Next Article in Journal
Coating on Steel Discs with a Photocatalytic System CuO/SiO2 for the Degradation of the Ubiquitous Contaminants Methylene Blue and Amoxicillin
Previous Article in Journal
Exploring Sustainable Coating Solutions for Applications in Highly Corrosive Environments
 
 
Due to scheduled maintenance work on our servers, there may be short service disruptions on this website between 11:00 and 12:00 CEST on March 28th.
Font Type:
Arial Georgia Verdana
Font Size:
Aa Aa Aa
Line Spacing:
Column Width:
Background:
Article

Study of High-Temperature Rheological Properties of Emulsified Asphalt Residues

School of Transportation, Southeast University, Nanjing 211189, China
*
Author to whom correspondence should be addressed.
Coatings 2024, 14(5), 522; https://doi.org/10.3390/coatings14050522
Submission received: 19 December 2023 / Revised: 16 April 2024 / Accepted: 22 April 2024 / Published: 24 April 2024
(This article belongs to the Section Surface Characterization, Deposition and Modification)

Abstract

The residue of emulsified asphalt is its final state when it becomes part of an asphalt mixture. Therefore, the mechanical properties of the residue have a significant impact on the performance of emulsified asphalt mixtures. Dynamic shear rheological tests and fluorescence microscopy were conducted to explore the effects of emulsification and aging on the rheological properties and micro-morphology of emulsified asphalt residue. The results of both the temperature sweep and multiple stress creep recovery tests indicated that the emulsification of the asphalt had different effects on the rheological properties of the base asphalt and the styrene-butadiene-styrene (SBS)-modified asphalt. For the base asphalt, emulsification increases the complex shear modulus by about 5% and reduces irrecoverable creep flexibility by 30%. However, the physical grinding effect of the colloid mill during the emulsification process could destroy the internal spatial network structure of SBS, leading to a reduction in the complex shear modulus by about 5% and a 10% increase in irrecoverable creep flexibility. This phenomenon is similar to the aging of SBS-modified asphalt, which, in turn, leads to a decline in the performance of emulsified SBS-modified asphalt residues.

1. Introduction

Emulsified asphalt mixtures have garnered significant attention for their convenience in cold construction, energy-saving benefits, and environmental safety advantages. They have been used in cold regeneration technology, fog seal, thin slurry seal, and micro-surfacing applications [1,2,3,4,5]. Emulsified asphalt is the most important component of emulsified asphalt mixtures. It determines the road performance of emulsified asphalt mixtures. Empirical evidence from engineering practice has indicated that emulsified asphalt prepared using base asphalt often exhibits limitations, including low initial bond strength, low mixture strength, and delayed strength development. Additionally, long-term usage has revealed concerns regarding water stability, high-temperature stability, and fatigue resistance [6].
To address the aforementioned issues, researchers have conducted extensive studies on the modification of emulsified asphalt. Currently, there is a wide range of modified emulsified asphalt available, such as SBS and styrene-butadiene rubber (SBR)-modified emulsified asphalt. These polymer modifiers effectively improve the high-temperature stability, low-temperature cracking resistance, fatigue resistance, and adhesion of emulsified asphalt [2,7]. At present, there is a relatively rich body of research on the performance testing of emulsified asphalt, the performance of asphalt mixtures, and construction control. Furthermore, there is a relatively sufficient understanding of the modification mechanisms and the composition of strength in emulsified asphalt, and there is a problem of disintegration [8].
However, research on the residual properties of emulsified asphalt is relatively limited, primarily due to its predominant use in the form of asphalt mixtures or as a waterproofing adhesive material. Notably, the study of its rheological properties is particularly limited. Studies have indicated that the emulsion system in emulsified asphalt has a certain impact on its rheological properties, as it can alter its microstructure, subsequently affecting its performance [9,10,11,12]. On the other hand, the ultimate form of emulsified asphalt in practical applications is its residual state. Its essence remains asphalt, which is a viscoelastic material with mechanical properties that vary with the applied load, time, and temperature, with temperature being particularly significant. Given that emulsified asphalt is frequently applied to road surfaces, its performance under high temperatures critically influences its effectiveness. However, most of the existing studies only focus on the high-temperature rheological properties of emulsified asphalt residues by using different modifiers and preparation methods, but they meticulously dissect and compare the properties and microstructural distinctions between the residues of emulsified asphalt and those of virgin asphalt. Therefore, this study employed rheological testing methods to evaluate the high-temperature performance of three commonly used types of residual emulsified asphalt, as well as the original asphalt used in the production of emulsified asphalt. The aim was to investigate the influence of emulsification on the residual properties of emulsified asphalt, with the goal of providing references for the theoretical research and establishment of performance indicators for emulsified asphalt.

