characteristics, Environmental Impacts, and Health Risks of Volatile Organic Compounds from Asphalt Materials: A State-of-the-Art Review. Energ Fuel 2024, 38, 4787–4802. [Google Scholar] [CrossRef]
- Wu, R.; Dai, S.; Jian, S.; Huang, J.; Lv, Y.; Li, B.; Azizbek, N. Utilization of the circulating fluidized bed combustion ash in autoclaved aerated concrete: Effect of superplasticizer. Constr. Build. Mater. 2020, 237, 117644. [Google Scholar] [CrossRef]
- Burgess-Conforti, J.R.; Brye, K.R.; Miller, D.M.; Pollock, E.D.; Wood, L.S. Land Application Effects of a High-Calcium, Dry Flue Gas Desulfurization By-Product on Trace Elements in Runoff from Natural Rainfall. Water Air Soil Pollut. 2018, 229, 34. [Google Scholar] [CrossRef]
- Chen, L.; Tian, Y.; Stehouwer, R.; Kost, D.; Guo, X.; Bigham, J.M.; Beeghly, J.; Dick, W.A. Surface coal mine land reclamation using a dry flue gas desulfurization product: Long-term biological response. Fuel 2013, 105, 258–265. [Google Scholar] [CrossRef]
- Chen, L.; Stehouwer, R.; Tong, X.; Kost, D.; Bigham, J.M.; Dick, W.A. Surface coal mine land reclamation using a dry flue gas desulfurization product: Short-term and long-term water responses. Chemosphere 2015, 134, 459–465. [Google Scholar] [CrossRef] [PubMed]
- Zhang, Z.; Qian, J.; You, C.; Hu, C. Use of circulating fluidized bed combustion fly ash and slag in autoclaved brick. Constr. Build. Mater. 2012, 35, 109–116. [Google Scholar] [CrossRef]
- Feng, X.H.; Wang, C.Q.; Ding, S.M. Performance of desulfurization ash for the preparation of grouting fire prevention material. Environ. Sci. Pollut. Res. Int. 2019, 26, 19228–19240. [Google Scholar] [CrossRef]
- Li, X.-g.; Chen, Q.-b.; Huang, K.-z.; Ma, B.-g.; Wu, B. Cementitious properties and hydration mechanism of circulating fluidized bed combustion (CFBC) desulfurization ashes. Constr. Build. Mater. 2012, 36, 182–187. [Google Scholar] [CrossRef]
- Sheng, G.; Li, Q.; Zhai, J. Investigation on the hydration of CFBC fly ash. Fuel 2012, 98, 61–66. [Google Scholar] [CrossRef]
- Duan, S.; Liao, H.; Cheng, F.; Song, H.; Yang, H. Investigation into the synergistic effects in hydrated gelling systems containing fly ash, desulfurization gypsum and steel slag. Constr. Build. Mater. 2018, 187, 1113–1120. [Google Scholar] [CrossRef]
- Woszuk, A.; Bandura, L.; Franus, W. Fly ash as low cost and environmentally friendly filler and its effect on the properties of mix asphalt. J. Clean. Prod. 2019, 235, 493–502. [Google Scholar] [CrossRef]
- Cloutier, C.; Bautista, E.G.; Faheem, A.F.; Sobolev, K. Effect of Spray Dryer Absorbers as Mix Enhancer on HMA Performance. In Proceedings of the International Congress and Exhibition “Sustainable Civil Infrastructures: Innovative Infrastructure Geotechnology”, Cairo, Egypt, 24–28 November 2018; pp. 80–95. [Google Scholar] [CrossRef]
- Bautista, E.G.; Flickinger, J.; Saha, R.; Flores-Vivian, I.; Faheem, A.F.; Sobolev, K. Effect of Coal Combustion Products on high temperature performance of asphalt mastics. Constr. Build. Mater. 2015, 94, 572–578. [Google Scholar] [CrossRef]
- Mistry, R.; Kumar Roy, T. Performance evaluation of bituminous mix and mastic containing rice husk ash and fly ash as filler. Constr. Build. Mater. 2021, 268, 121187. [Google Scholar] [CrossRef]
- Chen, J.; Wu, S.; Pang, L.; Chen, Z.; Xie, J.; Lei, M. Influence of flue gas desulphurisation ash on moisture damage in asphalt mixtures. Mater. Res. Innov. 2014, 18, S4-81–S4-86. [Google Scholar] [CrossRef]
- Wei, H.; Li, J.; Wang, F.Y.; Zheng, J.L.; Tao, Y.Y.; Zhang, Y.H. Numerical investigation on fracture evolution of asphalt mixture compared with acoustic emission. Int. J. Pavement Eng. 2022, 23, 3481–3491. [Google Scholar] [CrossRef]
- Liu, Z.; Li, S.; Wang, Y. Characteristics of asphalt modified by waste engine oil/polyphosphoric acid: Conventional, high-temperature rheological, and mechanism properties. J. Clean. Prod. 2022, 330, 129844. [Google Scholar] [CrossRef]
