Enhancing the Performance of Biodegradable Lignin Nanoparticle/PVA Composite Films via Phenolation Pretreatment of Lignin Using a Novel Ternary Deep Eutectic Solvent
Abstract
1. Introduction
2. Materials and Methods
2.1. Materials
2.2. Material Preparation
2.2.1. Preparation of Bagasse Lignin (BL)
2.2.2. Preparation of Novel Ternary DES and DES-Pretreated Lignin
2.2.3. Preparation of Lignin Nanoparticles
2.2.4. Preparation of Lignin Nanoparticle/PVA Composite Films
2.3. Characterization Methods
2.3.1. Characterization of Lignin Nanoparticles
2.3.2. Fourier Transform–Infrared Spectroscopy (FT–IR)
2.3.3. Scanning Electron Microscopy (SEM)
2.3.4. Mechanical Properties
2.3.5. Contact Angle Tests
2.3.6. UV-Shielding Properties and Optical Transparency
2.3.7. Thermogravimetric Analysis
2.3.8. Antioxidant Activity Evaluation
2.3.9. Phenol Hydroxyl Determination
3. Results and Discussion
3.1. Size Distribution of Lignin Nanoparticles
3.2. Fourier Transform Infrared (FT–IR) Analysis of Composite Films
3.3. Morphology Characterization of Composite Films
3.4. Mechanical Properties
3.5. UV-Shielding Performance
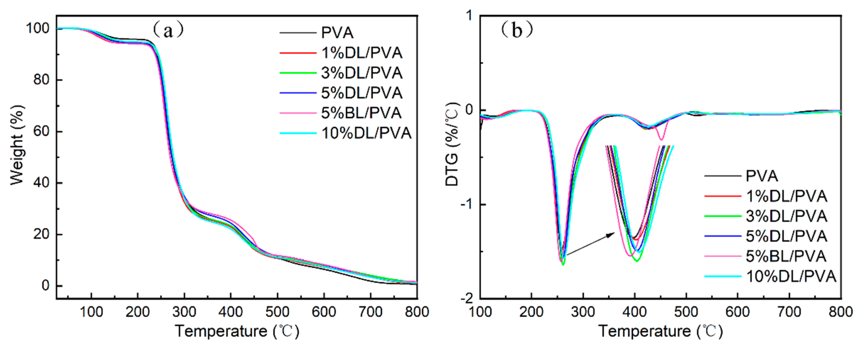
3.6. Thermal Stability
3.7. Surface Wettability Property
3.8. Antioxidant Activity
4. Conclusions
Author Contributions
Funding
Institutional Review Board Statement
Informed Consent Statement
Data Availability Statement
Acknowledgments
Conflicts of Interest
References
- Ali, S.S.; Elsamahy, T.; Al-Tohamy, R.; Zhu, D.; Mahmoud, Y.A.; Koutra, E.; Metwally, M.A.; Kornaros, M.; Sun, J. Plastic wastes biodegradation: Mechanisms, challenges and future prospects. Sci. Total Environ. 2021, 780, 146590. [Google Scholar] [CrossRef]
- Kumar, M.; Chen, H.; Sarsaiya, S.; Qin, S.; Liu, H.; Awasthi, M.K.; Kumar, S.; Singh, L.; Zhang, Z.; Bolan, N.S.; et al. Current research trends on micro- and nano-plastics as an emerging threat to global environment: A review. J. Hazard. Mater. 2021, 409, 124967. [Google Scholar] [CrossRef] [PubMed]
- Kwon, B.G.; Amamiya, K.; Sato, H.; Chung, S.Y.; Kodera, Y.; Kim, S.K.; Lee, E.J.; Saido, K. Monitoring of styrene oligomers as indicators of polystyrene plastic pollution in the North-West Pacific Ocean. Chemosphere 2017, 180, 500–505. [Google Scholar] [CrossRef] [PubMed]
- Aslam, M.; Kalyar Mazhar, A.; Raza Zulfiqar, A. Polyvinyl alcohol: A review of research status and use of polyvinyl alcohol based nanocomposites. Polym. Eng. Sci. 2018, 58, 2119–2132. [Google Scholar] [CrossRef]
- Ge, J.C.; Wu, G.; Yoon, S.K.; Kim, M.S.; Choi, N.J. Study on the preparation and lipophilic properties of polyvinyl alcohol (PVA) nanofiber membranes via green electrospinning. Nanomaterials 2021, 11, 2514. [Google Scholar] [CrossRef] [PubMed]
- Ribeiro, C.; Costa, C.M.; Correia, D.M.; Nunes-Pereira, J.; Oliveira, J.; Martins, P.; Goncalves, R.; Cardoso, V.F.; Lanceros-Mendez, S. Electroactive poly (vinylidene fluoride)-based structures for advanced applications. Nat. Protoc. 2018, 13, 681–704. [Google Scholar] [CrossRef]