2. Test Materials and Methods

2.1. Test Materials

The emulsified asphalt utilized in this study was prepared in the laboratory by the research team using a colloid mill. The base asphalt employed was Pen70, sourced from China National Petroleum Corporation (Beijing, China). The fundamental properties of the base asphalt are presented in Table 1. A slow-cracking cationic emulsifier (E1310, manufactured by Sinopec Group (Beijing, China)) with a 3% admixture was used as the emulsifier. The specific preparation process is shown in Figure 1.
Emulsified asphalt residues were obtained using a method involving forced ventilation at a temperature of 50 °C for a duration of 24 h, with continuous mixing throughout this period. This methodology was implemented to mitigate the potential influence of elevated temperatures on the microstructure and properties of the residue. Furthermore, it ensured the effective elimination of the maximum moisture content from the residue. The specific preparation process is shown in Figure 2.

2.2. Test Methods

The high-temperature performance of asphalt and emulsified asphalt residues was assessed in this study using a dynamic shear rheometer (Anton Paar M1005 (Graz, Austria)). The samples were subjected to temperature sweep and multiple stress creep recovery (MSCR) tests, as per the American Association of State Highway and Transportation Officials (ASSHTO) specification. The testing was conducted on 25 mm parallel plates with a 1 mm spacing. The temperature sweep test covered a range of 30–80 °C, with a temperature gradient of 5 °C. The strain was 1%, the frequency was 10 rad/s, and the MSCR test temperature was 60 °C.
To examine the microstructure of the asphalt, a drop-in fluorescence microscope was utilized. Slides were prepared, and blue-violet light was used as the excitation light source. This enabled a more detailed visualization of the microstructure of the modified asphalt before and after emulsification, facilitating the analysis of the impact of emulsification on its rheological properties. The specific preparation process is shown in Figure 3.

