Tunable Electronic and Optical Properties of MoGe2N4/AlN and MoSiGeN4/AlN van der Waals Heterostructures toward Optoelectronic and Photocatalytic Applications
Abstract
1. Introduction
2. Computational Methodology
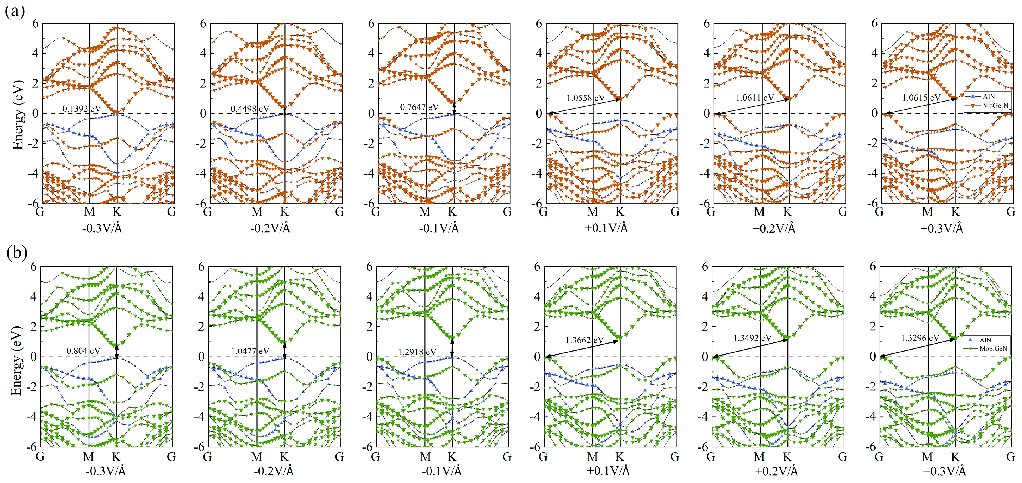
3. Results and Discussion
4. Conclusions
Author Contributions
Funding
Institutional Review Board Statement
Informed Consent Statement
Data Availability Statement
Conflicts of Interest
References
- Kruitwagen, L.; Story, K.T.; Friedrich, J.; Byers, L.; Skillman, S.; Hepburn, C. A global inventory of photovoltaic solar energy generating units. Nature 2021, 598, 604–610. [Google Scholar] [CrossRef] [PubMed]
- Yang, Z.; Gao, R.; Hu, N.; Chai, J.; Cheng, Y.; Zhang, L. The Prospective Two-Dimensional Graphene Nanosheets: Preparation, Functionalization and Applications. Nano-Micro Lett. 2012, 4, 1–9. [Google Scholar] [CrossRef]
- Kumar, R.; Sahoo, S.; Joanni, E.; Singh, R.K.; Yadav, R.M.; Verma, R.K.; Singh, D.P.; Tan, W.K.; Pérez del Pino, A.; Moshkalev, S.A.; et al. A review on synthesis of graphene, h-BN and MoS2 for energy storage applications: Recent progress and perspectives. Nano Res. 2019, 12, 2655–2694. [Google Scholar] [CrossRef]
- Novoselov, K.S.; Geim, A.K.; Morozov, S.V.; Jiang, D.; Zhang, Y.; Dubonos, I.V.; Grigorieva, A.; Firsov, A. Electric field effect in atomically thin carbon films. Science 2004, 306, 666–669. [Google Scholar] [CrossRef] [PubMed]
- Geim, A.K.; Novoselov, K.S. The rise of graphene. Nat. Mater. 2007, 6, 183–191. [Google Scholar] [CrossRef] [PubMed]
- Zhang, C.; Ma, Y.; Zhang, X.; Abdolhosseinzadeh, S.; Sheng, H.; Lan, W.; Pakdel, A.; Heier, J.; Nüesch, F. Two-Dimensional Transition Metal Carbides and Nitrides (MXenes): Synthesis, Properties, and Electrochemical Energy Storage Applications. Energy Environ. Mater. 2020, 3, 29–55. [Google Scholar] [CrossRef]
- Khan, K.; Tareen, A.K.; Aslam, M.; Wang, R.; Zhang, Y.; Mahmood, A.; Ouyang, Z.; Zhang, H.; Guo, Z. Recent developments in emerging two-dimensional materials and their applications. J. Mater. Chem. C 2020, 8, 387–440. [Google Scholar] [CrossRef]
- Liu, Y.; Weiss, N.O.; Duan, X.; Cheng, H.C.; Huang, Y.; Duan, X. Van der Waals heterostructures and devices. Nat. Rev. Mater. 2016, 1, 16042. [Google Scholar] [CrossRef]
- Tho, C.C.; Guo, S.D.; Liang, S.J.; Ong, W.L.; Lau, C.S.; Cao, L.; Wang, G.; Ang, Y.S. MA2Z4 family heterostructures: Promises and prospects. Appl. Phys. Rev. 2023, 10, 041307. [Google Scholar] [CrossRef]
- Wang, S.; Ren, C.; Tian, H.; Yu, J.; Sun, M. MoS2/ZnO van der Waals heterostructure as a high-efficiency water splitting photocatalyst: A first-principles study. J. Phys. Chem. Chem. Phys. 2018, 20, 13394–13399. [Google Scholar] [CrossRef]
