Plasma Bombardment-Induced Amorphization of (TiNbZrCr)Nx High-Entropy Alloy Nitride Films
Abstract
1. Introduction
2. Materials and Experimental Methods
3. Results and Discussion
3.1. HPPMS Plasma Discharge and Composition
3.2. Microstructure of the (TiNbZrCr)Nx HENFs
3.3. Mechanical and Tribological Properties of the (TiNbZrCr)Nx HENFs
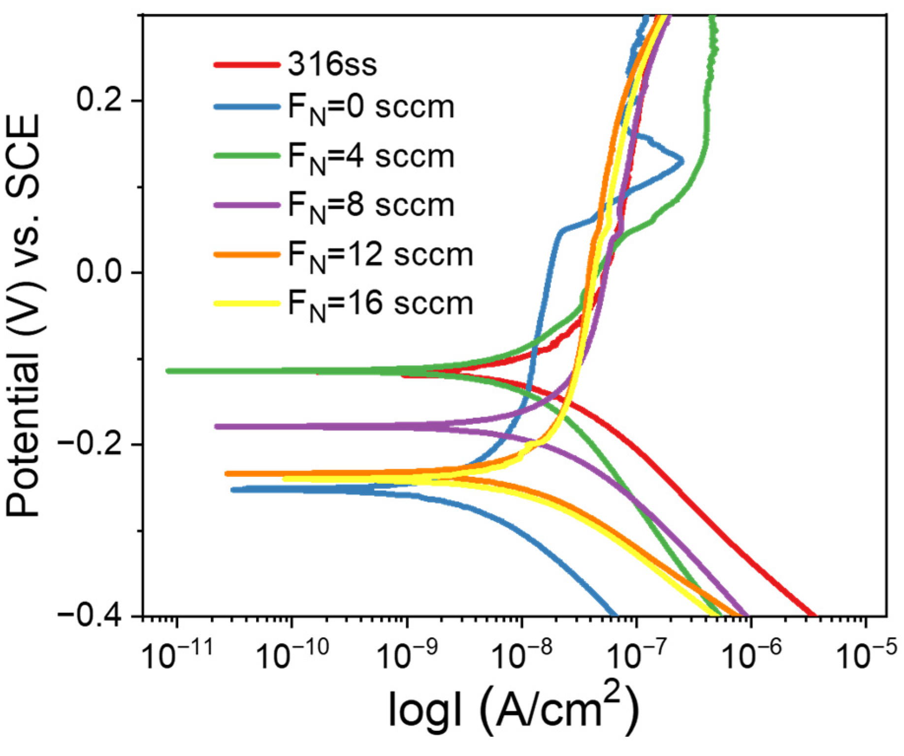
3.4. Corrosion Resistance of the (TiNbZrCr)Nx HENFs
4. Conclusions
- With the increase in N2 flow rate, the (TiNbZrCr)Nx films first form an FCC structure, and then transform into an amorphous + nanocrystalline composite structure, which is attributed to the enhanced ion bombardment effect.
- The (TiNbZrCr)Nx films deposited at FN = 8 sccm show the highest hardness of 27.8 GPa, and the (TiNbZrCr)Nx films deposited at FN = 12 sccm exhibit the best wear resistance, with a wear rate of 4.0 × 10−6 mm3N−1m−1.
- Compared with FCC (TiNbZrCr)Nx films, the (TiNbZrCr)Nx films with amorphous-nanocrystalline structure show excellent corrosion resistance, with corrosion current dropping to 1.72 × 10−8 A/cm2.