3. Results and Discussion

3.1. Effect of Emulsification on the Viscoelasticity of Emulsified Asphalt Residues

The emulsification process of asphalt can be divided into two main factors: the mixing of the emulsifier and the physical shear grinding effect of the colloid mill. The shear grinding action disrupts the emulsion, preventing the formation of a continuous spatial grid structure [8]. In order to examine the aforementioned factor, a series of controlled variables were orchestrated. Initially, a uniform batch of base asphalt, identical to that utilized in the preparation of the emulsified asphalt, was selected to serve as the benchmark asphalt group, thereby ensuring a consistent material foundation for comparison. Subsequently, the control asphalt was subjected to a standardized thermal regimen within an oven, maintained at a constant temperature for an equivalent duration as that of the emulsified asphalt’s preparation phase. This step was instrumental in achieving a uniform degree of material aging. Furthermore, during the evaporation stage, the control asphalt underwent identical thermal exposure in the oven, adhering to the same temperature and time criteria. To ensure the reliability and comparability of the results, the temperature scanning test was conducted under a set of rigorously defined experimental parameters, thereby maintaining methodological integrity throughout the investigation.
Based on these principles, the influence of emulsification on the high-temperature performance of the residues was analyzed using four types of asphalt: base asphalt (BA), emulsified base asphalt residue (EBAR), SBS asphalt (SBSA), and emulsified SBS asphalt residue (ESBSAR). The specific results are depicted in Figure 4, with a linear relationship fitting the direct relationship between the logarithm of the modulus and temperature, as illustrated in Figure 5.
The graphical data presented in Figure 1 elucidate key insights into the temperature-sensitive alterations in the composite modulus G* and the phase angle dynamics of emulsified asphalt residues. The following conclusions emerge from a thorough examination of these patterns:
Temperature effect: The composite modulus G* of asphalt exhibits a decline as the temperature increases. This phenomenon can be attributed to the intensified irregular movement of molecules, which leads to greater spacing between molecular chains. Consequently, the displacement of chain segments becomes more likely under external forces, resulting in a reduction in overall material resistance to deformation, which is manifested as a decrease in modulus.
Emulsification effects: The effects of emulsification differ for base asphalt and SBS asphalt. For base asphalt, emulsification leads to an increase in the shear complex modulus of the evaporated residue. This suggests that the action of the colloid mill has a minimal impact on the internal structure of base asphalt, while the emulsifier, acting as a surfactant, strengthens the intermolecular bonds. This is further supported by the positive correlation between the Lg(complex modulus)-temperature curve and the fitted results presented in Table 2, where the slope of the fitted curve for base asphalt and the evaporated residue of emulsified base asphalt remain unchanged, indicating no significant alteration in the essential structure of these materials. In contrast, for SBS asphalt, the shear complex modulus of the evaporated residue increases at high temperatures and decreases at low temperatures after emulsification. The change in slope of the fitted curves for SBS asphalt and emulsified SBS asphalt evaporated residue suggests that the physical action of emulsification affects SBS asphalt. It is tentatively suggested that the physical action grinds the asphalt into micron-sized droplets, disrupting the integrity of the common reticulation structure in SBS and causing changes in asphalt properties. It will be verified in the following section by taking micrographs by fluorescence microscopy.
Phase angle changes: The variation in performance before and after emulsification is also evident in the change in phase angle. For base asphalt, the phase angle increases with temperature, indicating its viscoelastic properties, where higher temperatures make the material less elastic and more viscous. The emulsified base asphalt follows a similar pattern, except that the phase angle decreases at the same temperature. This further indicates that the addition of the emulsifier enhances the intermolecular bonds within the base asphalt, thereby enhancing its elasticity. For the SBS asphalt, the phase angle exhibits a characteristic increasing and then decreasing pattern, with a peak around 60 °C, which is typical of SBS polymers. The phase angle-temperature curve for the emulsified SBS asphalt residue follows the same pattern as SBS asphalt, but with an increase in phase angle at the same temperature, indicating increased viscosity. The decrease in phase angle in the temperature range of 30–80 °C, with a peak around 70 °C, supports the previous analysis that the physical effects of emulsification alter the structure of SBS asphalt, resulting in changes in its properties. The observed curve pattern reflects the cumulative impact of these factors.