- Yang, W.; Owczarek, J.S.; Fortunati, E.; Kozanecki, M.; Mazzaglia, A.; Balestra, G.M.; Kenny, J.M.; Torre, L.; Puglia, D. Antioxidant and antibacterial lignin nanoparticles in polyvinyl alcohol/chitosan films for active packaging. Ind. Crop. Prod. 2016, 94, 800–811. [Google Scholar] [CrossRef]
- Zhou, Q.; Chen, J.; Wang, C.; Yang, G.; Janaswamy, S.; Xu, F.; Liu, Z. Preparation and characterization of lignin nanoparticles and chitin nanofibers reinforced PVA films with UV shielding properties. Ind. Crop. Prod. 2022, 188, 115669. [Google Scholar] [CrossRef]
- Mallakpour, S.; Khadem, E. Facile and cost-effective preparation of PVA/modified calcium carbonate nanocomposites via ultrasonic irradiation: Application in adsorption of heavy metal and oxygen permeation property. Ultrason. Sonochem. 2017, 39, 430–438. [Google Scholar]
- Ren, J.; Yu, D. Effects of enhanced hydrogen bonding on the mechanical properties of poly (vinyl alcohol)/carbon nanotubes nanocomposites. Compos. Interface 2018, 25, 205–219. [Google Scholar] [CrossRef]
- Liu, X.; Chen, X.; Ren, J.; Chang, M.; He, B.; Zhang, C. Effects of nano-ZnO and nano-SiO2 particles on properties of PVA/xylan composite films. Int. J. Biol. Macromol. 2019, 132, 978–986. [Google Scholar] [CrossRef] [PubMed]
- Kurniawan, A.; Muneekaew, S.; Hung, C.W.; Chou, S.H.; Wang, M.J. Modulated transdermal delivery of nonsteroidal anti-inflammatory drug by macroporous poly (vinyl alcohol)-graphene oxide nanocomposite films. Int. J. Pharmaceut. 2019, 566, 708–716. [Google Scholar] [CrossRef] [PubMed]
- Yu, Z.; Li, B.; Chu, J.; Zhang, P. Silica in situ enhanced PVA/chitosan biodegradable films for food packages. Carbohydr. Polym. 2018, 184, 214–220. [Google Scholar] [CrossRef] [PubMed]
- Song, P.; Xu, Z.; Lu, Y.; Guo, Q. Bioinspired strategy for tuning thermal stability of PVA via hydrogen-bond crosslink. Compos. Sci. Technol. 2015, 118, 16–22. [Google Scholar] [CrossRef]
- Roopan, S.M. An overview of natural renewable bio-polymer lignin towards nano and biotechnological applications. Int. J. Biol. Macromol. 2017, 103, 508–514. [Google Scholar] [CrossRef]
- Liu, H.; Xu, T.; Liu, K.; Zhang, M.; Liu, W.; Li, H.; Du, H.; Si, C. Lignin-based electrodes for energy storage application. Ind. Crop. Prod. 2021, 165, 113425. [Google Scholar] [CrossRef]
- Xu, J.; Li, C.; Dai, L.; Xu, C.; Zhong, Y.; Yu, F.; Si, C. Biomass fractionation and lignin fractionation towards lignin valorization. ChemSusChem 2020, 13, 4284–4295. [Google Scholar] [CrossRef]
- Korbag, I.; Mohamed, S.S. Studies on mechanical and biodegradability properties of PVA/lignin blend films. Int. J. Environ. Stud. 2016, 73, 18–24. [Google Scholar] [CrossRef]
- Korbag, I.; Mohamed, S.S. Studies on the formation of intermolecular interactions and structural characterization of polyvinyl alcohol/lignin film. Int. J. Environ. Stud. 2016, 73, 226–235. [Google Scholar] [CrossRef]