Author Contributions
Funding
Institutional Review Board Statement
Informed Consent Statement
Data Availability Statement
Conflicts of Interest
References
- Li, W.; Liu, P.; Liaw, P.K. Microstructures and properties of high-entropy alloy films and coatings: A review. Mater. Res. Lett. 2018, 6, 199–229. [Google Scholar] [CrossRef]
- Feng, X.; Zhang, J.; Xia, Z.; Fu, W.; Wu, K.; Liu, G.; Sun, J. Stable nanocrystalline NbMoTaW high entropy alloy thin films with excellent mechanical and electrical properties. Mater. Lett. 2018, 210, 84–87. [Google Scholar] [CrossRef]
- Xu, Y.; Li, G.; Xia, Y. Synthesis and characterization of super-hard AlCrTiVZr high-entropy alloy nitride films deposited by HiPIMS. Appl. Surf. Sci. 2020, 523, 146529. [Google Scholar] [CrossRef]
- Cheng, K.H.; Lai, C.H.; Lin, S.J.; Yeh, J.W. Structural and mechanical properties of multi-element (AlCrMoTaTiZr)Nx coatings by reactive magnetron sputtering. Thin Solid Film. 2011, 519, 3185–3190. [Google Scholar] [CrossRef]
- Wang, J.; Kuang, S.; Yu, X.; Wang, L.; Huang, W. Tribo-mechanical properties of CrNbTiMoZr high-entropy alloy film synthesized by direct current magnetron sputtering. Surf. Coat. Technol. 2020, 403, 126374. [Google Scholar] [CrossRef]
- Wang, Z.; Chen, F.; Dong, Y.; Cai, Z.; Zhang, P.; Chen, J.; Gu, L.; Zeng, L. Effect of heat-treatment time on microstructure and tribological behavior of (TiVCrAlMo)N high-entropy alloy films. Surf. Coat. Technol. 2022, 443, 128618. [Google Scholar] [CrossRef]
- Alvi, S.; Jarzabek, D.M.; Kohan, M.G.; Hedman, D.; Akhtar, F. Synthesis and Mechanical Characterization of a CuMoTaWV High-Entropy Film by Magnetron Sputtering. ACS Appl. Mater. Interfaces 2020, 12, 21070–21079. [Google Scholar] [CrossRef] [PubMed]
- Chang, F.; Cai, B.; Zhang, C.; Huang, B.; Li, S.; Dai, P. Thermal stability and oxidation resistance of FeCrxCoNiB high-entropy alloys coatings by laser cladding. Surf. Coat. Technol. 2019, 359, 132–140. [Google Scholar] [CrossRef]
- Lu, C.; Niu, L.; Chen, N.; Jin, K.; Yang, T.; Xiu, P.; Zhang, Y.; Gao, F.; Bei, H.; Shi, S.; et al. Enhancing radiation tolerance by controlling defect mobility and migration pathways in multicomponent single-phase alloys. Nat. Commun. 2016, 7, 13564. [Google Scholar] [CrossRef]
- Lu, C.; Yang, T.; Jin, K.; Gao, N.; Xiu, P.; Zhang, Y.; Gao, F.; Bei, H.; Weber, W.J.; Sun, K.; et al. Radiation-induced segregation on defect clusters in single-phase concentrated solid-solution alloys. Acta Mater. 2017, 127, 98–107. [Google Scholar] [CrossRef]
- Zheng, S.; Cai, Z.; Pu, J.; Zeng, C.; Wang, L. Passivation behavior of VAlTiCrSi amorphous high-entropy alloy film with a high corrosion-resistance in artificial sea water. Appl. Surf. Sci. 2021, 542, 148520. [Google Scholar] [CrossRef]
- Wang, R.; Zhang, K.; Davies, C.; Wu, X. Evolution of microstructure, mechanical and corrosion properties of AlCoCrFeNi high-entropy alloy prepared by direct laser fabrication. J. Alloys Compd. 2017, 694, 971–981. [Google Scholar] [CrossRef]