- Meng, X.; Shen, Y.; Liu, J.; Lv, L.; Yang, X.; Gao, X.; Zhou, M.; Wang, X.; Zheng, Y.; Zhou, Z. The PtSe2/GaN van der Waals heterostructure photocatalyst with type-II alignment: A first-principles study. J. Appl. Catal. A 2021, 624, 118332. [Google Scholar] [CrossRef]
- Liang, S.J.; Cheng, B.; Cui, X.; Miao, F. Van der Waals heterostructures for high-performance device applications: Challenges and opportunities. J. Adv. Mater. 2020, 32, 1903800. [Google Scholar] [CrossRef] [PubMed]
- Geim, A.K.; Grigorieva, I.V. Van der waals heterostructures. Nature 2013, 499, 419. [Google Scholar] [CrossRef]
- Xin, K.; Wang, X.; Grove-Rasmussen, K.; Wei, Z. Twist-angle two-dimensional superlattices and their application in (opto) electronics. J. Semicond. 2022, 43, 011001. [Google Scholar] [CrossRef]
- Pham, P.V.; Bodepudi, S.C.; Shehzad, K.Y.; Liu, Y.; Xu, Y.; Yu, B.; Duan, X. 2D heterostructures for ubiquitous electronics and optoelectronics: Principles, opportunities, and challenges. Chem. Rev. 2022, 122, 6514. [Google Scholar] [CrossRef] [PubMed]
- Castellanos-Gomez, A.; Buscema, M.; Molenaar, R.; Singh, V.; Janssen, L.; van der Zant, H.S.J.; Steele, G.A. Deterministic transfer of two-dimensional materials by all-dry viscoelastic stamping. 2D Mater. 2014, 1, 011002. [Google Scholar] [CrossRef]
- Gurarslan, A.; Yu, Y.; Su, L.; Suarez, F.; Yao, S.; Zhu, Y.; Ozturk, M.; Zhang, Y.; Cao, L. Surface-energy-assisted perfect transfer of centimeter-scale monolayer and few-layer MoS2 films onto arbitrary substrates. ACS Nano 2014, 8, 11522–11528. [Google Scholar] [CrossRef]
- Cui, X.; Kong, Z.; Gao, E.; Huang, D.; Hao, Y.; Shen, H.; Di, C.A.; Xu, Z.; Zheng, J.; Zhu, D. Rolling up transition metal dichalcogenide nanoscrolls via one drop of ethanol. Nat. Commun. 2018, 9, 1301. [Google Scholar] [CrossRef]
- Zaretski, A.V.; Moetazedi, H.; Kong, C.; Sawyer, E.J.; Savagatrup, S.; Valle, E.; O’Connor, T.F.; Printz, A.D.; Lipomi, D.J. Metal-assisted exfoliation (MAE): Green, roll-to-roll compatible method for transferring graphene to flexible substrates. Nanotechnology 2015, 26, 045301. [Google Scholar] [CrossRef] [PubMed]
- Bae, S.H.; Zhou, X.; Kim, S.; Lee, Y.S.; Cruz, S.S.; Kim, Y.; Hannon, J.B.; Yang, Y.; Sadana, D.K.; Ross, F.M.; et al. Unveiling the carrier transport mechanism in epitaxial graphene for forming wafer-scale, single-domain graphene. Proc. Natl. Acad. Sci. USA 2017, 114, 4082. [Google Scholar] [CrossRef]
- Zeng, J.; Xu, L.; Yang, Y.; Luo, X.; Li, H.J.; Xiong, S.; Wang, L.L. Boosting the photocatalytic hydrogen evolution performance of monolayer C2N coupled with MoSi2N4: Density-functional theory calculations. Phys. Chem. Chem. Phys. 2021, 23, 8318. [Google Scholar] [CrossRef] [PubMed]
- Hussain, G.; Asghar, M.; Iqbal, M.W.; Ullah, H.; Autieri, C. Exploring the structural stability, electronic and thermal attributes of synthetic 2d materials and their heterostructures. Appl. Surf. Sci. 2022, 590, 153131. [Google Scholar] [CrossRef]