- Lizundia, E.; Sipponen, M.H.; Greca, L.G.; Balakshin, M.; Tardy, B.L.; Rojas, O.J.; Puglia, D. Multifunctional lignin-based nanocomposites and nanohybrids. Green Chem. 2021, 23, 6698–6760. [Google Scholar] [CrossRef]
- Gillet, S.; Aguedo, M.; Petitjean, L.; Morais, A.R.C.; Da Costa Lopes, A.M.; Ukasik, R.M.; Anastas, P.T. Lignin transformations for high value applications: Towards targeted modifications using green chemistry. Green Chem. 2017, 19, 42–4233. [Google Scholar] [CrossRef]
- Morales, A.; Andrés, M.Á.; Labidi, J.; Gullón, P. UV-vis protective poly(vinyl alcohol)/bio-oil innovative films. Ind. Crop. Prod. 2019, 131, 281–292. [Google Scholar] [CrossRef]
- Nair Sandeep, S.; Chen, H.; Peng, Y.; Huang, Y.; Yan, N. Polylactic acid biocomposites reinforced with nanocellulose fibrils with high lignin content for improved mechanical, Thermal, and Barrier Properties. ACS Sustain. Chem. Eng. 2018, 6, 10058–10068. [Google Scholar] [CrossRef]
- Li, J.; Bai, X.; Dong, Z.; Chen, Y.; Yang, H.; Wang, X.; Chen, H. Influence of additives on lignin agglomeration and pyrolysis behavior. Fuel 2020, 263, 116629. [Google Scholar] [CrossRef]
- Wang, J.; Qian, Y.; Deng, Y.; Liu, D.; Li, H.; Qiu, X. Probing the interactions between lignin and inorganic oxides using atomic force microscopy. Appl. Surf. Sci. 2016, 390, 617–622. [Google Scholar] [CrossRef]
- Xiong, F.; Wu, Y.; Li, G.; Han, Y.; Chu, F. Transparent nanocomposite films of lignin nanospheres and poly (vinyl alcohol) for UV-absorbing. Ind. Eng. Chem. Res. 2018, 57, 1207–1212. [Google Scholar] [CrossRef]
- Wang, H.; Tang, X.; Arvanitis Matthew, A.; Yang, V.; Stark, N.; Liu, C.; Considine John, M.; Zhu, J.Y. Colloidal lignin nanoparticles from acid hydrotropic fractionation for producing tough, biodegradable, and UV blocking PVA nanocomposite. Ind. Crop. Prod. 2021, 168, 113584. [Google Scholar] [CrossRef]
- Huang, J.; Guo, Q.; Zhu, R.; Liu, Y.; Xu, F.; Zhang, X. Facile fabrication of transparent lignin sphere/PVA nanocomposite films with excellent UV-shielding and high strength performance. Int. J. Biol. Macromol. 2021, 189, 635–640. [Google Scholar] [CrossRef]
- Zhang, X.; Liu, W.; Liu, W.; Qiu, X. High performance PVA/lignin nanocomposite films with excellent water vapor barrier and UV-shielding properties. Int. J. Biol. Macromol. 2020, 142, 551–558. [Google Scholar] [CrossRef]
- Beaucamp, A.; Wang, Y.; Culebras, M.; Collins Maurice, N. Carbon fibres from renewable resources: The role of the lignin molecular structure in its blendability with biobased poly(ethylene terephthalate). Green Chem. 2019, 21, 563–572. [Google Scholar] [CrossRef]
- Kong, F.; Wang, S.; T Price, J.; Konduri Mohan, K.R.; Fatehi, P. Water soluble kraft lignin-acrylic acid copolymer: Synthesis and characterization. Green Chem. 2015, 17, 4355–4366. [Google Scholar] [CrossRef]