- Liu, X.; Cai, W.; Zhang, Y.; Wang, L.; Wang, J. Tuning microstructure and mechanical and wear resistance of ZrNbTiMo refractory high-entropy alloy films via sputtering power. Front. Mater. 2023, 10, 1145631. [Google Scholar] [CrossRef]
- Braeckman, B.R.; Misják, F.; Radnóczi, G.; Caplovicová, M.; Djemia, P.; Tétard, F.; Belliard, L.; Depla, D. The nanostructure and mechanical properties of nanocomposite Nbx-CoCrCuFeNi thin films. Scr. Mater. 2017, 139, 155–158. [Google Scholar] [CrossRef]
- Yu, W.; Li, W.; Liu, P.; Zhang, K.; Ma, F.; Chen, X.; Feng, R.; Liaw, P.K. Silicon-content-dependent microstructures and mechanical behavior of (AlCrTiZrMo)-Six-N high-entropy alloy nitride films. Mater. Des. 2021, 203, 109553. [Google Scholar] [CrossRef]
- Li, Y.T.; Wang, C.T.; Ma, D.L.; Zeng, X.K.; Liu, M.; Jiang, X.; Leng, Y.X. Nano dual-phase CuNiTiNbCr high entropy alloy films produced by high-power pulsed magnetron sputtering. Surf. Coat. Technol. 2021, 420, 127325. [Google Scholar] [CrossRef]
- Oks, E.; Anders, A. Evolution of the plasma composition of a high power impulse magnetron sputtering system studied with a time-of-flight spectrometer. J. Appl. Phys. 2009, 105, 093304. [Google Scholar] [CrossRef]
- Oliveira, J.C.; Fernandes, F.; Serra, R.; Cavaleiro, A. On the role of the energetic species in TiN thin film growth by reactive deep oscillation magnetron sputtering in Ar/N2. Thin Solid Films. 2018, 645, 253–264. [Google Scholar] [CrossRef]
- Anders, A. Discharge physics of high power impulse magnetron sputtering. Surf. Coat. Technol. 2011, 205, S1–S9. [Google Scholar] [CrossRef]
- Gudmundsson, J.; Magnus, F.; Sveinsson, O.; Olafsson, S. Current-voltage-time characteristics of the reactive Ar/N2 high power impulse magnetron sputtering discharge. J. Appl. Phys. 2011, 110, 083306. [Google Scholar] [CrossRef]
- Zhao, Y.; Chen, S.; Chen, Y.; Wu, S.; Xie, W.; Yan, W.; Wang, S.; Liao, B.; Zhang, S. Super-hard and anti-corrosion (AlCrMoSiTi)Nx high entropy nitride coatings by multi-arc cathodic vacuum magnetic filtration deposition. Vacuum 2022, 195, 110685. [Google Scholar] [CrossRef]
- Ren, B.; Zhao, R.F.; Zhang, G.P.; Liu, Z.X.; Cai, B.; Jiang, A.Y. Microstructure and properties of the AlCrMoZrTi/(AlCrMoZrTi)N multilayer high-entropy nitride ceramics films deposited by reactive RF sputtering. Ceram. Int. 2022, 48, 16901–16911. [Google Scholar] [CrossRef]
- Cui, P.; Li, W.; Liu, P.; Zhang, K.; Ma, F.; Chen, X.; Feng, R.; Liaw, P.K. Effects of nitrogen content on microstructures and mechanical properties of (AlCrTiZrHf)N high-entropy alloy nitride films. J. Alloys Compd. 2020, 834, 155063. [Google Scholar] [CrossRef]
- Lin, J.; Moore, J.J.; Mishra, B.; Pinkas, M.; Sproul, W.D.; Rees, J.A. Effect of asynchronous pulsing parameters on the structure and properties of CrAlN films deposited by pulsed closed field unbalanced magnetron sputtering (P-CFUBMS). Surf. Coat. Technol. 2008, 202, 1418–1436. [Google Scholar] [CrossRef]