3.2. Effect of Aging on the Viscoelasticity of Emulsified Asphalt Residues

The aging of asphalt is a crucial factor that affects its service life. Unlike hot mix asphalt, emulsified asphalt mixtures do not undergo thermal aging during the mixing and transportation processes. Therefore, in this study, aging tests were conducted to simulate long-term thermal oxygen aging using a test chamber. Specifically, pressure aging was employed, subjecting the emulsified asphalt residues to aging conditions of 100 °C and 2.1 MPa for a duration of 20 h. Subsequently, a temperature scan test was performed on the aged residues to assess their properties. The results of this test are depicted in Figure 6.
An examination of the composite modulus G* versus temperature and phase angle versus temperature curves of emulsified asphalt residues was performed, as depicted in Figure 6. It can be found that both the asphalt and its residues exhibit varying degrees of shear composite modulus augmentation after aging. This can be attributed to the volatilization of lighter components and the concomitant increase in asphaltene content during the thermo-oxidative aging process, which leads to material hardening and a concomitant modulus escalation [13,14,15]. It is imperative to highlight that the gradients of the shear composite modulus-temperature curves for the base asphalt and its emulsified counterpart, as well as the emulsified SBR asphalt evaporation residue, exhibit consistency before and after the aging process. Furthermore, the magnitude of modulus alteration in these three materials subsequent to aging is observed to be analogous. This observation implies that the influence of SBR modifiers in attenuating the modulus decrement induced by aging is nominal. The underlying implication is that the presence of SBR modifiers does not significantly mitigate the stiffening effect of aging on the asphalt binder. However, upon juxtaposing the temperature-modulus curves of the emulsified SBS/SBR asphalt residue both prior to and subsequent to the aging process, it becomes evident that the combined action of the two modifiers exerts a mitigating influence on the variability of the shear composite modulus. This observation intimates that the interaction between SBR and SBS modifiers transcends a mere physical amalgamation, suggesting an augmented interconnectivity that is not typically associated with simple blending. Consequently, this synergistic enhancement appears to confer a degree of resistance to the aging-induced modulus alterations, thereby rendering the composite emulsified asphalt’s structural integrity only marginally susceptible to the deleterious effects of aging.
On the other hand, the phase angle-temperature curves reveal that the phase angle of various asphalt materials decreases as the temperature diminishes, with an accelerated rate of decrement, indicative of enhanced temperature sensitivity. This phenomenon underscores the capacity of SBR modifiers to ameliorate the temperature responsiveness of both the matrix asphalt and its emulsified residues. In the context of aged SBS, emulsified SBS, and emulsified SBS/SBR asphalt residues, the phase angle variations exhibit a more intricate behavior. A commonality among these materials is the observed reduction in phase angle at lower temperatures and a concomitant increase at higher temperatures following the aging process. This suggests that the materials manifest a more pronounced elastic response at reduced temperatures, whereas at elevated temperatures, they exhibit a heightened viscous nature. The incorporation of SBR modifiers exerts a minimal influence on the material’s inherent temperature sensitivity of the base asphalt. However, it is noteworthy that the magnitude of change pre- and post-aging is markedly moderated. This observation intimates that the interplay between SBR and SBS confers an enhanced resistance to thermo-oxidative aging, thereby bolstering the material’s structural integrity and performance under varying thermal conditions.

3.3. Analysis of the Effect of Emulsification on the High-Temperature Performance of Emulsified Asphalt Residues Based on Multiple Stress Creep Recovery Tests