- Meng, Y.; Lu, J.; Cheng, Y.; Li, Q.; Wang, H. Lignin-based hydrogels: A review of preparation, properties, and application. Int. J. Biol. Macromol. 2019, 135, 1006–1019. [Google Scholar] [CrossRef] [PubMed]
- Figueiredo, P.; Lintinen, K.; Hirvonen Jouni, T.; Kostiainen Mauri, A.; Santos Hélder, A. Properties and chemical modifications of lignin: Towards lignin-based nanomaterials for biomedical applications. Prog. Mater. Sci. 2018, 93, 233–269. [Google Scholar] [CrossRef]
- Gao, Z.; Eisenberg, A. A model of micellization for block copolymers in solutions. Macromolecules 1993, 26, 7353–7360. [Google Scholar] [CrossRef]
- Zhao, W.; Simmons, B.; Singh, S.; Ragauskas, A.; Cheng, G. From lignin association to nano-/micro-particle preparation: Extracting higher value of lignin. Green Chem. 2016, 18, 5693–5700. [Google Scholar] [CrossRef]
- Yang, W.; Kenny Jose, M.; Puglia, D. Structure and properties of biodegradable wheat gluten bionanocomposites containing lignin nanoparticles. Ind. Crop. Prod. 2015, 74, 348–356. [Google Scholar] [CrossRef]
- Qian, Y.; Deng, Y.; Qiu, X.; Li, H.; Yang, D. Formation of uniform colloidal spheres from lignin, a renewable resource recovered from pulping spent liquor. Green Chem. 2014, 16, 2156–2163. [Google Scholar] [CrossRef]
- Kubo, S.; Kadla, J.F. The formation of strong intermolecular interactions in immiscible blends of poly (vinyl alcohol) (PVA) and lignin. Biomacromolecules 2003, 4, 561–567. [Google Scholar] [CrossRef]
- Huang, J.; Wang, M.; Song, P.; Li, Y.; Xu, F.; Zhang, X. Directed 2D nanosheet assemblies of amphiphilic lignin derivatives: Formation of hollow spheres with tunable porous structure. Ind. Crop. Prod. 2019, 127, 16–25. [Google Scholar] [CrossRef]
- Zhang, X.; Liu, W.; Yang, D.; Qiu, X. Biomimetic supertough and strong biodegradable polymeric materials with improved thermal properties and excellent UV-blocking performance. Adv. Funct. Mater. 2019, 29, 1806912. [Google Scholar] [CrossRef]
- Li, X.; Liu, Y.; Ren, X. Transparent and ultra-tough PVA/alkaline lignin films with UV shielding and antibacterial functions. Int. J. Biol. Macromol. 2022, 216, 86–94. [Google Scholar] [CrossRef] [PubMed]
- Su, L.; Xing, Z.; Wang, D.; Xu, G.; Ren, S.; Fang, G. Mechanical properties research and structural characterization of alkali lignin/Poly(vinyl alcohol) reaction Films. Bioresources 2013, 8, 3532–3543. [Google Scholar] [CrossRef]
- Jiang, X.; Li, H.; Luo, Y.; Zhao, Y.; Hou, L. Studies of the plasticizing effect of different hydrophilic inorganic salts on starch/poly (vinyl alcohol) films. Int. J. Biol. Macromol. 2016, 82, 223–230. [Google Scholar] [CrossRef] [PubMed]
- Tian, D.; Hu, J.; Bao, J.; Chandra Richard, P.; Saddler Jack, N.; Lu, C. Lignin valorization: Lignin nanoparticles as high-value bio-additive for multifunctional nanocomposites. Biotechnol. Biofuels 2017, 10, 192. [Google Scholar] [CrossRef] [PubMed]