- Hsieh, M.H.; Tsai, M.H.; Shen, W.J.; Yeh, J.W. Structure and properties of two Al–Cr–Nb–Si–Ti high-entropy nitride coatings. Surf. Coat. Technol. 2013, 221, 118–123. [Google Scholar] [CrossRef]
- Bilek, M.M.M.; Mckenzie, D.R. A comprehensive model of stress generation and relief processes in thin films deposited with energetic ions. Surf. Coat. Technol. 2006, 200, 4345–4354. [Google Scholar] [CrossRef]
- Bielawski, M. Residual stress control in TiN/Si coatings deposited by unbalanced magnetron sputtering. Surf. Coat. Technol. 2006, 200, 3987–3995. [Google Scholar] [CrossRef]
- Li, Y.T.; Chen, X.M.; Zeng, X.K.; Liu, M.; Jiang, X.; Leng, Y.X. Hard yet tough and self-lubricating (CuNiTiNbCr)Cx high-entropy nanocomposite films: Effects of carbon content on structure and properties. J. Mater. Sci. Technol. 2024, 173, 20–30. [Google Scholar] [CrossRef]
- Lo, W.L.; Hsu, S.Y.; Lin, Y.C.; Tsai, S.Y.; Lai, Y.T.; Duh, J.G. Improvement of high entropy alloy nitride coatings (AlCrNbSiTiMo)N on mechanical and high temperature tribological properties by tuning substrate bias. Surf. Coat. Technol. 2020, 401, 126247. [Google Scholar] [CrossRef]
- Liu, C.; Li, Z.; Lu, W.; Bao, Y.; Xia, W.; Wu, X.; Zhao, H.; Gault, B.; Liu, C.; Herbig, M.; et al. Reactive wear protection through strong and deformable oxide nanocomposite surfaces. Nat. Commun. 2021, 12, 5518. [Google Scholar] [CrossRef]
- Zeng, X.K.; Li, Y.T.; Zhang, X.D.; Liu, M.; Ye, J.Z.; Qiu, X.L.; Jiang, X.; Leng, Y.X. Effect of bias voltage on the structure and properties of CuNiTiNbCr dual-phase high entropy alloy films. J. Alloys Compd. 2023, 931, 167371. [Google Scholar] [CrossRef]
- Yu, X.; Wang, J.; Wang, L.; Huang, W. Fabrication and characterization of CrNbSiTiZr high-entropy alloy films by radio-frequency magnetron sputtering via tuning substrate bias. Surf. Coat. Technol. 2021, 412, 127074. [Google Scholar] [CrossRef]
- Wang, Z.; Li, D.Y.; Yao, Y.Y.; Kuo, Y.L.; Hsueh, C.H. Wettability, electron work function and corrosion behavior of CoCrFeMnNi high entropy alloy films. Surf. Coat. Technol. 2020, 400, 126222. [Google Scholar] [CrossRef]
- Jiang, K.M.; Zhao, D.Q.; Jiang, X.; Huang, Q.; Miao, L.J.; Lu, H.M.; Li, Y. Electronic-structure, corrosion and mechanical properties of nc-CrC/a-C:H films deposited by multi-arc ion plating. J. Alloys Compd. 2018, 750, 560–569. [Google Scholar] [CrossRef]
- Zheng, S.; Cai, Z.; Pu, J.; Zeng, C.; Chen, S.; Chen, R.; Wang, L. A feasible method for the fabrication of VAlTiCrSi amorphous high entropy alloy film with outstanding anti-corrosion property. Appl. Surf. Sci. 2019, 483, 870–874. [Google Scholar] [CrossRef]










| Films | Bias Voltage /V | Ar /sccm | N2 /sccm | Power Source (Graphite) /V-μs-Hz | Deposition Pressure /Pa | Deposition Time /min |