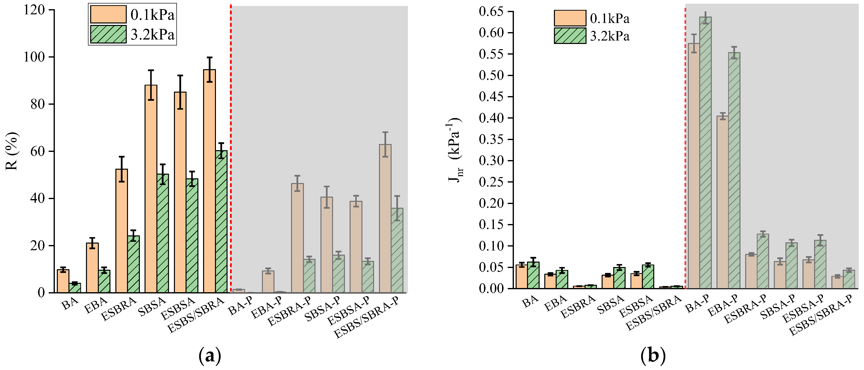
It has been shown that the modified asphalt rutting factor has a low correlation with the rutting resistance of the mixture. To accurately evaluate the high-temperature performance of emulsified asphalt residues, the study added the MSCR test, which has been commonly used in recent years for the evaluation of the high-temperature performance of modified asphalt. The test time-strain curve is shown in Figure 7.
The creep recovery rate (R) and the irrecoverable creep flexibility (Jnr) were calculated from the test curves at 0.1 kPa and 3.2 kPa stress levels to characterize the ability of asphalt to resist permanent deformation under repeated loading, and the results are shown in Figure 8. R and Jnr are calculated as (1)–(3).
R = 1 10 i = 1 10 γ ( r ) i γ ( t ) i × 100
J n r 0.1 = 1 10 i = 1 10 γ ( n r ) i 0.1
J n r 3.2 = 1 10 i = 1 10 γ ( n r ) i 3.2
  • γ(r)i—recoverable strain;
  • γ(t)i—strain after 1 s loading per cycle;
  • γ(nr)i—non-recoverable strain per cycle.
Following the emulsification and modification of asphalt, there is an increase in the average creep elastic recovery rate, indicating an enhanced ability of the material to recover from deformation. The impact of the modifier is particularly notable. SBS and SBR are both elastomers with similar properties, capable of imparting excellent elastic characteristics to asphalt. The emulsified SBS asphalt exhibits a higher average creep elastic recovery rate compared to the emulsified SBR asphalt in the graph. This discrepancy can be attributed to the varying levels of modifier content, with the SBS admixture at 5% and the SBR latex admixture at 1.5%. Although the properties of SBS and SBR are similar, the absorption of lighter asphalt components differs, resulting in distinct optimal blending levels for the two test preparations.
The average creep elastic recovery rate of asphalt and its residues diminishes after undergoing aging, indicating a deterioration in material performance. The average creep elastic recovery rate of the base asphalt and emulsified base asphalt approaches zero, signifying a loss of elasticity recovery ability following aging. This decline in performance contributes to the gradual reduction in the utilization of base asphalt in practical engineering applications. However, other types of modified asphalt, including composite modified asphalt, maintain a relatively high average creep elastic recovery rate even after aging. This indicates that these materials retain good elastic recovery performance.
Asphalt and its evaporative residues exhibit distinct responses to varying levels of applied stress. The average creep elastic recovery of asphalt is higher at lower stress levels compared to higher stress levels, indicating a greater likelihood of creep recovery in asphalt materials subjected to continuous low stress. Furthermore, the disparity in creep recovery between materials becomes more pronounced at lower strain levels, with higher strain levels compromising the fatigue cracking resistance among materials.
Similarly, analyzing the non-reversible creep flexure results in Figure 6b shows the following:
In comparison to the base asphalt, there was a marked decrease in the irrecoverable creep flexibility of both the emulsified base asphalt and the emulsified SBR asphalt, albeit to varying degrees. This implies that the deformation resistance of the base asphalt is bolstered by both the process of emulsification and the addition of the SBR modifier. Notably, the amalgamation of these two factors resulted in a more significant enhancement in the emulsified SBR asphalt.
When compared to SBS asphalt, a distinct divergence in the trend of increasing and decreasing irrecoverable creep flexibility is evident in both the emulsified SBS asphalt and the emulsified SBS/SBR asphalt. This indicates that the emulsification process may have a detrimental effect on the enhancement of the deformation resistance of SBS. On the other hand, the addition of SBR latex appears to significantly improve the deformation resistance of the residue.
It is evident that the irrecoverable creep compliance of the aged matrix asphalt increases significantly, while the effects of emulsification and modifiers on material performance enhancement are amplified after aging. Compared to the matrix asphalt, under the same stress level, the irrecoverable creep compliance of emulsified asphalt and emulsified modified asphalt decreases after aging. Regardless of whether it is SBS or SBR modification, the modifier greatly aids in improving the deformation resistance of asphalt after aging. Notably, the irrecoverable creep compliance of the evaporative residue of emulsified SBS/SBR composite-modified asphalt, which is the result of the combined action of the two, is the smallest.
The aging resistance of the material can be evaluated by the rate of loss of material properties after aging, which is reflected in the graph by the increase in the irrecoverable creep flexibility of the asphalt before and after aging. Although the amount of change in the irrecoverable creep flexibility of the material decreases numerically with the addition of SBR latex, the relative amount increases compared to SBS asphalt. It is due to the fact that the addition of the polymer improves the deformation resistance of the asphalt material, but during the aging process, the polymer decomposes with increasing temperature and time, and its properties gradually weaken. The addition of SBR latex further increases the proportion of polymer in the asphalt. As a result, the compound-modified emulsified asphalt shows a higher increase in the relative amount of non-recoverable creep flexibility before and after aging compared to SBS asphalt. That is, the rate of decline in performance increases. However, after aging, the compound-modified emulsified asphalt residues exhibit the smallest absolute value. Therefore, it can be considered that the composite-modified material has the best resistance to deformation.