- Ren, Y.T.; Hu, L.; Chen, Y.T.; Hu, Y.J.; Wang, J.L.; Gong, P.L.; Zhang, H.; Huang, L.; Shi, X.Q. Two-dimensional MSi2N4 monolayers and van der waals heterostructures: Promising spintronic properties and band alignments. Phys. Rev. Mater. 2022, 6, 064006. [Google Scholar] [CrossRef]
- Wang, G.; Chang, J.; Tang, W.; Xie, W.; Ang, Y.S. 2D materials and heterostructures for photocatalytic water-splitting: A theoretical perspective. J. Phys. D 2022, 55, 293002. [Google Scholar] [CrossRef]
- Wang, H.; Zhang, L.; Chen, Z.; Hu, J.; Li, S.; Wang, Z.; Liu, J.; Wang, X. Semiconductor heterojunction photocatalysts:design, construction, and photocatalytic performances. Chem. Soc. Rev 2014, 43, 5234–5244. [Google Scholar] [CrossRef] [PubMed]
- Wang, W.; Zheng, Y.; Li, X.; Li, Y.; Zhao, H.; Huang, L.; Yang, Z.; Zhang, X.; Li, G. 2D AlN layers sandwiched between graphene and Si substrates. Adv. Mater. 2019, 31, 1803448. [Google Scholar] [CrossRef] [PubMed]
- Wang, G.; Dang, S.; Zhang, P.; Xiao, S.; Wang, C.; Zhong, M. Hybrid density functional study on the photocatalytic properties of AlN/MoSe2, AlN/WS2, and AlN/WSe2 heterostructures. J. Phys. D Appl. Phys. 2018, 51, 025109. [Google Scholar] [CrossRef]
- Yu, R.; Liu, G.; Wang, G.; Chen, C.; Xu, M.; Zhou, H. Ultrawide-bandgap semiconductor AlN crystals: Growth and applications. J. Mater. 2021, 9, 1852–1873. [Google Scholar] [CrossRef]
- Wang, Z.; Wang, G.; Liu, X.; Wang, S.; Wang, T.; Zhang, S.; Zhang, L. Two-dimensional wide band-gap nitride semiconductor GaN and AlN materials: Properties, fabrication and applications. J. Mater. 2021, 9, 17201–17232. [Google Scholar] [CrossRef]
- Hong, Y.L.; Liu, Z.B.; Wang, L.; Zhou, T.Y.; Ma, W.; Xu, C.; Feng, S.; Chen, L.; Chen, M.L.; Sun, D.M.; et al. Chemical vapor deposition of layered two-dimensional MoSi2N4 Materials. Science 2020, 369, 670–674. [Google Scholar] [CrossRef]
- Zhang, R.; Zhang, Y.; Wei, X.; Guo, T.; Fan, J.; Ni, L.; Weng, Y.; Zha, Z.; Liu, J.; Tian, Y.; et al. Type-II band alignment AlN/InSe van der Waals heterostructure: Vertical strain and external electric field. Appl. Surf. Sci. 2020, 528, 146782. [Google Scholar] [CrossRef]
- Novoselov, K.S. Discovery of 2D van der Waals layered MoSi2N4 family. Natl. Sci. Rev. 2020, 7, 1842–1844. [Google Scholar] [CrossRef] [PubMed]
- Pham, D.K. Electronic properties of a two-dimensional van der waals MoGe2N4/MoSi2N4 heterobilayer: Effect of the insertion of a graphene layer and interlayer coupling. RSC Adv. 2021, 11, 28659–28666. [Google Scholar] [CrossRef] [PubMed]
- Guo, Y.; Min, J.; Cai, X.; Zhang, L.; Liu, C.; Jia, Y. Two-dimensional type-II BP/MoSi2P4 vdw heterostructures for high-performance solar cells. J. Phys. Chem. C 2022, 126, 4677. [Google Scholar] [CrossRef]