|---|---|---|---|---|---|---|
| H1-0 sccm | −60 | 40 | 0 | 800-150-200 | 0.54 | 32 |
| H2-4 sccm | −60 | 40 | 4 | 800-150-200 | 0.55 | 32 |
| H3-8 sccm | −60 | 40 | 8 | 800-150-200 | 0.55 | 32 |
| H4-12 sccm | −60 | 40 | 12 | 800-150-200 | 0.55 | 32 |
| H5-16 sccm | −60 | 40 | 16 | 800-150-200 | 0.56 | 32 |
| Samples/Parameter | 0 sccm | 4 sccm | 8 sccm | 12 sccm | 16 sccm |
|---|---|---|---|---|---|
| Grain size (nm) | - | 26.0 | 18.0 | 14.5 | 7.5 |
| Samples/ Parameter | Rs (Ω·cm2) | Rp (Ω·cm2) | CPEp (sn·Ω−1·cm−2) | Rct (Ω−1·cm2) | CPEct (sn·Ω−1·cm−2) | χ2 |
|---|---|---|---|---|---|---|
| 0 sccm | 19.5 | 10,779 | 1.6 × 10−5 | 644,100 | 7.3 × 10−6 | 0.0088 |
| 4 sccm | 20.6 | 3150 | 1.5 × 10−5 | 359,450 | 8.6 × 10−6 | 0.0098 |
| 8 sccm | 20.4 | 10,705 | 2.2 × 10−5 | 137,930 | 1.7 × 10−5 | 0.0072 |
| 12 sccm | 19.5 | 2236 | 2.9 × 10−5 | 195,350 | 1.9 × 10−5 | 0.0076 |
| 16 sccm | 19.5 | 8792 | 2.3 × 10−5 | 497,290 | 1.2 × 10−5 | 0.0074 |
| 316 SS | 19.4 | - | - | 902,090 | 4.1 × 10−5 | 0.0162 |
| Samples | 316 SS | 0 sccm | 4 sccm | 8 sccm | 12 sccm | 16 sccm |
|---|---|---|---|---|---|---|
| Ecorr (VSCE) | −0.12 | −0.25 | −0.11 | −0.18 | −0.23 | −0.24 |
| Icorr (A/cm2) | 1.99 × 10−8 | 4.64 × 10−9 | 1.75 × 10−8 | 3.16 × 10−8 | 2.14 × 10−8 | 1.72 × 10−8 |
Disclaimer/Publisher’s Note: The statements, opinions and data contained in all publications are solely those of the individual author(s) and contributor(s) and not of MDPI and/or the editor(s). MDPI and/or the editor(s) disclaim responsibility for any injury to people or property resulting from any ideas, methods, instructions or products referred to in the content. |
© 2024 by the authors. Licensee MDPI, Basel, Switzerland. This article is an open access article distributed under the terms and conditions of the Creative Commons Attribution (CC BY) license (https://creativecommons.org/licenses/by/4.0/).
Share and Cite
Li, Y.; Ma, D.; Liang, J.; Huang, D.; Wang, L.; Ren, D.; Jiang, X.; Leng, Y. Plasma Bombardment-Induced Amorphization of (TiNbZrCr)Nx High-Entropy Alloy Nitride Films. Coatings 2024, 14, 505. https://doi.org/10.3390/coatings14040505
Li Y, Ma D, Liang J, Huang D, Wang L, Ren D, Jiang X, Leng Y. Plasma Bombardment-Induced Amorphization of (TiNbZrCr)Nx High-Entropy Alloy Nitride Films. Coatings. 2024; 14(4):505. https://doi.org/10.3390/coatings14040505
Chicago/Turabian StyleLi, Yantao, Donglin Ma, Jun Liang, Deming Huang, Libo Wang, Diqi Ren, Xin Jiang, and Yongxiang Leng. 2024. "Plasma Bombardment-Induced Amorphization of (TiNbZrCr)Nx High-Entropy Alloy Nitride Films" Coatings 14, no. 4: 505. https://doi.org/10.3390/coatings14040505
APA StyleLi, Y., Ma, D., Liang, J., Huang, D., Wang, L., Ren, D., Jiang, X., & Leng, Y. (2024). Plasma Bombardment-Induced Amorphization of (TiNbZrCr)Nx High-Entropy Alloy Nitride Films. Coatings, 14(4), 505. https://doi.org/10.3390/coatings14040505