- Luo, T.; Wang, C.; Ji, X.; Yang, G.; Chen, J.; Yoo, C.G.; Janaswamy, S.; Lyu, G. Innovative production of lignin nanoparticles using deep eutectic solvents for multifunctional nanocomposites. Int. J. Biol. Macromol. 2021, 183, 781–789. [Google Scholar] [CrossRef]
- Bian, H.; Wei, L.; Lin, C.; Ma, Q.; Dai, H.; Zhu, J.Y. Lignin-containing cellulose nanofibril-reinforced polyvinyl alcohol hydrogels. ACS Sustain. Chem. Eng. 2018, 6, 4821–4828. [Google Scholar] [CrossRef]
- Hu, X.-Q.; Ye, D.-Z.; Tang, J.-B.; Zhang, L.-J.; Zhang, X. From waste to functional additives: Thermal stabilization and toughening of PVA with lignin. RSC Adv. 2016, 6, 11382–13797. [Google Scholar] [CrossRef]
- Ye, D.Z.; Jiang, L.; Hu, X.Q.; Zhang, M.H.; Zhang, X. Lignosulfonate as reinforcement in polyvinyl alcohol film: Mechanical properties and interaction analysis. Int. J. Biol. Macromol. 2016, 83, 209–215. [Google Scholar] [CrossRef]
- Xu, G.; Ren, S.; Wang, D.; Sun, L.; Fang, G. Fabrication and Properties of alkaline lignin/poly(vinyl alcohol) blend membranes. Bioresources 2013, 8, 2510–2520. [Google Scholar] [CrossRef]
- Wu, Y.; Qian, Y.; Zhang, A.; Lou, H.; Yang, D.; Qiu, X. Light Color Dihydroxybenzophenone grafted lignin with High UVA/UVB absorbance ratio for efficient and safe natural sunscreen. Ind. Eng. Chem. Res. 2020, 59, 17057–17068. [Google Scholar] [CrossRef]
- Wu, Y.; Qian, Y.; Lou, H.; Yang, D.; Qiu, X. Enhancing the broad-spectrum adsorption of lignin through methoxyl activation, grafting modification, and reverse self-assembly. ACS Sustain. Chem. Eng. 2019, 7, 15966–15973. [Google Scholar] [CrossRef]
- Zhou, Y.; Qian, Y.; Wang, J.; Qiu, X.; Zeng, H. Bioinspired lignin-polydopamine nanocapsules with strong bioadhesion for long-acting and high-performance natural sunscreens. Biomacromolecules 2020, 21, 3231–3241. [Google Scholar] [CrossRef] [PubMed]
- Hameed, N.; Xiong, R.; Salim Nisa, V.; Guo, Q. Fabrication and characterization of transparent and biodegradable cellulose/poly (vinyl alcohol) blend films using an ionic liquid. Cellulose 2013, 20, 2517–2527. [Google Scholar] [CrossRef]
- Pandey, S.; Pandey Shiv, K.; Parashar, V.; Mehrotra, G.K.; Pandey Avinash, C. Ag/PVA nanocomposites: Optical and thermal dimensions. J. Mater. Chem. 2011, 21, 17154–17159. [Google Scholar] [CrossRef]
- Cao, X.-S.; Lin, X.-L.; Li, B.-Y.; Wu, R.-C.; Zhong, L. Interpretation of the phenolation and structural changes of lignin in a novel ternary deep eutectic solvent. Int. J. Biol. Macromol. 2024, 264, 130475. [Google Scholar] [CrossRef] [PubMed]
- Wang, J.; Deng, Y.; Qian, Y.; Qiu, X.; Ren, Y.; Yang, D. Reduction of lignin color via one-step UV irradiation. Green Chem. 2016, 18, 695–699. [Google Scholar] [CrossRef]
- Jiang, X.; Tan, B.; Zhang, X.; Ye, D.; Dai, H.; Zhang, X. Studies on the properties of poly(vinyl alcohol) film plasticized by urea/ethanolamine mixture. J. Appl. Polym. Sci. 2012, 125, 697–703. [Google Scholar] [CrossRef]