- Liu, C.; Wang, Z.; Xiong, W.; Zhong, H.; Yuan, S. Effect of vertical strain and in-plane biaxial strain on type-ii MoSi2N4/Cs3Bi2I9 van der waals heterostructure. J. Appl. Phys. 2022, 131, 163102. [Google Scholar] [CrossRef]
- Xu, L.; Zhang, Y.; Ma, Z.; Chen, T.; Guo, C.; Wu, C.; Li, H.; Huang, X.; Tang, S.; Wang, L.L. Indirect Z-scheme hydrogen production photocatalyst based on two-dimensional GeC/MoSi2N4 van der Waals heterostructures. Int. J. Hydrogen Energy 2023, 48, 18301–18314. [Google Scholar] [CrossRef]
- Li, X.; Li, Z.; Yang, J. Proposed photosynthesis method for producing hydrogen from dissociated water molecules using incident near-infrared light. Phys. Rev. Lett. 2014, 112, 018301. [Google Scholar] [CrossRef] [PubMed]
- Fu, C.F.; Sun, J.; Luo, Q.; Li, X.; Hu, W.; Yang, J. Intrinsic electric fields in two-dimensional materials boost the solar-to-hydrogen efficiency for photocatalytic water splitting. Nano. Lett. 2018, 18, 6312. [Google Scholar] [CrossRef]
- Yu, Y.; Zhou, J.; Guo, Z.; Sun, Z. Novel two-dimensional janus MoSiGeN4 and WSiGeN4 as highly efficient photocatalysts for spontaneous overall water splitting. ACS Appl. Mater. Interfaces 2021, 13, 28090. [Google Scholar] [CrossRef]
- Binh, N.T.; Nguyen, C.Q.; Vu, T.V.; Nguyen, C.V. Interfacial Electronic Properties and Tunable Contact Types in Graphene/Janus MoGeSiN4 Heterostructures. J. Phys. Chem. Lett. 2021, 12, 3934–3940. [Google Scholar] [CrossRef]
- Lv, X.; Huang, H.; Mao, B.; Liu, G.; Zhao, G.; Yang, J. Dipole-regulated bandgap and high electron mobility for bilayer janus MoSiGeN4. Appl. Phys. Lett. 2022, 120, 21. [Google Scholar] [CrossRef]
- Wang, J.; Zhao, X.; Hu, G.; Ren, J.; Yuan, X. Manip-ulable electronic and optical properties of two-dimensional MoSTe/MoGe2N4 van der waals heterostructures. Nanomaterials 2021, 11, 3338. [Google Scholar] [CrossRef] [PubMed]
- Mortazavi, B.; Javvaji, B.; Shojaei, F.; Rabczuk, T.; Shapeev, A.V.; Zhuang, X. Exceptional piezoelectricity, high thermal conductivity and stiffness and promising photocatalysis in two-dimensional MoSi2N4 family confirmed by first-principles. Nano Energy 2021, 82, 105716. [Google Scholar] [CrossRef]
- Kresse, G.; Furthmüller, J. Efficiency of ab-initio total energy calculations for metals and semiconductors using a plane-wave basis set. Comput. Mater. Sci. 1996, 6, 15–50. [Google Scholar] [CrossRef]
- Kresse, G.; Furthmüller, J. Efficient iterative schemes for ab initio total-energy calculations using a plane-wave basis set. Phys. Rev. B 1996, 54, 11169. [Google Scholar] [CrossRef] [PubMed]
- Kresse, G.; Joubert, D. From ultrasoft pseudopotentials to the projector augmented-wave method. Phys. Rev. B 1999, 59, 1758. [Google Scholar] [CrossRef]