3.4. Mechanism of the Effect of Emulsification on the High-Temperature Performance of Emulsified Asphalt Residues

Fluorescence microscopy was used to collect data on the microstructure of SBS asphalt and emulsified SBS asphalt residues before and after aging. The results are shown in Figure 9.
As can be seen in Figure 9, SBSA has a clear polymeric reticulation, in which the polymers are interconnected and in close contact, coordinating their action. However, no continuous reticulation was found in the emulsified asphalt residue (ESBSAR) after emulsification of this asphalt. Instead, SBS shows a scattered or striped distribution. It suggests that the emulsification has redistributed the polymer and disrupted the original reticulation. This may be due to the physical shear of the colloidal mill and the drying process of the emulsified asphalt, both of which had a disruptive effect on the polymer network structure. At the same time, a comparison between SBSAP and ESBSARP shows that the microstructure of SBSAP is somewhat similar to that of ESBSAR, characterized by the presence of dotted SBS but not stripes. In addition, it is difficult to find dotted or reticulated SBS structures in ESBSARP, and only some strips of SBS characterization are present. This indicates that the combined effect of emulsification and aging has resulted in a significant change in the distribution of SBS, the complete disappearance of the cross-linked network, and partial degradation of SBS. These results show that emulsification has a similar effect on the microstructure of SBS-modified asphalt as aging, with both processes causing a break in the SBS reticulation and some degradation of the SBS. This is consistent with the results of temperature scans analyzing the residues of the modified emulsified asphalt and its original asphalt structure and fully demonstrates that some of the modified asphalt properties are lost during the emulsification process.

4. Conclusions

The study investigates the effect of emulsification and aging on the rheological properties of selected asphalt and its emulsified evaporated residues by means of rheological tests. The following conclusions were drawn.
  • The emulsification of asphalt can be divided into two processes: the mixing of the emulsifier and the mechanical and physical grinding effect. These processes have different effects on the rheological properties of base asphalt and SBS asphalt. In the case of base asphalt, emulsification improves its rheological properties. For SBS asphalt, the two parts of emulsification have opposite effects. The addition of emulsifier benefits the asphalt performance, while the physical milling effect destroys the internal spatial network structure of SBS asphalt, resulting in a decrease in performance. Therefore, the overall the effect of emulsification on the rheological properties of SBS asphalt is a combination of the two contrasting processes.
  • SBS modification increases the “viscous” characteristics of the emulsified asphalt evaporative residue, while SBR modification increases the “elastic” characteristics of the emulsified asphalt evaporative residue. To a certain extent, both processes can improve the rheological properties of the evaporated residue of emulsified asphalt. However, for the SBS/SBR composite-modified emulsified asphalt, performance is not just a simple superposition of the two material properties.
  • The effect of aging on the rheological properties of asphalt materials is significant, with the SBS/SBR composite-modified emulsified asphalt materials exhibiting the smallest degree of change in performance before and after aging. This indicates a superior improvement in anti-aging properties, underscoring the effectiveness of composite modification in enhancing the material’s resilience to aging.

Author Contributions

Study conception and design: G.X., H.W. and C.L.; data collection: G.X. and R.W.; analysis and interpretation of results: G.X., R.W. and Y.Z.; draft manuscript preparation: G.X. and H.W. All authors have read and agreed to the published version of the manuscript.

Funding

This study was supported by the National Key of Research and Development Plan under grant no. 2021YFB2601200.

Institutional Review Board Statement

Not applicable.

Informed Consent Statement

Not applicable.

Data Availability Statement

Data are contained within the article.

Conflicts of Interest

The authors declare no conflict of interest.