- Russo, F.; Veropalumbo, R.; Pontoni, L.; Oreto, C.; Biancardo, S.A.; Viscione, N.; Pirozzi, F.; Race, M. Sustainable asphalt mastics made up recycling waste as filler. J. Environ. Manag. 2022, 301, 113826. [Google Scholar] [CrossRef]
- Zhang, H.; Gong, M.; Huang, Y.; Miljković, M. Study of the high and low-temperature behavior of asphalt based on a performance grading system in Northeast China. Constr. Build. Mater. 2020, 254, 119046. [Google Scholar] [CrossRef]
- Xiang, L.; Cheng, J.; Que, G. Microstructure and performance of crumb rubber modified asphalt. Constr. Build. Mater. 2009, 23, 3586–3590. [Google Scholar] [CrossRef]
- Ma, F.; Dai, J.; Fu, Z.; Li, C.; Wen, Y.; Jia, M.; Wang, Y.; Shi, K. Biochar for asphalt modification: A case of high-temperature properties improvement. Sci. Total Environ. 2022, 804, 150194. [Google Scholar] [CrossRef] [PubMed]
- Palierne, J.F. Linear rheology of viscoelastic emulsions with interfacial tension. Rheol. Acta 1990, 29, 204–214. [Google Scholar] [CrossRef]
- Graebling, D.; Muller, R. Determination of interfacial tension of polymer melts by dynamic shear measurements. Colloids Surf. 1991, 55, 89–103. [Google Scholar] [CrossRef]
- Ziegel, K.D.; Romanov, A. Modulus Reinforcement in Elastomer Composites. I. Inorganic fillers. J. Appl. Polym. Sci. 1973, 17, 1119–1131. [Google Scholar] [CrossRef]
- Rivera-Armenta, J.L.; Salazar-Cruz, B.A.; Chávez-Cinco, M.Y.; Morales-Cepeda, A.B.; Zapién-Castillo, S. Influence of chicken feather on the rheological properties and performance of modified asphalts. Constr. Build. Mater. 2020, 264, 120128. [Google Scholar] [CrossRef]
















| Test Items | Unit | Test Results | Technical Requirements | Single Conclusion |
|---|---|---|---|---|
| Density (15 °C) | -- | 1.013 | -- | / |
| Penetration (25 °C, 100 g, 5 s) | 0.1 mm | 72 | 60–80 | Qualified |
| Softening point | °C | 47.5 | ≥46 | Qualified |
| Ductility (15 °C) | cm | >100 | ≥100 | Qualified |
| Kinematic Viscosity (60 °C) | Pa.s | 190 | ≥180 | Qualified |
| Wax | % | <2.2 | ≤2.2 | Qualified |
| Sample Name | Particle Size (μm) | Apparent Density (g/cm3) | Specific Surface Area (m2/g) | Hydrophilic Coefficient | ||
|---|---|---|---|---|---|---|
| D(10) | D(50) | D(90) | ||||
| LSP | 1.397 | 14.086 | 75.005 | 2.70 | 1.37 | 0.55 |
| DFGDA | 1.390 | 6.231 | 17.323 | 2.54 | 2.79 | 0.81 |
Disclaimer/Publisher’s Note: The statements, opinions and data contained in all publications are solely those of the individual author(s) and contributor(s) and not of MDPI and/or the editor(s). MDPI and/or the editor(s) disclaim responsibility for any injury to people or property resulting from any ideas, methods, instructions or products referred to in the content. |
© 2024 by the authors. Licensee MDPI, Basel, Switzerland. This article is an open access article distributed under the terms and conditions of the Creative Commons Attribution (CC BY) license (https://creativecommons.org/licenses/by/4.0/).
Share and Cite
Li, K.; Zhou, Z.; Zhang, Y.; Ying, R. Feasibility Analysis of Resource Application of Dry Flue Gas Desulfurization Ash in Asphalt Pavement Materials. Coatings 2024, 14, 591. https://doi.org/10.3390/coatings14050591
Li K, Zhou Z, Zhang Y, Ying R. Feasibility Analysis of Resource Application of Dry Flue Gas Desulfurization Ash in Asphalt Pavement Materials. Coatings. 2024; 14(5):591. https://doi.org/10.3390/coatings14050591
Chicago/Turabian StyleLi, Kai, Zhigang Zhou, Yinghui Zhang, and Ronghua Ying. 2024. "Feasibility Analysis of Resource Application of Dry Flue Gas Desulfurization Ash in Asphalt Pavement Materials" Coatings 14, no. 5: 591. https://doi.org/10.3390/coatings14050591
APA StyleLi, K., Zhou, Z., Zhang, Y., & Ying, R. (2024). Feasibility Analysis of Resource Application of Dry Flue Gas Desulfurization Ash in Asphalt Pavement Materials. Coatings, 14(5), 591. https://doi.org/10.3390/coatings14050591