- Perdew, J.P.; Burke, K.; Ernzerhof, M. Generalized gradient approximation made simple. Phys. Rev. Lett. 1996, 77, 3865. [Google Scholar] [CrossRef]
- Grimme, S.; Antony, J.; Ehrlich, S.; Krieg, H. A consistent and accurate ab initio parametrization of density functional dispersion correction (DFT-D) for the 94 elements H-Pu. J. Chem. Phys. 2010, 132, 15. [Google Scholar] [CrossRef]
- Heyd, J.; Scuseria, G.E.; Ernzerhof, M. Hybrid functionals based on a screened coulomb potential. J. Chem. Phys. 2003, 118, 8207–8215. [Google Scholar] [CrossRef]
- Grimme, S. Semiempirical Gga-type density functional constructed with a long-range dispersion correction. J. Comput. Chem. 2006, 27, 1787–1799. [Google Scholar] [CrossRef]
- Momma, K.; Izumi, F. VESTA: A three-dimensional visualization system for electronic and structural analysis. J. Appl. Crystallogr. 2008, 41, 653–658. [Google Scholar] [CrossRef]
- Tao, J.; Xu, L.; Li, C.; Xiong, S.; Xu, Z.; Shao, J.; Cao, L.; Zhang, Y.; Dong, K.; Wang, L.L. Two-dimensional AlN/TMO van der Waals heterojunction as a promising photocatalyst for water splitting driven by visible light. Phys. Chem. Chem. Phys. 2023, 25, 30924–30933. [Google Scholar] [CrossRef] [PubMed]
- Nguyen, C.; Hoang, N.V.; Phuc, H.V.; Sin, A.Y.; Nguyen, C.V. Two-dimensional boron phosphide/MoGe2N4 van der Waals heterostructure: A promising tunable optoelectronic material. J. Phys. Chem. Lett. 2021, 12, 5076–5084. [Google Scholar] [CrossRef] [PubMed]
- Guo, S.D.; Mu, W.Q.; Zhu, Y.T.; Han, R.Y.; Ren, W.C. Predicted septuple-atomic-layer Janus MSiGeN4 (M = Mo and W) monolayers with Rashba spin splitting and high electron carrier mobilities. J. Mater. Chem. 2021, 9, 2464–2473. [Google Scholar] [CrossRef]
- Li, X.; Li, T.; Wang, J.; Song, X. Adsorption behavior of Janus MoSiGeN4 monolayer for gas-sensing application with high sensitivity and reuse. Phys. E 2023, 153, 115777. [Google Scholar] [CrossRef]
- Zou, H.; Peng, M.; Zhou, W.; Pan, J.; Ouyang, F. Type II GaS/AlN van der Waals heterostructure: Vertical strain, in-plane biaxial strain and electric field effect. Phys. E Low-Dimens. Syst. Nanostructures 2021, 126, 114481. [Google Scholar] [CrossRef]
- Huang, X.; Xu, L.; Xiao, B.; Dong, K.; Yang, K.; Li, L. High-efficiency photocatalyst based on a MoSiGeN4/SiC heterojunction. J. Mater. Sci. 2022, 57, 16404. [Google Scholar] [CrossRef]
- Queen, J.D.; Irvankoski, S.; Fettinger, J.C.; Tuononen, H.M.; Power, P.P. A monomeric aluminum imide (iminoalane) with Al–N triple-bonding: Bonding analysis and dispersion energy stabilization. J. Am. Chem. Soc. 2021, 143, 6351–6356. [Google Scholar] [CrossRef] [PubMed]
- Zeng, J.; Xu, L.; Luo, X.; Chen, T.; Tang, S.; Huang, X.; Wang, L.L. Z-scheme systems of ASi2N4 (A = Mo or W) for photocatalytic water splitting and nanogenerators. Tungsten 2022, 4, 52–59. [Google Scholar] [CrossRef]