References

  1. Meng, Y. Research on the Influence Mechanism of Key Technology Performance of Emulsified Asphalt; Dalian University of Technology: Dalian, China, 2021. [Google Scholar]
  2. Luo, Z. Preparation of SBS Latex for Asphalt and Its Application in Micro-Surface Treatment; Chang’an University: Xi’an, China, 2019. [Google Scholar]
  3. Xia, C. Controlled Preparation of Polymer-Modified Emulsified Asphalt with Multi-Scale Structure; Zhejiang University: Hangzhou, China, 2018. [Google Scholar]
  4. Raposeiras, A.C.; Castro-Fresno, D.; Vega-Zamanillo, A.; Rodriguez-Hernandez, J. Test methods and influential factors for analysis of bonding be-tween bituminous pavement layers. Constr. Build. Mater. 2013, 43, 372–381. [Google Scholar] [CrossRef]
  5. Wen, Y.; Guo, N.; Wang, L.; Gu, W.; Tan, Y. Performance of cold recycled mixes of foam asphalt considering mastic adhesion. J. Constr. Mater. 2020, 23, 1504–1511. [Google Scholar]
  6. Recasens, J.R.M.; Martínez, A.; Jiménez, F.E.P. Evaluation of Effect of Heat-Adhesive Emulsions for Tack Coats with Shear Test: From the Road Research Laboratory of Barcelona. Transp. Res. Rec. J. Transp. Res. Board 2005, 1970, 64–70. [Google Scholar] [CrossRef]
  7. Khadivar, A.; Kavussi, A. Rheological characteristics of SBR and NR polymer modified bitumen emulsions at average pavement temperatures. Constr. Build. Mater. 2013, 47, 1099–1105. [Google Scholar] [CrossRef]
  8. Abedini, M.; Hassani, A.; Kaymanesh, M.R.; Yousefi, A.A. Low-temperature adhesion performance of polymer-modified bitumen emulsion in chip seals using different SBR latexes. Pet. Sci. Technol. 2017, 35, 59–65. [Google Scholar] [CrossRef]
  9. Lei, J.; Zheng, N.; Dong, S. Effect of long-term aging on the sur-face energy of asphalt and its adhesion to aggregates. J. Constr. Mate-Rials 2021, 24, 393–398. [Google Scholar]
  10. Huang, S.; Xu, J. Modified Emulsified Asphalt and Micro-Surfacing Technology; People’s Traffic Press: Beijing, China, 2010. [Google Scholar]
  11. Liu, J.; Zhang, J.; Hao, G. Analysis of interlayer bonding properties of hot asphalt at different interfaces. J. East China Jiaotong Univ. 2016, 33, 34–39. [Google Scholar]
  12. Mehrara, A.; Khodaii, A. A review of state of the art on stripping phenomenon in asphalt concrete. Constr. Build. Mater. 2013, 38, 423–442. [Google Scholar] [CrossRef]
  13. Zhou, Y.; Xu, G.; Wang, H.; Chen, X.; Fan, Y.; Yang, J.; Leng, Z.; Huang, W. Investigation of the rheological properties of devulcanized rubber-modified asphalt with different rubber devulcanization degrees and rubber contents. Road Mater. Pavement Des. 2023, 1–14. [Google Scholar] [CrossRef]
  14. Wu, Y.; Huang, P.; Yu, Y.; Shi, C.; Chen, H.; Wang, H.; Yang, J.; Leng, Z.; Huang, W. Nonlinear rheological performance characterization of styrene-butadiene-styrene and crumb rubber composite modified bitumen using large amplitude oscillatory shear tests. J. Clean Prod. 2023, 385, 135712. [Google Scholar] [CrossRef]
  15. Sun, G.; Ma, T.; Hu, M.; Sun, X.; Cao, Z.; Zhao, R. An evaluation proposal for the fatigue and healing performances of high-viscosity polymer-modified bitumen based on continuous multiple linear amplitude sweep. Constr. Build. Mater. 2024, 411, 134632. [Google Scholar] [CrossRef]
Figure 1. Flow chart of emulsified asphalt preparation.
Figure 1. Flow chart of emulsified asphalt preparation.
Coatings 14 00522 g001
Figure 2. Diagram of emulsified asphalt residue DSR test samples.
Figure 2. Diagram of emulsified asphalt residue DSR test samples.
Coatings 14 00522 g002
Figure 3. Fluorescence microscopy of asphalt.