- Song, P.; Xu, Z.; Guo, Q. Bioinspired strategy to reinforce PVA with improved toughness and thermal properties via hydrogen-bond self-assembly. Acs Macro Lett 2013, 2, 1100–1104. [Google Scholar] [CrossRef]
- Basha, R.K.; Abuhan, N.F.; Othman, S.H.; Hasnan Noor, Z.N.; Sukor, R.; Azmi, N.S.; Mohd Amin, N.A.; Mohd Dom, Z. Mechanical properties and antioxidant activity of sweet potato starch film incorporated with lemongrass Oil. Adv. Agric. Food Res. J. 2020, 1, a0000137. [Google Scholar] [CrossRef]
- Menzel, C. Improvement of starch films for food packaging through a three-principle approach: Antioxidants, cross-linking and reinforcement. Carbohydr. Polym. 2020, 250, 116828. [Google Scholar] [CrossRef]










| Component | Cellulose | Xylan | Arabinan | Acid-Insoluble Lignin | Acid-Soluble Lignin |
|---|---|---|---|---|---|
| Content/% | 42.1 ± 0.02 | 23.5 ± 0.05 | 1.5 ± 0.03 | 24.7 ± 0.05 | 1.0 ± 0.01 |
| Sample | DL | BL |
|---|---|---|
| Content (mmol/g) | 2.42 ± 0.04 | 1.60 ± 0.06 |
Disclaimer/Publisher’s Note: The statements, opinions and data contained in all publications are solely those of the individual author(s) and contributor(s) and not of MDPI and/or the editor(s). MDPI and/or the editor(s) disclaim responsibility for any injury to people or property resulting from any ideas, methods, instructions or products referred to in the content. |
© 2024 by the authors. Licensee MDPI, Basel, Switzerland. This article is an open access article distributed under the terms and conditions of the Creative Commons Attribution (CC BY) license (https://creativecommons.org/licenses/by/4.0/).
Share and Cite
Cao, X.; Li, X.; Wu, R.; Liu, B.; Lin, W. Enhancing the Performance of Biodegradable Lignin Nanoparticle/PVA Composite Films via Phenolation Pretreatment of Lignin Using a Novel Ternary Deep Eutectic Solvent. Coatings 2024, 14, 1544. https://doi.org/10.3390/coatings14121544
Cao X, Li X, Wu R, Liu B, Lin W. Enhancing the Performance of Biodegradable Lignin Nanoparticle/PVA Composite Films via Phenolation Pretreatment of Lignin Using a Novel Ternary Deep Eutectic Solvent. Coatings. 2024; 14(12):1544. https://doi.org/10.3390/coatings14121544
Chicago/Turabian StyleCao, Xiansheng, Xueping Li, Ruchun Wu, Bao Liu, and Wenfei Lin. 2024. "Enhancing the Performance of Biodegradable Lignin Nanoparticle/PVA Composite Films via Phenolation Pretreatment of Lignin Using a Novel Ternary Deep Eutectic Solvent" Coatings 14, no. 12: 1544. https://doi.org/10.3390/coatings14121544
APA StyleCao, X., Li, X., Wu, R., Liu, B., & Lin, W. (2024). Enhancing the Performance of Biodegradable Lignin Nanoparticle/PVA Composite Films via Phenolation Pretreatment of Lignin Using a Novel Ternary Deep Eutectic Solvent. Coatings, 14(12), 1544. https://doi.org/10.3390/coatings14121544