- Yin, Y.; Gong, Q.; Yi, M.; Guo, W. Emerging Versatile Two-Dimensional MoSi2N4 Family. J. Adv. Funct. Mater. 2023, 33, 2214050. [Google Scholar] [CrossRef]







| Structure | a (Å) | d (Å) | Eb (eV) | EHSE06 (eV) |
|---|---|---|---|---|
| AlN | 3.120 | - | - | 3.783 |
| MoGe2N4 | 3.021 | - | - | 1.273 |
| MoSiGeN4 | 2.956 | - | - | 1.753 |
| AB5 (MoGe2N4/AlN) | 3.006 | 2.852 | −0.016 | 1.382 |
| AC5 (MoSiGeN4/AlN) | 3.055 | 2.637 | −0.196 | 0.886 |
| Structure | AB5(MoGe2N4/AlN) | AC5(MoSiGeN4/AlN) | ||||||
|---|---|---|---|---|---|---|---|---|
| charge (e) | AlN | −0.0486 | Al | −2.3120 | AlN | −0.0187 | Al | −2.3095 |
| N | +2.2634 | N | +2.2908 | |||||
| MoGe2N4 | +0.0486 | Mo | −1.5126 | MoSiGeN4 | +0.0187 | Mo | −1.5062 | |
| Ge | −1.8670 | Si | −2.9019 | |||||
| N | +1.3238 | Ge | −1.8054 | |||||
| N | +1.5580 | |||||||
Disclaimer/Publisher’s Note: The statements, opinions and data contained in all publications are solely those of the individual author(s) and contributor(s) and not of MDPI and/or the editor(s). MDPI and/or the editor(s) disclaim responsibility for any injury to people or property resulting from any ideas, methods, instructions or products referred to in the content. |
© 2024 by the authors. Licensee MDPI, Basel, Switzerland. This article is an open access article distributed under the terms and conditions of the Creative Commons Attribution (CC BY) license (https://creativecommons.org/licenses/by/4.0/).
Share and Cite
Shao, J.; Zeng, J.; Xiao, B.; Jin, Z.; Wang, Q.; Li, Z.; Wang, L.-L.; Dong, K.; Xu, L. Tunable Electronic and Optical Properties of MoGe2N4/AlN and MoSiGeN4/AlN van der Waals Heterostructures toward Optoelectronic and Photocatalytic Applications. Coatings 2024, 14, 500. https://doi.org/10.3390/coatings14040500
Shao J, Zeng J, Xiao B, Jin Z, Wang Q, Li Z, Wang L-L, Dong K, Xu L. Tunable Electronic and Optical Properties of MoGe2N4/AlN and MoSiGeN4/AlN van der Waals Heterostructures toward Optoelectronic and Photocatalytic Applications. Coatings. 2024; 14(4):500. https://doi.org/10.3390/coatings14040500
Chicago/Turabian StyleShao, Jingyao, Jian Zeng, Bin Xiao, Zhenwu Jin, Qiyun Wang, Zhengquan Li, Ling-Ling Wang, Kejun Dong, and Liang Xu. 2024. "Tunable Electronic and Optical Properties of MoGe2N4/AlN and MoSiGeN4/AlN van der Waals Heterostructures toward Optoelectronic and Photocatalytic Applications" Coatings 14, no. 4: 500. https://doi.org/10.3390/coatings14040500
APA StyleShao, J., Zeng, J., Xiao, B., Jin, Z., Wang, Q., Li, Z., Wang, L.-L., Dong, K., & Xu, L. (2024). Tunable Electronic and Optical Properties of MoGe2N4/AlN and MoSiGeN4/AlN van der Waals Heterostructures toward Optoelectronic and Photocatalytic Applications. Coatings, 14(4), 500. https://doi.org/10.3390/coatings14040500