Figure 3. Fluorescence microscopy of asphalt.
Coatings 14 00522 g003
Figure 4. Temperature sweep test results of emulsified asphalt. (a) Complex modulus. (b) Phase angle.
Figure 4. Temperature sweep test results of emulsified asphalt. (a) Complex modulus. (b) Phase angle.
Coatings 14 00522 g004
Figure 5. Fitting curve of asphalt composite modulus-temperature before and after emulsification.
Figure 5. Fitting curve of asphalt composite modulus-temperature before and after emulsification.
Coatings 14 00522 g005
Figure 6. Temperature sweep results of emulsified asphalt residues before and after aging. (a) Complex modulus of SBS and ESBS. (b) Phase angle of SBS and ESBS. (c) Complex modulus of BA and SBR. (d) Phase angle of BA and SBR.
Figure 6. Temperature sweep results of emulsified asphalt residues before and after aging. (a) Complex modulus of SBS and ESBS. (b) Phase angle of SBS and ESBS. (c) Complex modulus of BA and SBR. (d) Phase angle of BA and SBR.
Coatings 14 00522 g006
Figure 7. Results of MSCR test. (a) Stress @0.1 kPa. (b) Stress @3.2 kPa.
Figure 7. Results of MSCR test. (a) Stress @0.1 kPa. (b) Stress @3.2 kPa.
Coatings 14 00522 g007
Figure 8. Results of high-temperature performance evaluation based on MSCR test. (a) R. (b) Jnr.
Figure 8. Results of high-temperature performance evaluation based on MSCR test. (a) R. (b) Jnr.
Coatings 14 00522 g008
Figure 9. Results of fluorescence microscopy test. (a) SBSA. (b) ESBSAR. (c) SBSAP. (d) ESBSARP.
Figure 9. Results of fluorescence microscopy test. (a) SBSA. (b) ESBSAR. (c) SBSAP. (d) ESBSARP.
Coatings 14 00522 g009
Table 1. Performance index of Pen70 base asphalt.
Table 1. Performance index of Pen70 base asphalt.
PerformanceUnitResult
Penetration (25 °C, 100 g, 5 s)0.1mm72.9
Ductility (15 °C, 5 cm/min)cm>150
Softening point, TR&B°C46.6
TFOT (163 °C, 5 h)Mass loss%−0.2
Penetration ratio (15 °C)%74
Ductility (15 °C)cm25
Table 2. Curve fitting results of temperature sweep test.
Table 2. Curve fitting results of temperature sweep test.
MaterialsFitting FunctionAdjust R2Standard Error of Estimation
BALg (G) = 7.33 − 0.062 T0.99610.080
EBALg (G) = 7.35 − 0.061T0.99530.073
SBSALg (G) = 6.67 − 0.050 T0.99310.074
ESBSALg (G) = 6.37 − 0.044 T0.99230.080
Disclaimer/Publisher’s Note: The statements, opinions and data contained in all publications are solely those of the individual author(s) and contributor(s) and not of MDPI and/or the editor(s). MDPI and/or the editor(s) disclaim responsibility for any injury to people or property resulting from any ideas, methods, instructions or products referred to in the content.

Share and Cite

MDPI and ACS Style

Wang, H.; Li, C.; Xu, G.; Zhou, Y.; Wang, R. Study of High-Temperature Rheological Properties of Emulsified Asphalt Residues. Coatings 2024, 14, 522. https://doi.org/10.3390/coatings14050522

AMA Style

Wang H, Li C, Xu G, Zhou Y, Wang R. Study of High-Temperature Rheological Properties of Emulsified Asphalt Residues. Coatings. 2024; 14(5):522. https://doi.org/10.3390/coatings14050522

Chicago/Turabian Style

Wang, Houzhi, Chunxi Li, Gang Xu, Yixin Zhou, and Rui Wang. 2024. "Study of High-Temperature Rheological Properties of Emulsified Asphalt Residues" Coatings 14, no. 5: 522. https://doi.org/10.3390/coatings14050522

APA Style

Wang, H., Li, C., Xu, G., Zhou, Y., & Wang, R. (2024). Study of High-Temperature Rheological Properties of Emulsified Asphalt Residues. Coatings, 14(5), 522. https://doi.org/10.3390/coatings14050522

Note that from the first issue of 2016, this journal uses article numbers instead of page numbers. See further details here.

Article Metrics

Back to TopTop